Скачать ГОСТ 34284-2017 Продукты пищевые, корма, продовольственное сырье, объекты биологические животного происхождения. Метод обнаружения анаболических стимуляторов роста с помощью иммуноферментного анализа с хемилюминесцентной детекцией с использованием технологии биочиповДата актуализации: 01.01.2021
|
| Обозначение: | ГОСТ 34284-2017 |
| Обозначение англ: | GOST 34284-2017 |
| Статус: | введен впервые |
| Название рус.: | Продукты пищевые, корма, продовольственное сырье, объекты биологические животного происхождения. Метод обнаружения анаболических стимуляторов роста с помощью иммуноферментного анализа с хемилюминесцентной детекцией с использованием технологии биочипов |
| Название англ.: | Food products, feed, food raw materials, biological objects of animal origin. Method for the detection of anabolic growth promoters by the hemiluminescence immunoenzymatic assay with the use of biochip technology |
| Дата добавления в базу: | 01.01.2019 |
| Дата актуализации: | 01.01.2021 |
| Дата введения: | 01.01.2019 |
| Область применения: | Стандарт распространяется на пищевые продукты в части мяса всех видов животных (включая бескостное, парное, охлажденное, замороженное, и размороженное), мясокостный и кусковой полуфабрикаты, корма, а также биологические объекты животного происхождения (мочу) и устанавливает иммуноферментный метод с хемилюминесцентной детекцией обнаружения с использованием биочипов бетта-агонистов (кленбутерол, карбутерол, бромбутерол, салбутамол, метилкленбутерол, тербуталин, мабутерол, пирбутерол, мапентерол, кимбутерол), болденона, кортикостероидов (дексаметазон, флюметазон, бетаметазон), нандролона, рактопамина, станозолола, стильбенов (диэтилстилбестрол, гексэстрол), тренболона, зеранола. |
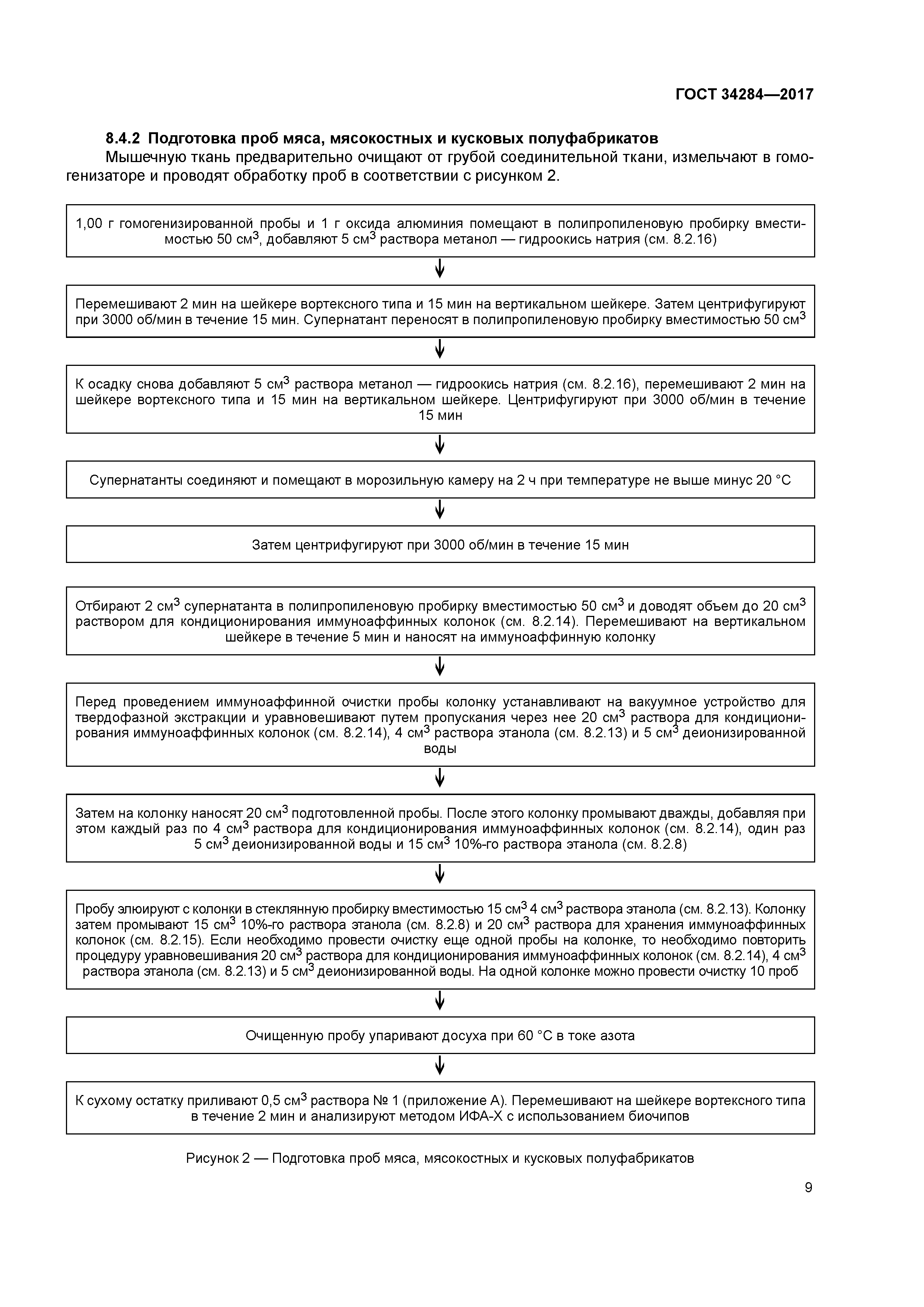
| Оглавление: | 1 Область применения 2 Нормативные ссылки 3 Термины и определения 4 Сущность метода 5 Пределы обнаружения анаболических стимуляторов роста и специфичность АТ выраженная в коэффициентах перекрестного реагирования 6 Требования безопасности и условия выполнения измерений 7 Средства измерений, вспомогательное оборудование, материалы, посуда и реактивы 8 Подготовка к выполнению анализа 9 Проведение иммуноферментного анализа с хемилюминесцентной детекцией (ИФА-Х) с использованием технологии биочипов 10 Обработка результатов измерения Приложение А (справочное) Комплектация тест-системы «GROWTH PROMOTER MULTIPLE MATRIX SCREEN (GPMMS)» Приложение Б (рекомендуемое) Схема заполнения кассет с биочипами, вставленными в держатель Приложение В (обязательное) Наборы для пробоподготовки |
| Разработан: | ФГБУ ВГНКИ |
| Утверждён: | 25.09.2017 Межгосударственный Совет по стандартизации, метрологии и сертификации (Inter-Governmental Council on Standardization, Metrology, and Certification 103-П) 14.11.2017 Федеральное агентство по техническому регулированию и метрологии (1738-ст) |
| Издан: | Стандартинформ (2017 г. ) Стандартинформ (2018 г. ) |
| Список изменений: |
|
| Нормативные ссылки: |
|

















Текстовое изменение Поправка от 08.11.2019