Скачать ГОСТ Р МЭК 62087-3-2017 Аудио-, видеоаппаратура и связанное с ней оборудование. Определение потребления энергии. Часть 3. Телевизионные приемникиДата актуализации: 01.01.2021
|
| Обозначение: | ГОСТ Р МЭК 62087-3-2017 |
| Обозначение англ: | GOST R IEC 62087-3-2017 |
| Статус: | введен впервые |
| Название рус.: | Аудио-, видеоаппаратура и связанное с ней оборудование. Определение потребления энергии. Часть 3. Телевизионные приемники |
| Название англ.: | Audio, video and related equipment. Determination of power consumption. Part 3. Television sets |
| Дата добавления в базу: | 01.01.2019 |
| Дата актуализации: | 01.01.2021 |
| Дата введения: | 01.10.2018 |
| Область применения: | Стандарт устанавливает методы определения потребления энергии и связанных с ней характеристик телевизионных приемников. Стандарт распространяется на телевизионные приемники, к которым относят устройства на электронно-лучевых трубках (CRT), жидкокристаллические дисплеи (LCD), плазменные дисплейные панели (PDP), дисплеи на органических светодиодах (OLED), устройства на основе проекционных технологий и иные устройства. В стандарте детально определены рабочие режимы и функции, конкретно относящиеся к телевизионным приемникам. Стандарт распространяется только на телевизионные приемники, электропитание которых обеспечивается от внешнего источника энергии. Оборудование может включать любое количество вспомогательных батарей. Стандарт не распространяется на оборудование, включающее в себя несъемную основную батарею. В стандарте в качестве примера приведена процедура верификации в целях оценки соответствия конкретной модели оборудования указанному значению энергопотребления. Условия