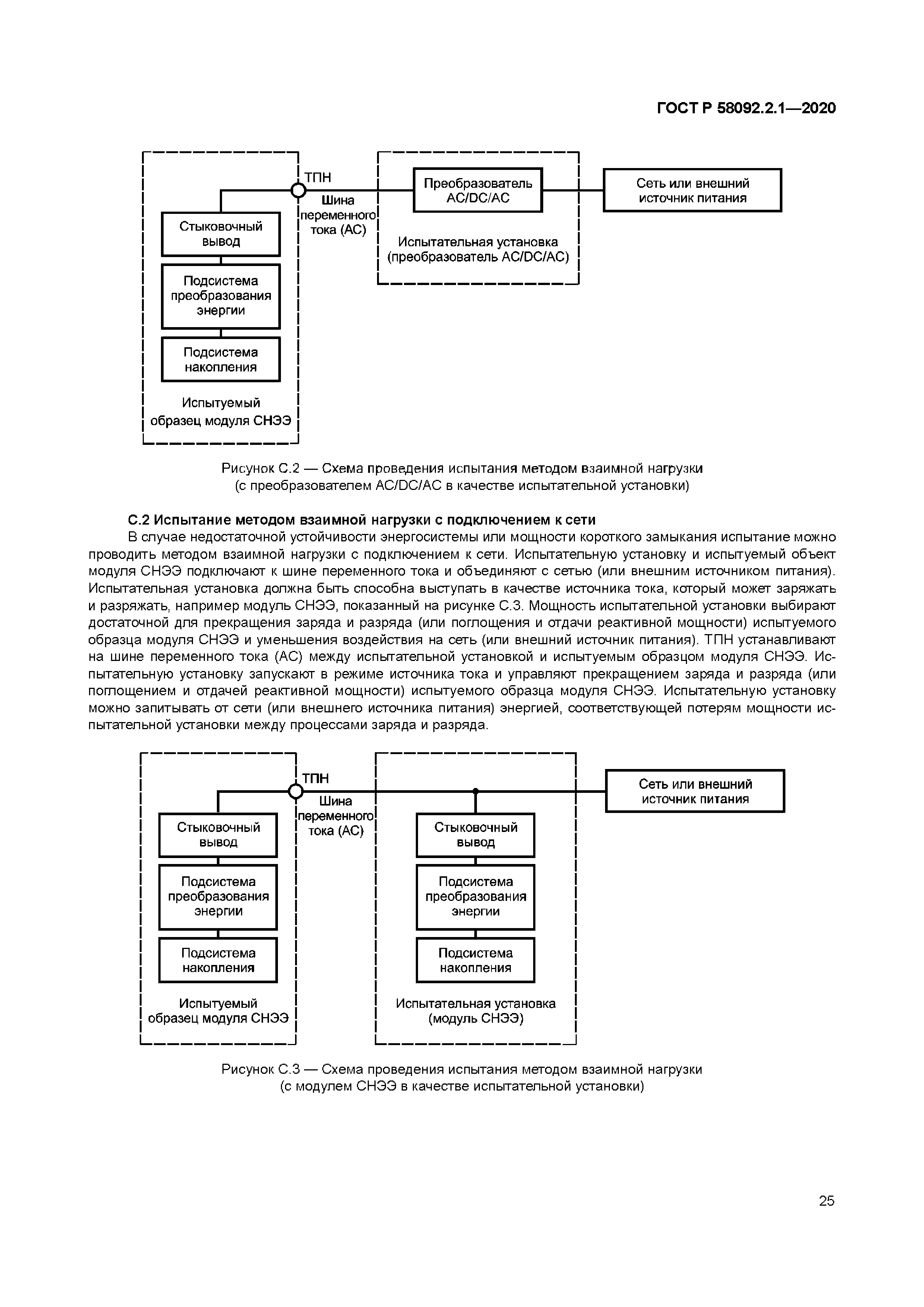
Скачать ГОСТ Р 58092.2.1-2020 Системы накопления электрической энергии (СНЭЭ). Параметры установок и методы испытаний. Общее описаниеДата актуализации: 01.01.2021 ГОСТ Р 58092.2.1-2020
Системы накопления электрической энергии (СНЭЭ). Параметры установок и методы испытаний. Общее описание| Обозначение: | ГОСТ Р 58092.2.1-2020 | | Обозначение англ: | GOST R 58092.2.1-2020 | | Статус: | введен впервые | | Название рус.: | Системы накопления электрической энергии (СНЭЭ). Параметры установок и методы испытаний. Общее описание | | Название англ.: | Electric energy storage (ESS) systems. Unit parameters and test methods. General specification | | Дата добавления в базу: | 01.01.2021 | | Дата актуализации: | 01.01.2021 | | Дата введения: | 01.11.2020 | | Область применения: | Стандарт распространяется на системы накопления электрической энергии (СНЭЭ) и устанавливает перечень их основных параметров, влияющих на характеристики СНЭЭ, и методы испытаний для определения величин этих параметров. | | Оглавление: | 1 Область применения 2 Нормативные ссылки 3 Термины, определения, сокращения и обозначения 3.1 Термины и определения 3.2 Сокращения 3.3 Обозначения 4 Классификация СНЭЭ 4.1 Общие положения 4.2 Классификация приложений СНЭЭ 4.3 Приложения СНЭЭ класса А 4.4 Приложения СНЭЭ класса В — срезание/смещение пиков нагрузок 4.5 Приложение СНЭЭ класса С — бесперебойное питание 5 Параметры СНЭЭ 5.1 Общие положения 5.2 Перечень параметров СНЭЭ 6 Виды и методы испытаний 6.1 Общие положения 6.2 Испытания для определения значений параметров установок 6.3 Испытания для определения рабочих характеристик 6.4 Испытания при вводе в эксплуатацию Приложение A (справочное) Рабочий цикл испытания для определения эффективности заряда-разряда Приложение B (справочное) Испытание на компенсацию колебаний мощности Приложение C (справочное) Испытание СНЭЭ методом взаимной нагрузки Приложение ДА (справочное) Сведения о соответствии ссылочных национальных и межгосударственных стандартов международным стандартам, использованным в качестве ссылочных в примененном международном стандарте Библиография | | Разработан: | ООО Системы накопления энергии
| | Утверждён: | 11.06.2020 Федеральное агентство по техническому регулированию и метрологии (252-ст)
| | Издан: | Стандартинформ (2020 г. )
| | Нормативные ссылки: |   ГОСТ 15150-69 «Машины, приборы и другие технические изделия. Исполнения для различных климатических районов. Категории, условия эксплуатации, хранения и транспортирования в части воздействия климатических факторов внешней среды»  ГОСТ 15543.1-89 «Изделия электротехнические и другие технические изделия. Общие требования в части стойкости к климатическим внешним воздействующим факторам» ПУЭ «Правила устройства электроустановок. Издание 7»  ГОСТ Р 51317.6.5-2006 «Совместимость технических средств электромагнитная. Устойчивость к электромагнитным помехам технических средств, применяемых на электростанциях и подстанциях. Требования и методы испытаний»  ГОСТ Р 50571.16-2007 «Электроустановки низковольтные. Часть 6. Испытания»  ГОСТ Р 54418.21-2011 «Возобновляемая энергетика. Ветроэнергетика. Установки ветроэнергетические. Часть 21. Измерение и оценка характеристик, связанных с качеством электрической энергии, ветроэнергетических установок, подключенных к электрической сети»  ГОСТ Р 1.5-2012 «Стандартизация в Российской Федерации. Стандарты