Государственное санитарно-эпидемиологическое
нормирование
Российской Федерации
4.1. МЕТОДЫ КОНТРОЛЯ. ХИМИЧЕСКИЕ ФАКТОРЫ
Измерение концентраций
пропинеба в воздухе
рабочей зоны и смывах с кожных покровов
операторов методом газохроматографического
парофазного анализа
Методические указания
МУК 4.1.3194-14
Москва 2015
1. Разработаны ФБУН «Федеральный научный центр гигиены им. Ф.Ф. Эрисмана» Роспотребнадзора (Т.В. Юдина, М.В. Ларькина).
2. Рекомендованы к утверждению Комиссией по государственному санитарно-эпидемиологическому нормированию Федеральной службы по надзору в сфере защиты прав потребителей и благополучия человека (протокол от 26 июня 2014 г. № 1).
3. Утверждены руководителем Федеральной службы по надзору в сфере защиты прав потребителей и благополучия человека, Главным государственным санитарным врачом Российской Федерации А.Ю. Поповой 29 июля 2014 г.
4. Введены впервые.
СОДЕРЖАНИЕ
|
УТВЕРЖДАЮ Руководитель
Федеральной службы ______________________ А.Ю. Попова 29 июля 2014 г. |
4.1. МЕТОДЫ КОНТРОЛЯ. ХИМИЧЕСКИЕ ФАКТОРЫ
Измерение концентраций пропинеба в воздухе рабочей
зоны и смывах с кожных покровов операторов методом
газохроматографического парофазного анализа
Методические указания
МУК 4.1.3194-14
Свидетельство об аттестации МВИ от 24.12.13 № 01.00282-2008/0194.24.12.13.
Настоящие методические указания устанавливают порядок применения метода капиллярной газожидкостной хроматографии для измерения концентрации пропинеба в воздухе рабочей зоны и смывах с кожных покровов операторов в диапазонах 0,1 - 1,0 мг/м3; 0,5 - 5,0 мкг/смыв соответственно.
Методические указания носят рекомендательный характер.
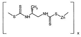
Пропинеб - полимеризованный цинк 1,2пропиленбис (дитиокарбамат).

Эмпирическая формула: (C5H8N2S4Zn)x.
Молекулярная масса: 289,8 г/моль (мономер).
Химически чистый пропинеб представляет собой белое кристаллическое вещество со слабовыраженным характерным запахом. Температура плавления не определена, так как разрушается выше 150 °С. Давление паров не установлено вследствие разложения вещества. Растворимость в воде < 0,01 г/л (практически не растворим в воде). Определить растворимость в воде практически невозможно в связи с разложением при гидролизе. Растворимость (г/л): гексан, толуол, 2-пропанол, ацетон, ацетонитрил, полиэтиленгликоль < 0,1; диметилформамид, диметилсульфоксид > 100. Разрушается при температуре > 150 °С.
Краткая токсикологическая характеристика
Острая пероральная токсичность (LD50) для крыс (самцы, самки) > 5000 мг/кг; острая кожная токсичность (LD50) для крыс > 5000 мг/кг.
Область применения
Пропинеб - фунгицид, в сочетании с фунгицидами из разных химических групп сводит риск возникновения резистентности к минимуму.
При соблюдении всех регламентированных условий проведения анализа в точном соответствии с данной методикой погрешность (и её составляющие) результатов измерений при доверительной вероятности Р = 0,95 не превышает значений, приведенных в таблице для соответствующих диапазонов концентраций.
Таблица
Метрологические параметры
Значения характеристики погрешности, нормативов оперативного
контроля точности, повторяемости, воспроизводимости
|
Анализируемый объект |
Показатель точности (границы относительной погрешности, Р = 0,95), ±δ, %, |
Показатель повторяемости (среднеквадратичное отклонение повторяемости), σr мг/м3, мкг/смыв |
Показатель воспроизводимости (среднеквадратичное отклонение воспроизводимости), σR, % |
Предел повторяемости (значение допустимого расхождения между двумя результатами параллельных определений), r, мг/м3, мкг/смыв |
Предел воспроизводимости (значение допустимого расхождения между двумя результатами измерений, полученных в разных лабораториях), R, мг/м3, мкг/смыв (Р = 0,95, m = 2) |
Средняя полнота извлечения вещества, % |
|
Воздух рабочей зоны |
19 |
0,058⋅ |
0,08⋅ |
0,16⋅ |
0,23⋅ |
93,2 |
|
Смывы с кожных покровов |
15 |
0,045⋅ |
0,06⋅ |
0,13⋅ |
0,18⋅ |
93,0 |
- среднее значение массовой
концентрации анализируемого компонента в пробе (мг/м3, мкг/смыв).
