Скачать ГОСТ Р 43.4.6-2019 Информационное обеспечение техники операторской деятельности. Система «человек–информация». Речь в информационной деятельностиДата актуализации: 01.01.2021
|
| Обозначение: | ГОСТ Р 43.4.6-2019 |
| Обозначение англ: | GOST R 43.4.6-2019 |
| Статус: | введен впервые |
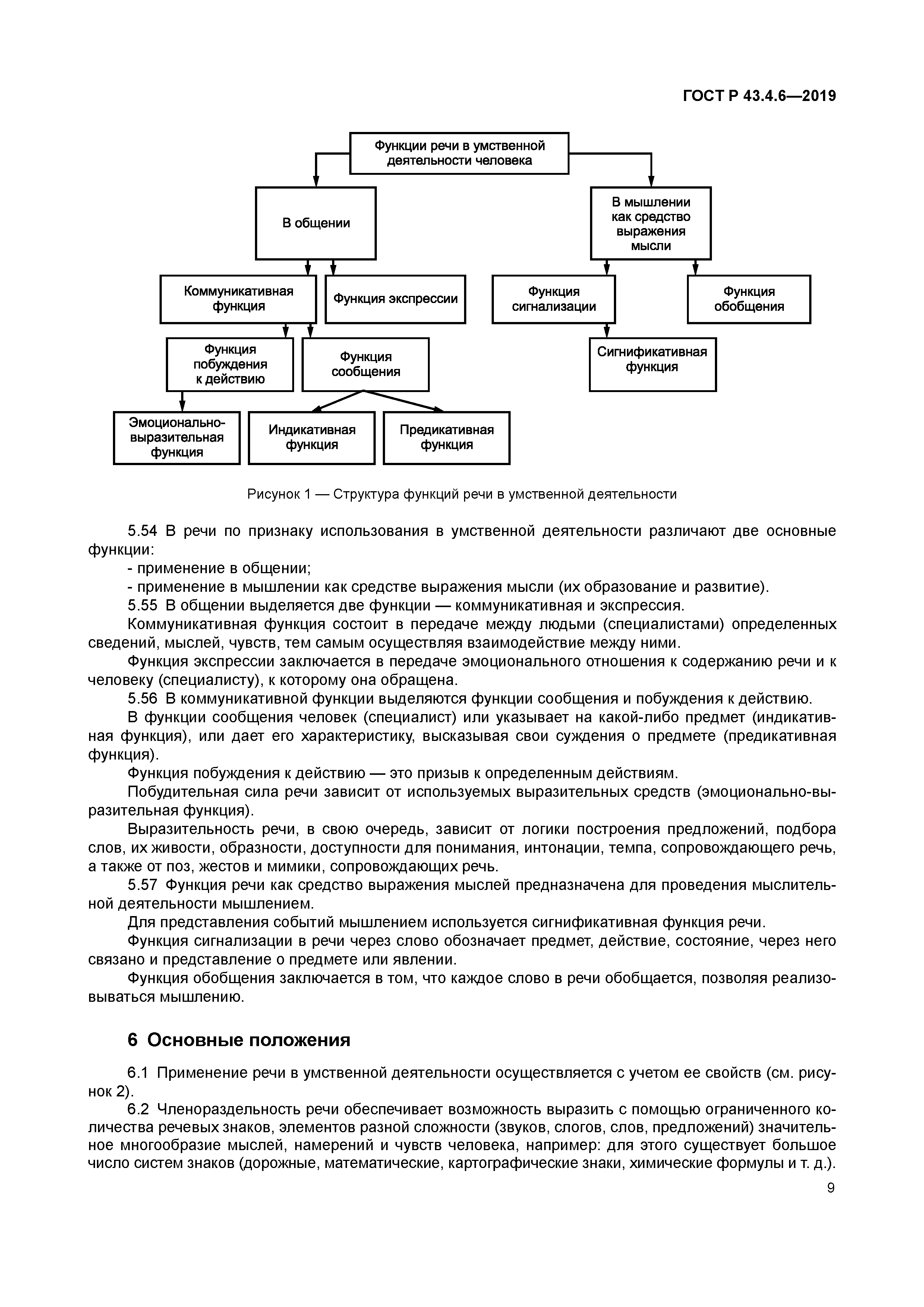
| Название рус.: | Информационное обеспечение техники операторской деятельности. Система «человек–информация». Речь в информационной деятельности |
| Название англ.: | Informational ensuring of equipment and operational activity. System «man-information». Speech in the informational activity |
| Дата добавления в базу: | 01.02.2020 |
| Дата актуализации: | 01.01.2021 |
| Дата введения: | 01.04.2020 |
| Область применения: | Стандарт устанавливает общие, основные положения, относящиеся к осуществлению специалистом умственной деятельности с использованием речи по восприятию лингвосемантизированной информации (ЛСИ) с проведением в ней необходимых изменений. Осуществление в соответствии с положениями стандарта специалистом умственной деятельности с использованием речи при восприятии ЛСИ с проведением в ней необходимых изменений может обеспечить проведение этих изменений с повышенной эффективностью и с учетом особенностей изложения воспринимаемой ЛСИ и умственных возможностей специалиста, адаптированных к ее восприятию. С применением положений стандарта выполнение специалистом с повышенной эффективностью умственной деятельности с использованием речи при восприятии ЛСИ с учетом необходимых изменений может достигаться при проведении специалистом немашинизированных, машинизированных (цифровизированных) умственных взаимодействий с воспринимаемой ЛСИ, осуществляемых при возникновении информационно-обменных процессов (ИОП) с осознанным или неосознанным образованием соответствующих функционирующих систем «человек—информация» (СЧИ) определенного временного существования, влияющих на выполнение технической деятельности с повышенной результативностью. |
| Оглавление: | 1 Область применения 2 Нормативные ссылки 3 Термины и определения 4 Сокращения 5 Общие положения 6 Основные положения |
| Разработан: | ОУ Центр НООН |
| Утверждён: | 19.11.2019 Федеральное агентство по техническому регулированию и метрологии (1189-ст) |
| Издан: | Стандартинформ (2019 г. ) |
| Нормативные ссылки: |
|


















