Государственное
санитарно-эпидемиологическое нормирование
Российской Федерации
4.1. МЕТОДЫ КОНТРОЛЯ. ХИМИЧЕСКИЕ ФАКТОРЫ
Измерение концентраций
флуксапироксада в воздухе рабочей зоны
и смывах с кожных покровов операторов
методом высокоэффективной
жидкостной хроматографии
Методические указания
МУК 4.1.3091-13
Москва 2013
1. Разработаны ФБУН «Федеральный научный центр гигиены им. Ф.Ф. Эрисмана» Роспотребнадзора (Т.В. Юдина, Н.Е. Федорова, В.Н. Волкова).
2. Рекомендованы к утверждению Комиссией по государственному санитарно-эпидемиологическому нормированию при Федеральной службе по надзору в сфере защиты прав потребителей и благополучия человека (протокол от 30 мая 2013 г. № 1).
3. Утверждены Руководителем Федеральной службы по надзору в сфере защиты прав потребителей и благополучия человека, Главным государственным санитарным врачом Российской Федерации Г.Г. Онищенко 29 июля 2013 г.
4. Введены впервые.
СОДЕРЖАНИЕ
|
УТВЕРЖДАЮ Руководитель Федеральной службы Главный государственный санитарный Г.Г. Онищенко 29 июля 2013 г. |
4.1. МЕТОДЫ КОНТРОЛЯ. ХИМИЧЕСКИЕ ФАКТОРЫ
Измерение концентраций флуксапироксада
в воздухе рабочей зоны и смывах с кожных покровов
операторов
методом высокоэффективной
жидкостной хроматографии
Методические
указания
МУК 4.1.3091-13
Свидетельство об аттестации от 9.10.2012 №01.00282-2008/0141.09.10.12.
Настоящие методические указания устанавливают порядок применения метода высокоэффективной жидкостной хроматографии для определения в воздухе рабочей зоны и смывах с кожных покровов операторов массовой концентрации флуксапироксада в диапазонах 0,05 - 0,5 мг/м3 и 0,2 - 2,0 мкг/смыв соответственно.
Методические указания носят рекомендательный характер.
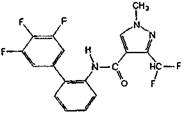
Название действующего вещества по ИСО: флуксапироксад.
Название действующего вещества по ИЮПАК: 3-Дифторметил-1-метил-N-(3',4',5'-трифторбифенил-2-ил)-1Н-пиразол-4-карбоксамид.
Структурная формула:

Эмпирическая формула: C18H12F5N3O.
Молекулярная масса: 381,31.
Твердое порошкообразное вещество бежевого цвета без запаха. Температура плавления 156,8 °С. Давление паров 2,7×10-7 мПа (при 25 °С). Растворимость в органических растворителях при 20 °С (в г/дм3): ацетон - 250; ацетонитрил > 100; дихлорметан > 100; метанол - 53,4; толуол - 20,0; этилацетат - 123,3. Растворимость в воде при 20 °С (в мг/дм3): 3,78. Флуксапироксад гидролитически стабилен при рН 4 - 9.
Краткая токсикологическая характеристика
Острая пероральная токсичность (LD50) для крыс > 2000 мг/кг; острая дермальная токсичность (LD50) для крыс > 2000 мг/кг; острая ингаляционная токсичность (LC50) для крыс > 5,1 мг/дм3.
Область применения
Флуксапироксад - системный фунгицид, относится к классу пира-золкарбоксамидов, рекомендуется для борьбы с комплексом болезней зерновых культур.
Методика обеспечивает выполнение измерений с погрешностью, не превышающей ±25 %, при доверительной вероятности 0,95.
Измерения концентраций флуксапироксада выполняют методом высокоэффективной жидкостной хроматографии (ВЭЖХ) на обращенной фазе с ультрафиолетовым детектором.
Концентрирование вещества из воздуха осуществляют на бумажный фильтр, экстракцию с фильтров выполняют ацетоном. Смыв с кожных покровов проводят этиловым спиртом.
