Скачать Книга 18: Материалы и изделия для систем водоснабжения, канализации, теплоснабжения, газоснабжения. Федеральные сметные цены на материалы изделия, конструкции и оборудование, применяемые в строительстве. Федеральный сборник сметных цен на материалы, изделия и конструкции, применяемые в строительствеДата актуализации: 01.01.2021 |
| Статус: | действует |
| Название рус.: | Книга 18: Материалы и изделия для систем водоснабжения, канализации, теплоснабжения, газоснабжения. Федеральные сметные цены на материалы изделия, конструкции и оборудование, применяемые в строительстве. Федеральный сборник сметных цен на материалы, изделия и конструкции, применяемые в строительстве |
| Дата добавления в базу: | 05.05.2017 |
| Дата актуализации: | 01.01.2021 |
| Дата введения: | 28.04.2017 |
| Область применения: | Государственные сметные нормативы "Федеральные сметные цены на материалы, изделия, конструкции и оборудование, применяемые в строительстве" предназначены для определения сметной стоимости строительства, реконструкции и капитального ремонта объектов капитального строительства. |
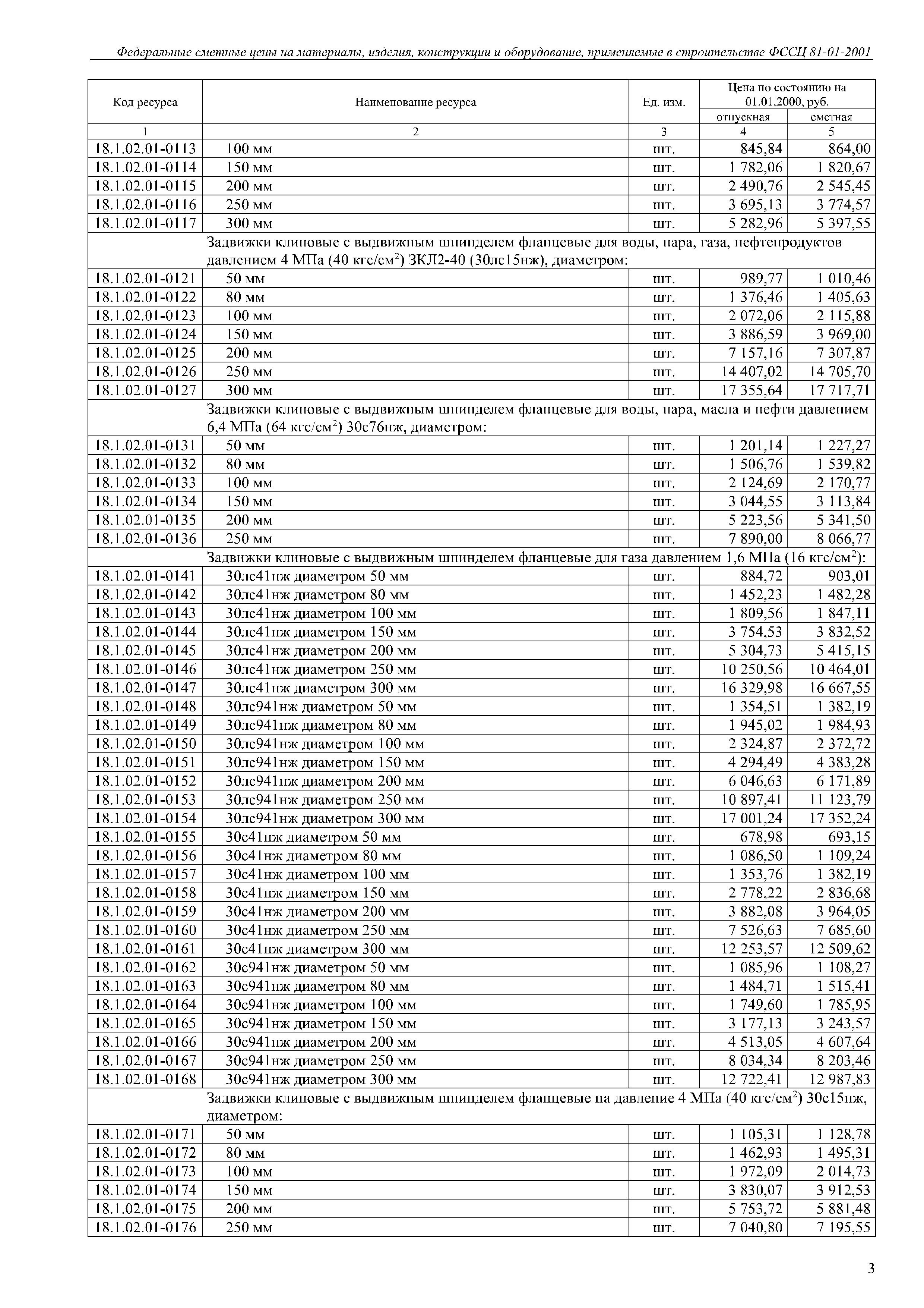
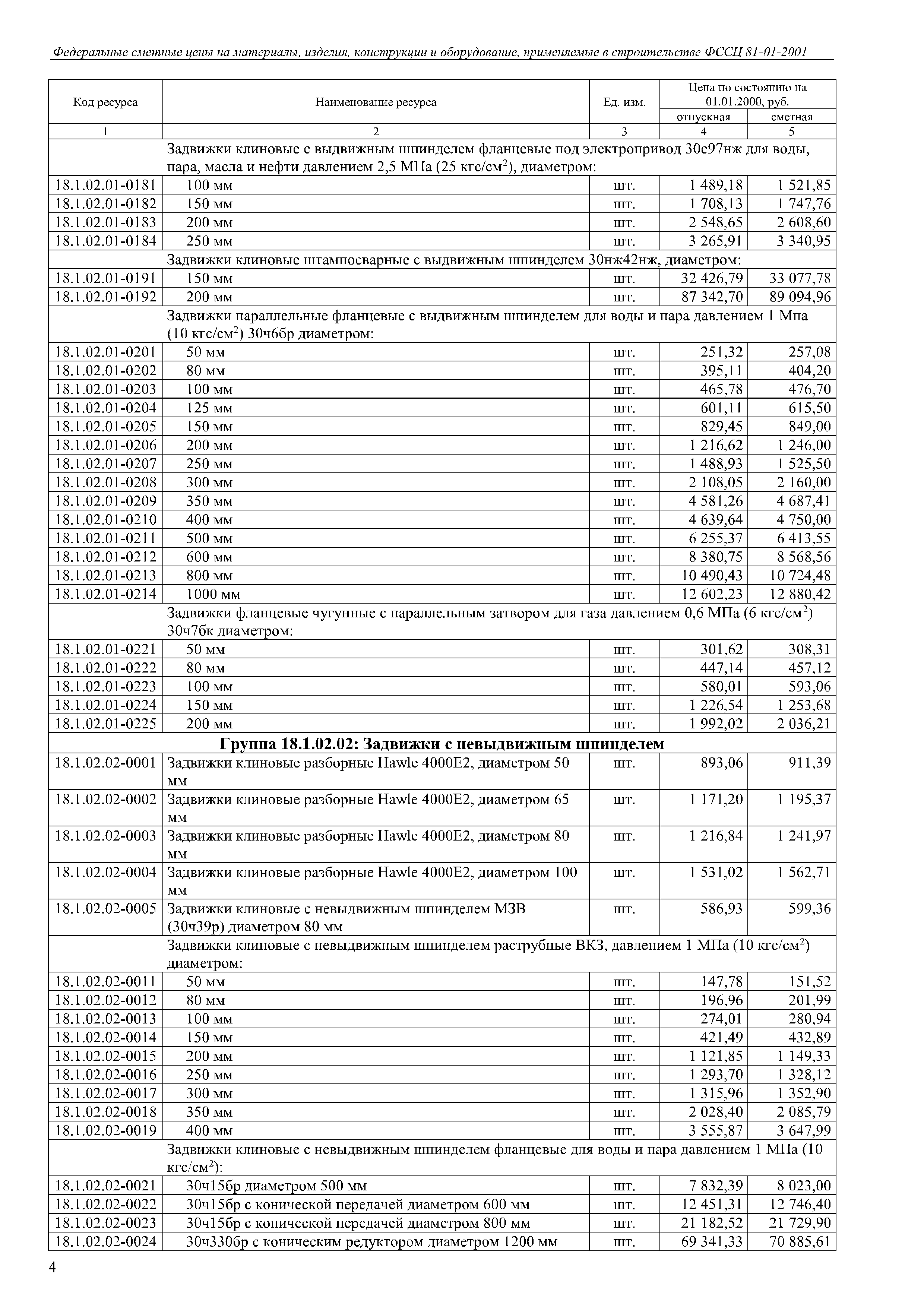
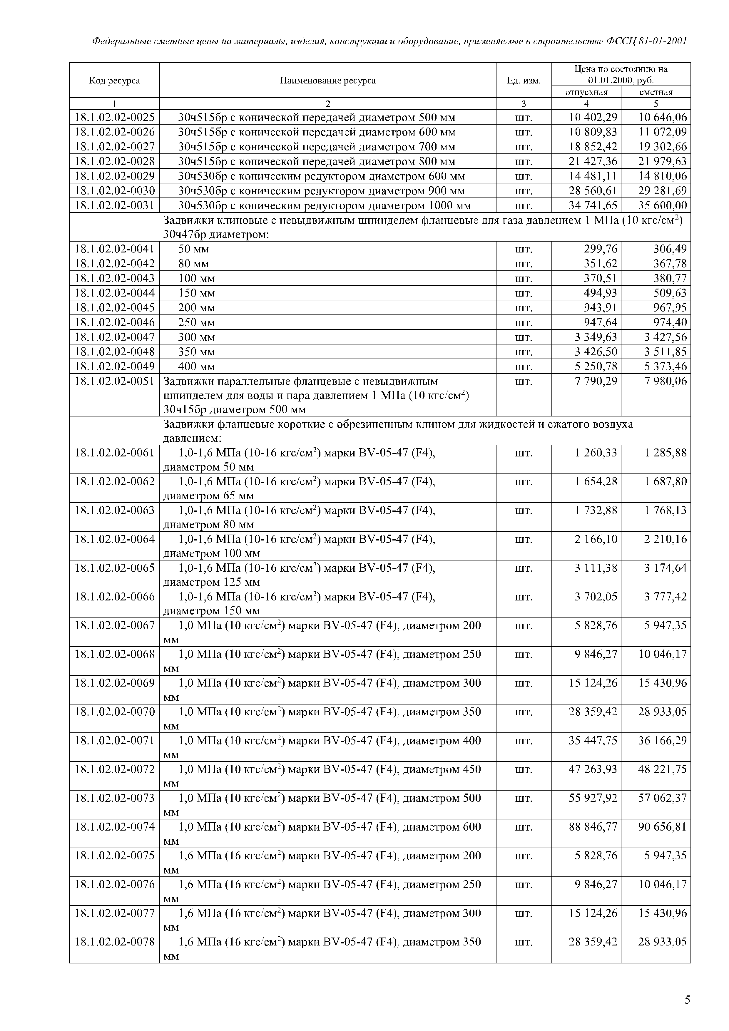
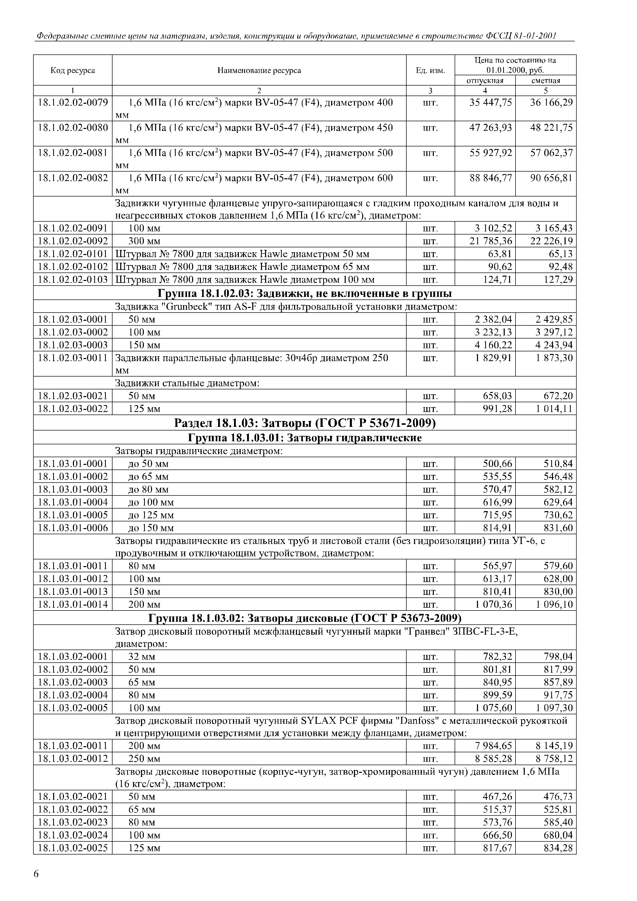
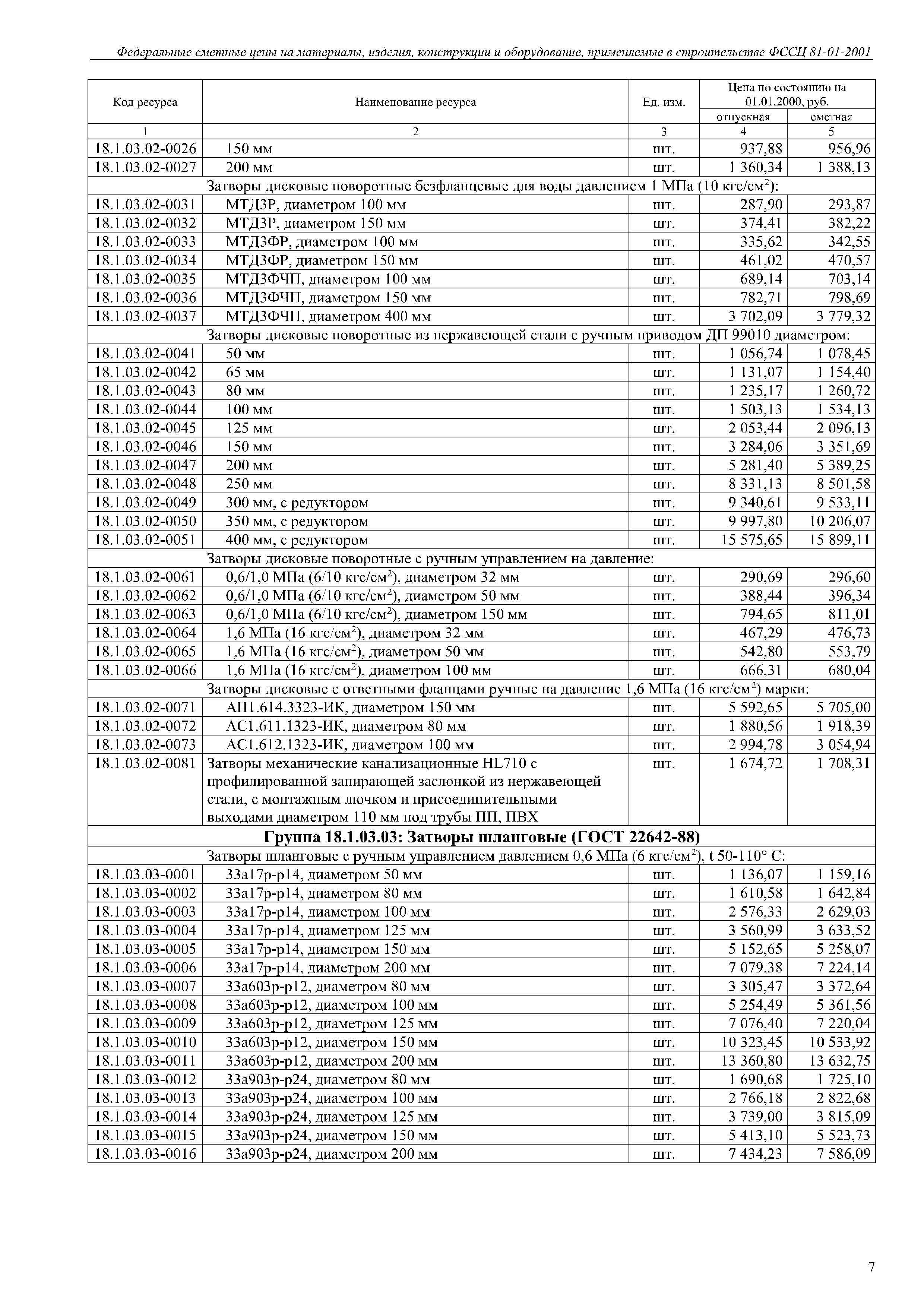
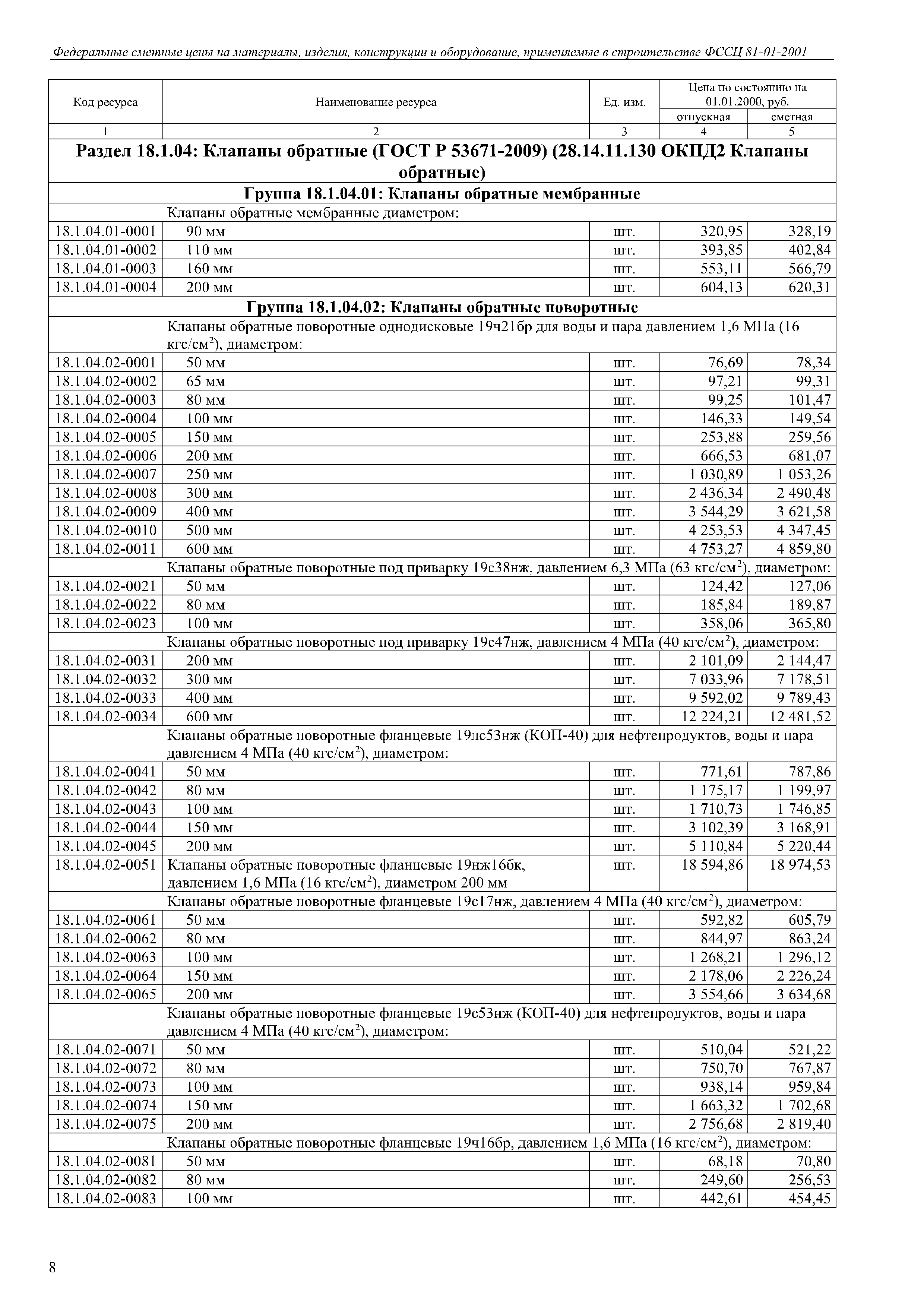
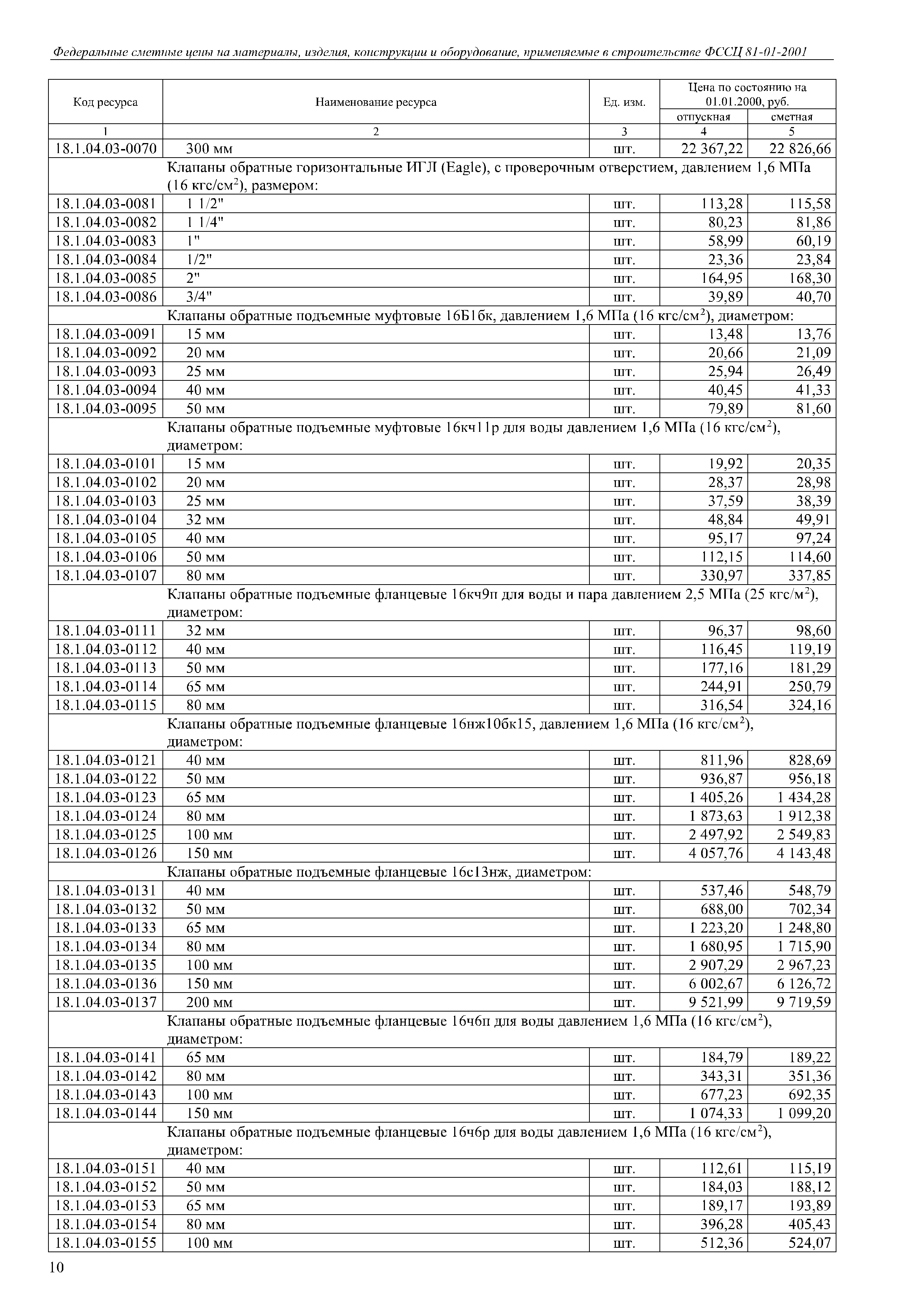
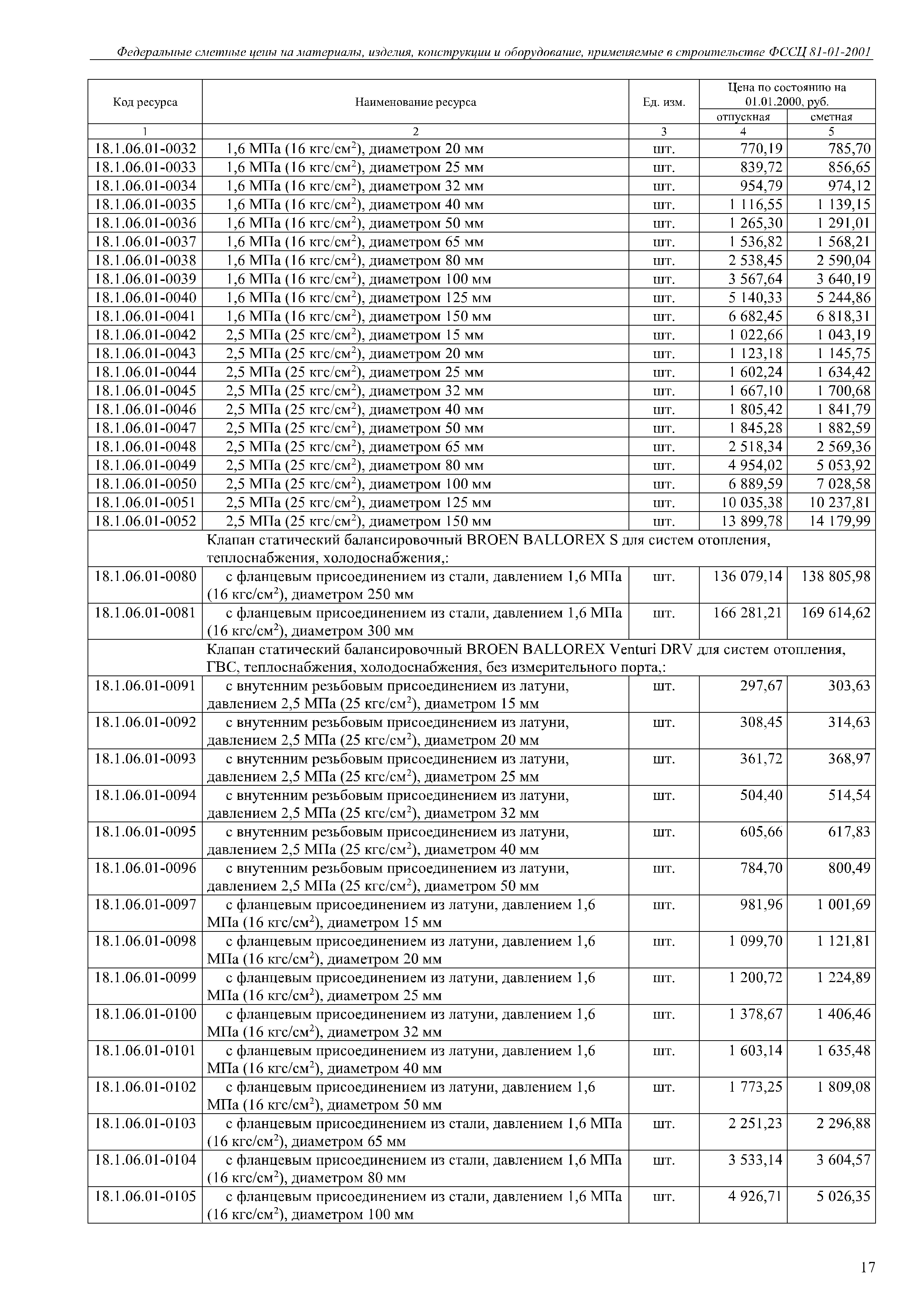
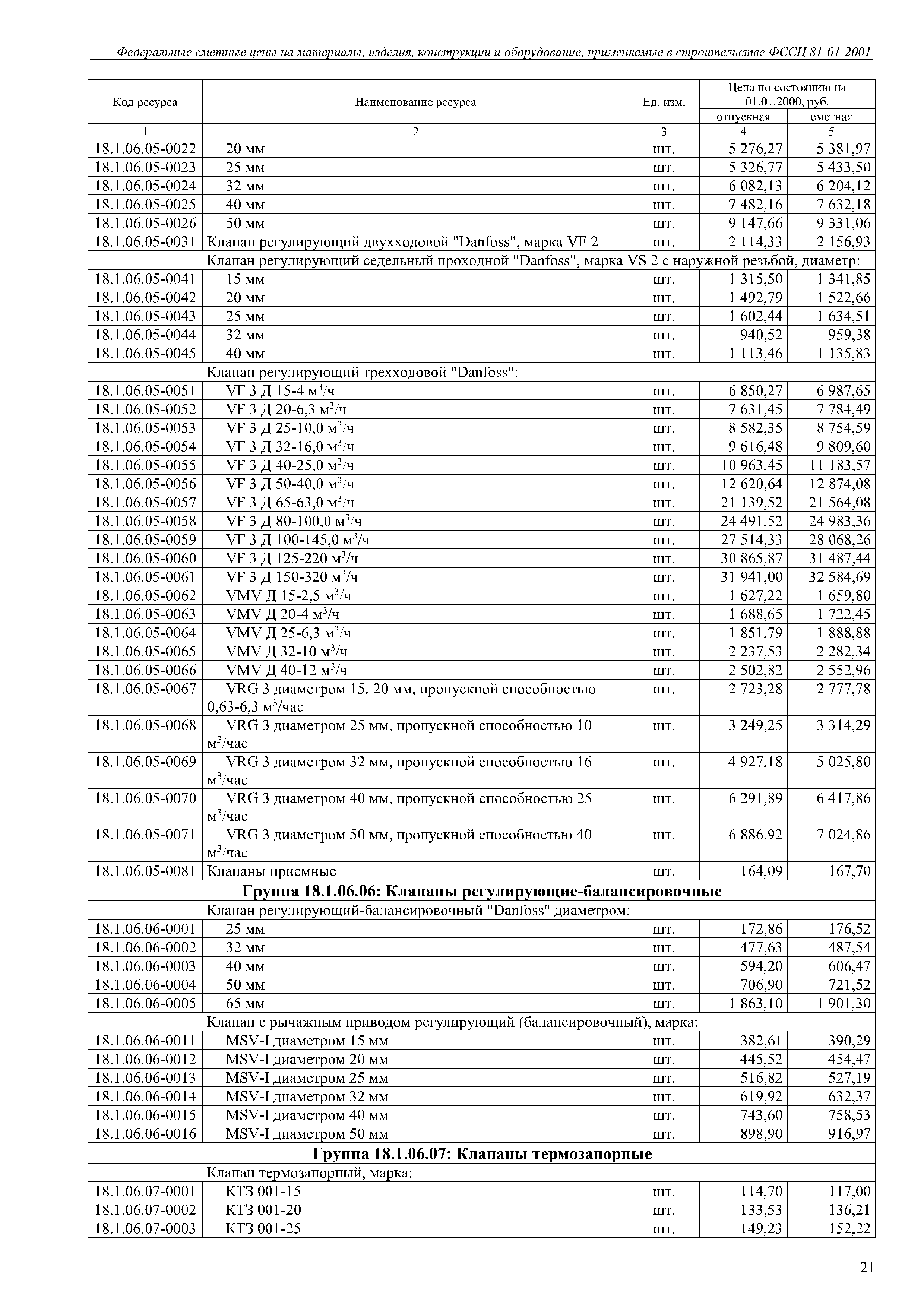
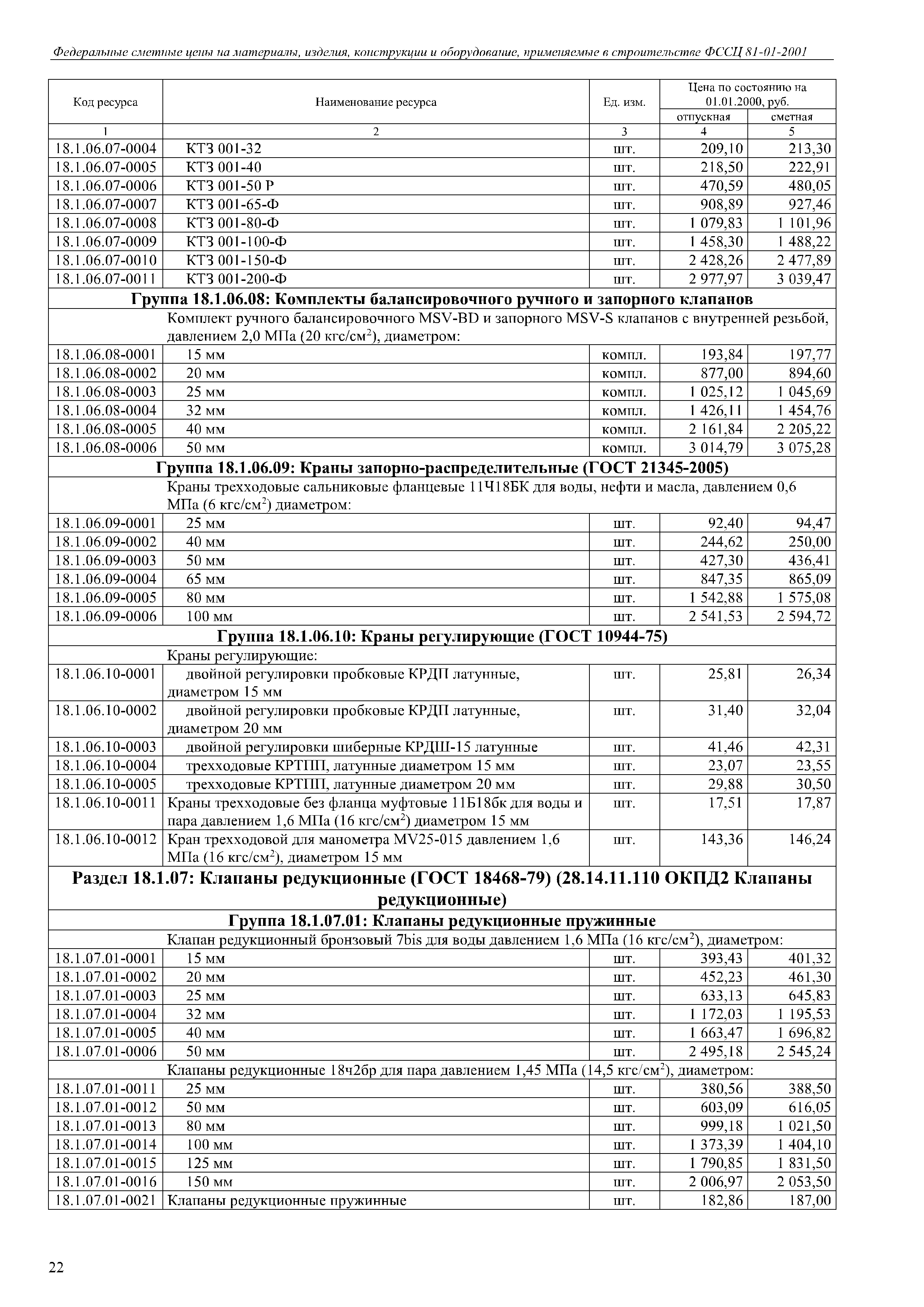
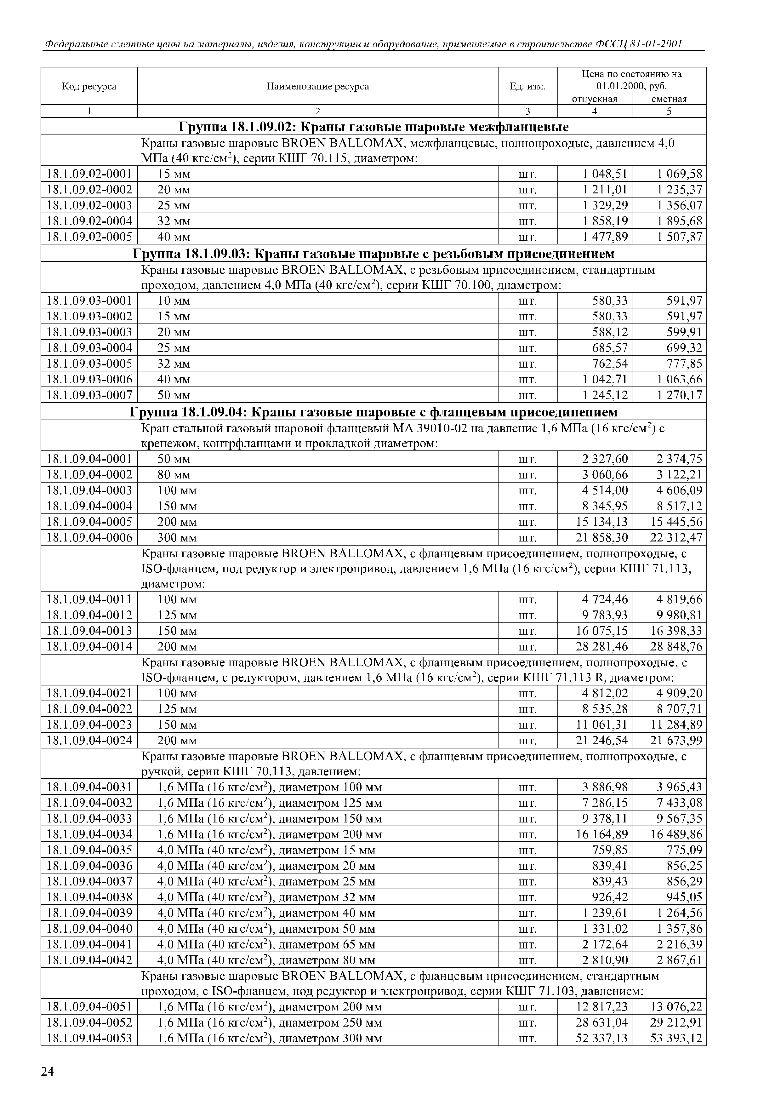
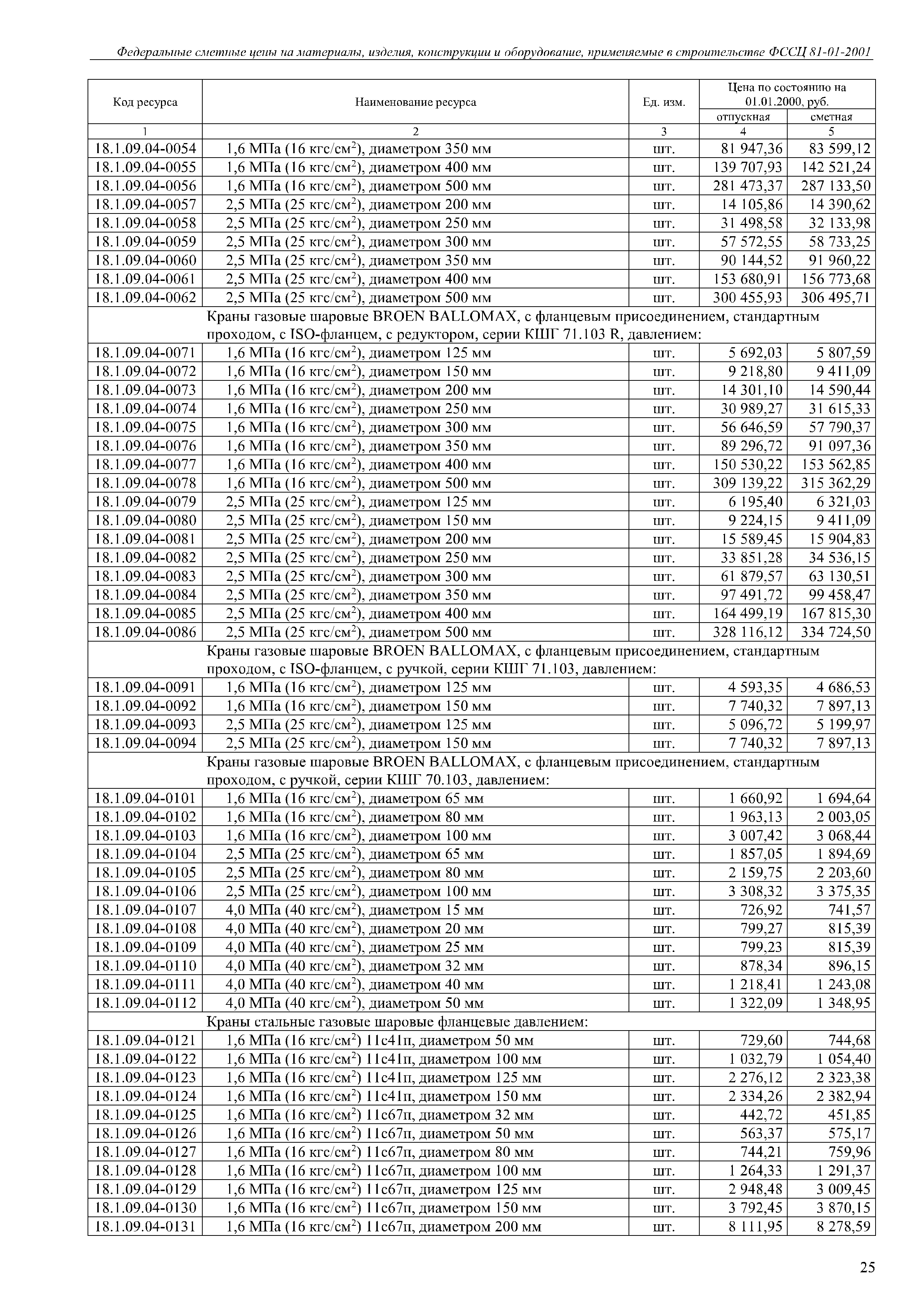
