Государственное санитарно-эпидемиологическое
нормирование
Российской Федерации
4.1. МЕТОДЫ КОНТРОЛЯ. ХИМИЧЕСКИЕ ФАКТОРЫ
Определение остаточных
количеств
лямбда-цигалотрина в яблочном и
виноградном соках методом капиллярной
газожидкостной хроматографии
Методические
указания
МУК 4.1.2380-08
Москва 2009
1 Разработаны Российским Государственным Аграрным Университетом - МСХА имени К.А. Тимирязева (Калинин В.А, Калинина Т.С., Рыбакова О.И)
2. Рекомендованы к утверждению Комиссией по санитарно-гигиеническому нормированию при Федеральной службе по надзору в сфере защиты прав потребителей и благополучия человека (протокол от 3 апреля 2008 г. № 1).
3. Утверждены Руководителем Федеральной службы по надзору в сфере защиты прав потребителей и благополучия человека, Главным государственным санитарным врачом Российской Федерации Г.Г Онищенко 2 июля 2008 г.
4. Введены в действие с 2 сентября 2008 г.
5. Введены впервые.
СОДЕРЖАНИЕ
|
УТВЕРЖДАЮ Руководитель
Федеральной службы ___________________ Г.Г. Онищенко 2 июля 2008 г. Дата введения- 2 сентября 2008 г. |
4.1 .Методы контроля. Химические факторы
Определение
остаточных количеств
лямбда-цигалотрина в яблочном
и виноградном соках методом капиллярной
газожидкостной хроматографии
Методические указания
МУК 4.1.2380-08
Настоящие методические указания устанавливают метод газожидкостной хроматографии для определения массовой концентрации лямбда-Цигалотрина в соке яблок и винограда в диапазоне 0,01 - 0,1 мг/кг.
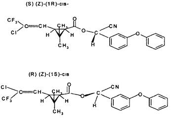
Название действующего вещества по ИСО: лямбда-Цигалотрин. Название по ИЮПАК: (S,R)-α-циано-3-феноксибензил (1R,1S)-цис-3-(2-хлор-3,3,3-трифторпропенил)-2,2 диметилциклопропанкарбоксилат (1⋅1).
Структурная формула:

Эмпирическая формула: C23H19ClF3NO3.
Молекулярная масса: 449,9.
Агрегатное состояние: паста.
Цвет, запах: бесцветная.
Давление насыщенного пара: 0,001 мПа при 20 °С.
Коэффициент распределения в системе октанол/вода при 20 °С: Kow logP = 7.
Растворимость в воде при 20 °С - 0,005 мг/дм3 (pH 6,5).
Растворимость в органических растворителях г/дм3: ацетоне, гексане, метаноле, толуоле, этилацетате > 500.
Устойчив на свету. Стабилен при хранении в течение 6 месяцев при температуре 15 - 25 °С. Период полураспада в почве - ДТ50 = 4 - 12 недель.
Краткая токсикологическая характеристика: лямбда-Цигалотрин относится к опасным веществам по острой пероральной (ЛД50 (крысы) - 56 - 79 мг/кг), ингаляционной [ЛК50 (4 час) для крыс > 0,06 мг/л воздуха] и к малоопасным веществам по накожной (ЛД50 для крыс - 1293 - 1507 мг/кг, для кроликов > 2000 мг/кг) токсичности. Побочные отрицательные эффекты не обнаружены.
В России установлены следующие гигиенические нормативы:
ДСД для человека - 0,002 мг/кг/сут.;
МДУ (мг/кг) в яблочном и виноградном соках не установлен.
Лямбда-Цигалотрин - инсектицид контактного и кишечного действия из группы синтетических пиретроидов, обладающий слабым репеллентным эффектом.
Применяется для подавлении развития вредителей из отрядов жесткокрылых, перепончатокрылых, прямокрылых, двукрылых и чешуекрылых (имаго и личинки), а также отдельных видов клещей в посевах зерновых и овощных культур, кукурузы, хлопчатника, на плантациях картофеля, технических, ягодных и плодовых культур при норме расхода 5 - 20 г д.в. на га в период вегетации культур до двух обработок за сезон.
