Скачать ГОСТ Р 43.2.6-2011 Информационное обеспечение техники и операторской деятельности. Язык операторской деятельности. МорфологияДата актуализации: 01.01.2021
|
| Обозначение: | ГОСТ Р 43.2.6-2011 |
| Обозначение англ: | GOST R 43.2.6-2011 |
| Статус: | введен впервые |
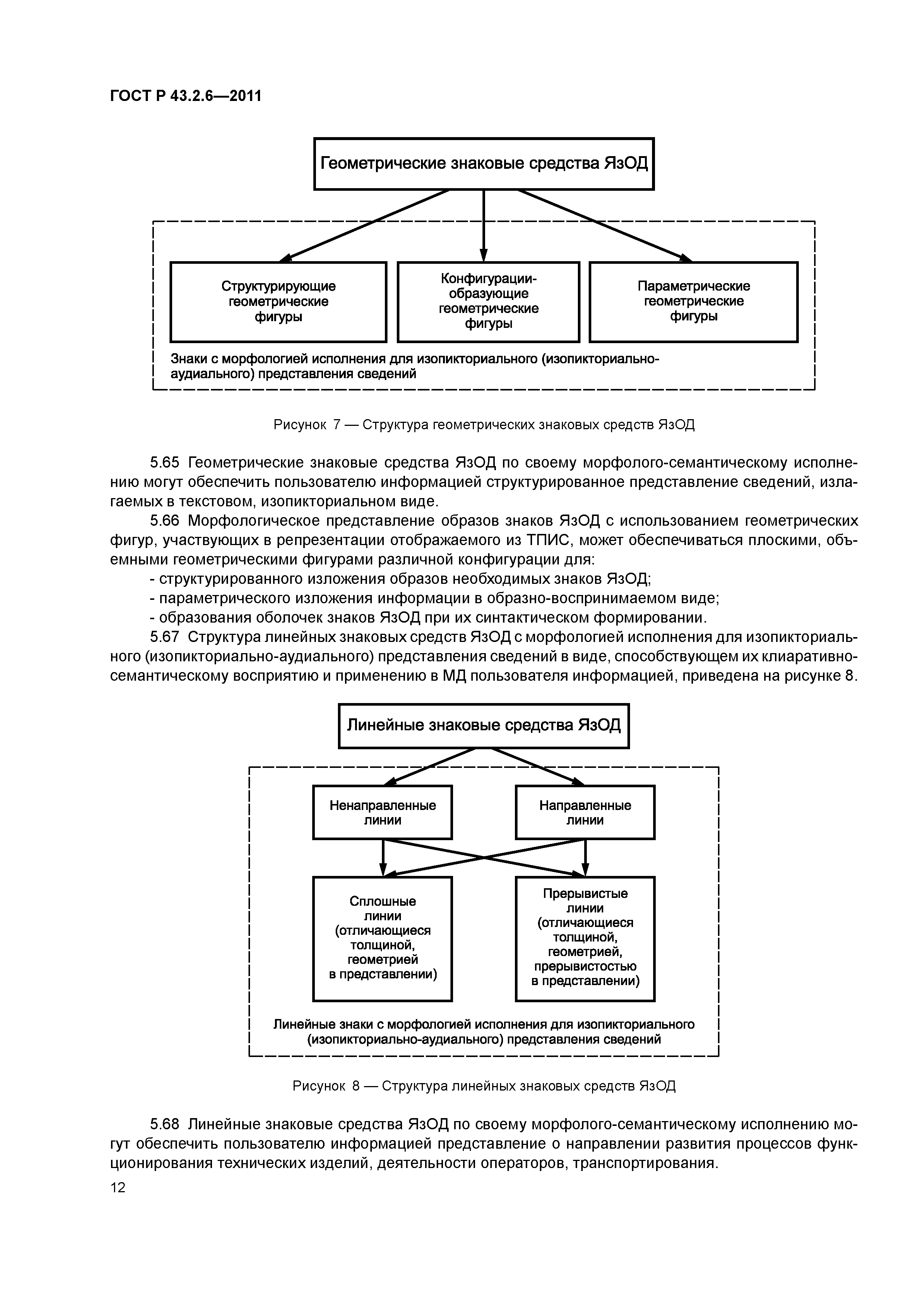
| Название рус.: | Информационное обеспечение техники и операторской деятельности. Язык операторской деятельности. Морфология |
| Название англ.: | Informational ensuring of equipment and operational activity. Language of operation activity. Morphology |
| Дата добавления в базу: | 01.10.2014 |
| Дата актуализации: | 01.01.2021 |
| Дата введения: | 01.07.2013 |
| Область применения: | Стандарт устанавливает общие и основные положения морфологии (морфологического представления) знаковых компонентов ЯзОД при разработке сведений для ИОТОД. |
| Оглавление: | 1 Область применения 2 Нормативные ссылки 3 Термины и определения 4 Сокращения 5 Общие положения 6 Основные положения Приложение А (справочное) Создание морфологических образов знаков языка операторской деятельности Приложение Б (справочное) Морфологическое представление пикториально-знакового объекта с использованием комбинирования и агрегатирования элементов знака Приложение В (справочное) Морфологическое представление М-знаков (геометрических знаков) языка операторской деятельности для изложения нечетко отражаемого концептуального, актуального технического сущего Приложение Г (справочное) Морфологическое представление И-знаков (иконических знаков) языка операторской деятельности для изложения нечетко отражаемого концептуального, актуального технического сущего |
| Разработан: | ОУ Центр НООН |
| Утверждён: | 13.12.2011 Федеральное агентство по техническому регулированию и метрологии (1241-ст) |
| Издан: | Стандартинформ (2013 г. ) Стандартинформ (2018 г. ) |
| Нормативные ссылки: |
|























