Скачать ГОСТ Р 56950-2016 Телевидение вещательное цифровое. Расширенная спецификация общего интерфейса в системах ограничения доступа CI Plus™. Основные параметрыДата актуализации: 01.01.2021
|
| Обозначение: | ГОСТ Р 56950-2016 |
| Обозначение англ: | GOST R 56950-2016 |
| Статус: | введен впервые |
| Название рус.: | Телевидение вещательное цифровое. Расширенная спецификация общего интерфейса в системах ограничения доступа CI Plus™. Основные параметры |
| Название англ.: | Digital Video Broadcasting. Extensions to the CI Plus™ Specification. Basic parameters |
| Дата добавления в базу: | 01.02.2017 |
| Дата актуализации: | 01.01.2021 |
| Дата введения: | 01.06.2017 |
| Область применения: | Стандарт содержит расширенные характеристики общего интерфейса в системах ограничения доступа CI Plus™, определенного в [1]. Стандарт распространяется на оборудование защиты информации, передаваемой по каналам вещания и по каналам Интернет протокола (Internet Protocol; IP). |
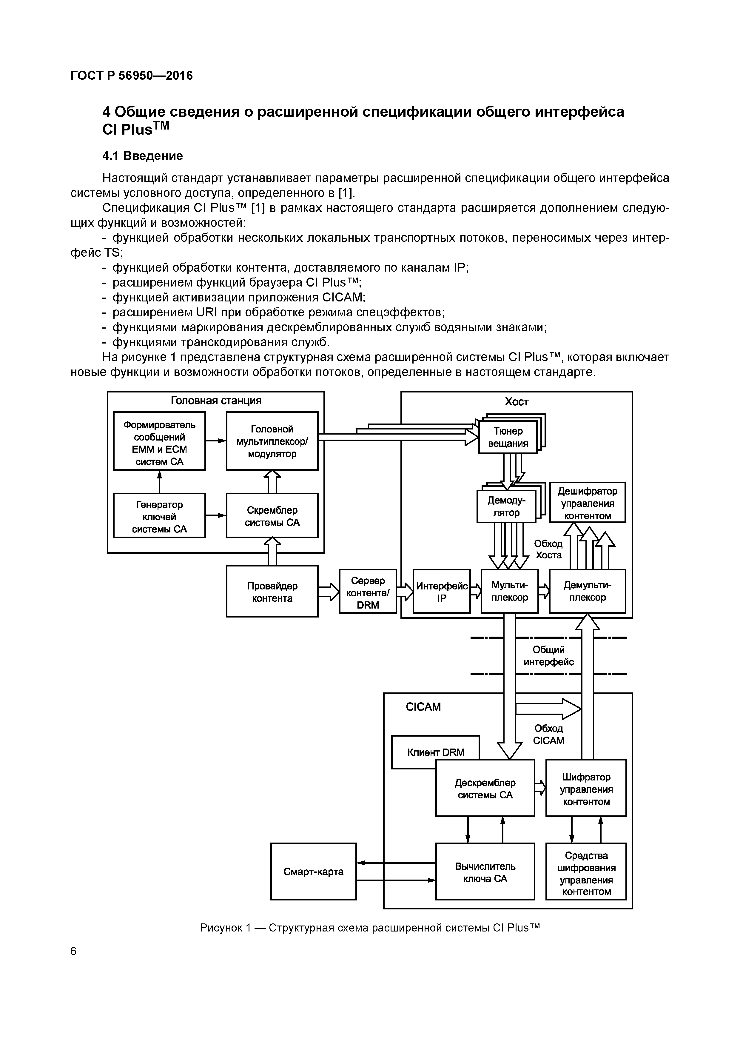
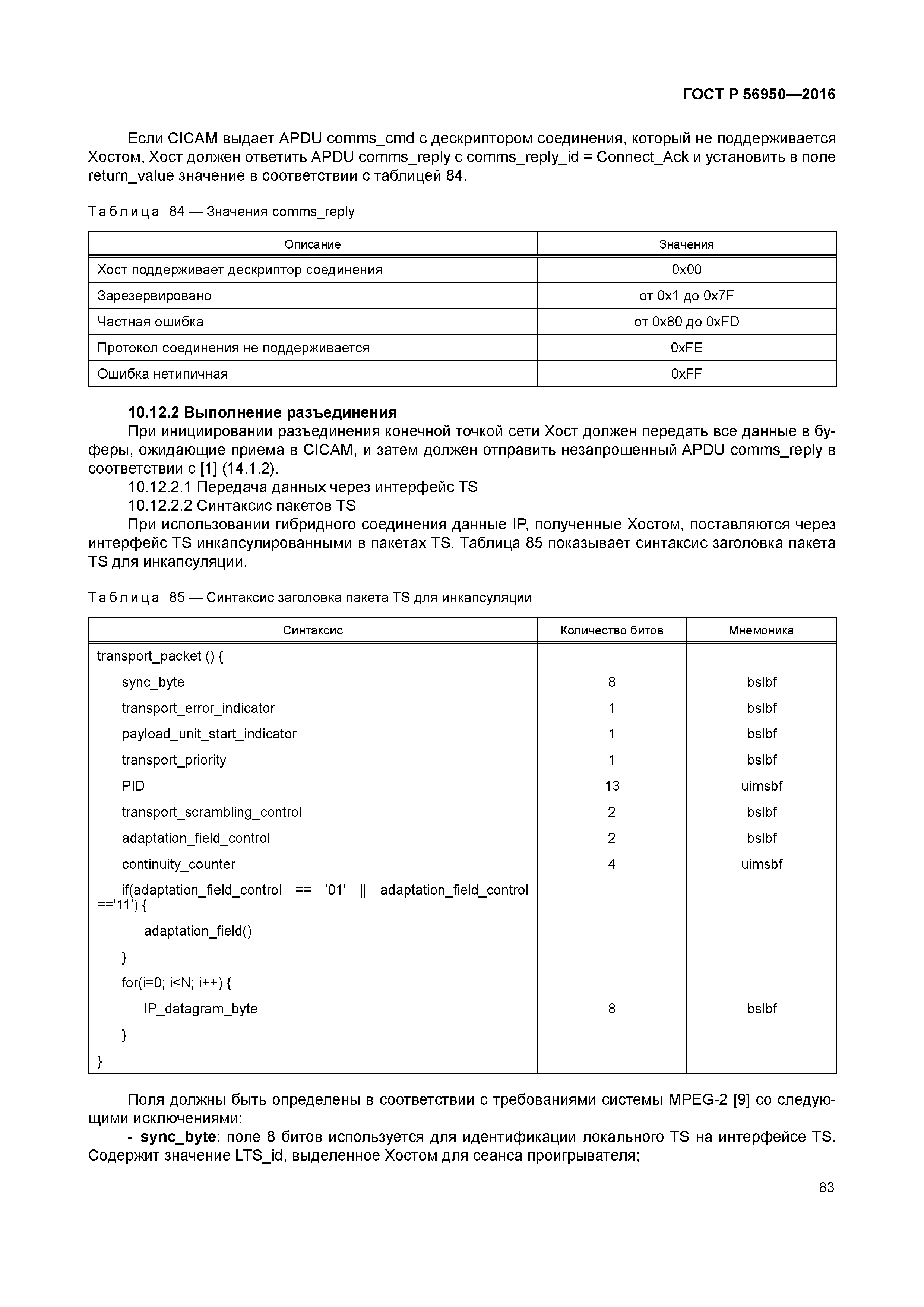
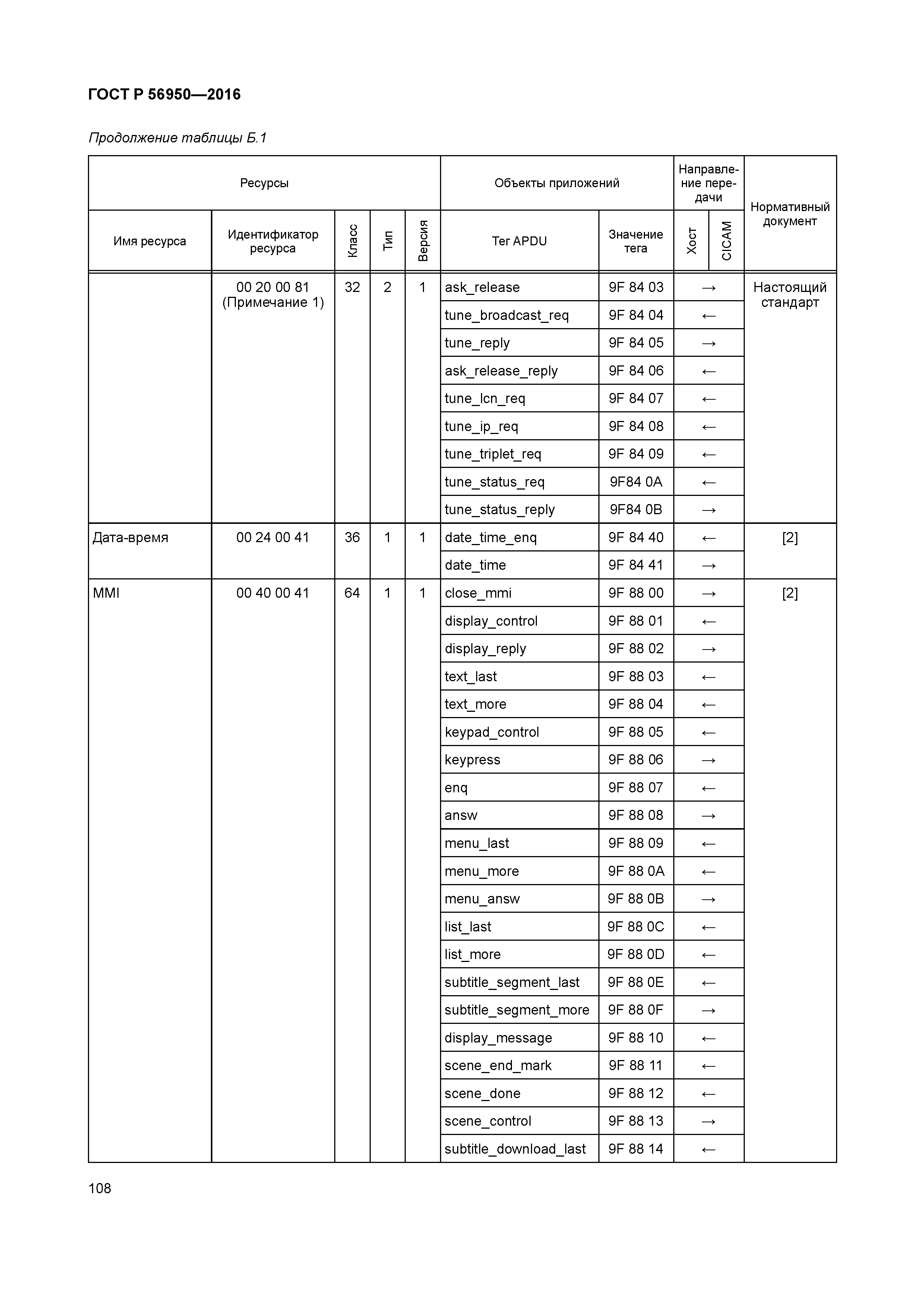
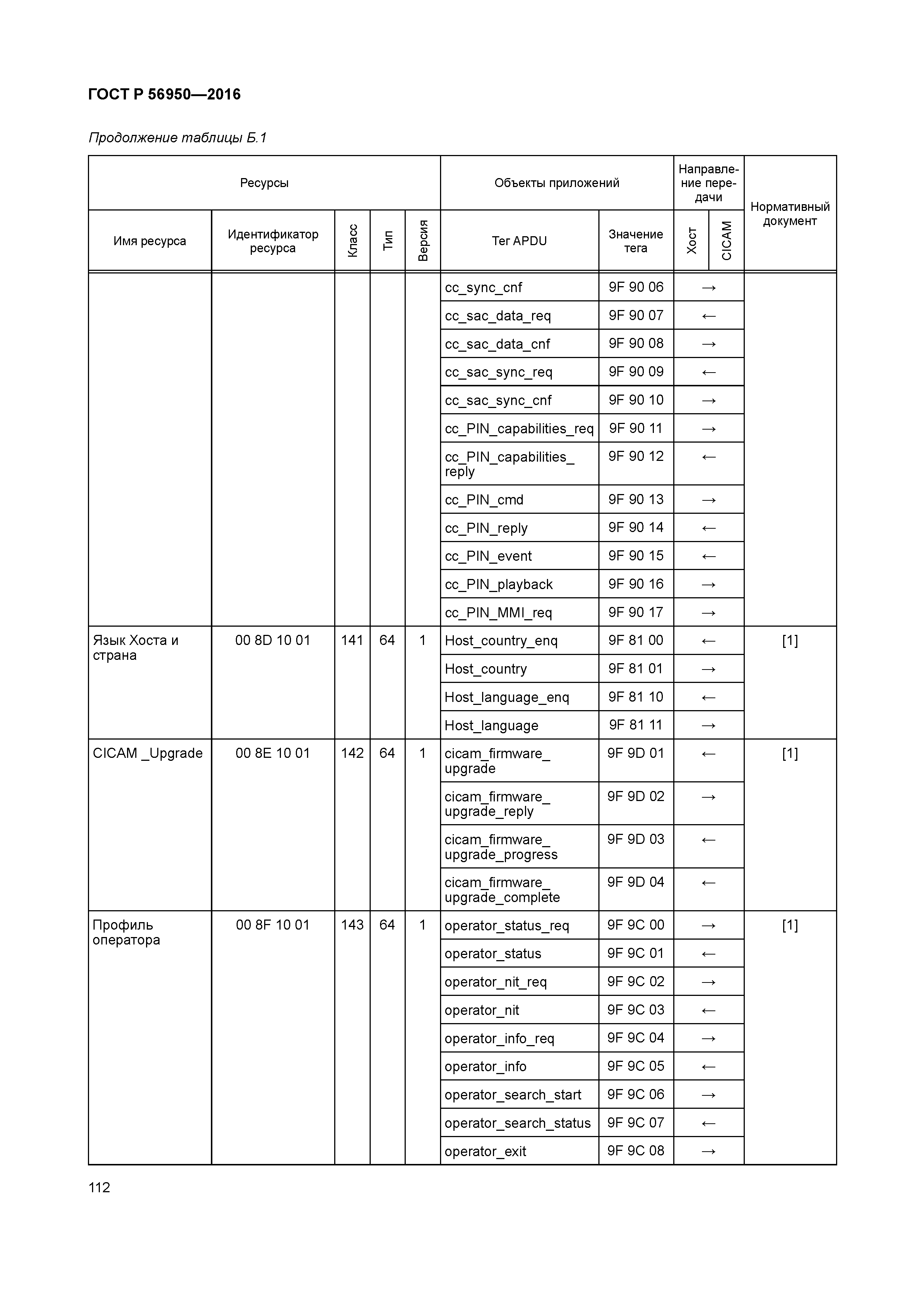
| Оглавление: | 1 Область применения 2 Нормативные ссылки 3 Термины, определения, сокращения и символы 4 Общие сведения о расширенной спецификации общего интерфейса Cl PlusТМ 4.1 Введение 4.2 Расширенные возможности приема нескольких потоков 4.3 доставка контента через каналы с IР 4.4 Расширенные функции браузера Cl PlusТМ 4.5 Запуск приложений СIСАМ 4.6 Извлечение файла из СIСАМ 4.7 Расширенная информация URI о правилах использования 4.8 Водяные знаки и транскодирование 5 Общие требования 5.1 Требования обратной совместимости 5.2 Водяные знаки и транскодирование 5.3 Скремблирование на уровне PES 6 Многопоточный режим работы 6.1 Общие