При соблюдении всех регламентированных условий проведения анализа в точном соответствии с данной методикой погрешность (и ее составляющие) результатов измерений при доверительной вероятности Р = 0,95 не превышает значений, приведенных в Таблице 1 для соответствующих диапазонов концентраций.
Метрологические параметры для лямбда-Цигалотрина
|
Анализируемый объект |
Диапазон определяемых концентраций, мг/кг |
Показатель точности (граница относительной погрешности), ±δ, % Р = 0,95 |
Стандартное отклонение повторяемости, σr, % |
Предел повторяемости, r, % |
Предел воспроизводимости, R, % |
|
Сок яблок |
0,01 - 0,1 |
50 |
4 |
11 |
13 |
|
Сок винограда |
0,01 - 0,1 |
50 |
3 |
9 |
11 |
Полнота извлечения вещества, стандартное отклонение, доверительные интервалы среднего результата для полного диапазона концентраций (n = 20) приведены в Таблице 2.
Полнота извлечения вещества, стандартное отклонение,
доверительный интервал среднего результата для лямбда-Цигалотрина
|
Анализируемый объект |
Метрологические параметры, Р = 0.95, n = 20 |
||||
|
Предел обнаружения, мг/кг |
Диапазон определяемых концентраций, мг/кг |
Среднее значение определения, % |
Стандартное отклонение, S, % |
Доверительный интервал среднего результата, ±, % |
|
|
Сок яблок |
0,01 |
0,01 - 0,1 |
90,5 |
3,5 |
±1,5 |
|
Сок винограда |
0,01 |
0,01 - 0,1 |
92,9 |
3,2 |
±1,4 |
Метод основан на определении лямбда-Цигалотрина методом капиллярной ГЖХ с использованием детектора по захвату электронов после экстракции его из матрицы органическим растворителем и перераспределения между двумя несмешивающимися растворителями.
Идентификация проводится по времени удерживания. Количественное определение - методом абсолютной калибровки.
В предлагаемых условиях анализа метод специфичен. Избирательность обеспечивается путем подбора капиллярной колонки и условий программирования температуры.
Весы аналитические «OHAUS», Σ 11140.
Весы лабораторные общего назначения с наибольшим пределом взвешивания до 600 г и пределом допустимой погрешности ±0,038 г «ACCULAB» V600.
Колбы мерные на 25, 50, 100 см3, ГОСТ 1770-74.
Микрошприц на 10 мм3, ТУ 2.833.106.
Пипетки мерные на 1,0; 2,0; 5,0 см3, ГОСТ 20292-74.
Стаканы химические, стеклянные на 100 см3, ГОСТ 25336-82Е.
Хроматограф газовый НР6890 Series GC System с детектором по захвату электронов (ЭЗД), регистрационный номер в государственном реестре средств измерения № 201/978.
Цилиндры мерные на 10, 25 и 50 см3, ГОСТ 1770-74.
Допускается использование средств измерения с аналогичными или лучшими характеристиками.
Аналитический стандарт Лямбда-Цигалотрина с содержанием не менее 95 % д.в.
Азот особой чистоты, ГОСТ 9293-74.
Ацетон х.ч., ТУ 6-09-3513-86.
Ацетонитрил, ТУ 6-09-3534-87.
Вода дистиллированная, ГОСТ 7602-72.
н-Гексан, ч., ТУ 6-09-3375-78.
Гелий, очищенный марки «А», ТУ 51-940-80.
Натрий сернокислый, безводный, х.ч., ГОСТ 4166-76.
Натрия хлорид, х.ч., ГОСТ 4233-77.
Стандартный раствор лямбда-Цигалотрина в гексане - 1 мг/см3 (хранить в холодильнике, срок годности 120 суток).
Допускается использование реактивов иных производителей с аналогичной или более высокой классификации.
Аппарат для встряхивания проб «SKLO UNION TYP LT1».