Измерения концентраций пропинеба выполняют методом газожидкостной хроматографии (ГЖХ) путем измерения концентраций сероуглерода в равновесной паровой фазе, образующегося в результате кислотного гидролиза пробы, помещенной в герметически закрытый сосуд при температуре 80 - 90 °С, с применением электронно-захватного детектора (ДЭЗ) или пламенно-фотометрического детектора (ПФД).
Концентрирование пропинеба из воздушной среды осуществляют на фильтры высокой плотности, смыв с кожных покровов - 0,1 М раствором бикарбоната натрия.
Нижний предел измерения в анализируемом объеме пробы - 0,5 нг. Средняя полнота извлечения с трубок - 92,2 %, поверхности кожи - 93,0 %.
3.1. Средства измерений
|
Газовый хроматограф, снабженный электронозахватным и пламенно-фотометрическим детектором с пределом детектирования по линдану 4×10-14 г/см3, по сере 1×10-12 rS/c, предназначенный для работы с капиллярной колонкой |
|
|
Барометр-анероид с диапазоном измерения атмосферного давления 5 - 790 мм рт. ст. и пределом допустимой погрешности (1,0 ± 2,5) мм рт. ст. |
ТУ 2504-1799-75 |
|
Весы лабораторные, аналитические, наибольший предел взвешивания 110 г, предел допустимой погрешности ±0,2 мг |
|
|
Колбы мерные 2-100-2, 2-250-2, 2-1000-2 |
|
|
Меры массы |
|
|
Пипетки градуированные 2-го класса точности вместимостью 1,0; 2,0; 5,0; 10,0 см3 |
|
|
Пробоотборное устройство 2-канальное с диапазонами расхода 0,2 - 1,0 дм3/мин и 5,0 - 1,0 дм3/мин и пределом допустимой погрешности ±(5 - 7) % |
|
|
Термометр лабораторный шкальный, пределы измерения 0 - 55 °С |
ТУ 25-2021.003-88 |
|
Цилиндры мерные 2-го класса точности вместимостью 25 и 50 см3 |
Примечание. Допускается использование средств измерения с аналогичными или лучшими характеристиками.
3.2. Реактивы
|
Пропинеб, аналитический стандарт с содержанием основного вещества 101,7 % |
|
|
Азот газообразный нулевой, марка А (99,999 %) в баллонах |
ТУ 6-21-39-96 |
|
Вода для лабораторного анализа (деионизованная, бидистилированная) |
|
|
Кислота соляная (хлороводородная), хч |
|
|
Кальций хлористый (хлорид), насыщенный водный раствор |
|
|
Натрия гидроокись (гидроксид натрия), хч |
|
|
Натрий углекислый кислый (бикарбонат), хч |
ГОСТ 4201 |
|
Олово (II) хлорид, 2-водное (олово двухлористое), ч |
ТУ 6-09-5393-88 |
|
Спирт этиловый ректификованный |
Примечание. Допускается использование реактивов с более высокой квалификацией, не требующей дополнительной очистки растворителей.
3.3. Вспомогательные средства измерений, устройства, материалы
|
Аппарат для встряхивания |
ТУ 64-1-2851-78 |
|
Баня водяная |
ТУ 4622603-75 |
|
Баня ультразвуковая |
|
|
Бумага лакмусовая |
|
|
Бумажные фильтры высокой плотности, обеззоленные |
ТУ 6-09-2678-77 |
|
Бязь хлопчатобумажная белая |
|
|
Виалы стеклянные вместимостью 20 см3 с насадками для обжима и силиконовыми прокладками диаметром 20 мм |
|
|
Воронки конусные диаметром 40 - 45 мм |
|
|
Груша резиновая |
ТУ 9398-005-0576-9082-03 |
|
Генератор водорода |
|
|
Компрессор |
|
|
Линейка |
|
|
Ножницы |
|
|
Пинцет медицинский нержавеющий |
|
|
Стаканы химические с носиком вместимостью 150 см3 |
|
|
Стекловата |
|
|
Стеклянные палочки |
|
|
Хроматографическая капиллярная кварцевая колонка длиной 15 м, внутренним диаметром 0,53 мм, содержащая сорбент: 5 % - фенилполисилоксан и 95 % - диметилполисилоксан (толщина пленки сорбента 0,5 мкм) |
|
Примечание. Допускается применение оборудования с аналогичными или лучшими техническими характеристиками.
