Скачать ГОСТ Р ИСО/ТС 10303-1468-2019 Системы автоматизации производства их интеграция. Представление данных об изделии и обмен этими данными. Часть 1468. Прикладной модуль. Модель поведения на основе внешнего состоянияДата актуализации: 01.01.2021
|
| Обозначение: | ГОСТ Р ИСО/ТС 10303-1468-2019 |
| Обозначение англ: | GOST R ISO/TS 10303-1468-2019 |
| Статус: | введен впервые |
| Название рус.: | Системы автоматизации производства их интеграция. Представление данных об изделии и обмен этими данными. Часть 1468. Прикладной модуль. Модель поведения на основе внешнего состояния |
| Название англ.: | Industrial automation systems and integration. Product data representation and exchange. Part 1468. Application module. External state based behaviour model |
| Дата добавления в базу: | 01.02.2020 |
| Дата актуализации: | 01.01.2021 |
| Дата введения: | 01.10.2020 |
| Область применения: | Стандарт определяет прикладной модуль "Модель поведения на основе внешнего состояния". Требования стандарта распространяются на связь с основанной на состоянии моделью поведения, определение которой имеет внешнее представление. Стандарт не распространяется непосредственно на основанную на состоянии модель поведения. |
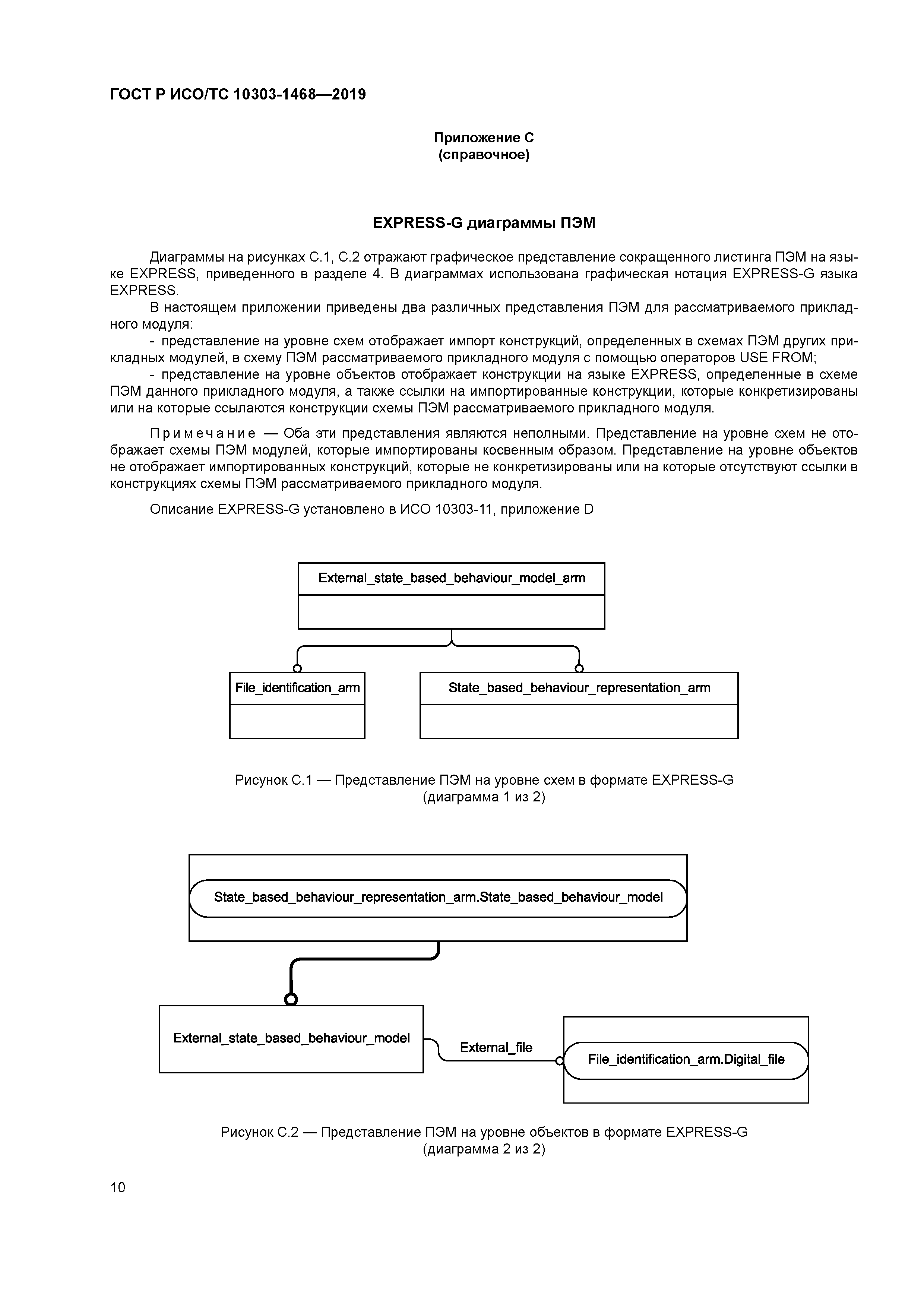