Нижний предел измерения в анализируемом объеме пробы - 2 нг. Средняя полнота извлечения с фильтров - 96,71 %, с поверхности кожи - 86,76 %.
3.1. Средства измерений
|
Жидкостный хроматограф с ультрафиолетовым детектором с переменной длиной волны |
|
|
Барометр-анероид с диапазоном измерения атмосферного давления 5 - 790 мм рт.ст. |
ТУ 2504-1797-75 |
|
Весы аналитические, с пределом взвешивания 110 г и пределом допустимой погрешности 0,001 г |
ГОСТ Р 53228-08 |
|
Гигрометр психометрический с диапазоном измерений относительной влажности от 30 до 90 % |
ТУ 25-11-1645-84 |
|
Колбы мерные 2-100-2 и 2-1000-2 |
|
|
Меры массы |
ГОСТ OIML R 111-1-09 |
|
Пипетки градуированные 2-го класса точности вместимостью 1,0; 2,0; 5,0; 10,0 см3 |
|
|
Пробоотборное устройство 2-канальное, с диапазонами расхода 0,2 - 1,0 дм3/мин и 5,0 - 1,0 дм3/мин и пределом допустимой погрешности ±(5 - 7) % |
|
|
Термометр лабораторный шкальный ТЛ-2, цена деления 1 °С, пределы измерения 0 - 55 °С |
ТУ 25-2021.003-88 |
|
Цилиндры мерные 2-го класса точности вместимостью 500 и 1000 см3 |
|
Примечание. Допускается использование средств измерения с аналогичными или лучшими характеристиками.
3.2. Реактивы
|
Флуксапироксад, аналитический стандарт с содержанием основного компонента 99,7 % |
|
|
Ацетон, ос.ч. |
|
|
Ацетонитрил для хроматографии, х.ч. |
ТУ-6-09-14.2167-84 |
|
Вода для лабораторного анализа (бидистиллированная или деионизованная) |
ГОСТ Р 52501-05 |
|
Калий марганцово-кислый (перманганат калия), х.ч. |
|
|
Калий углекислый (карбонат калия, поташ), х.ч., прокаленный |
|
|
Натрий углекислый (карбонат натрия), х.ч. |
|
|
Спирт этиловый (этанол) ректификованный |
или ГОСТ 18300-87 |
|
Фосфор (V) оксид (фосфорный ангидрид, пентоксид фосфора), х.ч. |
ТУ 6-09-4173-85 |
Примечание. Допускается использование реактивов с более высокой квалификацией, не требующих дополнительной очистки растворителей.
3.3. Вспомогательные устройства, материалы
|
Аппарат для встряхивания |
ТУ 64-1-2851-78 |
|
Баня водяная |
|
|
Бумага индикаторная универсальная |
|
|
Бумажные фильтры высокой плотности, обеззоленные (фильтры) |
ТУ 2642-001-05015242-07 |
|
Бязь хлопчатобумажная белая |
|
|
Воронка Бюхнера |
|
|
Воронки конусные диаметром 40 - 45 мм |
|
|
Груша резиновая |
ТУ 9398-005-0576-9082-03 |
|
Колба Бунзена |
|
|
Колбы круглодонные для упаривания на шлифе вместимостью 150 см3 |
|
|
Линейки измерительные металлические |
|
|
Мембраны микропористые капроновые |
ТУ 9471-002-10471723-03 |
|
Набор для фильтрации растворителей через мембрану |
|
|
Насос водоструйный |
|
|
Пинцет медицинский нержавеющий |
|
|
Ректификационная колонна с числом теоретических тарелок не менее 30 |
|
|
Ротационный вакуумный испаритель с мембранным насосом, обеспечивающим вакуум до 10 мбар |
|
|
Стаканы химические с носиком вместимостью 150 см3 |
|
|
Стекловата |
|
|
Стеклянные емкости вместимостью 100 см3 с герметичной металлической крышкой |
|
|
Стеклянные палочки |
|
|
Установка для перегонки растворителей |
|
|
Фильтродержатель |
|
|
Холодильник обратный |
|
|
Хроматографическая колонка стальная длиной 250 мм, внутренним диаметром 4,6 мм, заполненная обращенно-фазным сорбентом с привитыми монофункциональными полярными группами С8, зернение 5 мкм |
|
|
Шприц для ввода образцов для жидкостного хроматографа вместимостью 50 - 100 мм3 |
|
Примечание. Допускается применение оборудования с аналогичными или лучшими техническими характеристиками.