4.1. При выполнении измерений необходимо соблюдать требования техники безопасности при работе с химическими реактивами по ГОСТ 12.1.007-76, требования по электробезопасности при работе с электроустановками по ГОСТ Р 12.1.019-09, а также требования, изложенные в технической документации на газовый хроматограф.
4.2. Помещение должно соответствовать требованиям пожаробезопасности по ГОСТ 12.1.004-91 и иметь средства пожаротушения по ГОСТ 12.4.009-83. Содержание вредных веществ в воздухе не должно превышать норм, установленных ГН 2.2.5.1313-03 «Предельно допустимые концентрации (ПДК) вредных веществ в воздухе рабочей зоны». Организация обучения работников безопасности труда - по ГОСТ 12.0.004-90.
4.3. При работе с газами, находящимися в баллонах под давлением до 15 МПа (150 кгс/см2), необходимо соблюдать «Правила устройства и безопасной эксплуатации стационарных компрессорных установок, воздухопроводов и газопроводов под давлением», ПБ-03-576-03. Запрещается открывать вентиль баллона, не установив на нем понижающий редуктор.
К выполнению измерений допускают специалиста, прошедшего обучение, освоившего методику, владеющего техникой, имеющего опыт работы на газовом хроматографе и подтвердившего соответствие получаемых результатов нормативам контроля погрешности измерений по п. 13.
При выполнении измерений соблюдают следующие условия:
- процессы приготовления растворов и подготовки проб к анализу проводят при температуре воздуха (20 ± 5) °С и относительной влажности не более 80 %;
- выполнение измерений на газовом хроматографе проводят в условиях, рекомендованных технической документацией к прибору.
Выполнению измерений предшествуют следующие операции: приготовление растворов, градуировочных растворов, установление градуировочной характеристики, подготовка фильтров и салфеток для отбора проб, отбор проб.
7.1.
Приготовление раствора гидроксида натрия с молярной
концентрацией 0,1 моль/дм3 (0,1 М раствор)
В мерную колбу вместимостью 250 см3, содержащую 100 - 150 см3 деионизованной воды, помещают (1 ± 0,1) г гидроксида натрия, доводят водой до метки, тщательно перемешивают.
7.2. Приготовление раствора соляной кислоты с молярной
концентрацией 0,1 моль/дм3 (0,1 М раствор)
Для приготовления раствора соляной кислоты с молярной концентрацией 0,1 моль/дм3 (0,1 М раствор) в мерную колбу вместимостью 1000 см3 помещают 8,3 см3 соляной кислоты, доводят до метки водой, тщательно перемешивают.
7.3. Приготовление раствора двухлористого олова с молярной
концентрацией 0,15 моль/дм3 (0,15 М раствор)
В мерную колбу вместимостью 1000 см3 помещают (17,8 ± 0,1) г двухлористого олова, растворяют ее в 1000 см3 раствора соляной кислоты с молярной концентрацией 0,1 моль/дм3 (0,1 М раствор, по п. 7.2) при нагревании на водяной бане.
7.4. Приготовление раствора бикарбоната натрия
с молярной концентрацией 0,25 моль/дм3 (0,25 М
раствор)
В мерную колбу вместимостью 1000 см3 помещают 21 г бикарбоната натрия, растворяют в 500 - 600 см3 дистиллированной воды, доводят водой до метки, тщательно перемешивают.
7.5. Приготовление градуировочных растворов и растворов внесения
7.5.1. Исходный раствор пропинеба для градуировки № 1 (концентрация 100 мкг/см3). В мерную колбу вместимостью 100 см3 помещают 0,01 г пропинеба, растворяют в 50 - 70 см3 0,1 М растворе гидроксида натрия, доводят до метки этим же раствором, тщательно перемешивают в ультразвуковой ванне 30 мин при температуре 35 °С.
Раствор хранят в холодильнике при температуре 4 - 6 °С в течение месяца.
