Скачать Инструкция по проектированию путей внутрицехового подвесного транспортаДата актуализации: 01.01.2021 |
| Статус: | справочные материалы, мп, тпр |
| Название рус.: | Инструкция по проектированию путей внутрицехового подвесного транспорта |
| Дата добавления в базу: | 01.02.2020 |
| Дата актуализации: | 01.01.2021 |
| Область применения: | Инструкция распространяется на проектирование строительных стальных конструкций путей внутрицехового подвесного транспорта для однорельсовых (ручные и электрические тали, тележки и кошки) и многорельсовых (ручные и электрические кран-балки, двух-и многоопорные подвесные краны) механизмов. Инструкция не распространяется на пути межцехового транспорта под указанные выше механизмы и на внутрицеховые пути для подвесного конвейерного транспорта. |
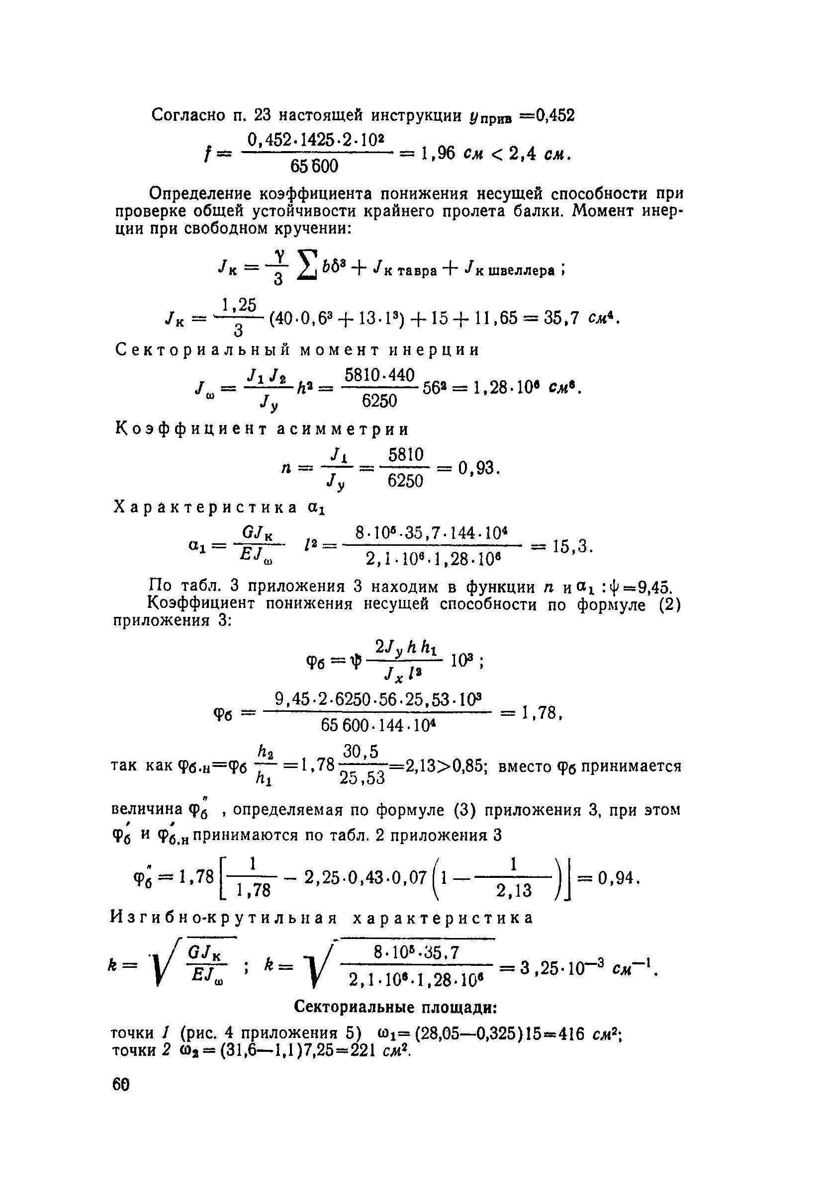
| Оглавление: | Предисловие 1 Общие указания 2 Рекомендации по выбору пролета, схемы и размещению балок подвесных путей 3 Сечения балок для путей подвесного транспорта 4 Материалы 5 Расчет прямых балок подвесных путей 6 Конструкции прямых участков подвесных путей 7 Связи продольных подвесных путей 8 Конструкции кривых и поперечных участков пути 9 Требования к изготовлению и монтажу подвесных путей Приложение 1. Механизмы подвесного транспорта Приложение 2. Характеристики балок и элементов путей подвесного транспорта Приложение 3. Определение коэффициента понижения несущей способности разрезных и неразрезных подвесных балок асимметричного сечения при проверке общей устойчивости Приложение 4. Конструкции путей подвесного транспорта Приложение 5. Примеры расчета подвесных балок |
| Разработан: | ЦНИИСК им. В.А. Кучеренко Госстроя СССР |
| Утверждён: | ЦНИИСК им. В.А. Кучеренко |
| Издан: | Издательство литературы по строительству (1965 г. ) |
| Нормативные ссылки: |
|





























