замечания 6.2 Интерфейс транспортного потока и мультиплексирование локальных TS 6.3 Выбор PID 6.4 Ресурсы для обработки нескольких потоков 7 Хост в режиме проигрывателя контента IР 7.1 Общие замечания 7.2 Режимы интерфейса транспортного потока 7.3 Интерфейс команд 7.4 Ресурс дескремблирования семпла 7.5 Интерфейс транспортного потока 8 СIСАМ в режиме проигрывателя контента IР 8.1 Общие замечания 8.2 Управление проигрывателем 8.3 Инициализация сеанса проигрывания 8.4 Обработка ошибок обмена 8.5 Поддержка режима спецэффектов 8.6 Завершение сеанса 8.7 Ресурс СIСАМ в режиме проигрывателя 9 Поиск файла СIСАМ 9.1 Общие замечания 9.2 APDU системы файлов 9.3 APDU FileSystemAck подтверждения поддержки 9.4 APDU FileRequest запроса файла 9.5 APDU FileAcknowledge подтверждения файла 9.6 Сводная информация о ресурсах системы вспомогательных файлов 9.7 Ресурсы системы вспомогательных файлов и ресурсы приложения ММI 10 Ресурс низкоскоростных соединений 10.1 Общие замечания 10.2 Информация о конфигурации IР Хоста 10.3 Информация о потоках IР 10.4 Многоадресный IР 10.5 Порты источника IР 10.6 доставка данных от Хоста к СIСАМ 10.7 доставка данных от СIСАМ к Хосту 10.8 Управление потоком IР 10.9 APDU запроса comms_info 10.10 APDU comms_Ipconfig запроса конфигурации IР Хоста 10.11 Параметры модифицированного Comms Cmd 10.12 Модификация типов ресурсов низкоскоростных соединений 11 Расширенные правила использования информации, версия 3 12 Приложения СIСАМ 12.1 Общие замечания 12.2 Спецификации браузера Cl PlusТМ с расширенными функциями 12.3 Управление жизненным циклом приложения 12.4 Платформа координации приложений 12.5 Среда приложения Хоста 13 Управление Хостом DVB 13.1 Общие замечания 13.2 APDU управления Хостом DVB 14 Виртуальный канал СIСАМ 14.1 Введение 14.2 Расширенный ресурс информации приложения, версия 4 15 Профиль оператора 15.1 Вводные замечания 15.2 Параметры профиля оператора, тип 2 15.3 Параметры виртуального канала СIСАМ 15.4 Службы, предоставленные IР 16 Параметры интерфейса человек-машина высокого уровня Приложение А (рекомендуемое) Идентификация и местоположение дескрипторов Приложение Б (обязательное) Полный набор ресурсов Приложение В (обязательное) Учетная спецификация: параметры обмена в APDU Приложение Г (обязательное) Схемы XML Приложение Д (обязательное) Сигнализация приложения СIСАМ Библиография |
| Разработан: | Филиал ФГУП НИИР - СОНИИР |
| Утверждён: | 07.06.2016 Федеральное агентство по техническому регулированию и метрологии (543-ст) |
| Издан: | Стандартинформ (2016 г. ) |
| Нормативные ссылки: |
|


































































































