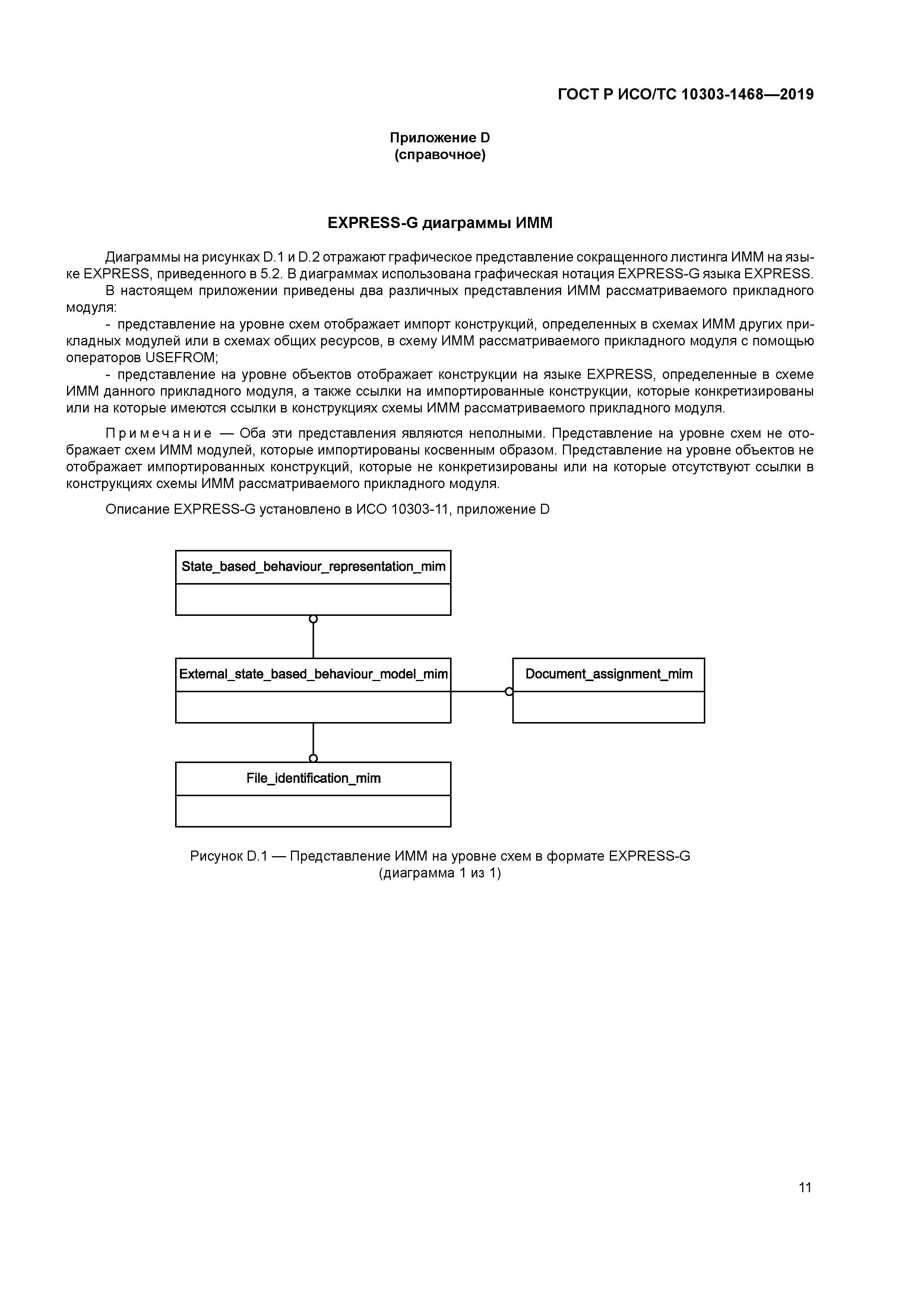
| Оглавление: | 1 Область применения 2 Нормативные ссылки 3 Термины, определения и сокращения 3.1 Термины, определенные в ИСО 10303-1 3.2 Термин, определенный в ИСО 10303-202 3.3 Термины, определенные в ИСО 10303-1001 3.4 Термин, определенный в ИСО 10303-1017 3.5 Сокращения 4 Информационные требования 4.1 ПЭМ, необходимые для прикладного модуля 4.2 Определение объекта ПЭМ 5 Интерпретированная модель модуля 5.1 Спецификация отображения 5.2 Сокращенный листинг ИММ на языке EXPRESS Приложение A (обязательное) Сокращенные наименования объектов ИММ Приложение B (обязательное) Регистрация информационных объектов Приложение C (справочное) EXPRESS-G диаграммы ПЭМ Приложение D (справочное) EXPRESS-G диаграммы ИММ Приложение E (справочное) Машинно-интерпретируемые листинги Приложение ДА (справочное) Сведения о соответствии ссылочных международных стандартов и документов национальным стандартам Библиография |
| Разработан: | АО ВНИИС Общество с ограниченной ответственностью Корпоративные электронные системы |
| Утверждён: | 27.09.2019 Федеральное агентство по техническому регулированию и метрологии (771-ст) |
| Издан: | Стандартинформ (2019 г. ) |
| Нормативные ссылки: |
|



