7.5.2. Рабочие растворы пропинеба № 2 - 5 для градуировки и внесения (концентрация 1,0 - 10,0 мкг/см3). В мерную колбу вместимостью 100 см3 помещают 1, 2, 4 и 10 см3 исходного раствора для градуировки с концентрацией 100 мкг/см3 (п. 7.5.1), доводят до метки 0,1 М раствором гидроксида натрия, тщательно перемешивают на ультразвуковой бане, получают рабочие растворы № 2 - 5 для градуировки и внесения (концентрации 1,0; 2,0; 4,0 и 10,0 мкг/см3).
Растворы используют в день приготовления.
7.6.
Установление градуировочной характеристики и
условия хроматографирования
Градуировочные характеристики, выражающие зависимость площади пика (мв⋅с) от содержания пропинеба в хроматографируемом объеме паровой фазы (мкг), устанавливают методом абсолютной калибровки по 4 растворам для градуировки № 2 - 5.
В 4 стеклянные виалы вместимостью 20 см3 помещают по 0,1 см3 градуировочных растворов № 2 - 5 (п. 7.5.2), вносят 5,0 см3 0,25 М раствора бикарбоната натрия и 5,0 см3 раствора двухлористого олова с молярной концентрацией 0,15 моль/дм3 (0,15 М) (п. 7.3). Виалы закрывают силиконовыми самоуплотняющимися прокладками, обжимают алюминиевые крышки с отверстиями и помещают на 1 ч в термостат дозатора равновесного пара при 90 °С. В процессе термостатирования несколько раз виалы интенсивно встряхивают по 1 мин. Дозирование паровой фазы в хроматограф осуществляют с помощью специального пневматического дозатора. Анализ проводят в условиях хроматографирования по п. 7.5.1. Осуществляют 3 параллельных измерения. Устанавливают площади пиков сероуглерода в равновесной паровой фазе, образующегося в результате кислотного гидролиза пробы.
7.6.1. Условия хроматографирования.
Газовый хроматограф, снабженный детектором электронного захвата.
Хроматографическая, капиллярная, кварцевая колонка длиной 15 м, внутренним диаметром 0,53 мм, содержащая сорбент: 5 % - фенилполисилоксан и 95 % - диметилполисилоксан (толщина пленки сорбента 0,5 мкм).
Температура детектора: 60 °С.
Температура испарителя: 60 °С.
Температура термостата колонки: 40 °С.
Газ-носитель: азот, поток - 2,824 см3/мин, средняя линейная скорость - 21,653 см/с, давление - 7 кПа. Деление потока - 1,0:2,9.
7.6.2. Условия хроматографирования с применением пламенно-фотометрического детектора, специфичного на серу (ПФД - метод подтверждения).
Газовый хроматограф, снабженный пламенно-фотометрическим детектором (ПФД).
Хроматографическая капиллярная кварцевая колонка длиной 30 м, внутренним диаметром 0,32 мм, содержащая сорбент: 5 % - фенилполисилоксан и 95 % - диметилполисилоксан (толщина пленки сорбента 0,5 мкм).
Температура детектора: 200 °С.
Температура испарителя: 150 °С.
Температура термостата колонки - 130 °С.
Газ 1 (азот): скорость - 37,676 см3/с, давление - 80 кПа, поток - 1,926 см3/мин.
Газ 2 (азот): деление потока 1:2,6.
Скорость потока водорода - 140 см3/мин; скорость потока воздуха - 40 см3/мин.
7.7. Подготовка салфеток для проведения смыва
Вырезают салфетки (лоскуты) из белой бязи размером 10×10 см, затем их последовательно обрабатывают 0,25 М раствором бикарбоната натрия (при кипячении) (приготовленного по п. 7.4), водой до нейтральной реакции промывных вод, 2-кратно промывают этиловым спиртом, сушат на воздухе при комнатной температуре. До использования салфетки хранят в герметично закрытой стеклянной таре.
Отбор проб осуществляют в соответствии с требованиями ГОСТ 12.1.005-88 «ССБТ. Общие санитарно-гигиенические требования к воздуху рабочей зоны» и Р 2.2.2006-05 (прилож. 9, обязательное) «Общие методические требования к организации и проведению контроля содержания вредных веществ в воздухе рабочей зоны», п. 2 «Контроль соответствия максимальным ПДК».
Воздух с объемным расходом 1 - 2 дм3/мин аспирируют через бумажный фильтр высокой плотности, помещенный в фильтродержатель.
