Скачать ГОСТ Р МЭК 62279-2016 Железные дороги. Системы связи, сигнализации и обработки данных. Программное обеспечение систем управления и защиты на железных дорогахДата актуализации: 01.01.2021
|
| Обозначение: | ГОСТ Р МЭК 62279-2016 |
| Обозначение англ: | GOST R IEC 62279-2016 |
| Статус: | введен впервые |
| Название рус.: | Железные дороги. Системы связи, сигнализации и обработки данных. Программное обеспечение систем управления и защиты на железных дорогах |
| Название англ.: | Railway applications. Communication, signaling and processing systems. Software for railway control and protection systems |
| Дата добавления в базу: | 05.05.2017 |
| Дата актуализации: | 01.01.2021 |
| Дата введения: | 01.01.2018 |
| Область применения: | Стандарт определяет процедуры и технические требования для разработки программируемых электронных систем для использования в приложениях управления и защиты на железных дорогах. Стандарт нацелен на использование в любой области, где важна безопасность. Такие системы могут быть реализованы, используя специализированные микропроцессоры, программируемые логические контроллеры, многопроцессорные распределенные системы, системы на базе центрального процессора более широкого масштаба или другую архитектуру. Стандарт применим исключительно к программному обеспечению и взаимодействию между программным обеспечением и системой, частью которой оно является. Стандарт не применяется для программного обеспечения, которое было идентифицировано, как не оказывающее влияние на безопасность, т. е. для программного обеспечения, отказы которого не могут влиять ни на какие идентифицированные функции безопасности. Понятие УПБ 0 введено потому, что при оценке риска присутствует неопределенность и даже при идентификации опасностей. По крайней мере, требования УПБ 0 стандарта выполнены для программного обеспечения, оказывающего влияние на безопасность функций, у которых значение УПБ ниже УПБ 1. |
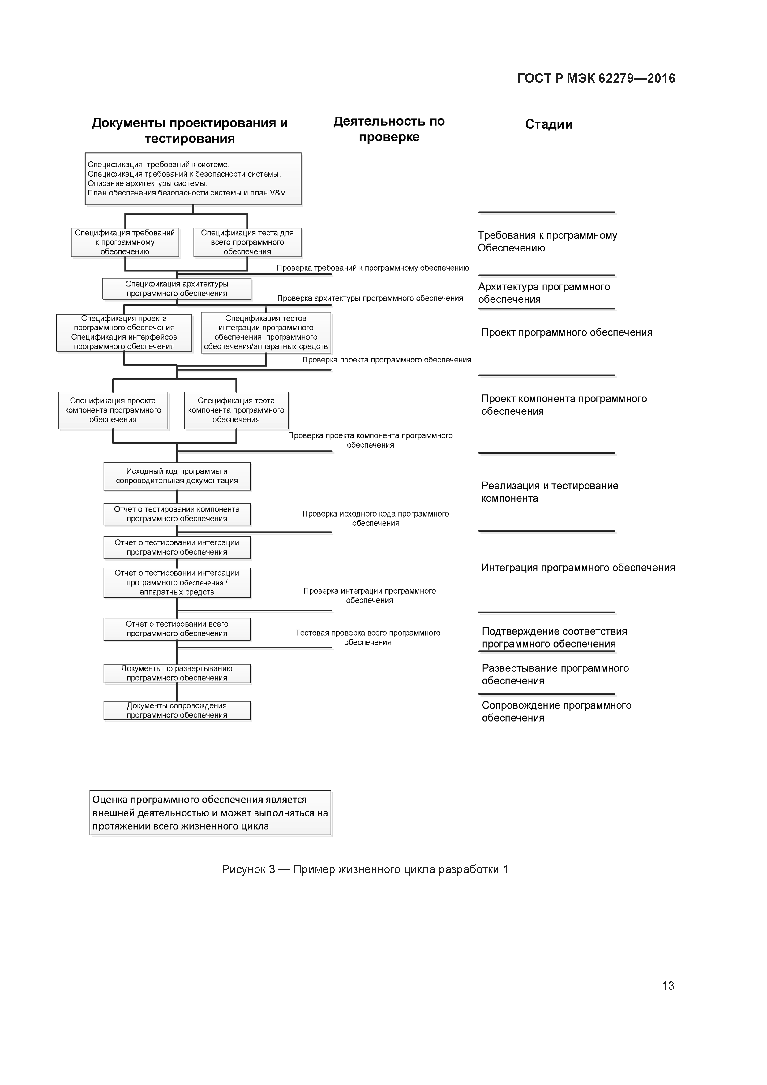
| Оглавление: | 1 Область применения 2 Нормативные ссылки 3 Термины, определения и сокращения 3.1 Термины и определения 3.2 Сокращения 4 Цели, соответствие и уровни полноты безопасности программного обеспечения 5 Организация и управление программным обеспечением 5.1 Организация, роли и обязанности 5.2 Компетентность персонала 5.3 Жизненный цикл и документация 6 Гарантированное программное обеспечение 6.1 Тестирование программного обеспечения 6.2 Проверка программного обеспечения 6.3 Подтверждение соответствия программного обеспечения 6.4 Оценка программного обеспечения 6.5 Обеспечение качества программного обеспечения 6.6 Управление модификациями и изменениями 6.7 Инструментальные средства поддержки и языки 7 Разработка универсального программного обеспечения 7.1 Жизненный цикл и документация универсального программного обеспечения 7.2 Требования к программному обеспечению 7.3 Архитектура и проектирование 7.4 Проектирование компонент 7.5 Реализация и тестирование компонент 7.6 Интеграция 7.7 Тестирование всего программного обеспечения. Заключительное подтверждение соответствия 8 Разработка прикладных данных или алгоритмов. Системы, сконфигурированные прикладными данными или алгоритмами 8.1 Цели 8.2 Входные документы 8.3 Выходные документы 8.4 Требования 9 Развертывание и сопровождение программного обеспечения 9.1 Развертывание программного обеспечения 9.2 Сопровождение программного обеспечения Приложение А (обязательное) Критерии выбора методов и мер Приложение В (обязательное) Основные роли и обязанности специалистов в области программного обеспечения Приложение С (справочное) Контроль прохождения технической документации Приложение D (справочное) Цель и описание методов Приложение ДА (справочное) Сведения о соответствии ссылочных международных стандартов национальным стандартам Библиография |
| Разработан: | ООО Корпоративные электронные системы |
| Утверждён: | 30.11.2016 Федеральное агентство по техническому регулированию и метрологии (1881-ст) |
| Издан: | Стандартинформ (2016 г. ) |
| Нормативные ссылки: |
|





































































































