Скачать ГОСТ Р 57942-2017 Шпунт композитный полимерный. Общие технические требования и методы испытаний

Дата актуализации: 01.01.2021

ГОСТ Р 57942-2017

Шпунт композитный полимерный. Общие технические требования и методы испытаний

Обозначение: ГОСТ Р 57942-2017
Обозначение англ: GOST R 57942-2017
Статус:введен впервые
Название рус.:Шпунт композитный полимерный. Общие технические требования и методы испытаний
Название англ.:Polymer composite sheet piles. General technical requirements and test methods
Дата добавления в базу:01.01.2019
Дата актуализации:01.01.2021
Дата введения:01.05.2018
Область применения:Стандарт распространяется на полимерные композитные шпунты, предназначенные для применения при сооружении шпунтовых ограждений различного назначения в гидротехническом, транспортном, промышленном и гражданском строительстве.
Оглавление:1 Область применения
2 Нормативные ссылки
3 Термины и определения
4 Классификация
5 Технические требования
6 Методы испытаний
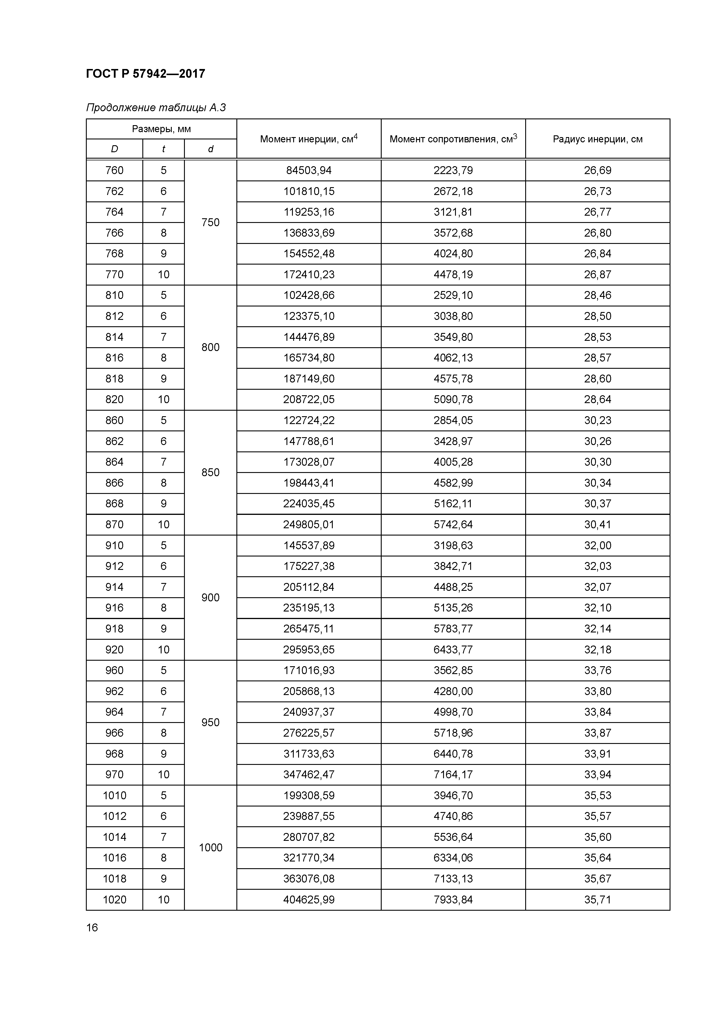
Приложение А (справочное) Рекомендуемые геометрические размеры композитных шпунтов
Разработан: Объединение юридических лиц Союз производителей композитов
АНО Центр нормирования, стандартизации и классификации композитов
АО Научно-исследовательский институт конструкционных материалов на основе графита
ООО Научно-производственное предприятие Центр Пултрузии
Утверждён:10.11.2017 Федеральное агентство по техническому регулированию и метрологии (1732-ст)
Издан: Стандартинформ (2017 г. )
Нормативные ссылки:
ГОСТ Р 57942-2017ГОСТ Р 57942-2017ГОСТ Р 57942-2017ГОСТ Р 57942-2017ГОСТ Р 57942-2017ГОСТ Р 57942-2017ГОСТ Р 57942-2017ГОСТ Р 57942-2017ГОСТ Р 57942-2017ГОСТ Р 57942-2017ГОСТ Р 57942-2017ГОСТ Р 57942-2017ГОСТ Р 57942-2017ГОСТ Р 57942-2017ГОСТ Р 57942-2017ГОСТ Р 57942-2017ГОСТ Р 57942-2017ГОСТ Р 57942-2017ГОСТ Р 57942-2017ГОСТ Р 57942-2017ГОСТ Р 57942-2017ГОСТ Р 57942-2017ГОСТ Р 57942-2017