Скачать ГОСТ Р 57236-2016 Воздушный транспорт. Система менеджмента безопасности авиационной деятельности. База данных. Авиационные риски, возникающие при производстве определенных видов операционной деятельности: транспортные видыДата актуализации: 01.01.2021
|
| Обозначение: | ГОСТ Р 57236-2016 |
| Обозначение англ: | GOST R 57236-2016 |
| Статус: | введен впервые |
| Название рус.: | Воздушный транспорт. Система менеджмента безопасности авиационной деятельности. База данных. Авиационные риски, возникающие при производстве определенных видов операционной деятельности: транспортные виды |
| Название англ.: | Air transport. Safety management system of aviation activity. Data base. Aviation risks arising from certain types of operating activities: transport types |
| Дата добавления в базу: | 01.02.2017 |
| Дата актуализации: | 01.01.2021 |
| Дата введения: | 01.07.2017 |
| Область применения: | Объектом стандартизации являются общие требования к риск-менеджменту в составе системы управления безопасностью полетов (СУБП) эксплуатанта и дополнительные требования к риск-менеджменту в рамках интегрированной системы менеджмента безопасности авиационной деятельности (СМБ АД) в части рисков, связанных с транспортными видами авиационной деятельности эксплуатантов (авиакомпаний). Требования стандарта предназначены для применения всеми эксплуатантами, осуществляющими авиационную транспортную деятельность. |
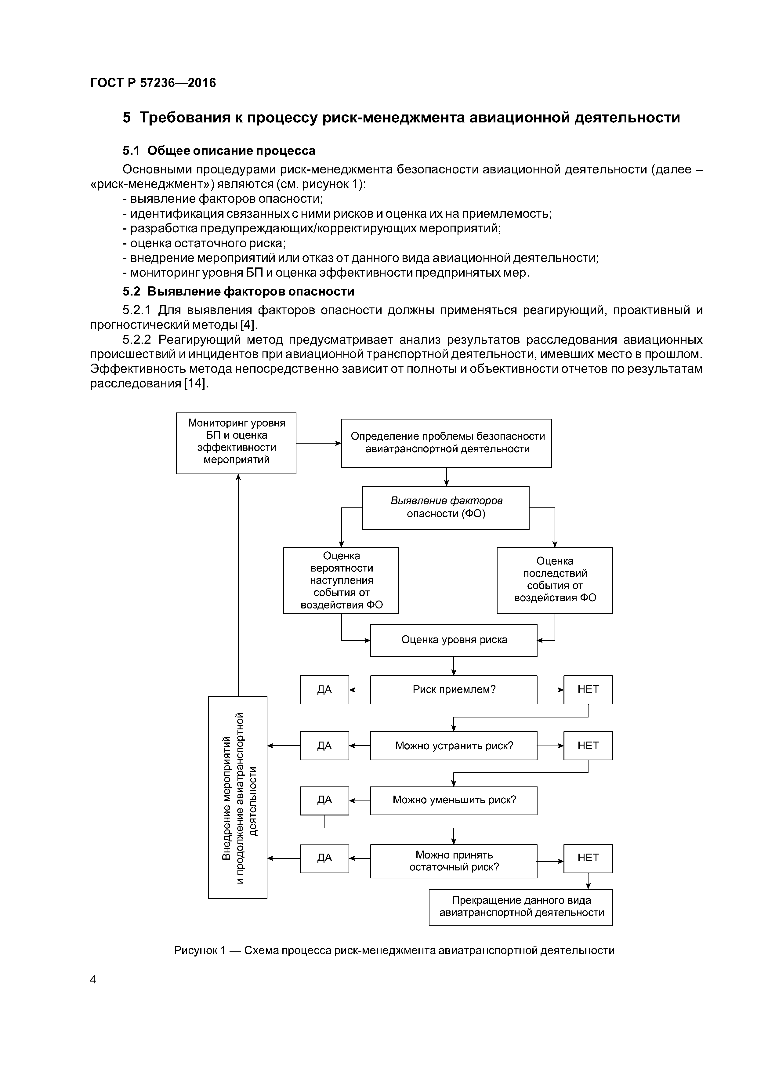
| Оглавление: | 1 Область применения 2 Нормативные ссылки 3 Сокращения, термины и определения 3.1 Сокращения 3.2 Термины и определения 4 Общие требования 4.1 Транспортные виды авиационной деятельности. Эксплуатанты, занимающиеся авиатранспортной деятельностью 4.2 Основные принципы менеджмента безопасности транспортных видов авиационной деятельности 5 Требования к процессу риск-менеджмента авиационной деятельности 5.1 Общее описание процесса 5.2 Выявление факторов опасности 5.3 Требования к базам данных эксплуатантов 5.4 Методы риск-менеджмента 6 Факторы опасности авиационных рисков транспортных видов авиационной деятельности 6.1 Принципы формирования перечней факторов опасности 6.2 Факторы опасности, характерные для всех транспортных видов авиационной деятельности 6.3 Специфические факторы опасности отдельных транспортных видов деятельности Библиография |
| Разработан: | ФГБОУ ВО МГТУ ГА |
| Утверждён: | 09.11.2016 Федеральное агентство по техническому регулированию и метрологии (1626-ст) |
| Издан: | Стандартинформ (2016 г. ) |
| Нормативные ссылки: |
|



















