Скачать ГОСТ 33971-2016 Продукты пищевые, продовольственное сырье. Метод определения остаточного содержания метаболитов карбадокса и олаквиндокса с помощью высокоэффективной жидкостной хроматографии с масс-спектрометрическим детекторомДата актуализации: 01.01.2021 ГОСТ 33971-2016
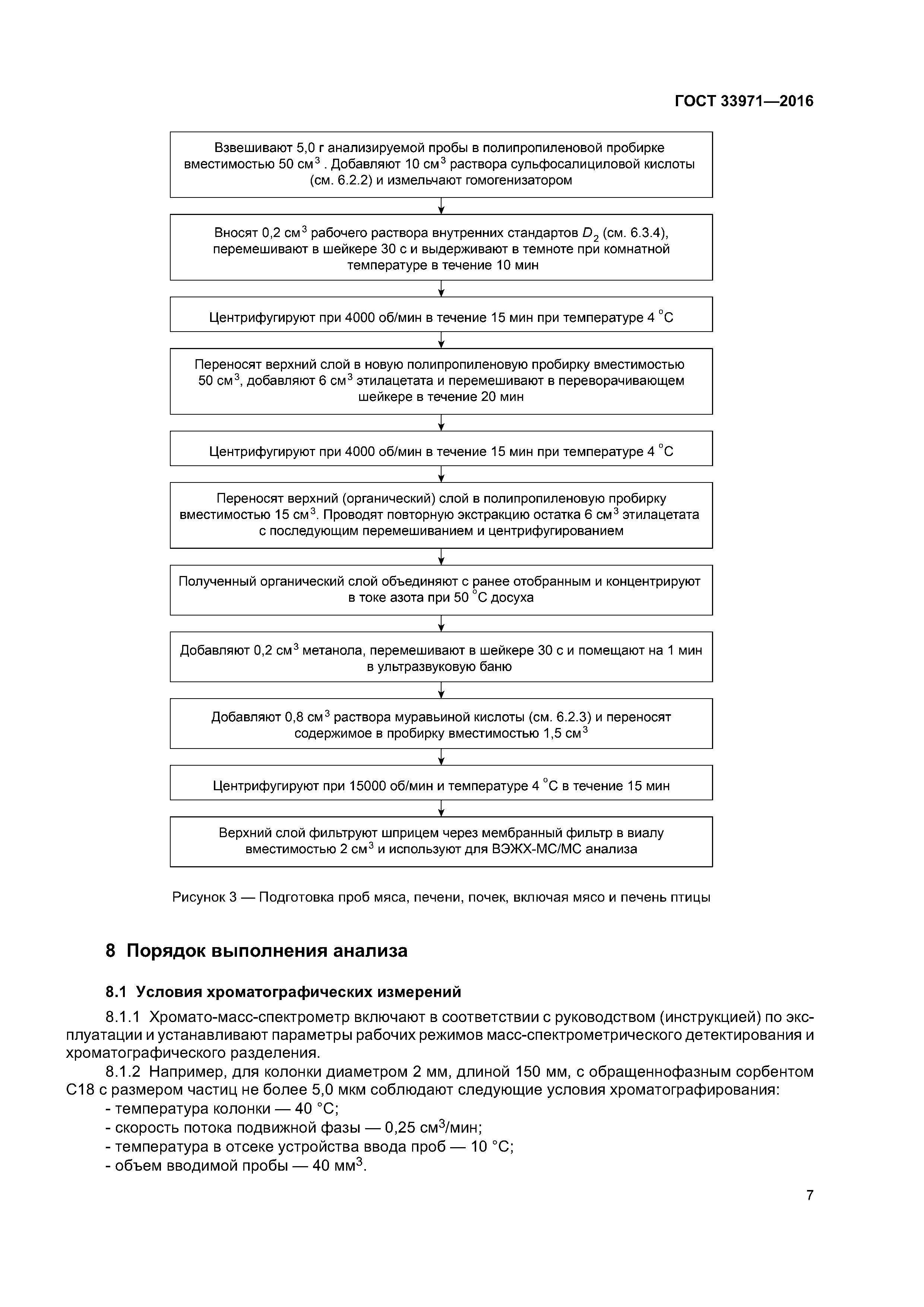
Продукты пищевые, продовольственное сырье. Метод определения остаточного содержания метаболитов карбадокса и олаквиндокса с помощью высокоэффективной жидкостной хроматографии с масс-спектрометрическим детектором| Обозначение: | ГОСТ 33971-2016 | | Обозначение англ: | GOST 33971-2016 | | Статус: | введен впервые | | Название рус.: | Продукты пищевые, продовольственное сырье. Метод определения остаточного содержания метаболитов карбадокса и олаквиндокса с помощью высокоэффективной жидкостной хроматографии с масс-спектрометрическим детектором | | Название англ.: | Food products, food raw materials. Method for determination of residual metabolites of carbadox and olaquindox using high-performance liquid chromatography with mass spectrometric detector | | Дата добавления в базу: | 01.02.2017 | | Дата актуализации: | 01.01.2021 | | Дата введения: | 01.01.2018 | | Область применения: | Стандарт распространяется на непереработанные пищевые продукты: мясо животных всех видов, в том числе мясо птицы, субпродукты (печень, почки) и устанавливает метод высокоэффективной жидкостной хроматографии с масс-спектрометрическим детектированием для определения остаточного содержания метаболитов карбадокса и олаквиндокса в диапазоне измерений от 0,5 до 8,0 мкг/кг. | | Оглавление: | 1 Область применения 2 Нормативные ссылки 3 Сущность метода 4 Требования безопасности и условия выполнения измерений 5 Средства измерений, аппаратура, материалы, посуда и реактивы 6 Подготовка к проведению измерений 6.1 Подготовка лабораторной посуды и реактивов 6.2 Приготовление растворов 6.3 Приготовление градуировочных растворов 7 Отбор и подготовка проб 7.1 Отбор проб 7.2 Подготовка проб мяса, печени, почек, включая мясо и печень птицы 8 Порядок выполнения анализа 8.1 Условия хроматографических измерений 8.2 Построение градуировочной характеристики 8.3 ВЭЖХ-МС/МС измерение 9 Обработка результатов измерений 10 Метрологические характеристики 11 Оформление результатов измерений 12 Контроль стабильности результатов измерений | | Разработан: | ФГБУ ВГНКИ
| | Утверждён: | 25.10.2016 Межгосударственный Совет по стандартизации, метрологии и сертификации (Inter-Governmental Council on Standardization, Metrology, and Certification 92-П) 15.11.2016 Федеральное агентство по техническому регулированию и метрологии (1692-ст)
| | Издан: | Стандартинформ (2016 г. )
| | Список изменений: | | | Нормативные ссылки: | |
                 
Текстовое изменение Поправка от 20.04.2017

Текстовое изменение Поправка от 07.02.2020

Текстовое изменение Поправка от 20.04.2020
|