Государственное санитарно-эпидемиологическое
нормирование
Российской Федерации
4.1. МЕТОДЫ КОНТРОЛЯ. ХИМИЧЕСКИЕ ФАКТОРЫ
Определение остаточных количеств пестицидов в пищевых продуктах, сельскохозяйственном сырье и объектах окружающей среды
Сборник методических указаний
МУК
4.1.3182 - 4.1.3189-14
Москва 2015
1. Разработаны сотрудниками ГНУ «Всероссийский НИИ защиты растений» Россельхозакадемии.
2. Рекомендованы к утверждению Комиссией по государственному санитарно-эпидемиологическому нормированию Федеральной службы по надзору в сфере защиты прав потребителей и благополучия человека (протокол от 26.06.2014 № 1).
3. Утверждены Руководителем Федеральной службы по надзору в сфере защиты прав потребителей и благополучия человека, Главным государственным санитарным врачом Российской Федерации А.Ю. Поповой 24 июля 2014 г.
4. Введены впервые.
СОДЕРЖАНИЕ
|
УТВЕРЖДАЮ Руководитель
Федеральной службы ______________________ А.Ю. Попова 24 июля 2014 г. |
4.1. МЕТОДЫ КОНТРОЛЯ. ХИМИЧЕСКИЕ ФАКТОРЫ
Определение остаточных количеств сульфосульфурона
в воде, почве, зерне и соломе зерновых культур методом
высокоэффективной жидкостной хроматографии
Методические
указания
МУК 4.1.3184-14
Свидетельство о метрологической аттестации № 01.5.04.164/01.00043/2014 от 24.02.2014.
Настоящие методические указания устанавливают порядок применения метода высокоэффективной жидкостной хроматографии для определения массовой концентрации сульфосульфурона в воде в диапазоне концентраций 0,002 - 0,02 мг/дм3, в почве и зерне зерновых культур в диапазоне концентраций 0,01 - 0,1 мг/кг, в соломе зерновых культур в диапазоне концентраций 0,04 - 0,4 мг/кг.
Методические указания носят рекомендательный характер.
Название действующего вещества по ИСО: сульфосульфурон.
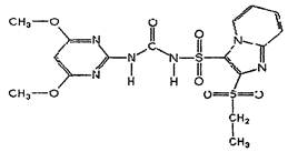
Название действующего вещества по ИЮПАК: 1-(4,6-диметоксипиримидин-2-ил)-3-(2-этилсульфонилимидазо[1,2-а]пиридин-3-илсульфонил)мочевина.
Структурная формула:

Эмпирическая формула: C16H18N6O7S2.
Молекулярная масса: 470,5.
Химически чистое вещество, представляет собой белое кристаллическое вещество.
Температура плавления: 201,5 °С.
Давление пара при 20 °С: 3,05×10-5 мПа.
Растворимость (в мг/дм3 при 20 °С): вода - 1627, гептан - 1, ксилол - 160, метанол - 330, ацетон - 710.
Константа диссоциации (рКа) при 25 °С: 3,51.
Стабильность к гидролизу при 20 °С: DT50 = 7 дней (pH 4), 48 дней (pH 5), 168 дней (pH 7) 156 дней (pH 9). Период распада в почве: DT50 = 24 дня.
Краткая токсикологическая характеристика. Острая пероральная токсичность LD50 для крыс более 5000 мг/кг, острая дермальная токсичность LD50 для крыс превышает 5000 мг/кг. Не оказывает раздражающею действия на кожу и дыхательные пути, но раздражает слизистую глаз. Умеренно токсичен для пчел и дождевых червей.
Область применения препарата. Синтетический гербицид из класса сульфонилмочивин применяется против однолетних злаковых и двудольных сорняков.
Механизм действия. Системный гербицид, адсорбируется корнями и листьями. Ингибитор синтеза ацетолактата.
При соблюдении всех регламентированных условий проведения анализа в точном соответствии с данной методикой погрешность (и ее составляющие) результатов измерений при доверительной вероятности Р = 0,95 не превышает значений, приведенных в табл. 1 для соответствующих диапазонов концентраций.
