Скачать ГОСТ Р 56828.32-2017 Наилучшие доступные технологии. Ресурсосбережение. Методологии идентификацииДата актуализации: 01.01.2021
|
| Обозначение: | ГОСТ Р 56828.32-2017 |
| Обозначение англ: | GOST R 56828.32-2017 |
| Статус: | введен впервые |
| Название рус.: | Наилучшие доступные технологии. Ресурсосбережение. Методологии идентификации |
| Название англ.: | Best available techniques. The methodology of identifying |
| Дата добавления в базу: | 01.01.2018 |
| Дата актуализации: | 01.01.2021 |
| Дата введения: | 01.12.2017 |
| Область применения: | Стандарт устанавливает требования к методологическим подходам идентификации наилучших доступных технологий, в соответствии с которыми хозяйствующий субъект (юридическое лицо или индивидуальный предприниматель, пользователь) в любой отрасли промышленности добивается материало-, энергосбережения с одновременным снижением негативной техногенной нагрузки на окружающую среду. Стандарт распространяется на любые технологические решения, применяемые в процессах хозяйственной деятельности с учетом технических особенностей оборудования (установок), географического расположения, экономических предпосылок и местных условий состояния окружающей среды. Стандарт не распространяется на деятельность, связанную с обеспечением экологической безопасности в военной сфере, производством ядерных материалов, деятельностью по обеспечению работоспособности атомных электростанций, производством электроэнергии атомными электростанциями. Требования, установленные в стандарте, предназначены для применения в нормативно-правовой, нормативной, технической и проектно-конструкторской документации, а также в научно-технической, учебной и справочной литературе применительно к процессам энергосбережения в хозяйственной деятельности организаций, обеспечивая при этом защиту окружающей среды, здоровья людей и сохранение их имущества. |
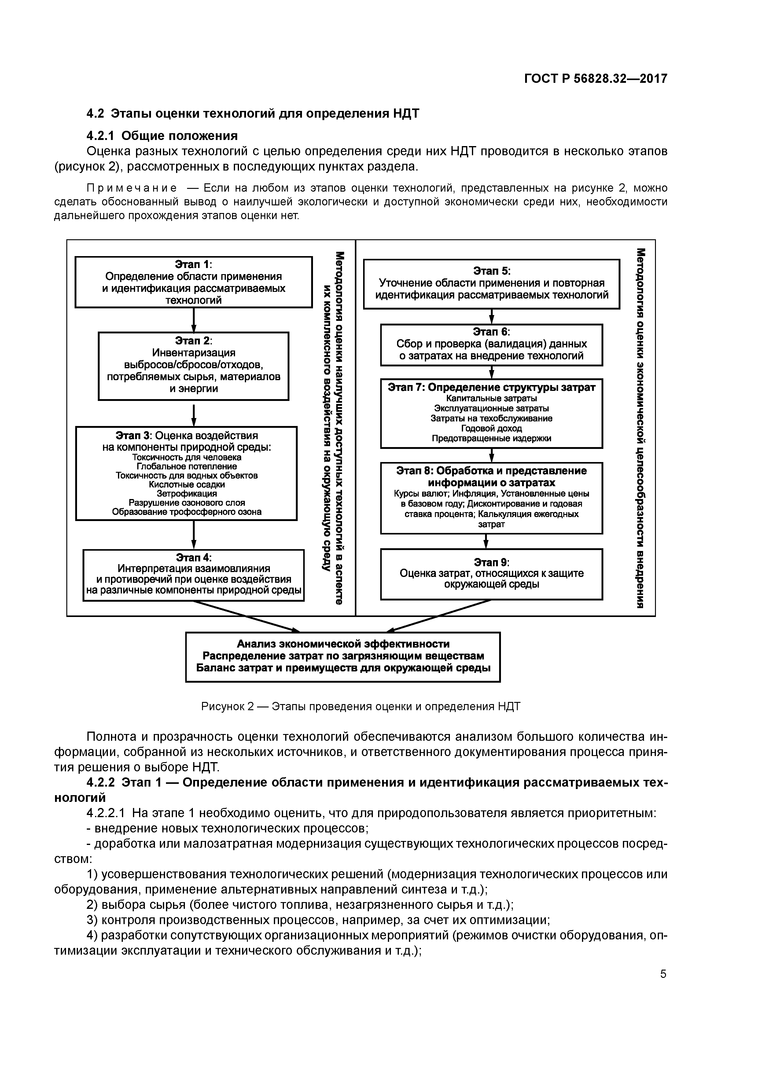
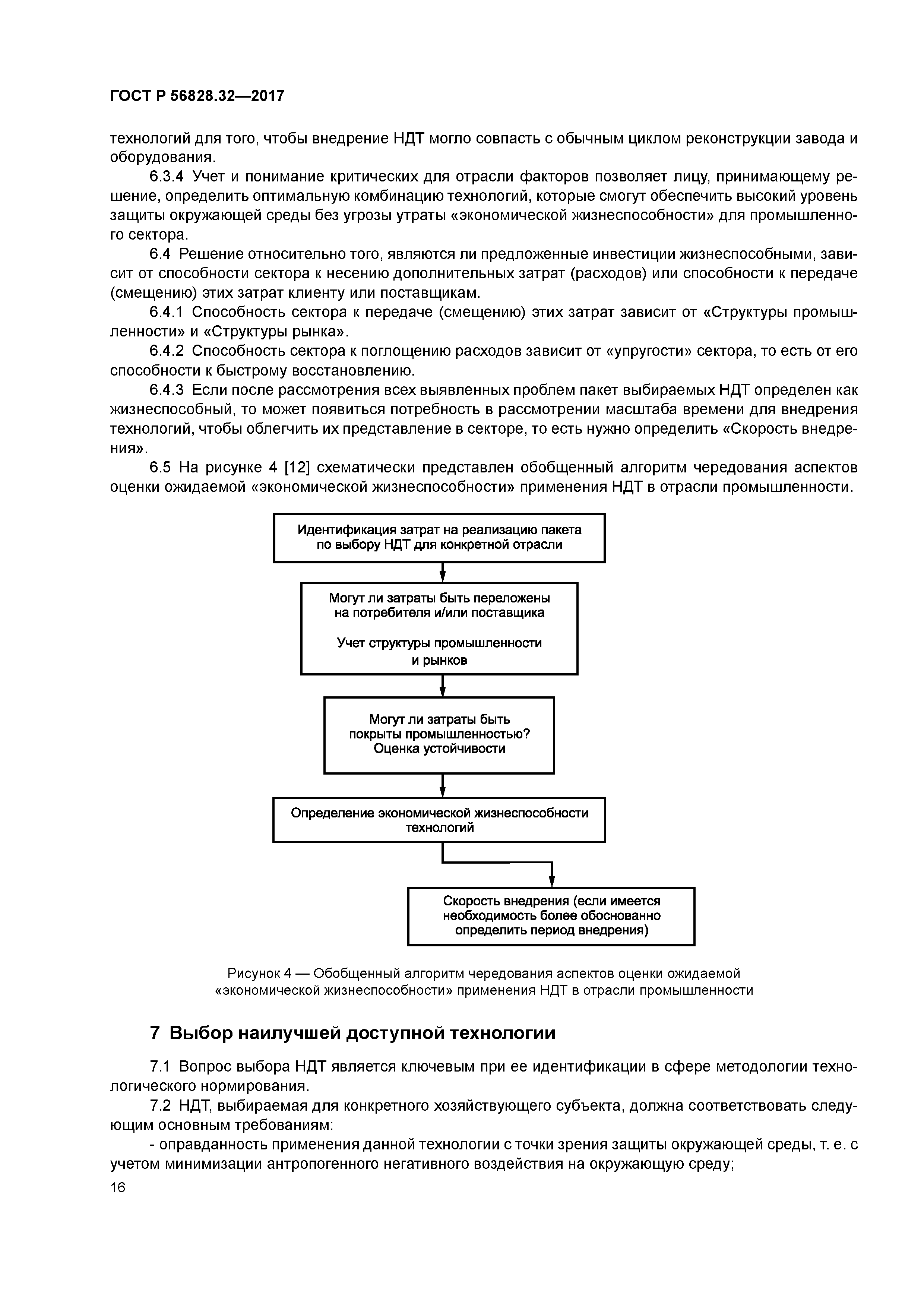
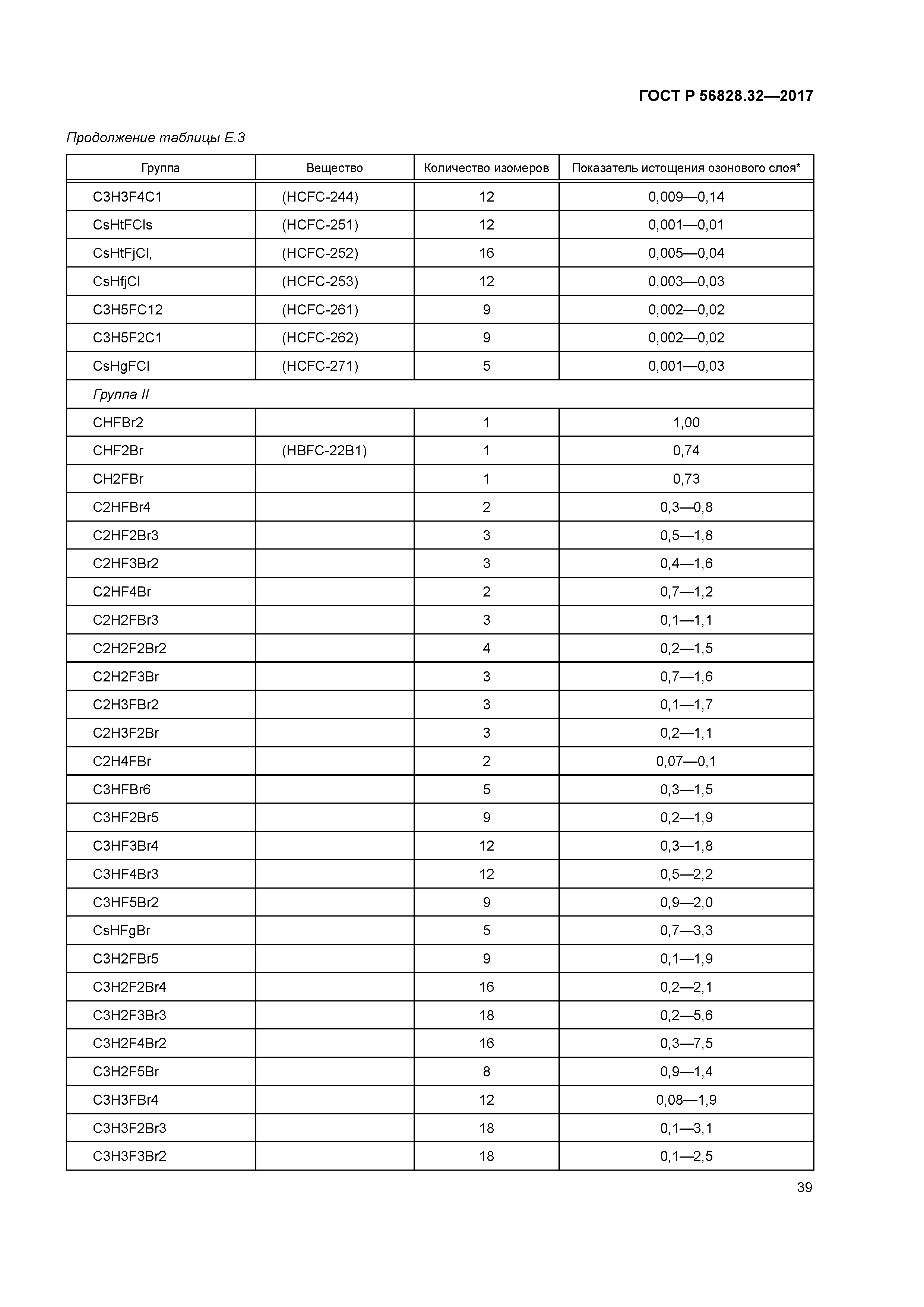
| Оглавление: | 1 Область применения 2 Нормативные ссылки 3 Термины и определения 4 Оценка технологий и определение на ее основе наилучших доступных технологий для хозяйственной и иной деятельности 4.1 Общие положения 4.2 Этапы оценки технологий для определения НДТ 5 Оценка и сравнение альтернативных технологий 5.1 Анализ экономической эффективности 5.2 Распределение затрат между загрязняющими выбросами/сбросами 5.3 Сопоставление затрат на внедрение технологий и выгод для окружающей среды 6 Оценка «экономической жизнеспособности)) технологии в конкретной отрасли промышленности 7 Выбор наилучшей доступной технологии 8 Внедрение наилучшей доступной технологии Приложение А (справочное) Показатели токсичности для человека Приложение Б (справочное) Показатели глобального потепления Приложение В (справочное) Показатели токсичности для водных объектов Приложение Г (справочное) Показатели образования кислотных осадков Приложение Д (справочное) Показатели эвтрофикации Приложение Е (справочное) Показатели истощения озонового слоя Приложение Ж (справочное) Показатели образования тропосферного озона Библиография |
| Разработан: | ФГУП ВНИИ СМТ ИП Боравская Татьяна Васильевна |
| Утверждён: | 10.08.2017 Федеральное агентство по техническому регулированию и метрологии (854-ст) |
| Издан: | Стандартинформ (2017 г. ) |
| Нормативные ссылки: |
|





















