Банки с крышками для экстракции на 250 см3, полипропилен, кат.
№ 3120-0250, NALGENE.
Виалы с тефлоновыми прокладками, Aldrich, cat. № Z27, 702-9.
Воронки химические для фильтрования, стеклянные, ГОСТ 8613-75.
Воронки делительные на 250 см3, ГОСТ 10054-75.
Испаритель ротационный Rotavapor R110 Buchi с водяной баней В-480, фирма Буши.
Колбы конические плоскодонные на 100 и 250 см3, КПШ-100, КПШ-250, ГОСТ 10394-72.
Концентраторы грушевидные (конические) 250 см3, ГОСТ 10394-72.
Колонка хроматографическая капиллярная кварцевая Rtx®-1, (100 % диметилполисилоксана), длина 30 м, внутренний диаметр 0,25 мм, толщина пленки 0,25 мкм, фирмы Restek.
Насос диафрагменный FT.19 фирмы KNF Neu Laboport.
Фильтры бумажные «Красная лента», ТУ 6-09-1678-86.
Допускается применение хроматографических колонок и другого оборудования с аналогичными или лучшими техническими характеристиками.
4.1. При выполнении измерений необходимо соблюдать требования техники безопасности при работе с химическими реактивами по ГОСТ 12.1.007, требования электробезопасности при работе с электроустановками по ГОСТ 12.1.019, а также требования, изложенные в технической документации на газовый хроматограф.
4.2. Помещение должно соответствовать требованиям пожаробезопасности по ГОСТ 12.1.004 и иметь средства пожаротушения по ГОСТ 12.4.009. Содержание вредных веществ в воздухе не должно превышать норм, установленных ГН 2.2.5.1313-03 «предельно-допустимые концентрации (ПДК) вредных веществ в воздухе рабочей зоны». Организация обучения работников безопасности труда - по ГОСТ 12.0.004.
К выполнению измерений допускают специалистов, имеющих квалификацию не ниже лаборанта-исследователя, с опытом работы на газовом хроматографе.
К проведению пробоподготовки допускают оператора с квалификацией «лаборант», имеющего опыт работы в химической лаборатории.
При выполнении измерений соблюдают следующие условия:
- процессы приготовления растворов и подготовки проб к анализу проводят при температуре воздуха (20 ± 5)°с и относительной влажности не более 80 %.
- выполнение измерений на газовом хроматографе проводят в условиях, рекомендованных технической документацией к прибору.
7.1.1. Приготовление стандартных растворов.
100 мг лямбда-Цигалотрина (аналитического стандарта) вносят в мерную колбу вместимостью 100 см3, растворяют навеску в н-гексане и доводят объем до метки гексаном (стандартный раствор № 1, концентрация 1 мг/ см3). Раствор хранится в холодильнике около 120 суток.
Методом последовательного разбавления исходного раствора № 1 гексаном готовят стандартный раствор № 2 с концентрацией 10,0 мкг/см3, который может храниться в холодильнике не более 30 суток.
Методом последовательного разбавления исходного раствора № 2 гексаном готовят рабочие растворы лямбда-Цигалотрина с концентрацией 0,01; 0,02; 0,05; 0,1 мкг/см3 для построения калибровочного графика, которые могут храниться в холодильнике не более 10 суток.
Методом последовательного разбавления исходного раствора № 1 ацетоном готовят рабочий раствор лямбда-Цигалотрина с концентрацией 0,1 мкг/см3 для внесения в сок при отработке и апробации методики, который можно храниться в холодильнике не более 10 суток.
Градуировочную характеристику, выражающую зависимость площади (высоты) пика от концентрации лямбда-Цигалотрина в растворе (мкг/см3), устанавливают методом абсолютной калибровки по 4-м растворам для градуировки с концентрацией 0,01; 0,02; 0,05; 0,1 мкг/см3.
В испаритель хроматографа вводят по 1 мм3 каждого градуировочного раствора и анализируют в условиях хроматографирования по п. 9.2. Осуществляют не менее 3-х параллельных измерений.