измерений, установленные в стандарте, соответствуют условиям нормального применения оборудования и могут отличаться от специфических условий, например установленных в стандартах безопасности. |
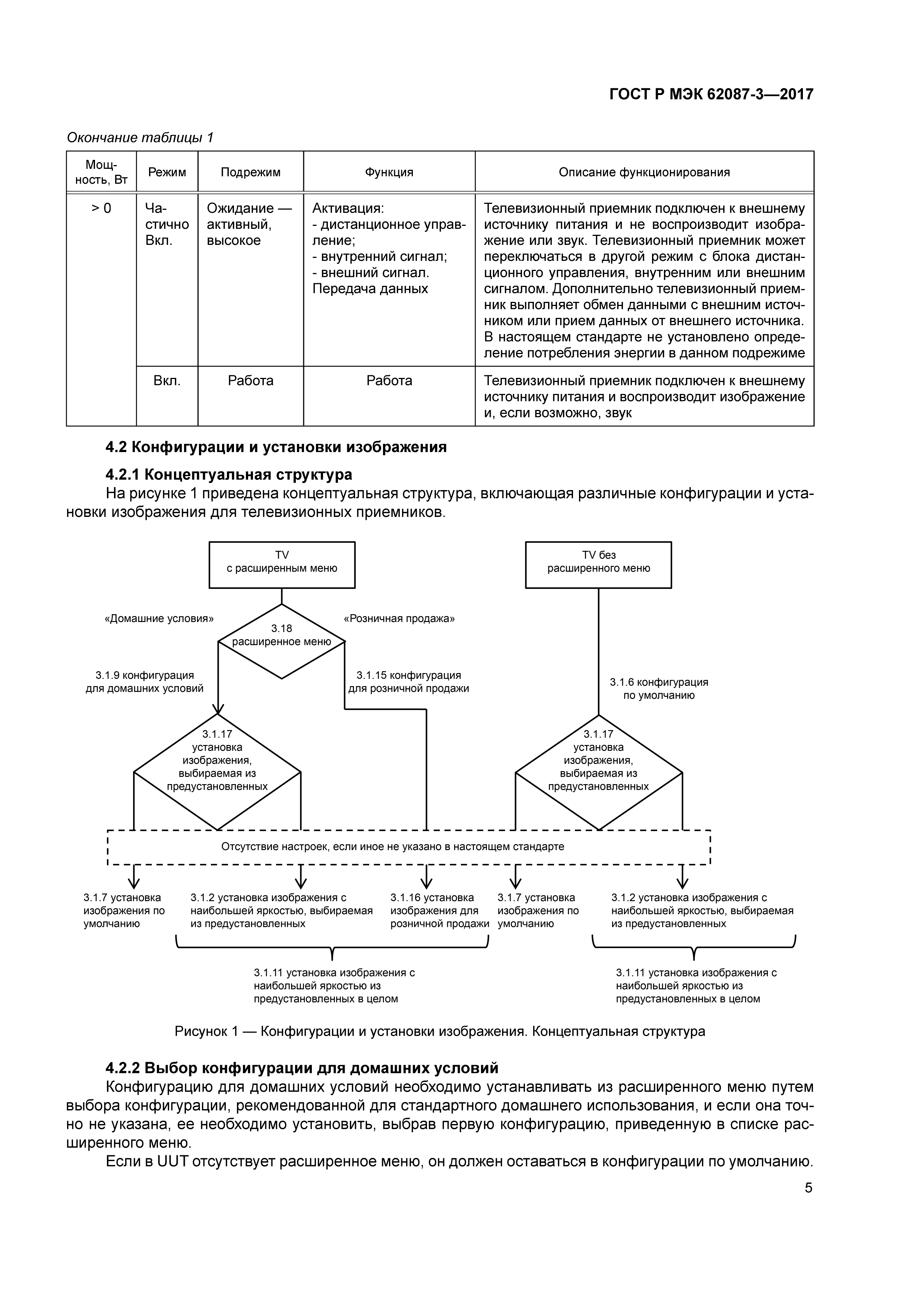
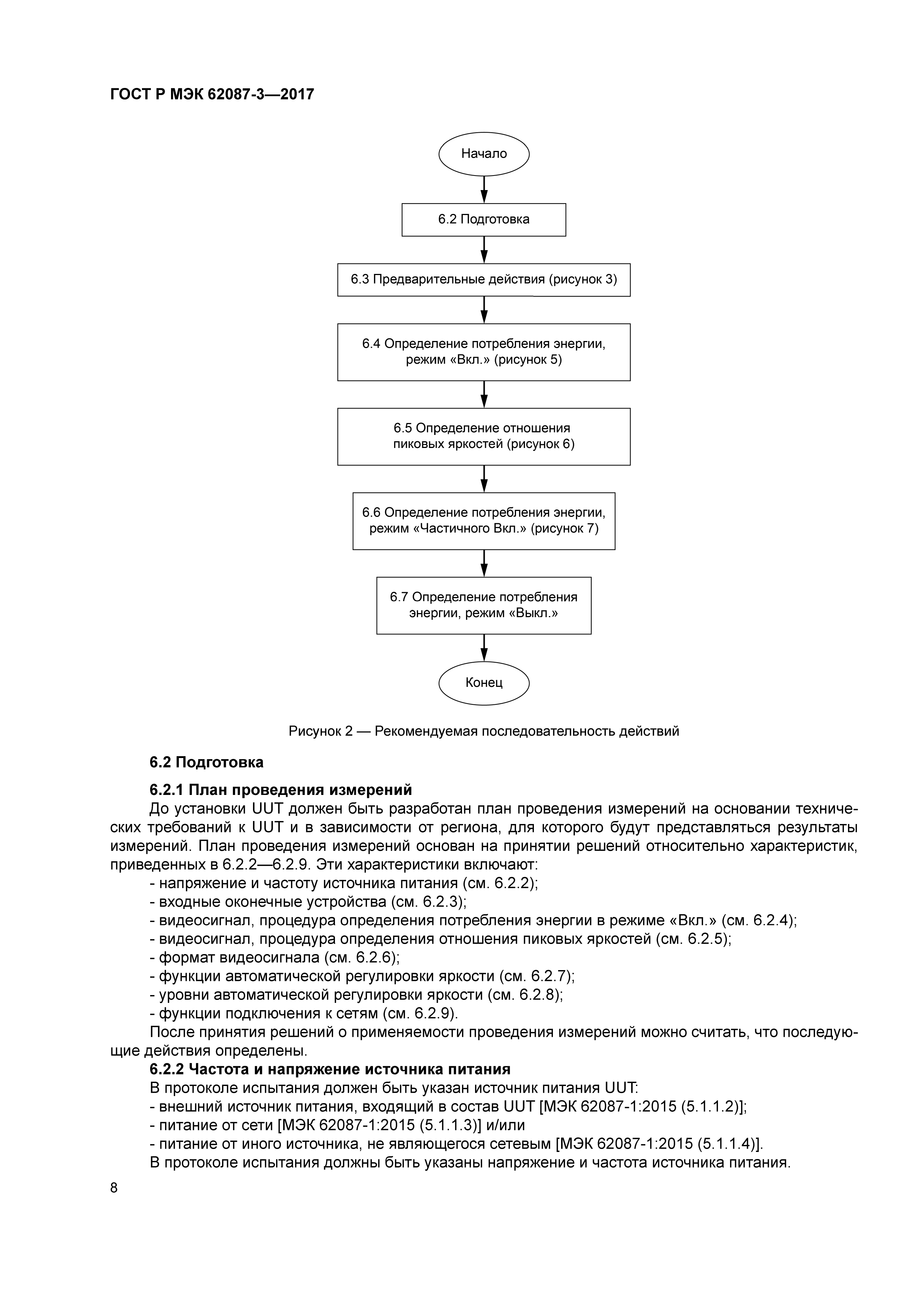
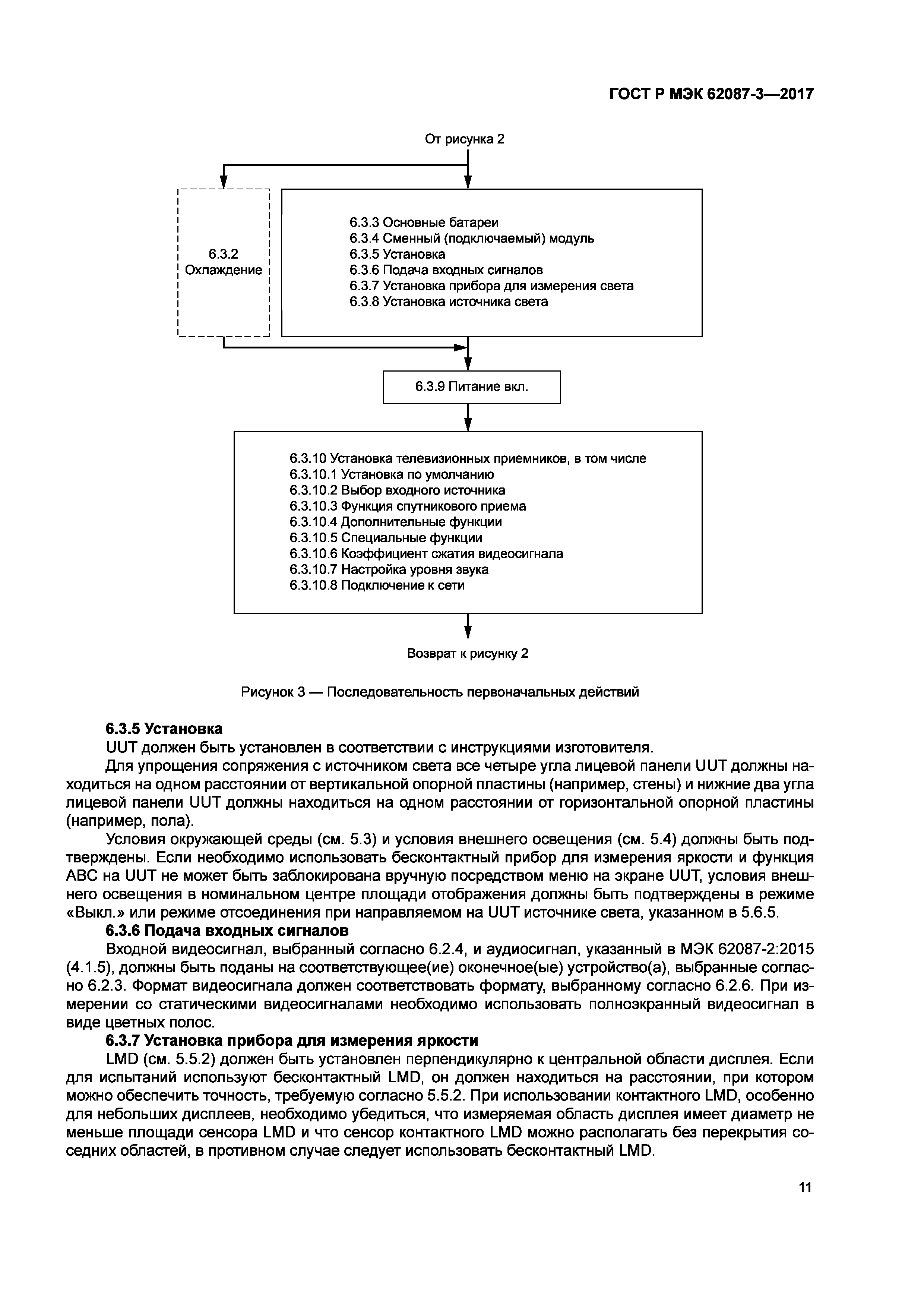
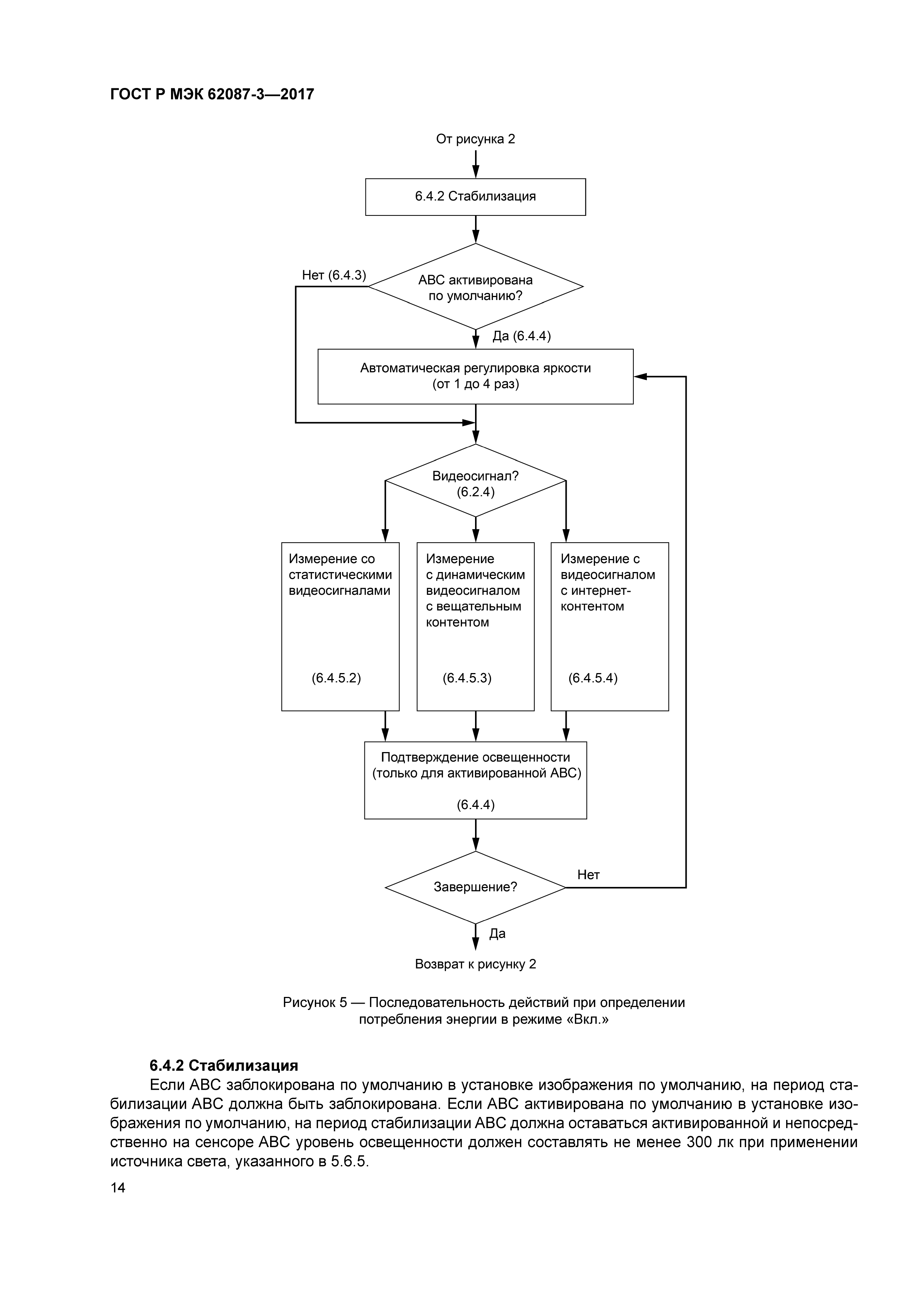
| Оглавление: | 1 Область применения 2 Нормативные ссылки 3 Термины, определения и сокращения 3.1 Термины и определения 3.2 Сокращения 4 Технические требования к рабочим режимам и функциям 4.1 Таблица рабочих режимов и функций 4.2 Конфигурации и установки изображения 5 Условия измерений 5.1 Общие положения 5.2 Источник питания 5.3 Условия окружающей среды 5.4 Условия внешнего освещения 5.5 Измерительное оборудование 5.6 Генерирование сигналов 6 Процедуры 6.1 Последовательность действий 6.2 Подготовка 6.3 Первоначальные действия 6.4 Определение потребления энергии, режим "Вкл." 6.5 Определение отношение пиковых яркостей и коэффициента мощности 6.6 Определение потребления энергии, режим "Частично Вкл." 6.7 Определение потребления энергии, режим "Выкл." Приложение А (справочное) Аспекты измерения мощности телевизионных приемников в режиме "Вкл." Приложение В (обязательное) Протокол испытаний Приложение С (справочное) Примерный шаблон протокола испытаний Приложение ДА (справочное) Сведения о соответствии ссылочных международных стандартов национальным и межгосударственным стандартам Библиография |
| Разработан: | АНО НТЦ СЭ ИСЭП |
| Утверждён: | 22.12.2017 Федеральное агентство по техническому регулированию и метрологии (2083-ст) |
| Издан: | Стандартинформ (2018 г. ) |
| Нормативные ссылки: |
|



































