Скачать Методические рекомендации по разработке и реализации мероприятий по организации дорожного движения. Организация динамической маршрутизации транспортных потоковДата актуализации: 01.01.2021 |
| Статус: | действует |
| Название рус.: | Методические рекомендации по разработке и реализации мероприятий по организации дорожного движения. Организация динамической маршрутизации транспортных потоков |
| Дата добавления в базу: | 01.01.2019 |
| Дата актуализации: | 01.01.2021 |
| Область применения: | Методическое руководство содержит рекомендации по структуре и элементам подсистем интеллектуальных транспортных систем при динамической маршрутизации транспортных потоков. Методическое руководство содержит рекомендации по использованию современных научно-обоснованных методов организации динамической маршрутизации транспортных потоков в сфере дорожного движения на автомобильных дорогах общего пользования, преимущественно в условиях управления движением автомобильного транспорта по городской улично-дорожной сети без изложения специальных технических требований к периферийному оборудованию, применяемого для перераспределения транспортных потоков. В Методическом руководстве изложены основные условия и возможности применения динамической маршрутизации транспортных потоков на основе сформированных индикаторов эффективности при решении проблем максимального использования пропускной способности улично-дорожной сети на этапе обоснования локального проекта управления дорожным движением при внедрении динамической маршрутизации транспортных потоков. |
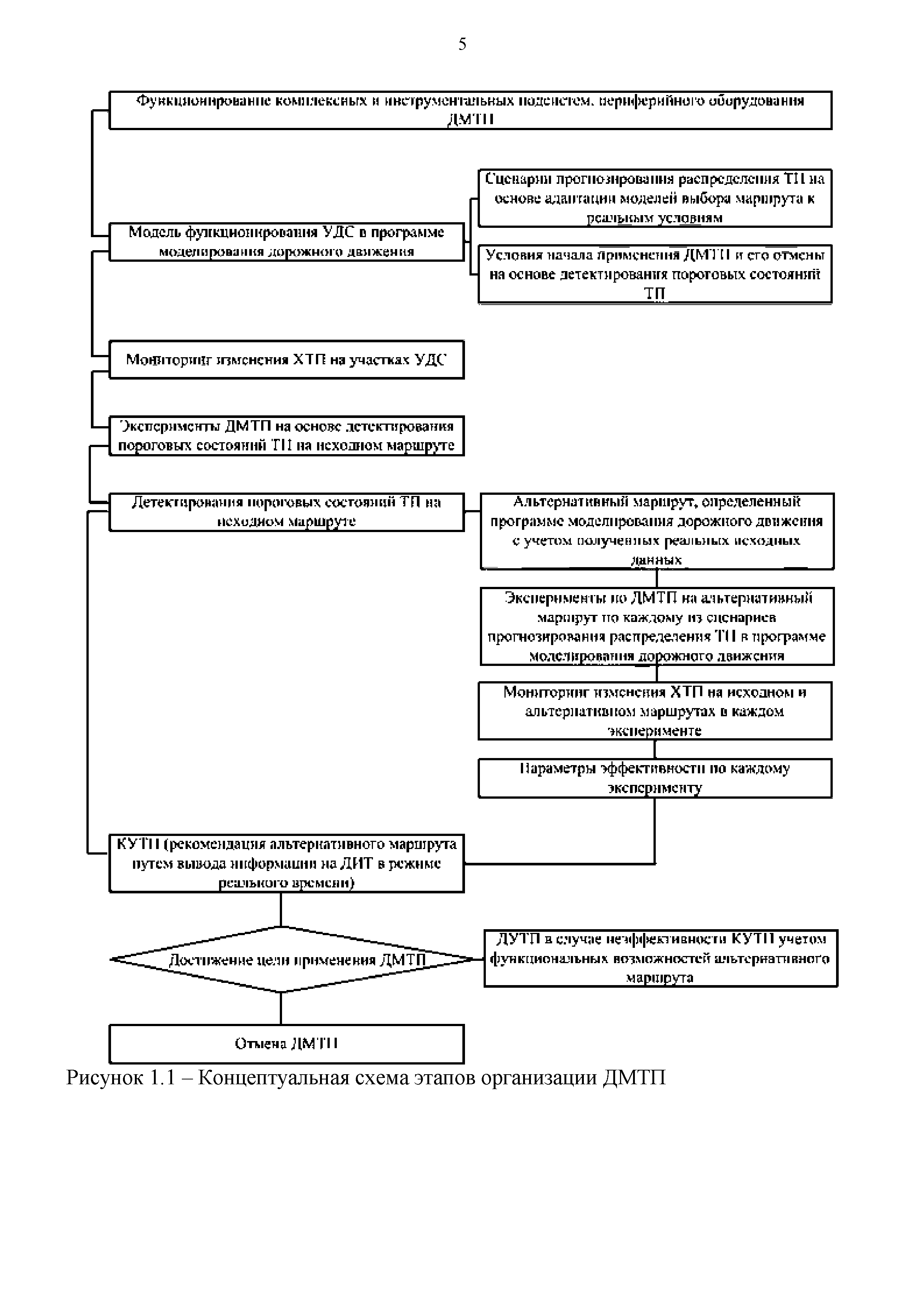
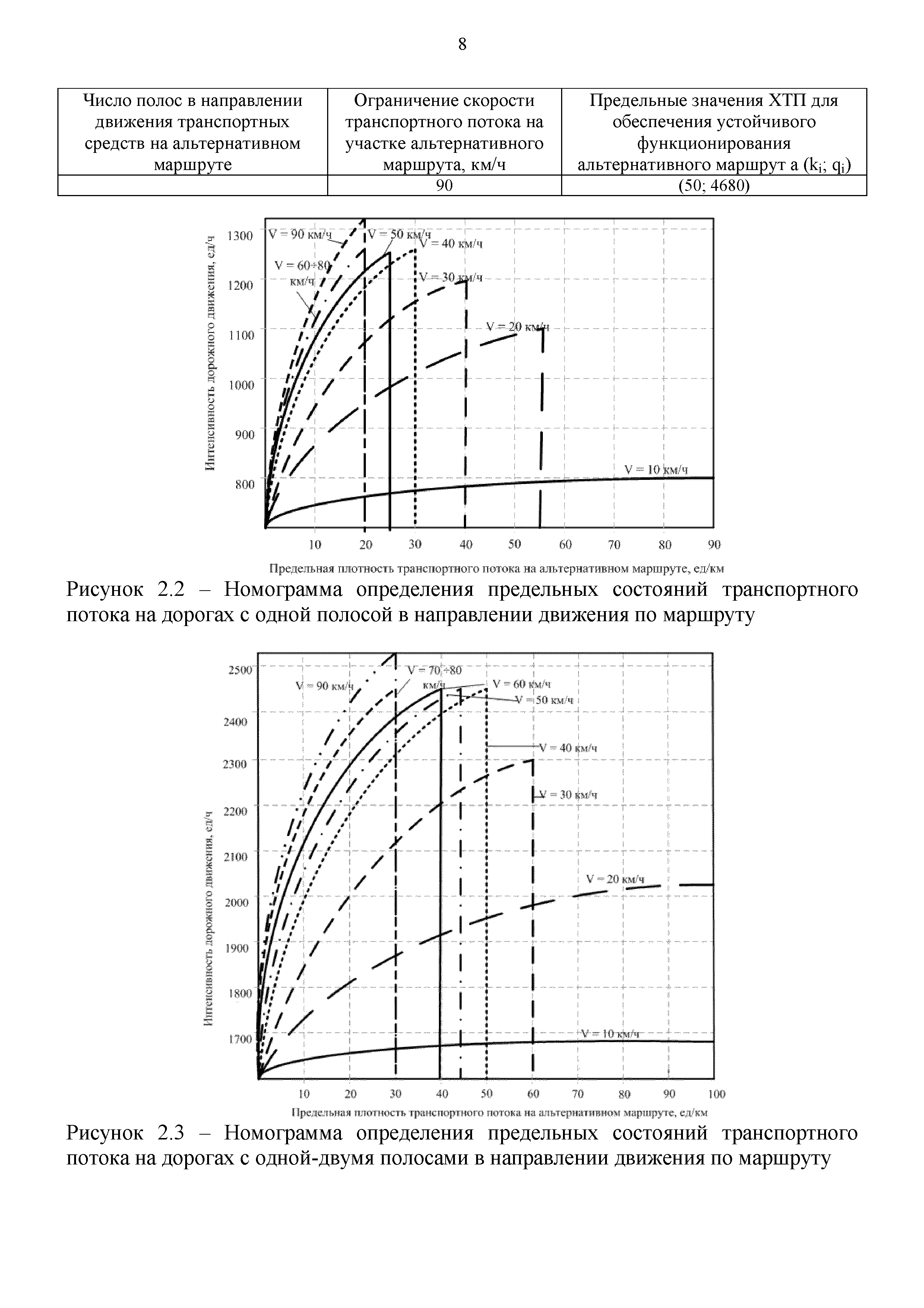
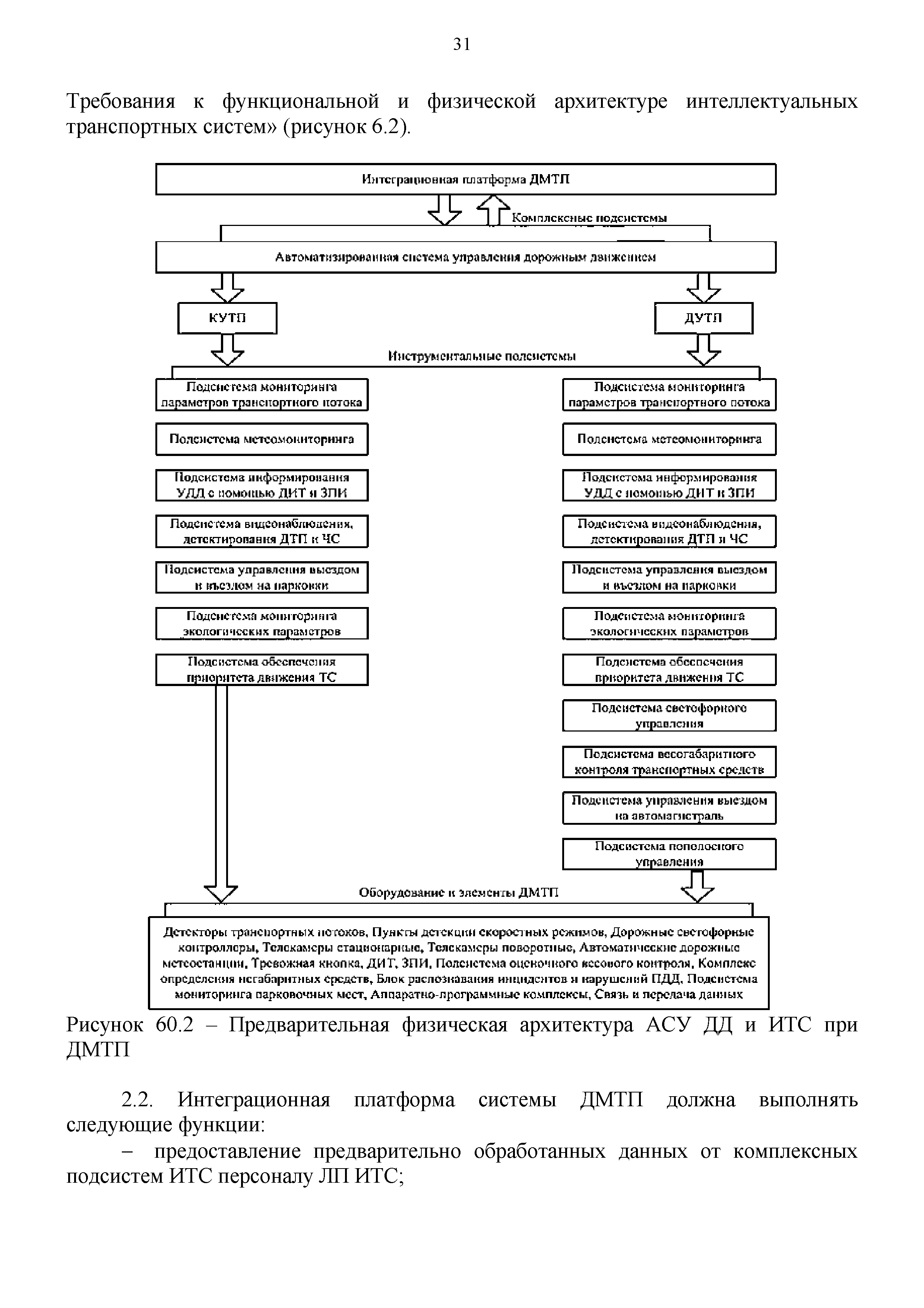
| Оглавление: | Приложение 1. Основные этапы формирования системы динамического моделирования транспортных потоков (ДМТП) Приложение 2. Рекомендации по определению функциональных возможностей участков УДС для организации динамической маршрутизации транспортных потоков Приложение 3. Рекомендации по определению состояний транспортных потоков для осуществления их динамической маршрутизации Приложение 4. Особенности задач моделирования при организации ДМТП Приложение 5. Применение динамических табло при реализации ДМТП Приложение 6. Рекомендации по структуре функциональной архитектуры АСУ ДД и ИТС при реализации ДМТП Приложение 7. Мотивационное управление выездом ТС на дороги с интенсивным движением транспорта в условиях функционирования объектов транспортного притяжения большой емкости (гипер- и супермаркеты, спортивные и иные сооружения) Приложение 8. Оценка эффективности применения динамической маршрутизации транспортных потоков Приложение 9. Нормативные документы, термины и определения, библиография Приложение А (справочное). Таблицы для определения состояний транспортных потоков для осуществления их динамической маршрутизации Приложение Б (справочное). Примеры расчетов интервалов установки переменных (динамических) технических средств регулирования дорожного движения и периферийного оборудования Приложение В (справочное). Преимущества и издержки применения ДМТП |
| Принят: | 02.07.2017 Заместитель Министра транспорта Российской Федерации |
| Нормативные ссылки: |
|























