По полученным данным строят градуировочный график зависимости площади хроматографического пика в Hz от концентрации лямбда-Цигалотрина в растворе в мкг/см3. (рисунок 1).
Отбор проб производится в соответствии с «Унифицированными правилами отбора проб сельскохозяйственной продукции, пищевых продуктов и объектов окружающей среды для определения микроколичеств пестицидов», № 2051-79 от 21.08.79 г., а также в соответствии с ГОСТ 25892-83 «Виноградный сок, ТУ», ГОСТ 659-79 «Соки плодовые и ягодные натуральные. ТУ».
Пробы сока хранят в стеклянной герметично закрытой таре в холодильнике при температуре +4 °С не более 10 суток.
9.1.1. Экстракция
Навеску 10 г сока разводят 20 см3 насыщенного раствора хлористого натрия и помещают в полипропиленовую банку. К навеске прибавляют 50 см3 ацетонитрила и помещают на аппарат для встряхивания проб на 10 минут. Затем пробу переносят в делительную воронку и после разделения слоев нижний водный слой собирают в полипропиленовую банку, а верхний ацетонитрильный в концентратор емкостью 250 см3. Повторяют экстракцию еще два раза, используя по 30 см3 ацетонитрила.
Объединенный ацетонитрильный экстракт выпаривают на ротационном вакуумном испарителе при температуре водяной бани не выше 30 °С досуха.
9.1.2.
Очистка экстракта перераспределением в системе
несмешивающихся растворителей
К сухому остатку в концентратор добавляют 5 см3 ацетона, тщательно обмывают стенки концентратора, туда же приливают 50 см3 дистиллированной воды, перемешивают и переносят водную фазу в делительную воронку на 250 см3. В концентратор добавляют еще раз 50 см3 дистиллированной воды, тщательно обмывают стенки и переносят водную фазу в ту же делительную воронку. Добавляют 5 г хлорида натрия и встряхивают воронку до полного растворения осадка.
Добавляют к водной фазе 30 см3 гексана и интенсивно встряхивают смесь в течение 1 - 2 мин. После разделения слоёв нижний водный слой собирают в тот же концентратор, а верхний (гексановый) собирают в чистый концентратор, пропуская через слой безводного сульфата натрия. Водную фракцию возвращают в делительную воронку и экстрагируют лямбда-Цигалотрин еще дважды, используя для этого каждый раз 30 см3 гексана. Объединённый гексановый экстракт выпаривают досуха на ротационном вакуумном испарителе при температуре бани не выше 25 - 30° С
Сухой остаток растворяют в 10 см3 гексана и 1 мм3 пробы вводят в хроматограф.
Хроматограф газовый НР6890 Series GC System с детектором по захвату электронов (ЭЗД), в модификации с электронным управлением пневмонической системы (ЭУПС).
Колонка хроматографическая капиллярная кварцевая Rtx®-1, (100 % диметилполисилоксана), длина 30 м, внутренний диаметр 0,25 мм, толщина пленки 0,25 мкм.
Температура детектора - 300 °С, поток обдува анода (азот) - 6,0 см3/мин, поток поддува - 59,0 см3/мин.
Температура испарителя - 260 °С, режим Split, тип газа гелий, давление 20,32 psi, деление потока 5:1, split поток 5,0 см3/мин.
Программированный нагрев колонки с 220 °С (выдержка 1 мин) по 10 град/мин до 260 °С (выдержка 7 мин), режим постоянное давление, поток колонки 1,0 мл/мин, средняя скорость 31 см/сек.
Абсолютное время удерживания лямбда-Цигалотрина - 9,03 мин ±2 %.
Линейность детектирования сохраняется в пределах - 0,01 - 0,1 нг.
Каждую анализируемую пробу вводят в хроматограф 3 раза и вычисляют среднюю площадь пика.
Образцы, дающие пики больше, чем стандартный раствор с концентрацией лямбда-Цигалотрина 0,1 мкг/см3, соответственно разбавляют.