Для измерения концентрации пропинеба на уровне предела обнаружения (0,1 мг/м3) для воздуха рабочей зоны необходимо отобрать 5,0 дм3 воздуха. Срок хранения отобранных проб, раздельно помещенных в полиэтиленовые пакеты, в холодильнике при температуре 4 - 6 °С - 15 дней.
Смывы проводят в конце работы или после выполнения отдельных операций с открытых и закрытых спецодеждой или другими СИЗ участков тела (лоб, лицо, шея, спина, грудь, предплечье, голень, кисти рук, включая межпальцевые промежутки).
До работы выбирают участки кожи, обрабатывают их для удаления загрязнений и фиксируют площадь (не менее 200 см2). При необходимости отбирают фоновые смывы.
Смыв выполняют способом обмыва фиксированного участка кожи 0,25 М раствором бикарбоната натрия, помещая 20 см3 в стеклянную емкость с металлической крышкой. Тканевой салфеткой, смоченной растворителем, с помощью пинцета (индивидуально) обмывают этот участок сверху вниз. Операцию повторяют дважды.
Срок хранения отобранных проб смывов, помещенных в герметично закрытые емкости, в холодильнике при температуре 4 - 6 °С - 15 дней.
10.1. Воздух рабочей зоны
Фильтр с отобранной пробой переносят в химический стакан вместимостью 100 см3, заливают 10 см3 0,25 М раствора бикарбоната натрия (п. 7.4), помещают на ультразвуковую баню на 5 мин. Раствор собирают в мерный цилиндр объемом 25 см, фильтр еще дважды обрабатывают новыми порциями 0,25 М раствора бикарбоната натрия объемом 10 и 5 см3. Измеряют объем полученного раствора, при необходимости доводят до метки 0,25 М раствором бикарбоната натрия.
В стеклянную виалу объемом 20 см3 переносят 5 см3 объединенного экстракта, вносят 5 см3 0,15 М раствора хлористого олова (п. 7.3). Виалы закрывают силиконовыми прокладками и герметично обжимают алюминиевыми колпачками, помещают на 1 ч в термостат дозатора равновесного пара (90 °С). Проба дважды вводится в испаритель хроматографа. Устанавливают площадь пиков в условиях хроматографирования по пп. 7.5.1 или 7.5.2*.
________
Объем паровой фазы должен быть не менее 2/3 объема виалы.
Содержание пропинеба в пробе сопоставительно оценивают по площади хроматографического пика градуировочного раствора аналитического стандарта (введенного в испаритель непосредственно после хроматографирования исследуемого образца), площадь которого отличается от площади исследуемого образца не более, чем на 50 %.
Для образцов, дающих пики, площадь которых больше, чем площадь пика градуировочного раствора с содержанием пропинеба 1,0 мкг, в испаритель хроматографа вводится меньшая аликвота пробы.
Перед анализом опытной пробы проводят хроматографирование холостой (контрольной) пробы - экстракта неэкспонированного фильтра,
10.2. Смывы с кожных покровов
Пробу смыва сливают (через воронку) в мерный цилиндр объемом 25 см3, с помощью пинцета тщательно отжимают салфетку, далее промывают 0,25 М раствором бикарбоната натрия (п. 7.4) дважды порциями по 5 см3, каждый раз помещая на ультразвуковую баню на 5 мин. Экстракт собирают в тот же цилиндр.
Измеряют объем полученного раствора, при необходимости доводят до метки 0,25 М раствором бикарбоната натрия.
В стеклянную виалу объемом 20 см3 переносят 5 см3 объединенного экстракта, вносят 5 см3 0,15 М раствора хлористого олова (п. 7.3). Виалы закрывают силиконовыми прокладками и герметично обжимают алюминиевыми колпачками, помещают на 1 ч в термостат дозатора равновесного пара (90 °С). Проба дважды вводится в испаритель хроматографа. Устанавливают площадь пиков в условиях хроматографирования по пп. 7.5.1 или 7.5.2*.
________
Объем паровой фазы должен быть не менее 2/3 объема виалы.
Содержание пропинеба в пробе смыва сопоставительно оценивают по площади хроматографического пика градуировочного раствора аналитического стандарта (введенного в испаритель непосредственно после хроматографирования исследуемого образца), площадь которого отличается от площади исследуемого образца не более, чем на 50 %.
