Скачать ГОСТ Р 57240-2016 Воздушный транспорт. Менеджмент безопасности авиационной деятельности в гражданской авиации. Основные положенияДата актуализации: 01.01.2021
|
| Обозначение: | ГОСТ Р 57240-2016 |
| Обозначение англ: | GOST R 57240-2016 |
| Статус: | введен впервые |
| Название рус.: | Воздушный транспорт. Менеджмент безопасности авиационной деятельности в гражданской авиации. Основные положения |
| Название англ.: | Air transport. Management of aviation activity in civil aviation. Basic principles |
| Дата добавления в базу: | 01.02.2017 |
| Дата актуализации: | 01.01.2021 |
| Дата введения: | 01.07.2017 |
| Область применения: | Стандарт определяет требования к системе менеджмента безопасности авиационной деятельности для организаций авиационной отрасли, когда она: а) нуждается в демонстрации своей способности постоянно поддерживать уровень безопасности не ниже приемлемого; б) нацелена на повышение безопасности авиационной деятельности посредством результативного применения системы. |
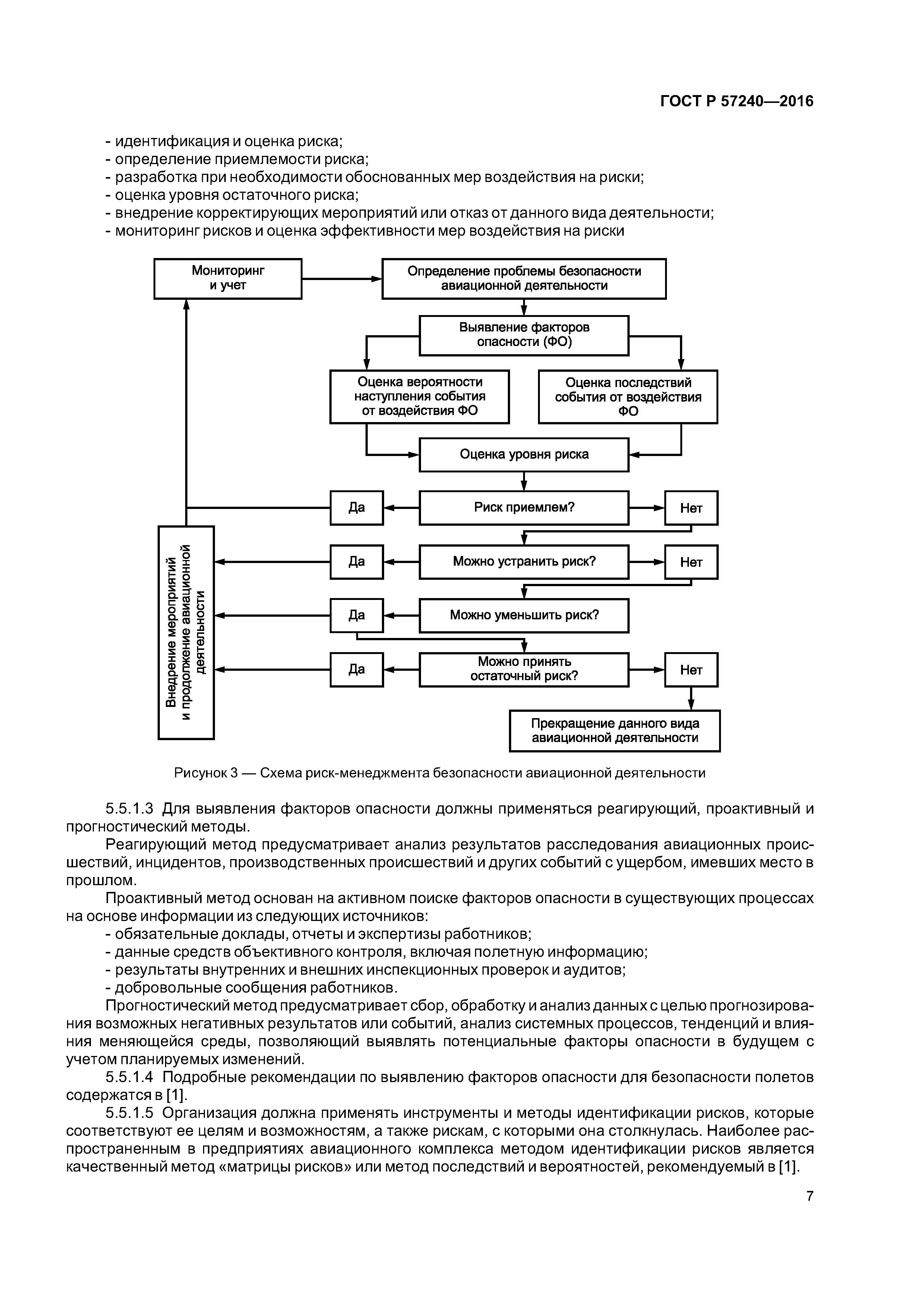
| Оглавление: | 1 Область применения 2 Нормативные ссылки 3 Сокращения, термины и определения 3.1 Сокращения 3.2 Термины и определения 4 Общая характеристика менеджмента безопасности авиационной деятельности с учетом контекста организации 4.1 Компоненты менеджмента безопасности организации — поставщика обслуживания 4.2 Область действия системы менеджмента безопасности авиационной деятельности 5 Требования к системе менеджмента безопасности авиационной деятельности 5.1 Общие требования 5.2 Обязательства и ответственность руководства 5.3 Политика в области безопасности авиационной деятельности 5.4 Культура безопасности 5.5 Риск-менеджмент безопасности авиационной деятельности 5.6 Определение критериев и показателей эффективности функционирования СМБАД 5.7 Осуществление изменений 6 Требования к процессам управления аспектами безопасности авиационной деятельности 6.1 Управление безопасностью полетов 6.2 Требования к управлению авиационной безопасностью 6.3 Требования к управлению экологической безопасностью авиационной деятельности поставщиков обслуживания 6.4 Требования к управлению производственной безопасностью поставщика обслуживания. . 6.5 Управление информационной безопасностью Библиография |
| Разработан: | ФГБОУ ВО МГТУ ГА |
| Утверждён: | 09.11.2016 Федеральное агентство по техническому регулированию и метрологии (1630-ст) |
| Издан: | Стандартинформ (2016 г. ) |
| Нормативные ссылки: |
|



