4.1. При выполнении измерений необходимо соблюдать требования техники безопасности при работе с химическими реактивами по ГОСТ 12.1.007-76, требования по электробезопасности при работе с электроустановками по ГОСТ Р 12.1.019-09, а также требования, изложенные в технической документации на жидкостный хроматограф.
4.2. Помещение должно соответствовать требованиям пожаробезопасности по ГОСТ 12.1.004-91 и иметь средства пожаротушения по ГОСТ 12.4.009-83. Содержание вредных веществ в воздухе не должно превышать ПДК (ОБУВ), установленных ГН 2.2.5.1313-03 и 2.2.5.2308-07. Организация обучения работников безопасности труда - по ГОСТ 12.0.004-90.
К выполнению измерений допускают специалиста, прошедшего обучение, освоившего методику, владеющего техникой, имеющего опыт работы на жидкостном хроматографе и подтвердившего соответствие получаемых результатов нормативам контроля погрешности измерений по п. 13.
При выполнении измерений соблюдают следующие условия:
· процессы приготовления растворов и подготовки проб к анализу проводят при температуре воздуха (20 ± 5) °С и относительной влажности не более 80 %;
· выполнение измерений на жидкостном хроматографе проводят в условиях, рекомендованных технической документацией к прибору.
Выполнению измерений предшествуют следующие операции: очистка органических растворителей (при необходимости), подготовка подвижной фазы для ВЭЖХ, кондиционирование хроматографической колонки, приготовление растворов для градуировки и внесения, установление градуировочной характеристики, подготовка фильтров и салфеток для отбора проб, отбор проб.
7.1. Очистка растворителей
7.1.1. Очистка ацетона
Ацетон перегоняют над небольшим количеством перманганата калия и прокаленным карбонатом калия (на 1 дм3 ацетона 10 г перманганата калия и 2 г карбоната калия) или подвергают ректификационной перегонке на колонне с числом теоретических тарелок не менее 30. Перегнанный растворитель хранят в темном месте (в емкости из темного стекла) не более 14 дней.
7.1.2. Очистка ацетонитрила
Ацетонитрил кипятят с обратным холодильником над пентоксидом фосфора (на 1 дм3 ацетонитрила 20 г пентоксида фосфора) не менее 1 ч, после чего перегоняют, непосредственно перед употреблением ацетонитрил повторно перегоняют над прокаленным карбонатом калия (на 1 дм3 ацетонитрила 10 г карбоната калия).
7.2. Подготовка подвижной фазы для ВЭЖХ
В мерную колбу вместимостью 1000 см3 помещают 430 см3 бидистиллированной или деионизованной воды, 570 см3 ацетонитрила, перемешивают, фильтруют через мембранный фильтр и дегазируют. Подвижную фазу хранят в темном месте (в емкости из темного стекла) не более 14 дней.
7.3. Кондиционирование хроматографической колонки
Промывают колонку подвижной фазой (приготовленной по п. 7.2) при скорости подачи растворителя 1,0 см3/мин до установления стабильной базовой линии.
7.4. Приготовление градуировочных растворов и растворов внесения
7.4.1. Исходный раствор флуксапироксада для градуировки (концентрация 100 мкг/см3). В мерную колбу вместимостью 100 см3 помещают 0,0100 г флуксапироксада, растворяют в 50 - 60 см3 ацетонитрила, доводят ацетонитрилом до метки, тщательно перемешивают.
Раствор хранят в морозильной камере при температуре -18 °С в течение 3 месяцев.
Растворы № 1 - 5 готовят объемным методом путем последовательного разбавления исходного раствора для градуировки.
7.4.2. Раствор № 1 флуксапироксада для градуировки и внесения (концентрация 10 мкг/см3). В мерную колбу вместимостью 100 см3 помещают 10 см3 исходного раствора флуксапироксада с концентрацией 100 мкг/см3 (п. 7.4.1), разбавляют ацетонитрилом до метки.
Градуировочный раствор № 1 хранят в морозильной камере при температуре -18 °С в течение 3 месяцев.
Этот раствор используют для приготовления проб с внесением при оценке полноты извлечения действующего вещества методом «внесено-найдено» и контроля качества результатов измерений методом «добавок».
7.4.3. Рабочие растворы № 2 - 5 флуксапироксада для градуировки (концентрация 0,1 - 1,0 мкг/см3). В 4 мерные колбы вместимостью 100 см3 помещают по 1,0; 2,0; 5,0 и 10,0 см3 градуировочного раствора № 1 с концентрацией 10 мкг/см3 (п. 7.4.2), доводят до метки подвижной фазой, приготовленной по п. 7.2, тщательно перемешивают, получают рабочие растворы № 2 - 5 с концентрацией каждого компонента 0,1; 0,2; 0,5 и 1,0 мкг/см3 соответственно.
Рабочие растворы сразу после приготовления помещают в холодильник, где хранятся при температуре 4 - 6 °С не более 30 дней.
7.5. У становление градуировочной характеристики
Градуировочную характеристику, выражающую зависимость площади пика от концентрации флуксапироксада в растворе, устанавливают методом абсолютной калибровки по 4 растворам для градуировки № 2 - 5.
В инжектор хроматографа вводят по 20 мм3 каждого градуировочного раствора и анализируют в условиях хроматографирования по п. 7.5.1. Осуществляют не менее 5 параллельных измерений. Устанавливают площади пиков действующего вещества, на основании которых строят градуировочную зависимость.
7.5.1. Условия хроматографирования
Измерения выполняют при следующих режимных параметрах.
Жидкостный хроматограф с ультрафиолетовым детектором с переменной длиной волны.
Рабочая длина волны: 233 нм или 254* нм.
___________
* Хроматографирование пробы при 2 длинах волн увеличивает надежность идентификации вещества.
Хроматографическая колонка стальная длиной 250 мм, внутренним диаметром 4,6 мм, заполненная обращенно-фазным сорбентом с привитыми монофункциональными полярными группами С8, зернение 5 мкм.
Температура колонки: комнатная.
Подвижная фаза: ацетонитрил-вода (60:40, по объему).
Скорость потока элюента: 1,0 см3/мин.
Объем вводимой пробы: 20 мм3.
Линейный диапазон детектирования: 2 - 20 нг.
7.6. Подготовка фильтров для отбора проб воздуха
Диаметр бумажного фильтра должен соответствовать внутреннему диаметру фильтродержателя.
Фильтры последовательно по 3 раза промывают на воронке Бюхнера этанолом, затем ацетонитрилом порциями 25 - 30 см3, сушат с помощью разряжения, создаваемого водоструйным насосом, затем на воздухе при комнатной температуре. До использования фильтры хранят в герметично закрытой стеклянной таре.
7.7. Подготовка салфеток для проведения смыва
7.7.1. Приготовление раствора натрия углекислого с массовой долей 5 %
Навеску (25 ± 0,1) г натрия углекислого помещают в мерную колбу вместимостью 500 см3, растворяют в деионизированной воде, доводят водой до метки, перемешивают.
7.7.2. Подготовка салфеток для проведения смыва
Вырезают салфетки (лоскуты) из белой бязи размером 10×10 см, затем их последовательно обрабатывают 5 %-м раствором углекислого натрия (при кипячении), водой до нейтральной реакции промывных вод, 2-кратно промывают этиловым спиртом, сушат на воздухе при комнатной температуре. До использования салфетки хранят в герметично закрытой стеклянной таре.
Отбор проб осуществляют в соответствии с требованиями ГОСТ 12.1.005-88 «ССБТ. Общие санитарно-гигиенические требования к воздуху рабочей зоны» и Р 2.2.2006-05 (прилож. 9, обязательное) «Общие методические требования к организации и проведению контроля содержания вредных веществ в воздухе рабочей зоны», п. 2 «Контроль соответствия максимальным ПДК».
Воздух с объемным расходом 2 - 5 дм3/мин аспирируют через бумажный фильтр, помещенный в фильтродержатель.
Для измерения концентрации веществ на уровне предела обнаружения (0,05 мг/м3) необходимо отобрать 10 дм3 воздуха.
Срок хранения отобранных проб, помещенных в полиэтиленовые пакеты, в холодильнике при температуре 4 - 5 °С 20 дней.
Смывы проводят в конце работы или после выполнения отдельных операций с открытых и закрытых спецодеждой или другими СИЗ участков тела (лоб, лицо, шея, грудь, предплечье, голень, кисти рук, включая межпальцевые промежутки).
До работы выбирают участок кожи, обрабатывают его для удаления загрязнений, фиксируют площадь (не менее 200 см2). При необходимости отбирают фоновые смывы.
Смыв выполняют способом обмыва фиксированного участка кожи этиловым спиртом, помещая 20 см3 в стеклянную емкостью с металлической крышкой. Тканевой салфеткой, смоченной растворителем, с помощью пинцета (индивидуально) обмывают этот участок сверху вниз. Операцию повторяют дважды.
Срок хранения отобранных проб смывов, помещенных в герметично закрытые емкости, в морозильной камере при температуре -18 °С 60 дней.
10.1. Воздух рабочей зоны
Экспонированный фильтр переносят в химический стакан вместимостью 150 см3, заливают 10 см3 ацетона, помещают на встряхиватель на 10 мин. Растворитель сливают, фильтры еще дважды обрабатывают новыми порциями ацетона объемом 10 см3, выдерживая на встряхивателе по 10 мин.
Объединенный экстракт переносят (через воронку) в круглодонную колбу, упаривают на ротационном вакуумном испарителе при температуре бани не выше 35 °С почти досуха, оставшийся растворитель отдувают потоком теплого воздуха. Остаток растворяют в 5 см3 подвижной фазы (подготовленной по п. 7.2), тщательно перемешивают и анализируют при условиях хроматографирования, указанных в п. 7.5.1.
10.2. Смывы с кожных покровов
Пробу смыва сливают (через воронку) в колбу для упаривания, с помощью пинцета извлекают салфетку, помещают в конусную химическую воронку, установленную в муфту колбы для упаривания, тщательно отжимают и промывают этиловым спиртом дважды порциями по 10 см3, предварительно ополаскивая растворителем емкость, в которой находилась проба.
Объединенный раствор упаривают в круглодонной колбе на ротационном вакуумном испарителе при температуре бани не выше 35 °С почти досуха, оставшийся растворитель отдувают потоком теплого воздуха. Остаток растворяют в 2 см3 подвижной фазы (подготовленной по п. 7.2) и анализируют при условиях хроматографирования, указанных в п. 7.5.1.
Пробу вводят в испаритель хроматографа не менее двух раз. Устанавливают площадь пика действующего вещества, с помощью градуировочного графика определяют концентрацию флуксапироксада в хроматографируемом растворе.
Образцы, дающие пики большие, чем градуировочный раствор с концентрацией 1,0 мкг/см3, разбавляют подвижной фазой (не более, чем в 50 раз).
11.1. Воздух рабочей зоны
Концентрацию вещества в пробе воздуха (X), мг/м3, рассчитывают по формуле:
где
С - концентрация вещества в хроматографируемом растворе, найденная по градуировочному графику в соответствии с величиной площади хроматографического пика, мкг/см3;
W - объем экстракта, подготовленного для хроматографирования, см3;
Vt - объем пробы воздуха, отобранный для анализа, приведенный к стандартным условиям (давление 760 мм рт.ст., температура 20 °С), дм3:
где
Т - температура воздуха при отборе проб (на входе в аспиратор), °С;
Р - атмосферное давление при отборе пробы, мм рт.ст.;
и - расход воздуха при отборе пробы, дм3/мин;
t - длительность отбора пробы, мин;
R - коэффициент, равный 0,386 для воздуха рабочей зоны.
11.2. Смывы с кожных покровов
Концентрацию вещества в пробе смыва X, мкг/смыв, рассчитывают по формуле:
Х = С ∙ W, где
С - концентрация вещества в хроматографируемом растворе, найденная по градуировочному графику в соответствии с величиной площади хроматографического пика, мкг/см3;
W - объем экстракта, подготовленного для хроматографирования, см3.
Примечание. Идентификация и расчет концентрации вещества в пробах могут быть проведены с помощью компьютерной программы обработки хроматографических данных, включенной в аналитическую систему.
Результат количественного анализа представляют в виде:
· результат анализа
в мг/м3 или мкг/смыв (с указанием площади смыва в см2),
характеристика погрешности δ, % (табл.), Р = 0,95 или
мг/м3 (мкг/смыв, площадь смыва, см2),
Р = 0,95, где
- среднее арифметическое результатов определений, признанных
приемлемыми, мг/м3 (мкг/смыв);
Δ - граница абсолютной погрешности, мг/м3 (мкг/смыв):
где
δ - граница относительной погрешности методики (показатель точности по диапазону концентраций, табл.), %.
Результат измерений должен иметь тот же десятичный разряд, что и погрешность.
Если содержание веществ менее нижней границы диапазона определяемых концентраций, результат анализа представляют в виде:
«содержание флуксапироксада в пробе воздуха рабочей зоны - менее 0,05 мг/м3; в пробе смыва - менее 0,2 мкг/смыв»*.
_____________
* - 0,05 мг/м3; 0,2 мкг/смыв - пределы обнаружения при отборе 10 дм3 воздуха рабочей зоны; в пробе смыва (фиксированная площадь смыва, 200 см2) соответственно.
Оперативный контроль погрешности и воспроизводимости измерений осуществляется в соответствии с ГОСТ Р ИСО 5725-(1 - 6)-02 «Точность (правильность и прецизионность) методов и результатов измерений».
Таблица
Значения характеристики погрешности, нормативов оперативного контроля точности, повторяемости, воспроизводимости
|
Анализируемый объект |
Диапазон определяемых концентраций, мг/м3, мкг/смыв |
Показатель точности (границы относительной погрешности, Р = 0,95), ±δ, % |
Показатель повторяемости (среднеквадратичное отклонение повторяемости), σr, мг/м3, мкг/смыв |
Предел повторяемости (значение допустимого расхождения между двумя результатами параллельных определений), r, мг/м3, мкг/смыв |
Предел воспроизводимости (значение допустимого расхождения между двумя результатами измерений, полученных в разных лабораториях), R, мг/м3, мкг/смыв, (Р = 0,95) |
|
Воздух рабочей зоны |
0,05 - 0,5 мг/м3 |
13 |
|
|
|
|
Смывы с кожных покровов |
0,2 - 2,0 мкг/смыв |
18 |
|
|
|
- среднее значение массовой концентрации анализируемого компонента в
пробе (мг/м3, мкг/смыв).
13.1. Контроль стабильности градуировочной характеристики.
Контроль стабильности градуировочной характеристики проводят в начале и по окончании каждой серии анализов.
При контроле стабильности градуировочной характеристики проводят измерения не менее трех образцов градуировочных растворов, содержание флуксапироксада в которых должно охватывать весь диапазон концентраций от 0,1 до 1,0 мкг/см3.
