Скачать ГОСТ 34367.2-2017 Композиты полимерные. Сбор и представление сопоставимых численных данных о свойствах композитов, армированных непрерывными волокнами

Дата актуализации: 01.01.2021

ГОСТ 34367.2-2017

Композиты полимерные. Сбор и представление сопоставимых численных данных о свойствах композитов, армированных непрерывными волокнами

Обозначение: ГОСТ 34367.2-2017
Обозначение англ: GOST 34367.2-2017
Статус:введен впервые
Название рус.:Композиты полимерные. Сбор и представление сопоставимых численных данных о свойствах композитов, армированных непрерывными волокнами
Название англ.:Polymer composites. Acquisition and presentation of comparable numerical property data for long-fibre-reinforced composites
Дата добавления в базу:01.01.2019
Дата актуализации:01.01.2021
Дата введения:01.06.2018
Область применения:Стандарт распространяется на полимерные композиты, матрица которых образована из термопластичных или термореактивных полимеров, армированные непрерывными волокнами или волокнами длиной не менее 7,5 мм (до начала изготовления изделия) и устанавливает методы испытаний, обеспечивающие сбор и представление сопоставимых численных данных основных свойств, которые определяются одним значением.
Оглавление:1 Область применения
2 Нормативные ссылки
3 Термины и определения
4 Изготовление и кондиционирование образцов
5 Требования к испытаниям
6 Представление результатов
Приложение ДА (обязательное) Методы определения механических характеристик при изгибе (данное приложение заменяет ссылку на ISO 14125:1998)
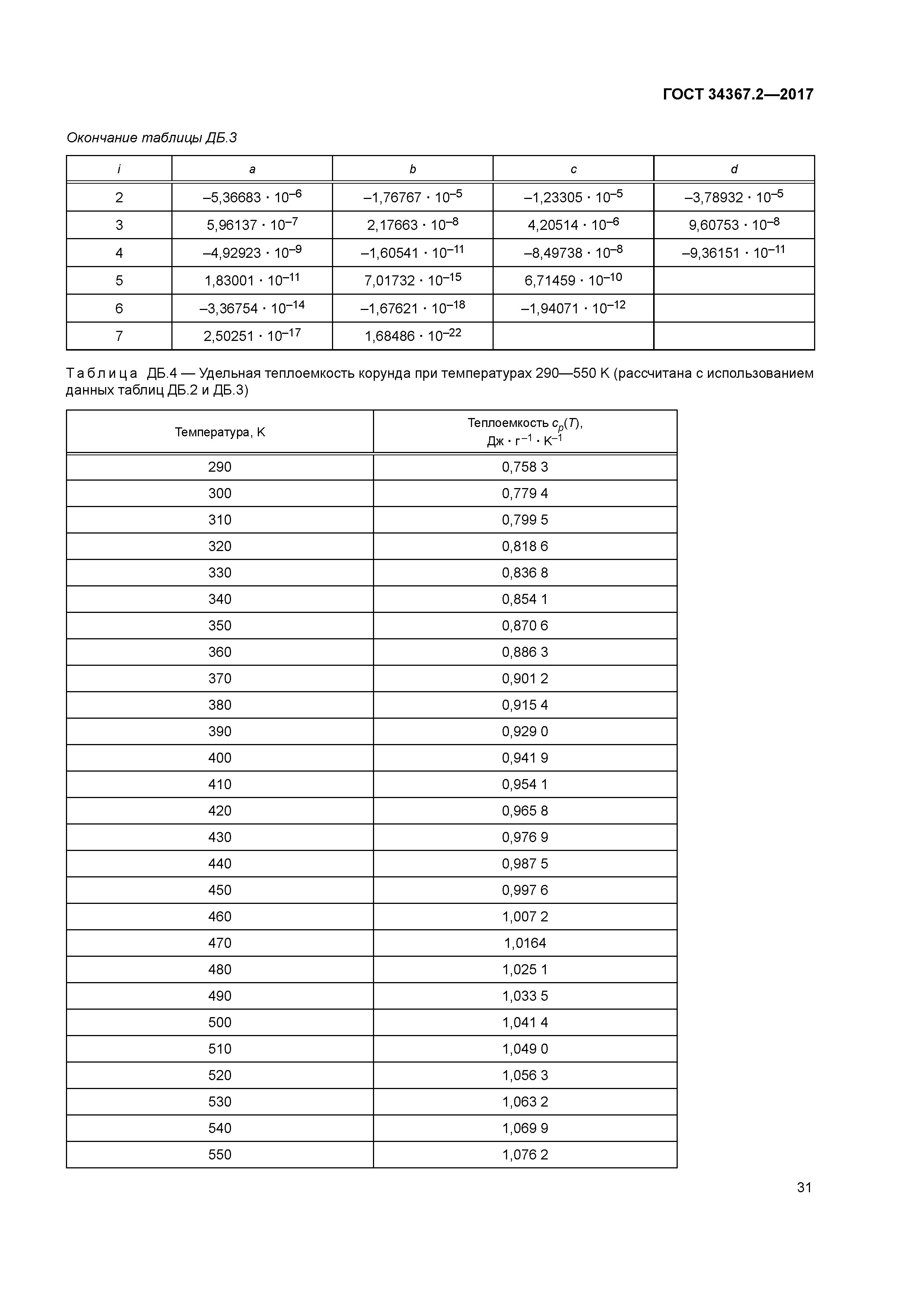