Метрологические параметры
|
Объект анализа |
Диапазон определяемых концентраций, мг/кг |
Показатель повторяемости (относительное среднеквадратическое отклонение повторяемости), σr, % |
Показатель внутрилабораторной прецизионности, % |
Показатель воспроизводимости, σR, % |
Показателе точности* (границы относительной погрешности), ±δ, % |
|
Вода |
0,002 - 0,02 |
8 |
9 |
11 |
22 |
|
Почва |
0,01 - 0,1 |
9 |
10 |
12 |
23 |
|
Зерно |
0,01 - 0,1 |
8 |
9 |
11 |
22 |
|
Солома |
0,04 - 0,4 |
8 |
9 |
11 |
22 |
|
*Соответствует расширенной неопределенности Uотн. при коэффициенте охвата k = 2 |
|||||
Полнота извлечения сульфосульфурона, стандартное
отклонение,
доверительный интервал среднего результата для n
= 20, P = 0,95
|
Анализируемый объект, мг/кг |
Предел обнаружения, мг/кг |
Диапазон определяемых концентраций, мг/кг |
Среднее значение определения, % |
Стандартное отклонение, S,% |
Доверительный интервал среднего результата, ± % |
|
Вода |
0,002 |
0,002 - 0,02 |
85,3 |
4,25 |
5,96 |
|
Почва |
0,01 |
0,01 - 0,1 |
85,4 |
5,05 |
7,08 |
|
Зерно |
0,01 |
0,01 - 0,1 |
83,0 |
3,11 |
4,36 |
|
Солома |
0,04 |
0,04 - 0,4 |
82,6 |
2,82 |
3,95 |
Методика основана на определении сульфосульфурона методом высокоэффективной жидкостной хроматографии (ВЭЖХ) с использованием УФ-детектора после его извлечения из образцов смесью ацетонитрил-вода, очистки перераспределением в системе несмешивающихся растворителей и последующей очистки твердофазной экстракцией на патронах.
Идентификация сульфосульфурона проводится по времени удерживания, количественное определение - методом абсолютной калибровки.
Избирательность метода обеспечивается сочетанием условий подготовки проб и хроматографирования.
3.1. Средства измерений
|
Жидкостный хроматограф с быстросканирующим УФ-детектором, снабженный дегазатором, автоматическим пробоотборником и термостатом колонки |
Номер в Госреестре средств измерений 42816-09 |
|
Весы аналитические с пределом взвешивания до 210 г и пределом допустимой погрешности 0,2 мг |
|
|
Весы технические с пределом взвешивания до 400 г и допустимой погрешностью 0,1 г |
|
|
Колбы мерные на 10, 100 и 250 см3 |
|
|
Микродозаторы одноканальные переменного объема от 200 до 1000 мм3 и от 1 до 5 см3 |
|
|
Цилиндры мерные на 50 и 100 см3 |
Примечание. Допускается использование средств измерения с аналогичными или лучшими характеристиками.
3.2. Реактивы
|
Ацетонитрил для ВЭЖХ |
ТУ 2634-002-04715285-12 |
|
Вода для лабораторного анализа (бидистиллированная, деионизованная) |
|
|
н-Гексан, хч |
ТУ 6-09-3375-78 |
|
Кислота ортофосфорная, хч |
|
|
Метанол, хч |
|
|
Натрий серно-кислый безводный, хч |
|
|
Натрий хлористый, чда |
|
|
Подвижная фаза для ВЭЖХ: смесь ацетонитрила и 0,005 М ортофосфорной кислоты в соотношении 32:68 |
|
|
Смесь № 1 ацетонитрил-вода в соотношении 9:1 по объему |
|
|
Смесь № 2 этилацетат-метанол в соотношении 4:1 по объему |
|
|
Сульфосульфурон, аналитический стандарт с содержанием д.в. 98,6 % |
|
|
Этилацетат, хч |
ГОСТ 1138-84 |
Примечание. Допускается использование реактивов с более высокой квалификацией, не требующих дополнительной очистки растворителей.
3.3. Вспомогательные устройства и материалы
|
Аналитическая колонка, заполненная сорбентом с привитыми монофункциональными полярными группами С18, (100×2,1) мм, 1,7 мкм |
|
|
Аппарат для встряхивания проб |
ТУ 64-1-1081-73 |
|
Вата медицинская |
|
|
Воронки делительные, вместимостью 250 см3 |
|
|
Воронки химические конусные |
|
|
Колбы круглодонные на шлифе вместимостью 25 и 100 см3 |
|
|
Колбы плоскодонные на шлифе вместимостью 100, 250 см3 |
|
|
Патроны для твердофазной экстракции, заполненные гидрофильным слабокислотным сорбентом на основе силикагеля, 0,4 г |
ТУ 4215-002-0545-931-94 |
|
Пробирки полипропиленовые центрифужные с крышками объемом 50 см3 |
|
|
Ротационный вакуумный испаритель с мембранным насосом, обеспечивающим вакуум до 10 мбар |
|
|
Стаканы химические вместимостью 150 см3 |
|
|
Фильтры бумажные быстрой фильтрации |
ТУ 6.091678-86 |
|
Центрифуга с максимальной рабочей частотой вращения 4000 об./мин |
|
|
Устройство перемешивающее (50 - 200 колебаний в мин) |
ТУ 4389-007-44330709-11 |
Примечание. Допускается применение оборудования с аналогичными или лучшими техническими характеристиками.
4.1. При выполнении измерений необходимо соблюдать требования техники безопасности при работе с химическими реактивами по ГОСТ 12.1.007-76, требования по электробезопасности при работе с электроустановками по ГОСТ 12.1.019-09, а также требования, изложенные в технической документации на жидкостный хроматограф.
