Скачать Руководство по эксплуатации подземных ленточных конвейеров в угольных и сланцевых шахтах

Дата актуализации: 01.01.2021

Руководство по эксплуатации подземных ленточных конвейеров в угольных и сланцевых шахтах

Статус:справочные материалы, мп, тпр
Название рус.:Руководство по эксплуатации подземных ленточных конвейеров в угольных и сланцевых шахтах
Дата добавления в базу:01.02.2020
Дата актуализации:01.01.2021
Область применения:Требования и рекомендации Руководста распространяются на все ленточные конвейеры, установленные в подземных выработках угольных шахт.
Оглавление:1. Общие положения
2. Назначение и область применения конвейеров
3. Выбор конвейеров и ленты
   Выбор конвейера
   Выбор типа и прочности конвейерной ленты
4. Монтаж и демонтаж подземных конвейеров
   Подготовка выработки к монтажу конвейера
   Подготовка конвейера к спуску в шахту и доставка к месту монтажа
   Общие указания по монтажу узлов конвейера
   Монтаж приводов, натяжных устройств и концевых секций (станций)
   Монтаж става конвейера
   Монтаж загрузочных и перегрузочных устройств
   Монтаж ловителей лент
   Навеска и замена конвейерной ленты
   Стыковка конвейерных лент
   Основные положения по монтажу средств и аппаратуры автоматизации конвейеров
   Пробный пуск и обкатка конвейера
   Общие указания по демонтажу конвейера
5. Эксплуатация конвейеров
   Общие положения по эксплуатации конвейеров
   Неисправности конвейеров, требующие их немедленной остановки
   Приводная и натяжная секции (станции)
   Став
   Загрузочные и перегрузочные устройства
   Конвейерная лента
   Центрирование лент
   Очистные устройства
