Скачать ГОСТ 34372-2017 Закваски бактериальные для производства молочной продукции. Общие технические условия

Дата актуализации: 01.01.2021

ГОСТ 34372-2017

Закваски бактериальные для производства молочной продукции. Общие технические условия

Обозначение: ГОСТ 34372-2017
Обозначение англ: GOST 34372-2017
Статус:введен впервые
Название рус.:Закваски бактериальные для производства молочной продукции. Общие технические условия
Название англ.:Bacterial starter cultures for the production of dairy products. General specifications
Дата добавления в базу:01.01.2019
Дата актуализации:01.01.2021
Дата введения:01.09.2018
Область применения:Стандарт распространяется на закваски бактериальные и закваски бактериальные концентрированные, представляющие собой жизнеспособные клетки молочнокислых, пропионовокислых, уксуснокислых и бифидобактерий, предназначенные для производства молочной продукции, а также приготовления производственной закваски.
Оглавление:1 Область применения
2 Нормативные ссылки
3 Термины и определения
4 Классификация
5 Технические требования
6 Маркировка
7 Упаковка
8 Правила приемки
9 Методы контроля
10 Транспортирование и хранение
11 Способы применения БЗ и БК
Приложение А (рекомендуемое) Основной состав микрофлоры БЗ или БК, используемых для производства молочной продукции
Приложение Б (справочное) Характеристика основных видов заквасочных микроорганизмов
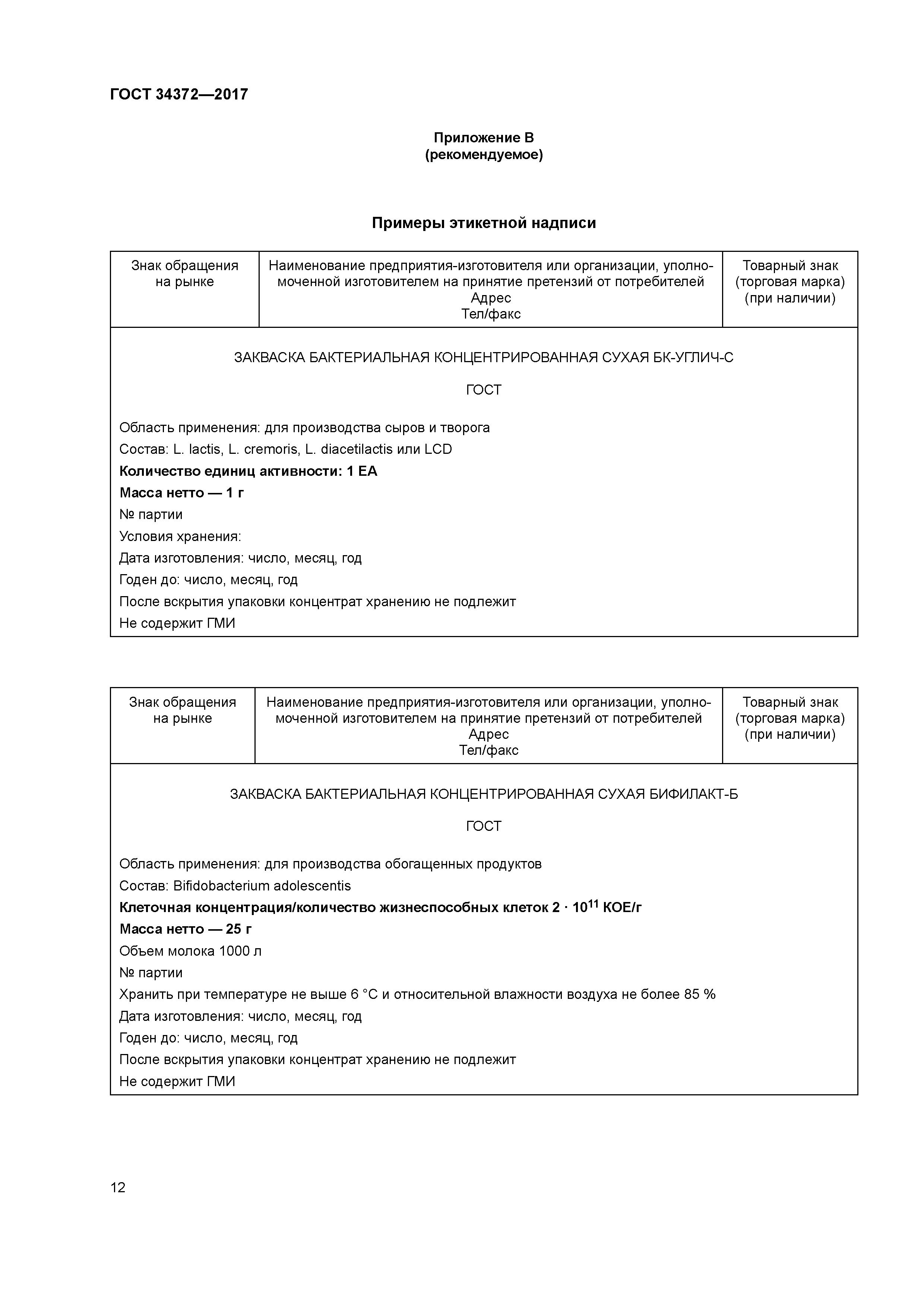
Приложение В (рекомендуемое) Примеры этикетной надписи
Приложение Г (рекомендуемое) Основные показатели БЗ и БК
Приложение Д (рекомендуемое) Определение групп микроорганизмов БЗ и БК, рекомендуемых для производства созревающих сыров
Библиография
Разработан: ФГБНУ ВНИИМС
Утверждён:30.11.2017 Межгосударственный Совет по стандартизации, метрологии и сертификации (Inter-Governmental Council on Standardization, Metrology, and Certification 52-2017)
14.12.2017 Федеральное агентство по техническому регулированию и метрологии (1977-ст)
Издан: Стандартинформ (2018 г. )
Нормативные ссылки:
ГОСТ 34372-2017ГОСТ 34372-2017ГОСТ 34372-2017ГОСТ 34372-2017ГОСТ 34372-2017ГОСТ 34372-2017ГОСТ 34372-2017ГОСТ 34372-2017ГОСТ 34372-2017ГОСТ 34372-2017ГОСТ 34372-2017ГОСТ 34372-2017ГОСТ 34372-2017ГОСТ 34372-2017ГОСТ 34372-2017ГОСТ 34372-2017ГОСТ 34372-2017ГОСТ 34372-2017ГОСТ 34372-2017ГОСТ 34372-2017ГОСТ 34372-2017ГОСТ 34372-2017