национальные. Правила построения, изложения, оформления и обозначения»  ГОСТ 30804.6.1-2013 «Совместимость технических средств электромагнитная. Устойчивость к электромагнитным помехам технических средств, применяемых в жилых, коммерческих зонах и производственных зонах с малым энергопотреблением. Требования и методы испытаний»  ГОСТ 30804.6.2-2013 «Совместимость технических средств электромагнитная. Устойчивость к электромагнитным помехам технических средств, применяемых в промышленных зонах. Требования и методы испытаний» ГОСТ 30804.4.7-2013 «Совместимость технических средств электромагнитная. Общее руководство по средствам измерений и измерениям гармоник и интергармоник для систем электроснабжения и подключаемых к ним технических средств»  ГОСТ 32144-2013 «Электрическая энергия. Совместимость технических средств электромагнитная. Нормы качества электрической энергии в системах электроснабжения общего назначения» ГОСТ 29322-2014 «Напряжения стандартные»  Федеральный закон 162-ФЗ «О стандартизации в Российской Федерации» ГОСТ Р 57382-2017 «Единая энергетическая система и изолированно работающие энергосистемы. Электроэнергетические системы. Стандартный ряд номинальных и наибольших рабочих напряжений» ГОСТ IEC 61000-6-5-2017 «Электромагнитная совместимость (ЭМС). Часть 6-5. Общие стандарты. Помехоустойчивость оборудования, используемого в обстановке электростанции и подстанции» ГОСТ Р 58092.1-2018 «Системы накопления электрической энергии (СНЭЭ). Термины и определения»  «Правила технологического функционирования электроэнергетических систем» «Методические указания по устойчивости энергосистем»
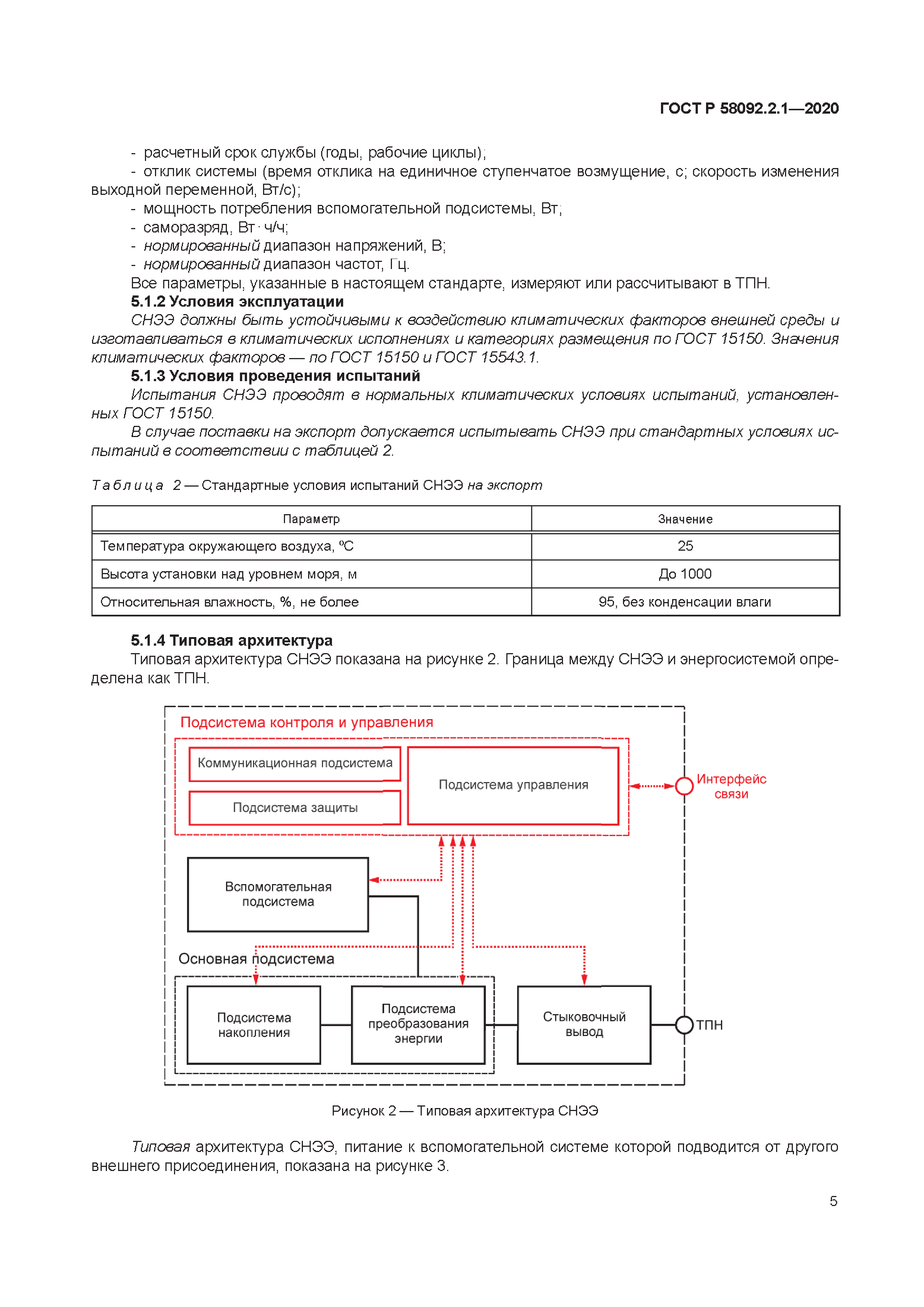
|
                                
|