   Обслуживание автоматизированных конвейерных установок (линий)
6. Общие положения по технике безопасности, организации труда и промсанитарии
Приложение 1. Инструкция по перевозке людей ленточными конвейерами в подземных выработках угольных и сланцевых шахт
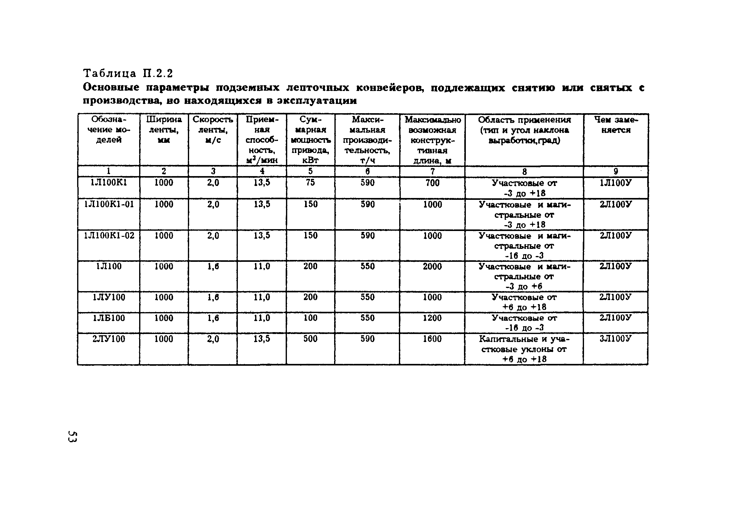
Приложение 2. Технические данные подземных ленточных конвейеров, применяемых на угольных шахтах России
Приложение 3. Рекомендации по применению промежуточных приводов
Приложение 4. Конвейерные ленты, предназначенные для угольных шахт
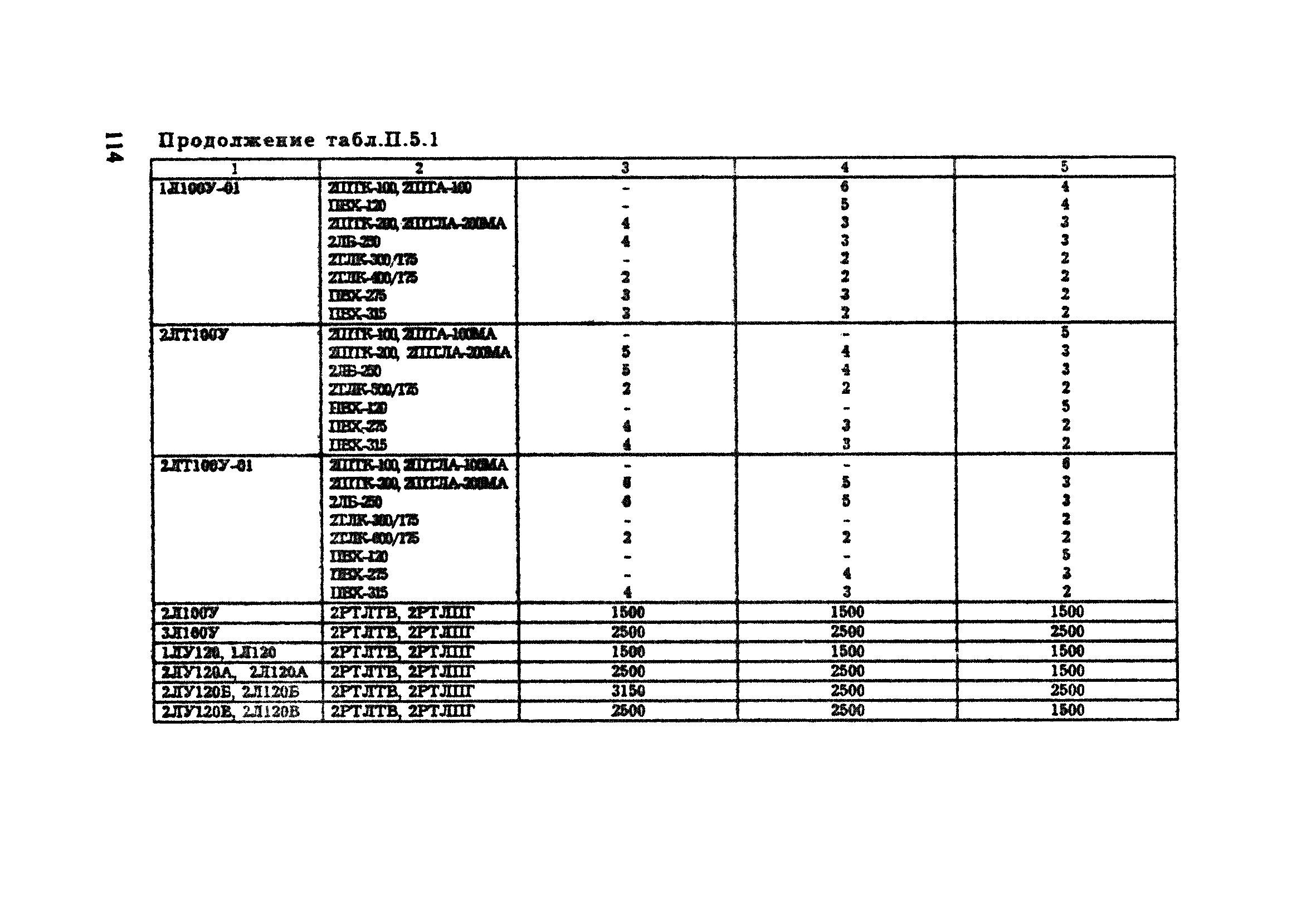
Приложение 5. Инструкция по определению необходимой прочности конвейерной ленты
Приложение 6. Методические указания по составлению проектов на установку стационарных ленточных
Приложение 7. Типовая технологическая карта доставки лент
Приложение 8. Типовые технологические карты навески и замены лент
Приложение 9. Стыковка конвейерных лент
Приложение 10. Журнал осмотра и ремонта конвейеров
Приложение 11. Хранение лент и ремонтных материалов
Приложение 12. Ремонт конвейерных лент
Приложение 13. Значения принимаемых при расчетах конвейеров коэффициентов запаса прочности конвейерной ленты и относительной перегрузки ее при пуске и торможении
Разработан: ВостНИИ (Восточный научно-исследовательский институт по безопасности работ в горной промышленности)
ИГД им. А.А. Скочинского
Донгипроуглемаш
МакНИИ
НПО Респиратор
Александровский машзавод
Краснолучский машзавод
НИИЭМИ
Утверждён:03.10.1995 Росуголь
Заменяет собой:
  • «Правила эксплуатации подземных ленточных и пластинчатых конвейеров на угольных и сланцевых шахтах»
Нормативные ссылки: