Государственное санитарно-эпидемиологическое
нормирование
Российской Федерации
4.1. МЕТОДЫ КОНТРОЛЯ. ХИМИЧЕСКИЕ ФАКТОРЫ
Определение остаточных
количеств
тау-флувалината в луке-перо, луке-репке,
ботве и клубнях картофеля методом
газожидкостной хроматографии
Методические указания
МУК 4.1.3131-13
Москва 2014
1. Разработаны ГНУ «Всероссийский НИИ защиты растений Россельхозакадемии» (И.А. Цибульская, Л.М. Карпова, О.В. Долженко); ГБОУ ДПО «Российская медицинская академия последипломного образования» Минздрава России (М.С. Орлов).
2. Рекомендованы к утверждению Комиссией по государственному санитарно-эпидемиологическому нормированию Федеральной службы по надзору в сфере защиты прав потребителей и благополучия человека (протокол от 29 октября 2013 г. № 3).
3 Утверждены врио руководителя Федеральной службы по надзору в сфере защиты прав потребителей и благополучия человека. Главного государственного санитарного врача Российской Федерации А.Ю. Поповой 12 ноября 2013 г.
4. Введены впервые
СОДЕРЖАНИЕ
|
УТВЕРЖДАЮ Врио
руководителя Федеральной службы ________________________ А.Ю. Попова 12 ноября 2013 г. |
4.1. МЕТОДЫ КОНТРОЛЯ. ХИМИЧЕСКИЕ ФАКТОРЫ
Определение
остаточных количеств
тау-флувалината в луке-перо, луке-репке,
ботве и клубнях картофеля методом
газожидкостной хроматографии
Методические указания
МУК 4.1.3131-13
Свидетельство о метрологической аттестации № 01.5.04.131/01.00043/2013.
Настоящие методические указания устанавливают порядок применения метода газожидкостной хроматографии для определения массовой концентрации тау-флувалината в луке-перо, луке-репке, ботве и клубнях картофеля в диапазоне концентраций 0,05 - 0,5 мг/кг.
Методические указания носят рекомендательный характер.
Название действующего вещества по ИСО: тау-флувалинат.
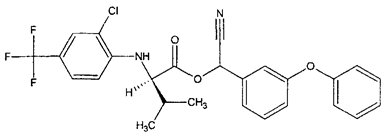
Название действующего вещества по ИЮПАК: (118)-(3-феноксифенил)цианометиловый эфир (2R-3-метил-2-{[4-(трифторметил)-2-хлорфенил]амино}бутановой кислоты.
Структурная формула:

Эмпирическая формула: C26H22ClF3N2O3.
Молекулярная масса: 502,9.
Химически чистый препарат - вязкая жидкость с температурой кипения выше 450 °С.
Давление паров при 20 °С - 9×10-8 mРа.
Коэффициент распределения н-октанол/вода: Kow logР = 4,26 (25 °С).
Растворимость: в воде практически не растворим (1,03ppb), хорошо растворим в органических растворителях.
Вещество стабильно на свету, стабильно при хранении в течение 2 лет при температуре 20 - 28 °С.
Препарат малотоксичен для пчел и птиц, высокотоксичен для рыб. Слабо раздражает глаза и кожу. ЛД50 (крысы) - 261 мг/кг.
Гигиенические нормативы: МДУ тау-флувалината в картофеле 0,1 мг/кг, в луке не установлен.
Область применения: инсектоакарицид широкого спектра действия из группы пиретроидов, эффективно подавляет развитие вредителей из отрядов жесткокрылых, чешуекрылых, двукрылых и плодовых клещей; применяется на хлопчатнике, картофеле, сое, томатах и других культурах.
При соблюдении всех регламентированных условий проведения анализа в точном соответствии с данной методикой погрешность (и ее составляющие) результатов измерений при доверительной вероятности Р = 0,95 не превышает значений, приведенных в табл. 1, для соответствующих диапазонов концентраций.
Метрологические параметры
|
Диапазон измерений, массовая концентрация, мг/кг |
Показатель повторяемости (относительное среднеквадратическое отклонение повторяемости), σr, % |
Показатель промежуточной прецизионности (относительное среднеквадратическое отклонение в условиях вариации факторов «время», «оператор» в одной лаборатории), σRл, % |
Показатель воспроизводимости (относительное среднеквадратическое отклонение воспроизводимости) σR, % |
Показатель точности* (границы относительной погрешности при вероятности Р = 0,95), ±δ, % |
|
Лук-перо от 0,05 до 0,5 вкл. |
9 |
11 |
12 |
24 |
|
Лук-репка от 0,05 до 0,5 вкл. |
9 |
11 |
12 |
24 |
|
Ботва картофеля от 0,05 до 0,5 вкл. |
9 |
11 |
12 |
24 |
|
Клубни картофеля от 0,05 до 0,5 вкл. |
9 |
11 |
12 |
24 |
|
*Соответствует расширенной неопределенности Uотн. при коэффициенте охвата k = 2 |
||||
Полнота извлечения вещества, стандартное отклонение,
доверительный
интервал среднего результата для полного диапазона концентраций
(n = 20, Р = 0,95)
|
Анализируемый объект |
Предел обнаружения, мг/кг |
Диапазон определяемых концентраций, мг/кг |
Полнота извлечения, % |
Стандартное отклонение, S, % |
Доверительный интервал среднего результата, ±, % |
|
Лук-перо |
0,05 |
0,05 - 0,5 |
78,4 |
5,2 |
2,3 |
|
Лук-репка |
0,05 |
0,05 - 0,5 |
77,4 |
6,1 |
2,7 |
|
Ботва |
0,05 |
0,05 - 0,5 |
80,2 |
4,9 |
2,1 |
|
Клубни картофеля |
0,05 |
0,05 - 0,5 |
85,0 |
4,5 |
2,0 |
Методика основана на извлечении тау-флувалината из лука и картофеля водно-ацетоновым раствором с последующей очисткой перераспределением между двумя несмешивающимися жидкостями и на колонке с флорисилом. Количественное определение проводят на газовом хроматографе с электронозахватным детектором методом абсолютной калибровки, идентификация - по времени удерживания.
Избирательность определения достигается сочетанием условий подготовки проб и хроматографирования.
3.1. Средства измерений
|
Газовый хроматограф с электронозахватным детектором |
|
|
Весы аналитические с пределом взвешивания до 210 г и пределом допустимой погрешности 0,2 мг |
|
|
Весы технические с пределом взвешивания до 400 г и допустимой погрешностью 0,1 г |
|
|
Цилиндры мерные на 100 см3 |
ГОСТ 1774-74Е |
|
Колбы мерные на 25, 50, 100 см3 |
|
|
Пипетки на 1, 2, 5, 10 см3 |
Примечание. Допускается использование средств измерения с аналогичными или лучшими характеристиками.
3.2. Реактивы
|
Аналитический стандарт тау-флувалината с содержанием основного компонент 91,6 % |
|
|
Ацетон, чда |
|
|
Азот газообразный в баллонах с редуктором |
ТУ-6-16-40-14-88 |
|
Бумажные фильтры быстрой фильтрации |
ТУ 6.091678-86 |
|
Вода для лабораторного анализа (бидистиллированная, деионизованная) |
|
|
Гексан, хч |
ТУ 2631-003-05807999-98 |
|
Натрий серно-кислый безводный, ч, свежепрокаленный |
|
|
Флорисил 150 - 250 мкм, с содержанием воды ≤ 2,5 % - сорбент для колоночной очистки |
|
|
Этиловый эфир уксусной кислоты, чда |
|
|
Элюент для колоночной хроматографии № 1: гексан-этилацетат (10:1 по объему) |
|
Примечание. Допускается использование реактивов с более высокой квалификацией, не требующих дополнительной очистки растворителей.
3.3. Вспомогательные устройства, материалы
|
Аналитическая стеклянная насадочная колонка, длиной 2 м; внутренним диаметром 3 мм, заполненная носителем с 5 % неподвижной фазы средней полярности |
|
|
Аппарат для встряхивания |
ТУ 64-1-2851-78 |
|
Ванна ультразвуковая |
ТУ 3.836.008 |
|
Ротационный вакуумный испаритель |
ТУ 25-11917-74 |
|
Микрошприц объемом 10 мм3 |
ТУ 2-833-106 |
|
Насос водоструйный |
МРТУ 42861-64 |
|
Колбы плоскодонные на шлифах объемом 500 см3 |
|
|
Колбы круглодонные на шлифах емкостью 50 см3 |
|
|
Воронки лабораторные конусные |
|
|
Воронки делительные емкостью 500 см3 |
ГОСТ 8613-75 |
|
Стаканы химические |
|
|
Колонка стеклянная хроматографическая длиной 25 см, диаметром 10 мм |
ТУ 64-1-2851-78 |
Примечание. Допускается применение оборудования с аналогичными или лучшими техническими характеристиками.
4.1. При проведении работы необходимо соблюдать требования безопасности, установленные для работ с токсичными, едкими, легковоспламеняющимися веществами (ГОСТ 12.1.007-76).
При выполнении измерений с использованием газового хроматографа и работе с электроустановками соблюдать правила электробезопасности в соответствии с ГОСТ 12.1.019-09 и инструкциями по эксплуатации приборов.
4.2. Помещение лаборатории должно соответствовать требованиям пожарной безопасности по ГОСТ 12.1.004-91 и иметь средства пожаротушения по ГОСТ 12.4.009-83. Содержание вредных веществ в воздухе не должно превышать ПДК (ОБУВ), установленных ГН 2.2.5.1313-03 и 2.2.5.2308-07. Организация обучения работников безопасности труда - по ГОСТ 12.0.004-90.
4.3. При работе с газами, находящимися в баллонах под давлением до 15 мПа (150 кгс/см2), необходимо соблюдать «Правила устройства и безопасной эксплуатации стационарных компрессорных установок, воздуховодов и газопроводов под давлением» ПБ-03-576-03. Запрещается открывать вентиль баллона, не установив на нем понижающий редуктор.
Измерения в соответствии с настоящей методикой может выполнять специалист-химик, имеющий опыт работы методом газожидкостной хроматографии, ознакомленный с руководством по эксплуатации хроматографа, освоивший данную методику и подтвердивший экспериментально соответствие получаемых результатов нормативам контроля погрешности измерений по п. 11.
Отбор проб производится в соответствии с «Унифицированными правилами отбора проб сельскохозяйственной продукции, продуктов питания и объектов окружающей среды для определения микроколичеств пестицидов» (№ 2051-79 от 21.08.79), а также отбор проб картофеля производится в соответствии с ГОСТ 26832-86 «Картофель свежий для переработки на продукты питания»; отбор проб лука - по ГОСТ 1723-86 «Лук репчатый свежий, заготовляемый и поставляемый». Пробы картофеля и лука для определения остатков в урожае хранят в полиэтиленовой таре в морозильной камере при -18 °С.
7.1. Подготовка и очистка реактивов и растворителей
Перед началом работы рекомендуется проверить чистоту применяемых органических растворителей. Для этого 100 мл растворителя упаривают в ротационном вакуумном испарителе при температуре 40 ° С до объема 1,0 см3 и хроматографируют. При обнаружении мешающих определению примесей очистку растворителей производят в соответствии с общепринятыми методиками.
7.2. Кондиционирование колонки
Перед началом анализа аналитическую колонку, не присоединяя к детектору, кондиционируют в токе инертного газа (азот) при температуре 250 °С до стабилизации нулевой линии.
7.3. Приготовление стандартного и градуировочных растворов
7.3.1. Основной раствор с концентрацией 1,0 мг/см3: точную навеску тау-флувалината (50 ± 0,5) мг помещают в мерную колбу вместимостью 50 см3, растворяют в ацетоне и доводят объем до метки ацетоном.
Градуировочные растворы с концентрациями тау-флувалината 1,0; 2,0; 5,0 и 10,0 мкг/см3 готовят методом последовательного разбавления по объему.
7.3.2. Раствор № 1 с концентрацией 10,0 мкг/см3: в мерную колбу вместимостью 100 см3 вносят 1 см3 основного раствора и доводят до метки ацетоном.
7.3.3. Раствор № 2 с концентрацией 5 мкг/см3: в мерную колбу вместимостью 10 см3 помещают 5,0 см3 раствора № 1 и доводят объем до метки ацетоном.
7.3.4. Раствор № 3 с концентрацией 2 мкг/см3: в мерную колбу вместимостью 10 см3 помещают 2 см3 раствора № 1 и доводят объем до метки ацетоном.
7.3.5. Раствор № 4 с концентрацией 1 мкг/см3: в мерную колбу вместимостью 10 см3 помещают 1,0 см3 раствора № 1 и доводят объем до метки ацетоном.
Основной раствор можно хранить в холодильнике при температуре 0 - 4 °С в течение 4 месяцев, градуировочные растворы - в течение 12 дней.
Для внесения в образец при определении полноты извлечения используют градуировочные растворы соответствующей концентрации.
7.4. Построение градуировочного графика
Для построения градуировочного графика (площадь пика - концентрация тау-флувалината в растворе) в хроматограф вводят по 2 мм3 градуировочных растворов (не менее 3 параллельных измерений для каждой концентрации, не менее 4 точек по диапазону измеряемых концентраций), измеряют высоты или площади пиков и строят график зависимости среднего значения высоты (площади) пика от концентрации тау-флувалината в градуировочном растворе (мкг/см3).
Методом наименьших квадратов рассчитывают градуировочный коэффициент (K) в уравнении линейной регрессии:
|
С = KS, где |
S - площадь пика градуировочного раствора.
Градуировку признают удовлетворительной, если значение коэффициента линейной корреляции оказывается не ниже 0,99.
Градуировочную характеристику необходимо проверять при замене реактивов, хроматографической колонки или элементов хроматографической системы, а также при отрицательном результате контроля градуировочного коэффициента.
Градуировочную зависимость признают стабильной при выполнении следующего условия:
|
|
С - аттестованное значение массовой концентрации тау-флувалината в градуировочном растворе;
Сk - результат контрольного измерения массовой концентрации тау-флувалината в градуировочном растворе;
λконтр., - норматив контроля градуировочного коэффициента, % (λконтр. = 10 % при Р = 0,95).
7.5. Подготовка колонки с флорисилом для очистки экстракта
В нижнюю часть стеклянной колонки длиной 25 см и внутренним диаметром 1 см помещают тампон из стекловаты и вносят суспензию 4,5 г флорисила в 20 см3 гексана, дают растворителю стечь до верхнего края сорбента. Колонку промывают 10 см3 гексана со скоростью 1 - 2 капли в секунду, после чего она готова к работе.
7.6.
Проверка хроматографического поведения тау-флувалината
на колонке с флорисилом
В круглодонную колбу емкостью 10 см3 отбирают 0,5 см3 стандартного раствора тау-флувалината с концентрацией 1 мкг/см3. Отдувают растворитель током теплого воздуха, остаток растворяют в 2 см3 гексана и вносят в колонку. Колбу обмывают еще 2 см3 гексана и также вносят в колонку. Затем промывают колонку 20 см3 гексана и 10 см3 смеси гексан-этилацетат (10:1 по объему), элюаты отбрасывают. Тау-флувалинат элюируют последовательно 3 порциями по 5 см3 той же смеси гексан-этилацетат (10:1). Отбирают каждую фракцию отдельно, упаривают досуха, остаток растворяют в 2 см3 ацетона и анализируют на содержание тау-флувалинат по п. 8.3. Фракции, содержащие тау-флувалинат, объединяют, упаривают досуха, остаток растворяют в 1 см3 ацетона и анализируют по п. 8.3. Рассчитывают содержание тау-флувалината в элюате, определяя полноту вымывания вещества из колонки и необходимый для этого объем элюента.
Примечание. Профиль вымывания тау-флувалината может меняться при использовании новой партии сорбента.
7.7. Подготовка приборов и средств измерения
Установка и подготовка всех приборов и средств измерения проводится в соответствии с требованиями технической документации.
8.1. Экстракция тау-флувалината из лука и картофеля
Навеску измельченных проб лука-перо, лука-репки, ботвы или клубней картофеля массой 20 г помещают в коническую колбу на 250 см3, заливают 50 см3 смеси ацетон-вода (в соотношении 70:30) и экстрагируют тау-флувалинат на аппарате для встряхивания в течение 30 мин. Экстракт фильтруют через бумажный фильтр быстрой фильтрации. Экстракцию повторяют дважды 30 см3 той же смеси. Объединенный фильтрат упаривают до водного остатка на роторном испарителе при температуре не выше 35 °С. Водный остаток помещают в делительную воронку, добавляют 200 см3 дистиллированной воды, 15 - 20 см3 насыщенного раствора хлорида натрия и переэкстрагируют тау-флувалинат гексаном трижды порциями по 30 см3. Водный слой возвращают в воронку, а гексановые экстракты фильтруют в колбу-концентратор через слой безводного серно-кислого натрия. Полученный раствор выпаривают на ротационном испарителе при температуре бани не выше 35 °С до полного удаления гексана. Далее проводят очистку экстрактов по п. 8.2.
8.2. Очистка экстрактов на колонке с флорисилом
Сухой остаток в колбе, полученный при упаривании очищенных по п. 8.1 экстрактов лука или картофеля, растворяют в 4 см3 гексана и вносят двумя порциями по 2 см3 гексана в кондиционированную хроматографическую колонку (п. 7.5). Промывают колонку последовательно 20 см3 гексана и 10 см3 смеси гексан-этилацетат (10:1 по объему), элюат отбрасывают. Тау-флувалинат элюируют 15 см3 смеси гексан-этилацетат (10:1 по объему) в колбу-концентратор емкостью 100 см3. Раствор выпаривают досуха на ротационном испарителе при температуре не выше 35 °С. Сухой остаток растворяют в 1 см3 ацетона и 1 мм3 раствора вводят в хроматограф.
