Скачать ГОСТ Р 57871-2017 Телевидение вещательное цифровое. Расширенная спецификация общего интерфейса в системах ограничения доступа Cl Plus TM. Система управления контентом. Основные параметрыДата актуализации: 01.01.2021
|
| Обозначение: | ГОСТ Р 57871-2017 |
| Обозначение англ: | GOST R 57871-2017 |
| Статус: | введен впервые |
| Название рус.: | Телевидение вещательное цифровое. Расширенная спецификация общего интерфейса в системах ограничения доступа Cl Plus TM. Система управления контентом. Основные параметры |
| Название англ.: | Digital video broadcasting. Extensions to the CI Plus TM specifications. Content control system. Basic parameters |
| Дата добавления в базу: | 01.01.2019 |
| Дата актуализации: | 01.01.2021 |
| Дата введения: | 01.08.2018 |
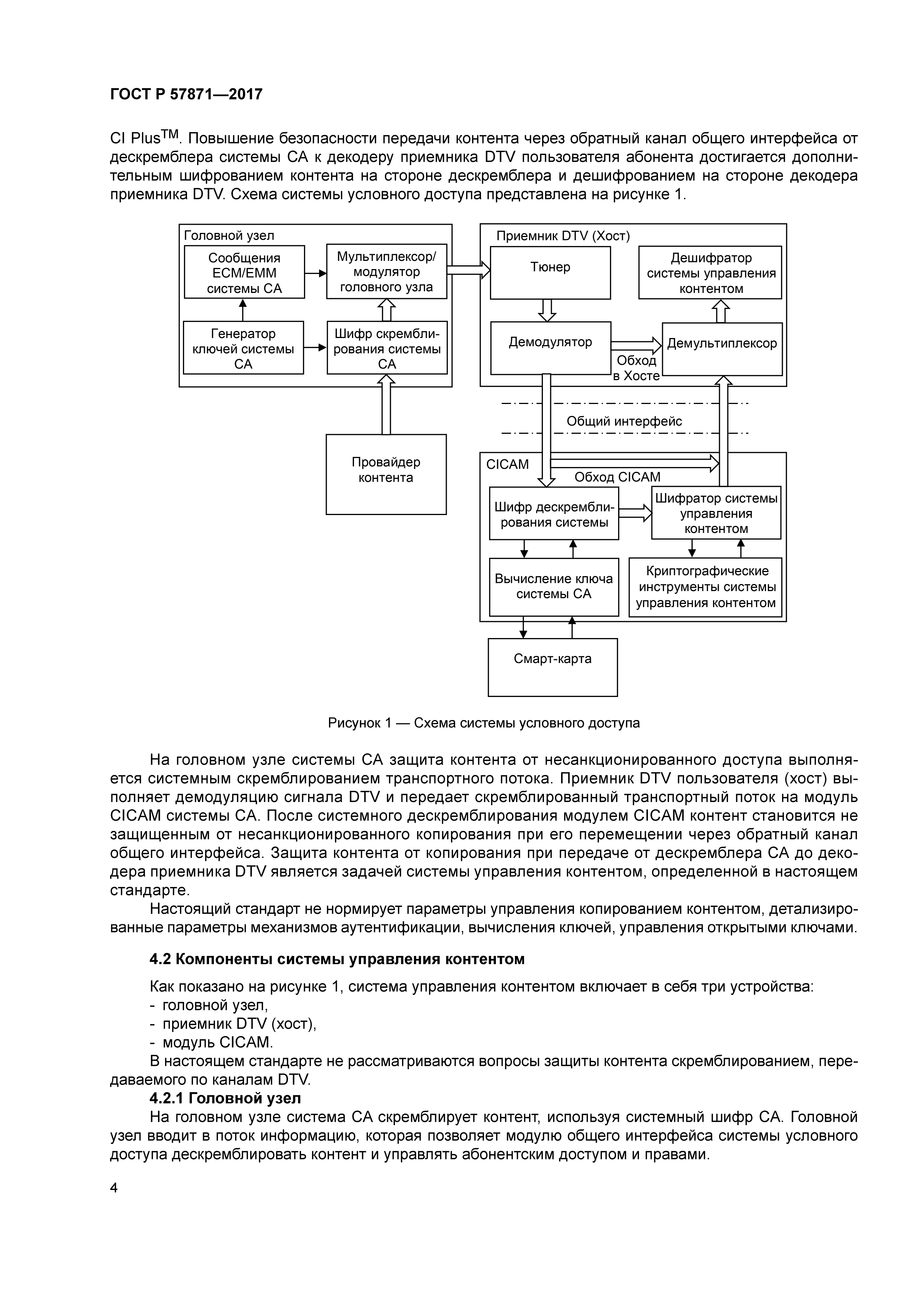
| Область применения: | Спецификация общего интерфейса Cl Plus TM системы условного доступа, установленная стандартом ГОСТ Р 56950, обеспечивает защиту информации, передаваемой по каналам вещания и по каналам интернет-протокола от головного узла до дескремблера TS системы ограничения доступа. Стандарт дополняет ГОСТ Р 56950 и устанавливает основные параметры системы управления контентом, работающей в составе системы безопасной передачи информации через обратный канал общего интерфейса. |
| Оглавление: | 1 Область применения 2 Нормативные ссылки 3 Термины, определения, обозначения и сокращения 3.1 Термины и определения 3.2 Обозначения 3.3 Сокращения 4 Общие сведения о расширенной спецификации общего интерфейса 4.1 Вводная часть 4.2 Компоненты системы управления контентом 4.3 Основные принципы реализации 4.4 Аутентификация хоста и CICAM 4.5 Обмен ключами и шифрование контента 4.6 Улучшенный MMI 5 Система управления контентом 5.1 Схема системы управления контентом 5.2 Правила работы общего интерфейса 5.3 Иерархия ключей 5.4 Ввод модуля CICAM в действие 5.5 Введение в аннулирование хоста 5.6 Шифрование и дешифрование контента 5.7 Применение управления копированием контента |
| Разработан: | АНО НТЦИ |
| Утверждён: | 31.10.2017 Федеральное агентство по техническому регулированию и метрологии (1585-ст) |
| Издан: | Стандартинформ (2017 г. ) |
| Нормативные ссылки: |
|


