Градуировочная характеристика считается стабильной, если для каждого из используемого для контроля градуировочного раствора сохраняется соотношение:
где
Х - концентрация флуксапироксада в пробе при контрольном измерении, мкг/см3;
С - известная концентрация градуировочного раствора флуксапироксада, взятая для контроля стабильности градуировочной характеристики, мкг/см3;
В - норматив контроля погрешности градуировочной характеристики, % (В = 10 % при Р = 0,95).
Если величина расхождения (А) превышает 10 %, делают вывод о невозможности применения градуировочной характеристики для дальнейших измерений. В этом случае выясняют и устраняют причины нестабильности градуировочной характеристики и повторяют контроль ее стабильности с использованием других градуировочных растворов флуксапироксада, предусмотренных МВИ. При повторном обнаружении нестабильности градуировочной характеристики устанавливают ее заново согласно п. 7.5.
13.2. Плановый внутрилабораторный оперативный контроль процедуры выполнения анализа проводится методом «добавок».
Образцами для контроля являются реальные пробы воздушной среды и смывов с кожных покровов. Объем отобранных для контроля процедуры выполнения анализа проб воздуха и смывов с кожи должен соответствовать удвоенному объему, необходимому для проведения анализа по методике, фиксированная площадь смыва должна быть увеличена в 2 раза. После отбора проб экстракт с фильтра, а также пробу смыва делят на две равные части, первую из которых анализируют в точном соответствии с прописью методики и получают результат анализа исходной рабочей пробы - X. Во вторую часть делают добавку анализируемого компонента (величина добавки Сд должна соответствовать 50 - 150 % от содержания компонента в пробе, общая концентрация не должна превышать верхнюю границу диапазона измерения) и анализируют в точном соответствии с прописью методики, получая результат анализа рабочей пробы с добавкой - X'. Результаты анализа исходной рабочей пробы (X) и рабочей пробы с добавкой (X') получают в условиях повторяемости (один аналитик, использование одного набора мерной посуды, одной партии реактивов и т.д.).
Величина добавки Сд должна удовлетворять условию:
где
- характеристика погрешности (абсолютная
погрешность) результатов анализа, соответствующая содержанию компонента в
испытуемом образце (расчетному значению содержания компонента в образце с
добавкой соответственно), мг/м3, мкг/смыв, при этом:
Δл = ±0,84Δ, где
Δ - граница абсолютной погрешности, мг/м3, мкг/смыв:
где
δ - граница относительной погрешности методики (показатель точности в соответствии с диапазоном концентраций, табл.), %.
Результат контроля процедуры Кк рассчитывают по формуле:
где
,
, Сд - среднее значение массовой концентрации анализируемого компонента в
образце с добавкой, испытуемом образце, концентрация добавки соответственно,
мг/м3, мкг/смыв.
Норматив контроля К рассчитывают по формуле:
![]()
Проводят сопоставление результата контроля процедуры (Кк) с нормативом контроля (К).
Если результат контроля процедуры удовлетворяет условию
|Кк| ≤ К, (1)
процедуру анализа признают удовлетворительной.
При невыполнении условия (1) процедуру контроля повторяют. При повторном невыполнении условия (1) выясняют причины, приводящие к неудовлетворительным результатам, и принимают меры по их устранению.
13.3. Проверка приемлемости результатов измерений, полученных в условиях воспроизводимости.
Расхождение между результатами измерений, выполненных в условиях воспроизводимости (разное время, разные операторы, разные лаборатории), не должно превышать предел воспроизводимости (R):
|X1 - X2| ≤ R, где (2)
R - предел воспроизводимости (табл.), мг/м3, мкг/смыв.
(воздух рабочей зоны);
(смывы с кожи).
где X1, Х2 - результаты измерений в условиях воспроизводимости (разное время,
разные операторы, разные лаборатории) (мг/м3, мкг/смыв).
Если выполняется условие (2), то воспроизводимость измерений считается удовлетворительной.
При превышении норматива контроля воспроизводимости эксперимент повторяют, при повторном превышении указанного норматива выясняют причины и по возможности их устраняют.