8.3. Условия хроматографирования
Газовый хроматограф с электронозахватным детектором.
Колонка стеклянная 2 м×3 мм, заполненная насадкой с зернением 0,16 - 0,20 мм с 5 % неподвижной фазы средней полярности. Температура колонки 270 °С, испарителя 300 °С, детектора 320 °С. Скорость газа-носителя (азот) через колонку 51 см3/мин. Объем экстракта, подготовленного для хроматографирования - 1 см3, дозируемый объем - 2 мм3. Линейный диапазон детектирования 1 - 10 нг.
8.4. Обработка результатов анализа
Количественное определение проводят методом абсолютной калибровки, содержание тау-флувалината в пробе (X, мг/кг) вычисляют по формуле:
|
|
Sx - площадь пика тау-флувалината на хроматограмме испытуемого образца, мм2 (AU);
K - градуировочный коэффициент, найденный на стадии построения соответствующей градуировочной зависимости;
V - объём пробы, подготовленной для хроматографического анализа, см3;
Р - навеска анализируемого образца, г;
f - полнота извлечения тау-флувалината, приведенная в табл. 2, %.
Содержание остаточных количеств тау-флувалината в образце вычисляют как среднее из двух параллельных определений.
Образцы, дающие пики большие, чем стандартный раствор тау-флувалината с концентрацией 1 мкг/см3, разбавляют ацетоном.
За результат анализа принимают среднее арифметическое результатов двух параллельных определений, расхождение между которыми не превышает предел повторяемости:
X1 и Х2 - результаты параллельных определений, мг/кг;
r - значение предела повторяемости (r = 2,8σr).
При невыполнении условия (1) выясняют причины превышения предела повторяемости, устраняют их и вновь выполняют анализ.
Результат анализа представляют в виде:
(
) мг/кг при вероятности Р =
0,95, где
- среднее арифметическое результатов
определений, признанных приемлемыми, мг/кг;
Δ - граница абсолютной погрешности, мг/кг:
|
|
δ - граница относительной погрешности методики (показатель точности в соответствии с диапазоном концентраций), %.
В случае, если содержание компонента менее нижней границы диапазона определяемых концентраций, результат анализа представляют в виде:
«содержание вещества в пробе менее нижней границы определения» (например: менее 0,05 мг/кг*, где * - 0,05 мг/кг - предел обнаружения тау-флувалината в клубнях картофеля).
Оперативный контроль погрешности и воспроизводимости измерений осуществляется в соответствии с ГОСТ Р ИСО 5725-1-6-02 «Точность (правильность и прецизионность) методов и результатов измерений».
11.1. Стабильность результатов измерений контролируют перед проведением измерений, анализируя один из градуировочных растворов.
11.2. Плановый внутрилабораторный оперативный контроль процедуры выполнения анализа проводится с применением метода добавок.
Величина добавки С∂ должна удовлетворять условию:
|
С∂ = Δл, Х + Δл, Хʹ, где |
±Δл, Х, (Δл, Хʹ) - характеристика погрешности (абсолютная погрешность) результатов анализа, соответствующая содержанию компонента в испытуемом образце (расчетному значению содержания компонента в образце с добавкой соответственно), мг/кг;
при этом:
|
Δл = ±0,84Δ, где |
Δ - граница абсолютной погрешности, мг/кг:
|
|
δ - граница относительной погрешности методики (показатель точности в соответствии с диапазоном концентраций), %.
Результат контроля процедуры Kk рассчитывают по формуле:
|
Kk = Хʹ - Х - С∂, где |
Хʹ X, С∂ - среднее арифметическое результатов параллельных определений (признанных приемлемыми по п. 4) содержания компонента в образце с добавкой, испытуемом образце, концентрация добавки соответственно, мг/кг.
Норматив контроля K рассчитывают по формуле:
|
|
Проводят сопоставление результата контроля процедуры (Kk) с нормативом контроля (K).
Если результат контроля процедуры удовлетворяет условию
|
(2) |
процедуру анализа признают удовлетворительной.
При невыполнении условия (2) процедуру контроля повторяют. При повторном невыполнении условия (2) выясняют причины, приводящие к неудовлетворительным результатам, и принимают меры к их устранению.
11.3. Проверка приемлемости результатов измерений, полученных в условиях воспроизводимости.
Расхождение между результатами измерений, выполненных в двух разных лабораториях, не должно превышать предел воспроизводимости (R)
|
|
(3) |
X1, Х2 - результаты измерений в двух разных лабораториях, мг/кг;
R - предел воспроизводимости (в соответствии с диапазоном концентраций), %.