Количественное определение лямбда-Цигалотрина проводят по методу абсолютной калибровки посредством сравнения с хроматограммами стандартных растворов лямбда-Цигалотрина с концентрацией 0,01 - 0,1 мкг/см3.
Для обработки результатов хроматографического анализа используется программное обеспечение химического анализа HP GC ChemStation Rev. A.06.03RUS.
Альтернативная обработка результатов.
Содержание лямбда-Цигалотрина рассчитывают по формуле:
|
|
где X - содержание лямбда-Цигалотрина в пробе, мг/кг;
Sст - высота (площадь) пика стандарта, Hz;
Sпp - высота (площадь) пика образца, Hz;
А - концентрация стандартного раствора, мкг/см3;
V - объем экстракта, подготовленного для хроматографирования, см3;
m - масса анализируемого образца, г;
Р - содержание лямбда-Цигалотрина в аналитическом стандарте, %.
За результат анализа принимают среднее арифметическое результатов двух параллельных определений, расхождение между которыми не превышает предела повторяемости (1):
где Х1, Х2 - результаты параллельных определений, мг/кг;
r - значение предела повторяемости (таблица 1), при этом r = 2.8 σr.
При невыполнении условия (1) выясняют причины превышения предела повторяемости, устраняют их и вновь выполняют анализ.
Результат анализа представляют в виде:
мг/кг при вероятности Р = 0,95,
где
- среднее арифметическое результатов
определений, признанных приемлемыми, мг/кг;
Δ - граница абсолютной погрешности, мг/кг;
|
|
δ - граница относительной погрешности методики (показатель точности в соответствии с диапазоном концентраций, таблица 1), %.
В случае если содержание компонента менее нижней границы диапазона определяемых концентраций, результат анализа представляют в виде:
«содержание вещества в пробе менее 0,01 мг/кг»*
* - 0,01 мг/кг - предел обнаружения.
Оперативный контроль погрешности и воспроизводимости измерений осуществляется в соответствии с ГОСТ Р ИСО 5725-1-6-2002 «Точность (правильность и прецизионность) методов и результатов измерений».
13.1. Стабильность результатов измерений контролируют перед проведением измерений, анализируя один из градуировочных растворов.
13.2. Плановый внутрилабораторный оперативный контроль процедуры выполнения анализа проводится методом добавок.
Величина добавки Сд должна удовлетворять условию:
|
|
где,
- характеристика погрешности
(абсолютная погрешность) результатов анализа, соответствующая содержанию компонента
в испытуемом образце (расчетному значению содержания компонента в образце с
добавкой соответственно) мг/кг, при этом:
|
Δл = ±0,84Δ, |
где Δ - граница абсолютной погрешности, мг/кг;
|
|
δ - граница относительной погрешности методики (показатель точности в соответствии с диапазоном концентраций, таблица 1), %. Результат контроля процедуры Кк рассчитывают по формуле:
|
|
где
среднее арифметическое результатов
параллельных определений (признанных приемлемыми по п. 11), содержания
компонента в образце с добавкой, испытуемом образце и концентрация добавки,
соответственно, мг/кг;
Норматив контроля К рассчитывают по формуле:
|
|
Проводят сопоставление результата контроля процедуры (Кк) с нормативом контроля (К).
Если результат контроля процедуры удовлетворяет условию:
|
(2) |
процедуру анализа признают удовлетворительной.
При невыполнении условия (2) процедуру контроля повторяют. При повторном невыполнении условия (2) выясняют причины, приводящие к неудовлетворительным результатам, и принимают меры по их устранению.
13.3. Проверка приемлемости результатов измерений, полученных в условиях воспроизводимости:
Расхождение между результатами измерений, выполненных в двух разных лабораториях, не должно превышать предела воспроизводимости (R)
|
|
(3) |
где X1, Х2 - результаты измерений в двух разных лабораториях, мг/кг;
R - предел воспроизводимости ( в соответствии с диапазоном концентраций, таблица 1), %.