Для образцов, дающих пики, площадь которых больше, чем площадь пика градуировочного раствора с содержанием пропинеба 1,0 мкг, в испаритель хроматографа вводится меньшая аликвота пробы.
Перед анализом опытной пробы проводят хроматографирование холостой (контрольной) пробы - экстракта неэкспонированного смыва с кожных покровов.
11.1. Воздух рабочей зоны
Массовую концентрацию пропинеба в пробе воздуха рабочей зоны X, мг/м3, рассчитывают по формуле:
|
|
X - содержание пропинеба в хроматографируемом объеме парогазовой фазы, мг/м3;
А - содержание пропинеба в градуировочном растворе, мкг;
Snp - площадь пика исследуемой пробы парогазовой фазы, мВ⋅с;
Scm. - площадь пика аналитического стандарта, мВ⋅с;
Wnp. - объем парогазовой фазы, введенной в испаритель хроматографа, см3;
Wcm. - объем парогазовой фазы градуировочного раствора, введенной в испаритель хроматографа, см3;
Vt - объем пробы воздуха, отобранный для анализа, приведенный к стандартным условиям (давление 760 мм рт. ст., температура 20 °С), дм3:
|
|
Т - температура воздуха при отборе проб (на входе в аспиратор), °С;
Р - атмосферное давление при отборе пробы, мм рт. ст.;
u - расход воздуха при отборе пробы, дм3/мин;
t - длительность отбора пробы, мин;
R - коэффициент, равный 0,386 для воздуха рабочей зоны;
5 - коэффициент, учитывающий долю экстракта, взятого для парофазного анализа.
Примечание. Идентификация и расчет концентрации пропинеба в пробах могут быть проведены с помощью программ обработки хроматографических данных с применением компьютера, включенного в аналитическую систему.
11.2. Смывы с кожных покровов
Концентрацию пропинеба в пробе смыва X, мкг/смыв, рассчитывают по формуле:
|
|
X - содержание пропинеба в хроматографируемом объеме парогазовой фазы, мг/смыв;
А - содержание пропинеба в градуировочном растворе, мкг;
Snp. - площадь пика исследуемой пробы парогазовой фазы, мВ⋅с;
Scm. - площадь пика аналитического стандарта, мВ⋅с;
Wnp. - объем парогазовой фазы, введенной в испаритель хроматографа, см3;
Wcm. - объем парогазовой фазы градуировочного раствора, введенной в испаритель хроматографа, см3;
5 - коэффициент, учитывающий долю экстракта, взятого для парофазного анализа.
Примечание. Идентификация и расчет концентрации вещества в пробах смывов с кожных покровов могут быть проведены с помощью компьютерной программы обработки хроматографических данных, включенной в аналитическую систему.
Результат количественного анализа представляют в виде:
- результат анализа
в мг/м3 или мкг/смыв (с
указанием площади смыва в см2), характеристика погрешности δ, %
(±25 %), Р = 0,95 или (
± Δ) мг/м3 (мкг/смыв,
площадь смыва, см2), Р = 0,95, где
Δ - абсолютная погрешность:
|
|
Результат измерений должен иметь тот же десятичный разряд, что и погрешность.
Если содержание вещества менее нижней границы диапазона определяемых концентраций, результат анализа представляют в виде:
«содержание пропинеба в пробе воздуха рабочей зоны - менее 0,1 мг/м3; смыва - менее 0,5 мкг/смыв»*.
* - 0,1 мг/м3; 0,5 мкг/смыв - пределы обнаружения при отборе 5 дм3 воздуха рабочей зоны; в пробе смыва (фиксированная площадь смыва, 200 см2) соответственно.
Оперативный контроль погрешности и воспроизводимости измерений осуществляется в соответствии с ГОСТ Р ИСО 5725-(1-6)-02 «Точность (правильность и прецизионность) методов и результатов измерений».
13.1. Контроль стабильности градуировочной характеристики.
Контроль стабильности градуировочной характеристики проводят в начале и по окончании каждой серии анализов.
При контроле стабильности градуировочной характеристики проводят измерения не менее трех образцов градуировочных растворов, содержание пропинеба в которых должно охватывать весь диапазон концентраций от 0,1 до 1,0 мкг/см3.