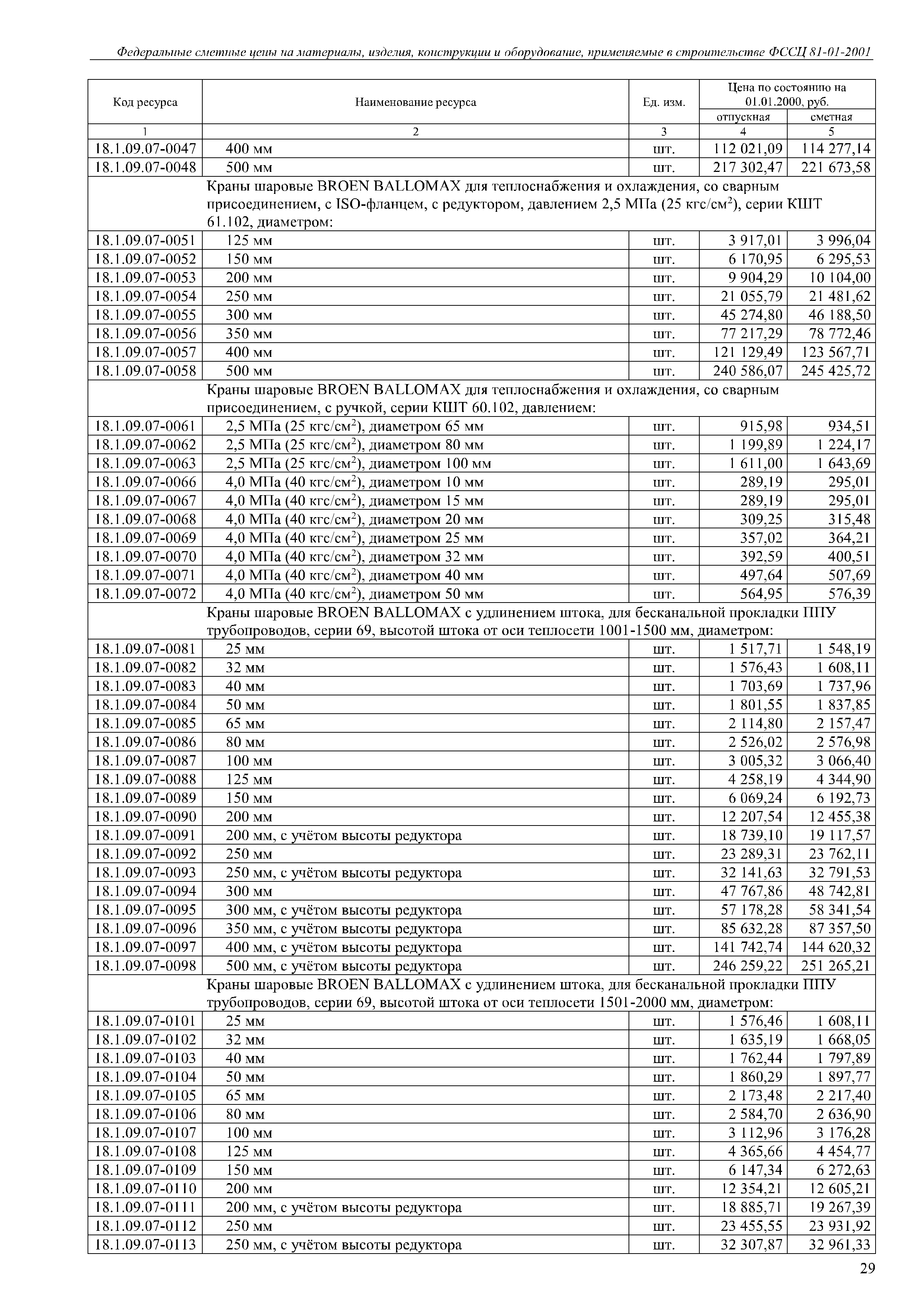
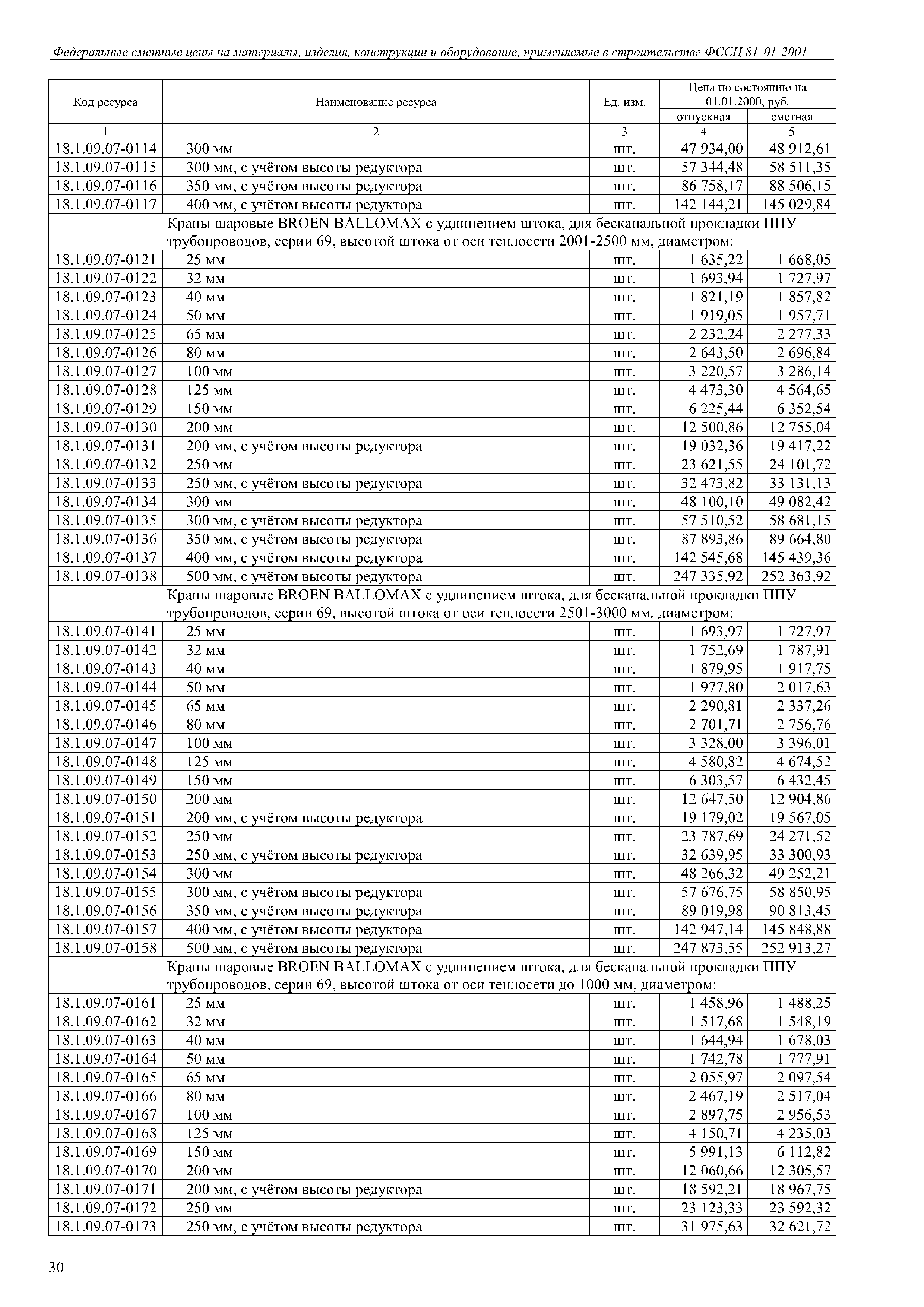
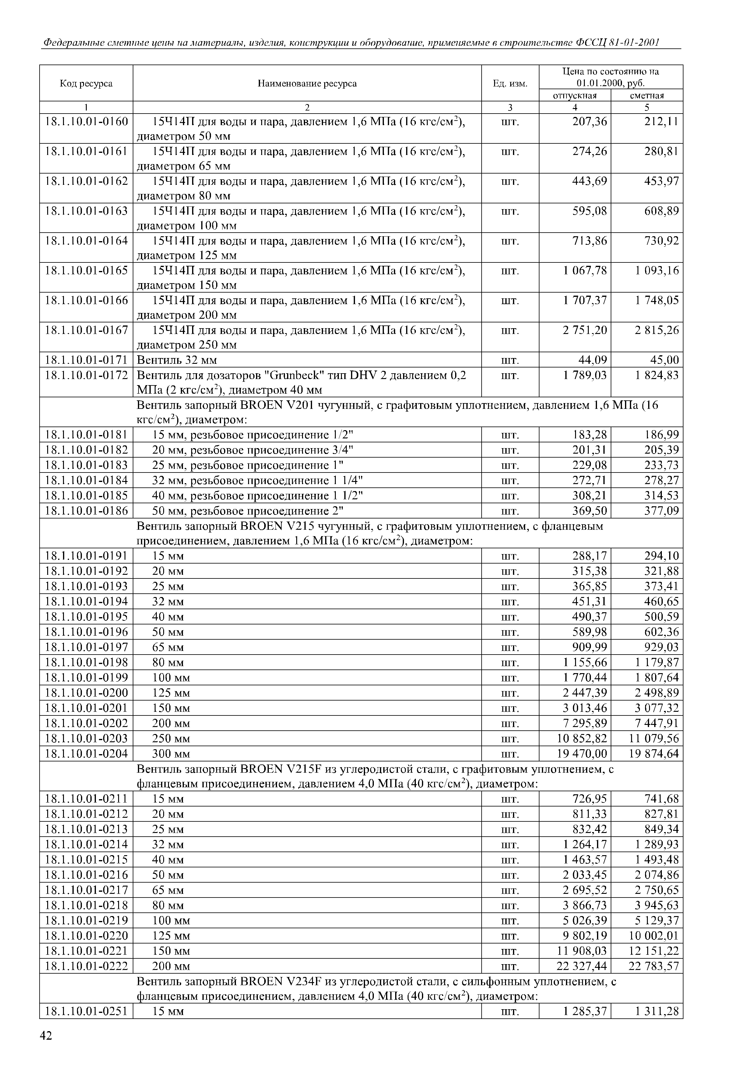
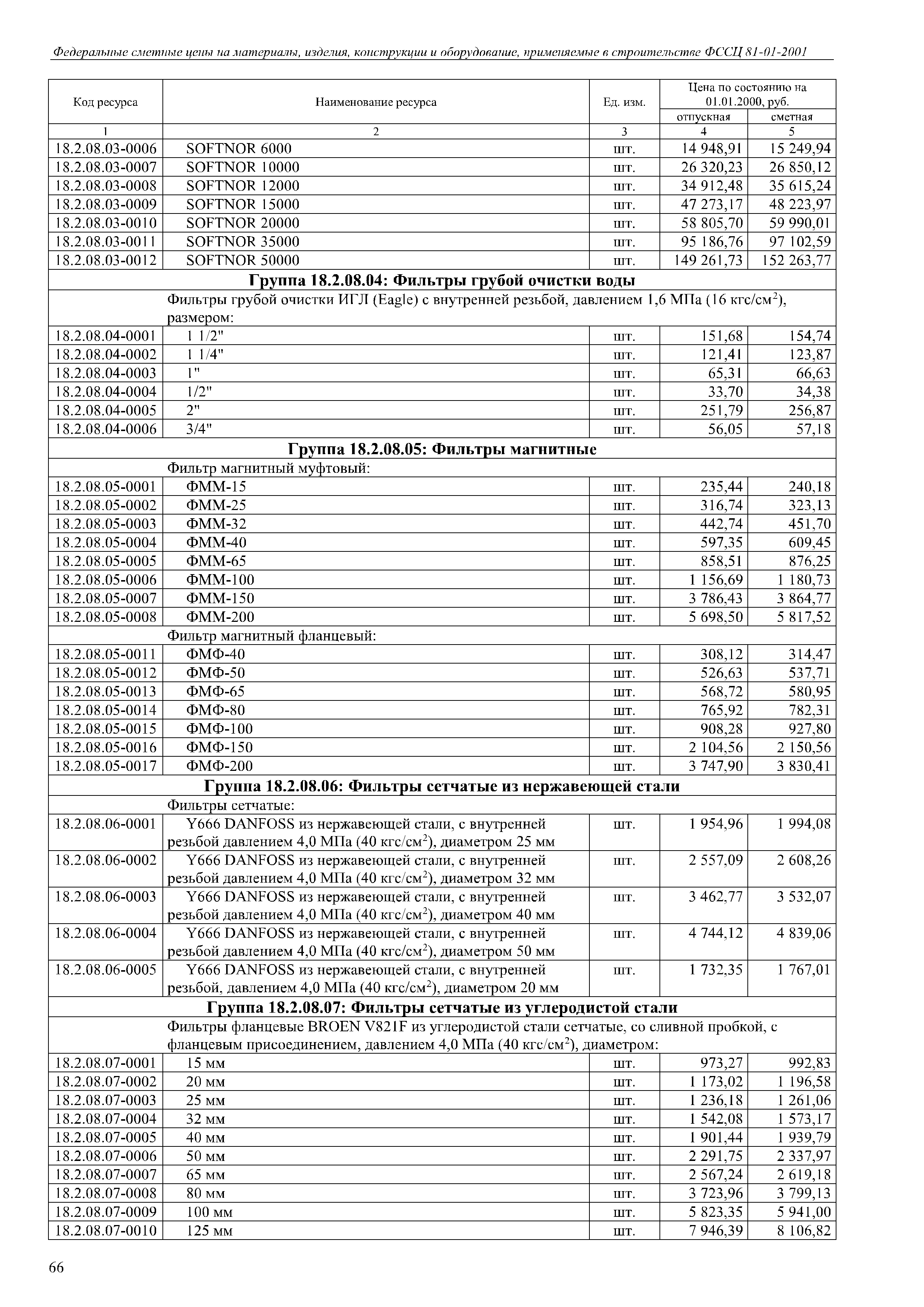
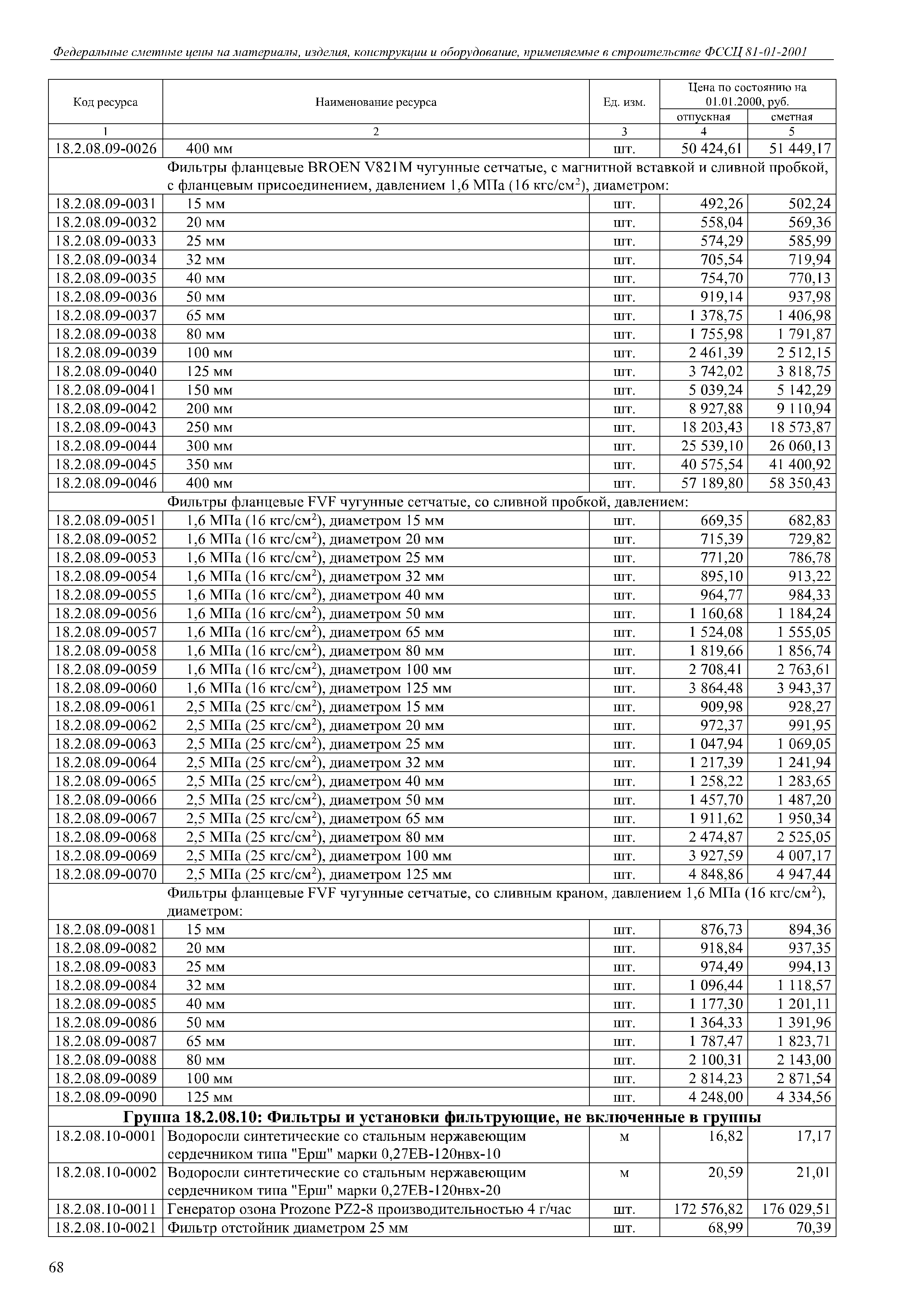
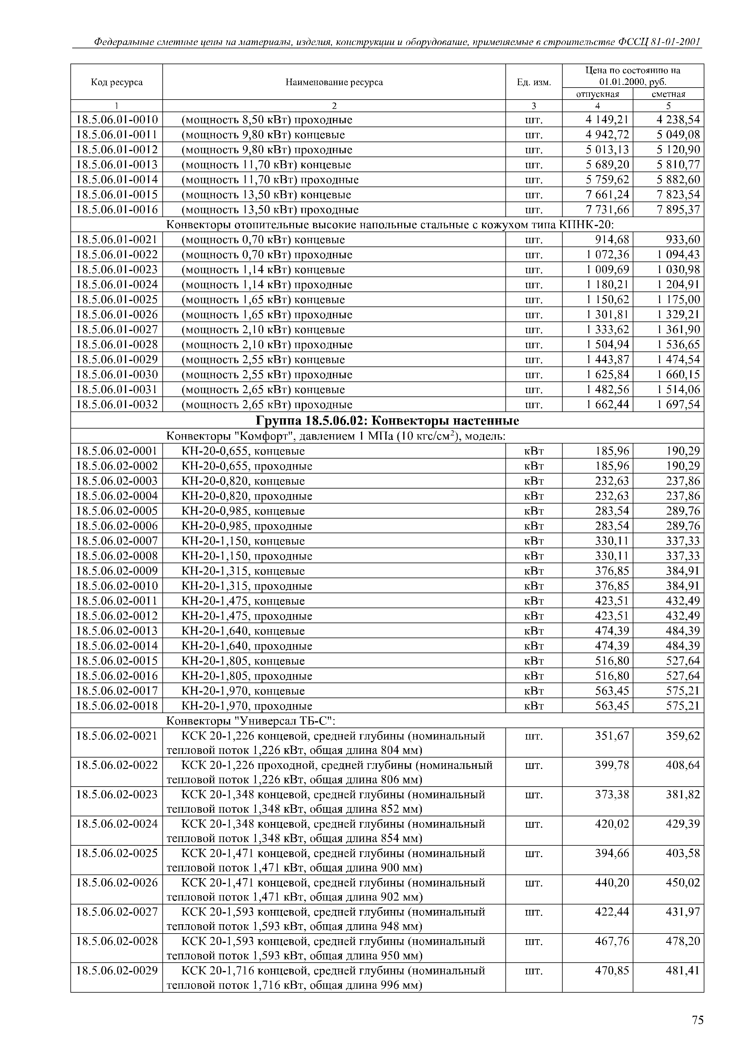
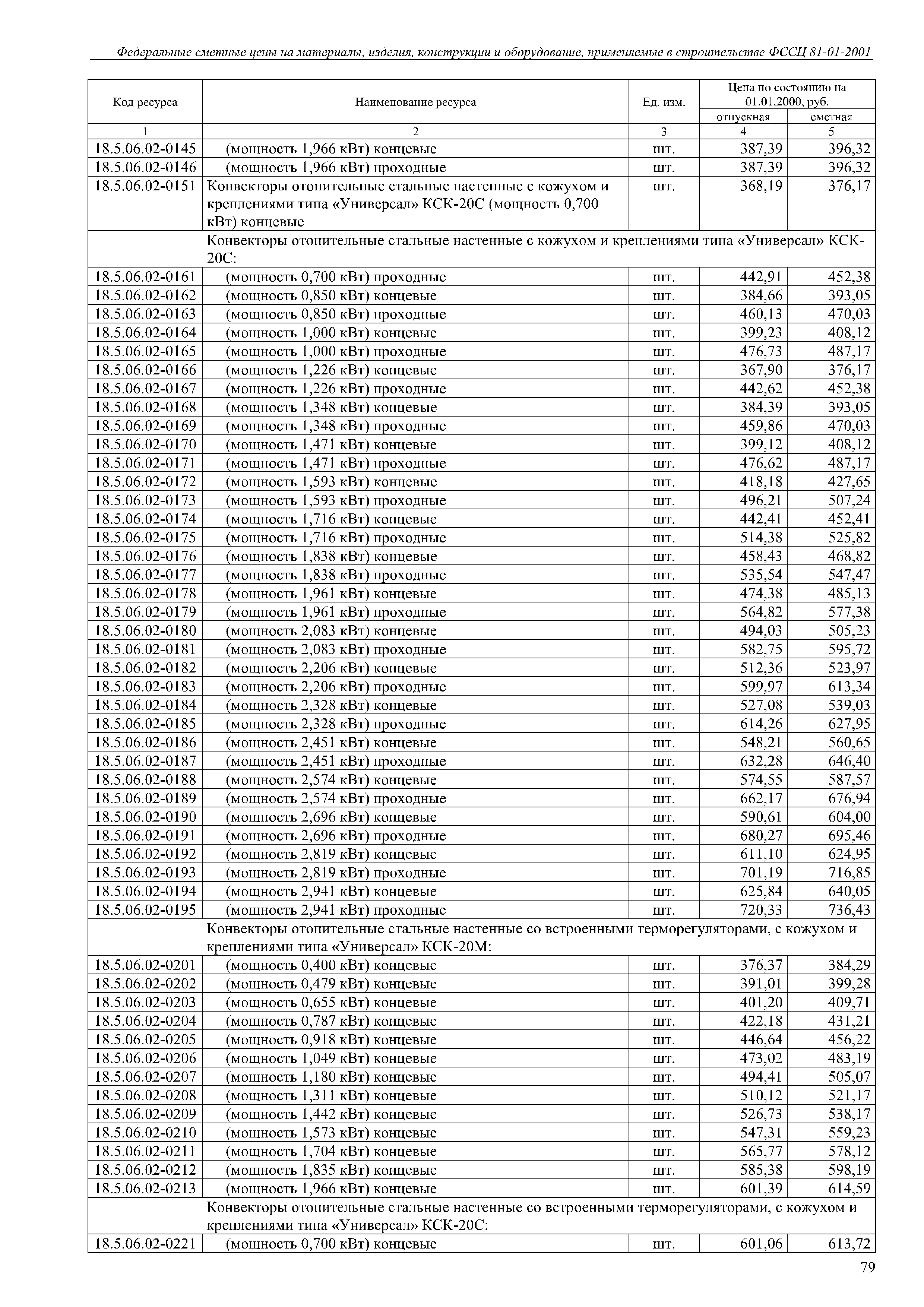
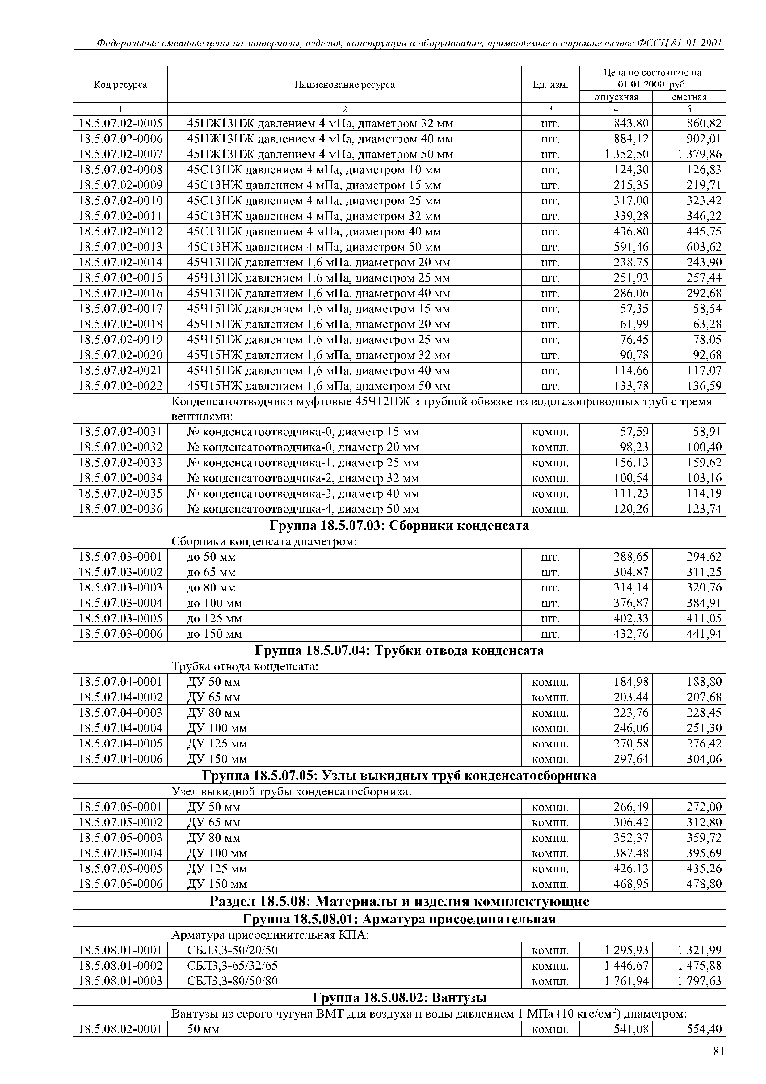
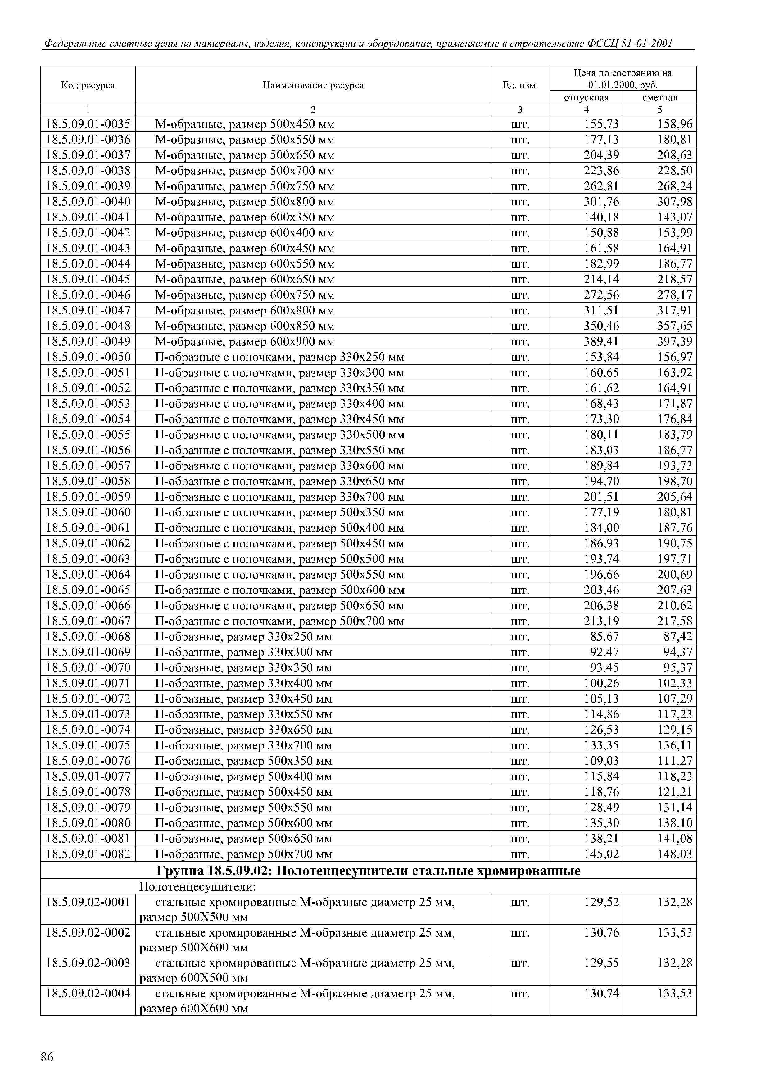
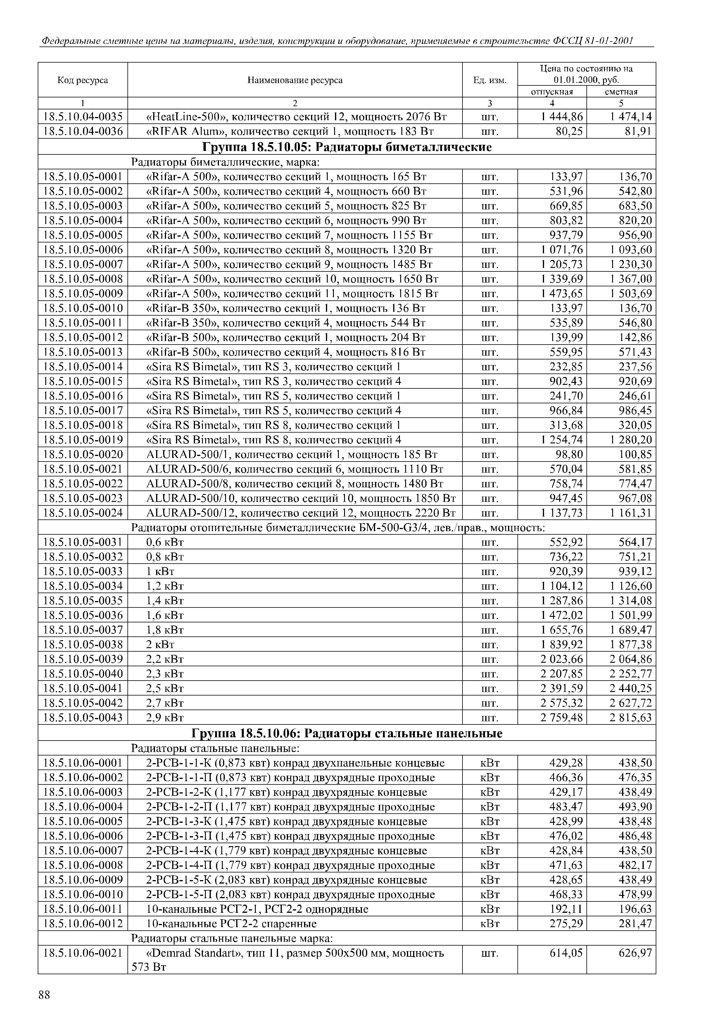
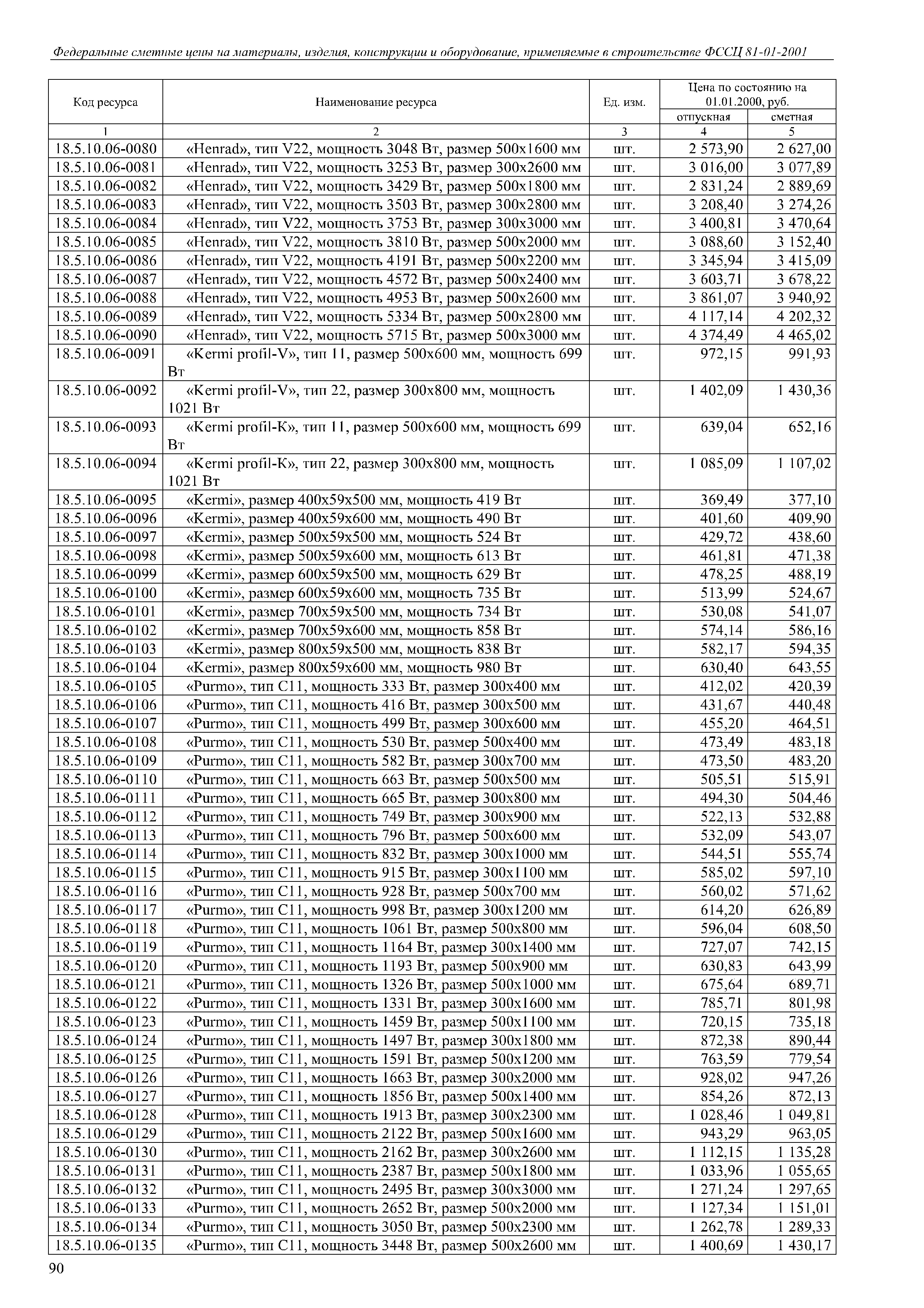
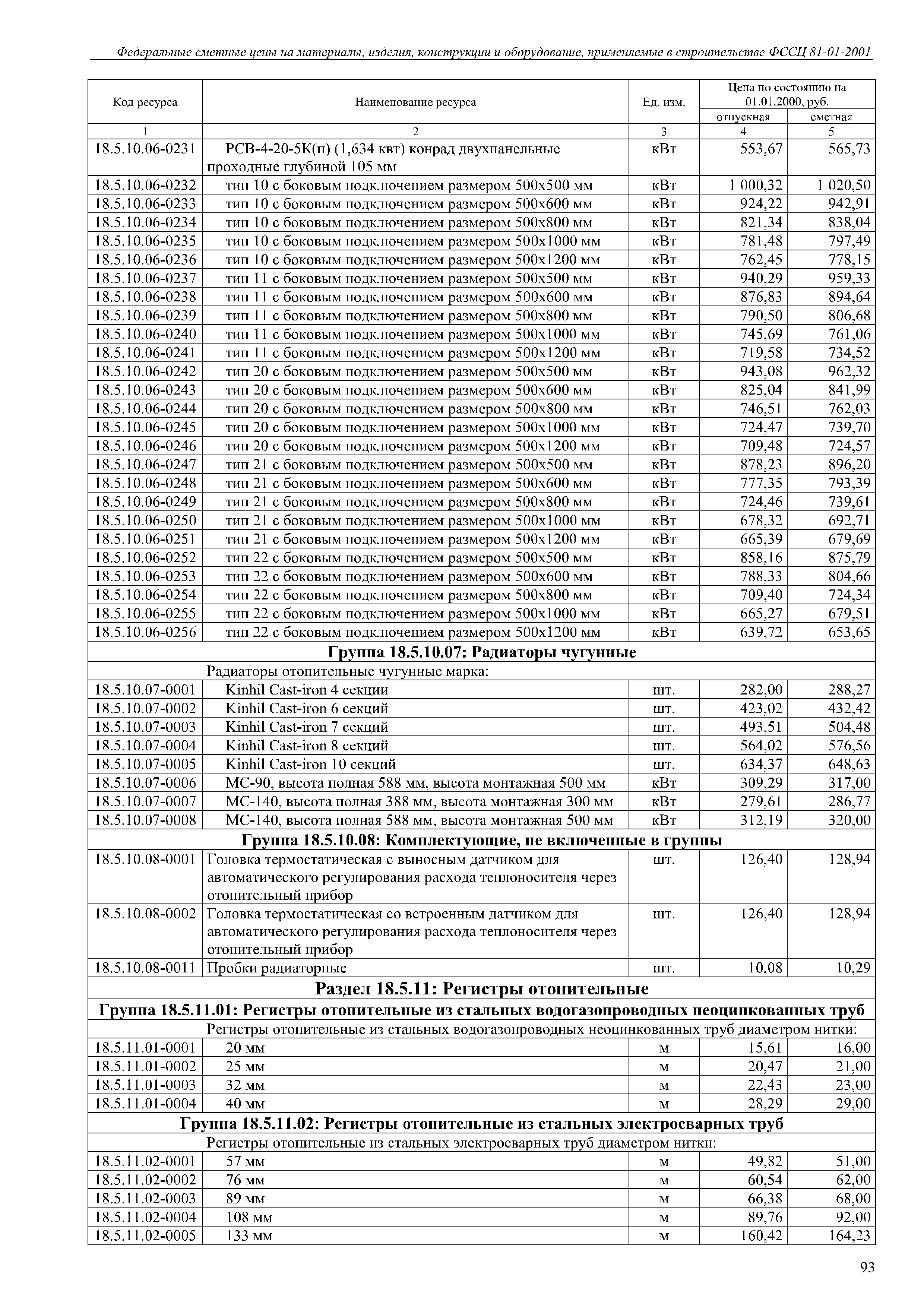