Приложение ДБ (обязательное) Определение температуры и энтальпии плавления и кристаллизации (данное приложение заменяет ссылку на ISO 11357-3)
Приложение ДВ (справочное) Оригинальный текст модифицированных структурных элементов примененного международного стандарта
Приложение ДГ (справочное) Сведения о соответствии ссылочных межгосударственных стандартов международным стандартам, использованным в качестве ссылочных в примененном международном стандарте
Разработан: Объединение юридических лиц Союз производителей композитов
АНО Центр нормирования, стандартизации и классификации композитов
ООО Материалы и технологии будущего
Утверждён:30.11.2017 Межгосударственный Совет по стандартизации, метрологии и сертификации (Inter-Governmental Council on Standardization, Metrology, and Certification 52-2017)
12.12.2017 Федеральное агентство по техническому регулированию и метрологии (1910-ст)
Издан: Стандартинформ (2018 г. )
Нормативные ссылки:
ГОСТ 34367.2-2017ГОСТ 34367.2-2017ГОСТ 34367.2-2017ГОСТ 34367.2-2017ГОСТ 34367.2-2017ГОСТ 34367.2-2017ГОСТ 34367.2-2017ГОСТ 34367.2-2017ГОСТ 34367.2-2017ГОСТ 34367.2-2017ГОСТ 34367.2-2017ГОСТ 34367.2-2017ГОСТ 34367.2-2017ГОСТ 34367.2-2017ГОСТ 34367.2-2017ГОСТ 34367.2-2017ГОСТ 34367.2-2017ГОСТ 34367.2-2017ГОСТ 34367.2-2017ГОСТ 34367.2-2017ГОСТ 34367.2-2017ГОСТ 34367.2-2017ГОСТ 34367.2-2017ГОСТ 34367.2-2017ГОСТ 34367.2-2017ГОСТ 34367.2-2017ГОСТ 34367.2-2017ГОСТ 34367.2-2017ГОСТ 34367.2-2017ГОСТ 34367.2-2017ГОСТ 34367.2-2017ГОСТ 34367.2-2017ГОСТ 34367.2-2017ГОСТ 34367.2-2017ГОСТ 34367.2-2017ГОСТ 34367.2-2017ГОСТ 34367.2-2017ГОСТ 34367.2-2017ГОСТ 34367.2-2017ГОСТ 34367.2-2017ГОСТ 34367.2-2017ГОСТ 34367.2-2017