Скачать ГОСТ Р 57714-2017 Композиты полимерные. Определение ползучести при растяжении, ползучести при сжатии и разрушения при ползучестиДата актуализации: 01.01.2021
|
| Обозначение: | ГОСТ Р 57714-2017 |
| Обозначение англ: | GOST R 57714-2017 |
| Статус: | введен впервые |
| Название рус.: | Композиты полимерные. Определение ползучести при растяжении, ползучести при сжатии и разрушения при ползучести |
| Название англ.: | Polymer composites. Determination of tensile creep, compressive creep and creep-rapture |
| Дата добавления в базу: | 01.01.2018 |
| Дата актуализации: | 01.01.2021 |
| Дата введения: | 01.02.2018 |
| Область применения: | Стандарт распространяется на полимерные композиты, а также пластмассы и устанавливает методы определения ползучести при растяжении, сжатии, изгибе и длительную прочность при ползучести. |
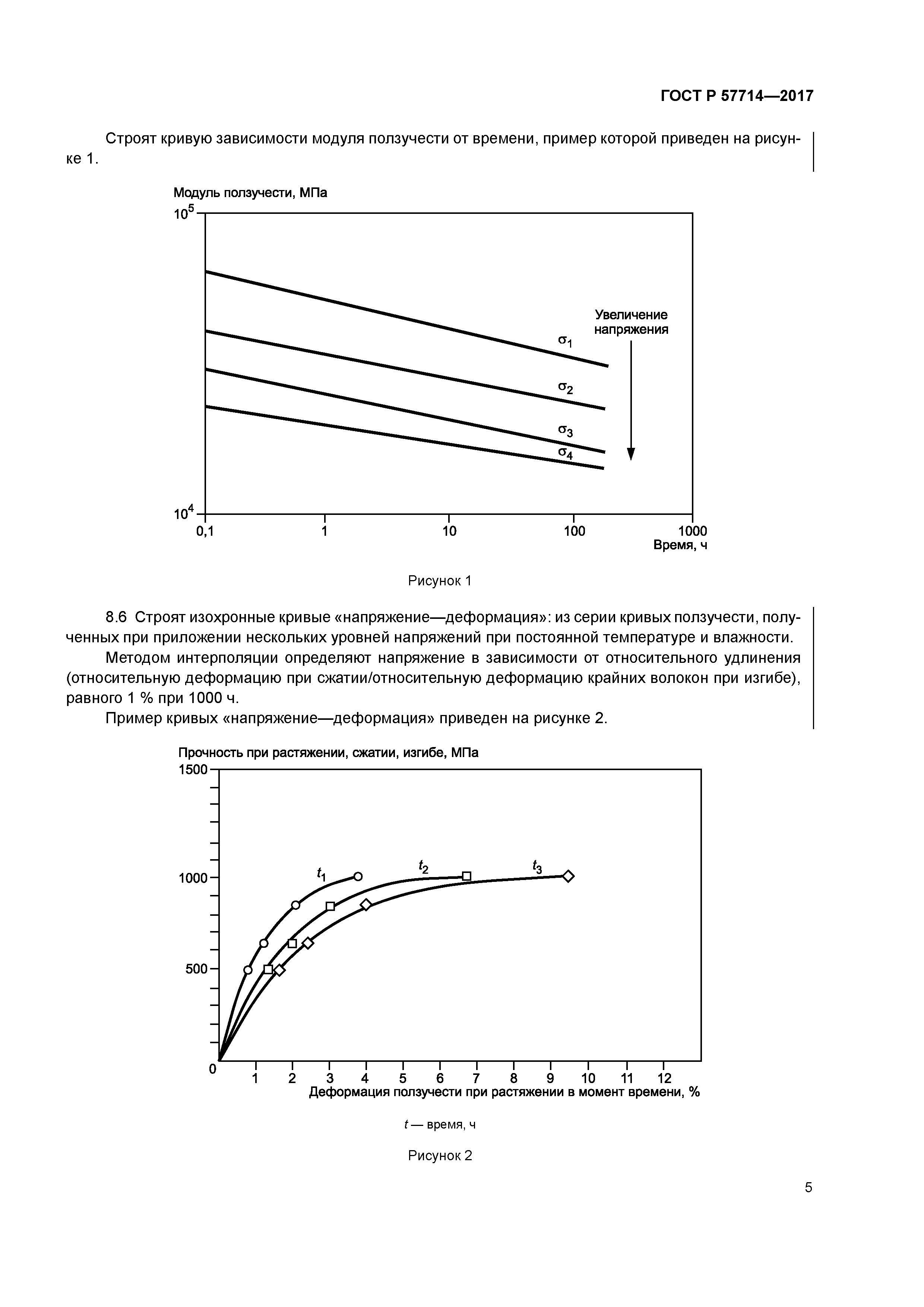
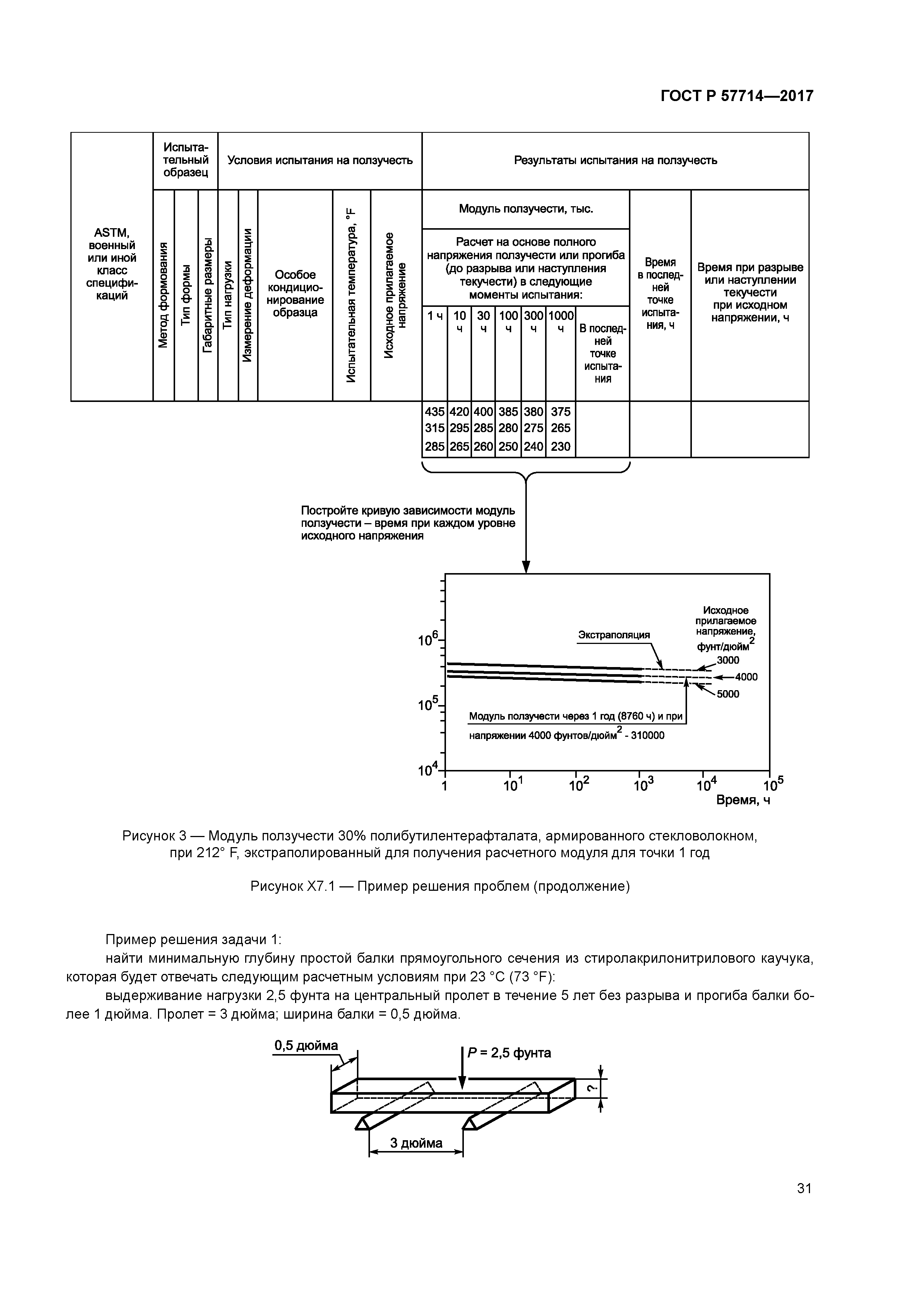
| Оглавление: | 1 Область применения 2 Нормативные ссылки 3 Термины и определения 4 Сущность метода 5 Оборудование 6 Подготовка к проведению испытаний 7 Проведение испытаний 8 Обработка результатов 9 Протокол испытаний Приложение А (справочное) Пример испытательного стенда Приложение ДА (справочное) Оригинальный текст модифицированных структурных элементов Приложение ДБ (справочное) Оригинальный текст невключенных структурных элементов Приложение ДВ (справочное) Сопоставление структуры настоящего стандарта со структурой примененного в нем стандарта АСТМ Приложение ДГ (справочное) Сведения о соответствии ссылочных национальных и межгосударственных стандартов стандартам АСТМ, использованным в качестве ссылочных в примененном стандарте АСТМ |
| Разработан: | Объединение юридических лиц Союз производителей композитов ООО Инновации будущего АНО Центр нормирования, стандартизации и классификации композитов |
| Утверждён: | 26.09.2017 Федеральное агентство по техническому регулированию и метрологии (1241-ст) |
| Издан: | Стандартинформ (2017 г. ) |
| Нормативные ссылки: |
|






