| Оглавление: | Часть 18.1: Арматура трубопроводная Раздел 18.1.02: Задвижки Раздел 18.1.03: Затворы Раздел 18.1.04: Клапаны обратные Раздел 18.1.05: Клапаны предохранительные Раздел 18.1.06: Клапаны регулирующие Раздел 18.1.07: Клапаны редукционные Раздел 18.1.08: Комплектующие кранов, клапанов Раздел 18.1.09: Краны шаровые Раздел 18.1.10: Краны, вентили, клапаны для раковин, моек, биде, унитазов, ванн и аналогичная арматура Раздел 18.1.11: Регуляторы давления и уровня Часть 18.2: Материалы и изделия для систем водоснабжения и канализации Раздел 18.2.01: Изделия санитарно-технические керамические Раздел 18.2.02: Изделия санитарно-технические металлические Раздел 18.2.03: Изделия санитарно-технические пластиковые Раздел 18.2.04: Колодцы Раздел 18.2.05: Комплектующие для бассейнов (прудов) Раздел 18.2.06: Комплектующие для санитарно-технических изделий Раздел 18.2.07: Узлы укрупненные монтажные (для трубопроводов) Раздел 18.2.08: Фильтры и комплектующие для системы водоснабжения Часть 18.3: Материалы и изделия для системы водяного пожаротушения Раздел 18.3.0 1: Рукава, стволы и головки для рукавов Раздел 18.3.02: Шкафы и щиты пожарные Часть 18.4: Материалы и изделия для систем газоснабжения Раздел 18.4.01: Материалы и изделия для систем газоснабжения Часть 18.5: Материалы и изделия для систем теплоснабжения Раздел 18.5.01: Баки расширительные Раздел 18.5.02: Баки, емкости и поддоны для воды Раздел 18.5.03: Вставки Раздел 18.5.04: Гребенки и комплектующие Раздел 18.5.05: Грязевики Раздел 18.5.06: Конвекторы отопительные Раздел 18.5.07: Конденсатоотводчики и комплектующие Раздел 18.5.08: Материалы и изделия комплектующие Раздел 18.5.09: Полотенцесушители Раздел 18.5.10: Радиаторы н комплектующие Раздел 18.5.11: Регистры отопительные Раздел 18.5.12: Трубы отопительные ребристые Раздел 18.5.13: Узлы укрупненные монтажные, элеваторы (для трубопроводов) Раздел 18.5.14: Фильтры для системы отопления |
| Утверждён: | 30.12.2016 Минстрой России (Russian Federation Minstroy 1039/пр) |
| Список изменений: | |
| Нормативные ссылки: |
|


































































































Текстовое изменение № 1