Градуировочная характеристика считается стабильной, если для каждого из используемого для контроля градуировочного раствора сохраняется соотношение:
|
|
X - концентрация пропинеба в пробе при контрольном измерении, мкг/см3;
С - известная концентрация градуировочного раствора пропинеба, взятая для контроля стабильности градуировочной характеристики, мкг/см3;
В - норматив контроля погрешности градуировочной характеристики, % (В = 10 % при Р = 0,95).
Если величина расхождения (А) превышает 10 %, делают вывод о невозможности применения градуировочной характеристики для дальнейших измерений. В этом случае выясняют и устраняют причины нестабильности градуировочной характеристики и повторяют контроль ее стабильности с использованием других градуировочных растворов пропинеба, предусмотренных МВИ. При повторном обнаружении нестабильности градуировочной характеристики устанавливают ее заново согласно п. 7.5.
Стабильность результатов измерений контролируют перед проведением измерений, анализируя один из градуировочных растворов.
13.2. Плановый внутрилабораторный оперативный контроль процедуры выполнения анализа проводится методом добавок.
Образцами для контроля являются реальные пробы воздушной среды и смывов с кожных покровов. Объем отобранных для контроля процедуры выполнения анализа проб воздуха и смывов с кожи должен соответствовать удвоенному объему, необходимому для проведения анализа по методике, фиксированная площадь смыва должна быть увеличена в 2 раза. После отбора проб экстракт с фильтра, а также пробу смыва делят на две равные части, первую из которых анализируют в точном соответствии с прописью методики и получают результат анализа исходной рабочей пробы - X. Во вторую часть делают добавку анализируемого компонента (величина добавки Х𝜕 должна соответствовать 50 - 150 % от содержания компонента в пробе, общая концентрация не должна превышать верхнюю границу диапазона измерения) и анализируют в точном соответствии с прописью методики, получая результат анализа рабочей пробы с добавкой - Xˊ. Результаты анализа исходной рабочей пробы (X) и рабочей пробы с добавкой (Xˊ) получают в условиях повторяемости (один аналитик, использование одного набора мерной посуды, одной партии реактивов и т.д.).
Величина добавки С𝜕 должна удовлетворять условию:
|
|
- характеристика погрешности
(абсолютная погрешность) результатов анализа, соответствующая содержанию
компонента в испытуемом образце (расчетному значению содержания компонента в
образце с добавкой соответственно), мг/м3, мкг/смыв.
Допустимо характеристику погрешности результатов анализа при внедрении методики в лаборатории устанавливать на основе выражения Δл = ±0,84Δ, с последующим уточнением по мере накопления информации, где
Δ - граница абсолютной погрешности, мг/кг, мкг/смыв:
|
|
5 - граница относительной погрешности методики (показатель точности в соответствии с диапазоном концентраций, табл.), %.
Контроль проводят путем сравнения результата контрольной процедуры Кк с нормативом контроля К.
Результат контрольной процедуры Кк рассчитывают по формуле:
|
|
- среднее значение массовой
концентрации анализируемого компонента в образце с добавкой, испытуемом
образце, концентрация добавки соответственно (мг/м3, мкг/смыв).
Норматив оперативного контроля точности К рассчитывают по формуле:
|
|
Проводят сопоставление результата контрольной процедуры (Кк) с нормативом контроля (К).
Если результат контрольной процедуры удовлетворяет условию
|
|Кк| ≤ К, |
(1) |
процедуру анализа признают удовлетворительной.
При невыполнении условия (1) процедуру контроля повторяют. При повторном невыполнении условия (1) выясняют причины, приводящие к неудовлетворительным результатам, и принимают меры по их устранению.
13.3. Проверка приемлемости результатов измерений, полученных в условиях воспроизводимости.
Расхождение между результатами измерений, выполненных в условиях воспроизводимости (разное время, разные операторы, разные лаборатории), не должно превышать предела воспроизводимости (R):
|
|Х1 - Х2| ≤ R, |
(2) |
R - предел воспроизводимости (табл.), мг/м3, мкг/смыв:
R = 0,23⋅
(воздух рабочей зоны);
R = 0,18⋅
(смывы с кожи).
= 1/2 (X1
+ Х2), где X1, Х2 -
результаты измерений в условиях воспроизводимости (разное время, разные
операторы, разные лаборатории), мг/м3, мкг/смыв.
Если выполняется условие (2), то воспроизводимость измерений считается удовлетворительной.
При превышении норматива контроля воспроизводимости эксперимент повторяют, при повторном превышении указанного норматива выясняют причины и по возможности их устраняют.