4.2. Помещение лаборатории должно быть оборудовано приточно-вытяжной вентиляцией, соответствовать требованиям пожарной безопасности по ГОСТ 12.1.004-91 и иметь средства пожаротушения по ГОСТ 12.4.009-83. Содержание вредных веществ в воздухе не должно превышать ПДК (ОБУВ), установленных ГН 2.2.5.1313-03 и 2.2.5.2308-07.
Организация обучения работников безопасности труда - по ГОСТ 12.0.004-90.
Измерения в соответствии с настоящей методикой может выполнять специалист-химик, имеющий опыт работы методом высокоэффективной жидкостной хроматографии, ознакомленный с руководством по эксплуатации хроматографа, освоивший данную методику и подтвердивший экспериментально соответствие получаемых результатов нормативам контроля погрешности измерений по п. 13.
При выполнении измерений выполняют следующие условия:
- процессы приготовления растворов и подготовки проб к анализу проводят при температуре воздуха (20 ± 5) °С и относительной влажности не более 80 %;
- выполнение измерений на жидкостном хроматографе проводят в условиях, рекомендованных технической документацией к прибору.
7.1. Кондиционирование колонки
Перед началом анализа колонку кондиционируют в потоке подвижной фазы (0,1 - 0,2 см3/мин) до стабилизации нулевой линии.
7.2. Приготовление растворов
7.2.1. Раствор ортофосфорной кислоты 0,005 М. В мерную колбу объемом 1 дм3 помещают (0,5 ± 0,01) г 98 %-й ортофосфорной кислоты, растворяют в бидистиллированной воде и доводят объем до метки.
7.2.2. Для приготовления подвижной фазы смешивают ацетонитрил с 0,005 М раствором ортофосфорной кислоты в соотношении 32:68 по объёму, используя мерные цилиндры.
7.2.3. Для приготовления насыщенного раствора натрия хлористого в мерную колбу объемом 1 дм3 помещают 350 г натрия хлористого, полностью растворяют в бидистиллированной воде и доводят объем до метки.
7.3. Приготовление основного и градуировочных растворов
7.3.1. Основной раствор с концентрацией 0,5 мг/см3. Точную навеску сульфосульфурона (50 ± 0,5 мг) помещают в мерную колбу вместимостью 100 см3, растворяют в ацетонитриле и доводят объем до метки ацетонитрилом.
Градуировочные растворы с концентрациями сульфосульфурона 0,1; 0,2; 0,5; 1,0; 2,0 мкг/см3 готовят методом последовательного разбавления по объему, используя раствор подвижной фазы (смесь ацетонитрила и 0,005 М ортофосфорной кислоты в соотношении 32:68).
7.3.2. Раствор № 1 с концентрацией 2,0 мкг/см3. В мерную колбу вместимостью 100 см3 помещают 0,4 см3 основного раствора и доводят объем до метки подвижной фазой.
7.3.3. Раствор № 2 с концентрацией 1,0 мкг/см3. В мерную колбу вместимостью 100 см3 вносят 0,2 см3 основного раствора и доводят объем до метки подвижной фазой.
7.3.4. Раствор № 3 с концентрацией 0,5 мкг/см3. В мерную колбу вместимостью 10 см3 помещают 5,0 см3 раствора № 2 и доводят объем до метки подвижной фазой.
7.3.5. Раствор № 4 с концентрацией 0,2 мкг/см3. В мерную колбу вместимостью 10 см3 помещают 2 см3 раствора № 2 и доводят объем до метки подвижной фазой.
7.3.6. Раствор № 5 с концентрацией 0,1 мкг/см3. В мерную колбу вместимостью 10 см3 помещают 1 см3 раствора № 2 и доводят объем до метки подвижной фазой.
Основной раствор можно хранить в холодильнике при температуре 0 - 4 °С в течение 1 месяца, градуировочные растворы - в течение суток.
При изучении полноты определения сульфосульфурона в воде, почве, соломе и зерне зерновых колосовых культур используют ацетонитрильные растворы вещества, приготовленные из основного раствора методом последовательного разбавления по объему ацетонитрилом.
7.4. Построение градуировочного графика
Для построения градуировочного графика (площадь пика - концентрация сульфосульфурона в растворе) в хроматограф вводят по 10 мм3 градуировочных растворов (не менее 3 параллельных измерений для каждой концентрации, не менее 4 точек по диапазону измеряемых концентраций). Затем измеряют площади пиков и строят график зависимости среднего значения площади пика от концентрации сульфосульфурона в градуировочном растворе.
Методом наименьших квадратов рассчитывают градуировочный коэффициент (K) в уравнении линейной регрессии:
|
C = KS, где |
S - площадь пика градуировочного раствора.
Градуировку признают удовлетворительной, если значение коэффициента линейной корреляции оказывается не ниже 0,99.
Градуировочную характеристику необходимо проверять при замене реактивов, хроматографической колонки или элементов хроматографической системы, а также при отрицательном результате контроля градуировочного коэффициента.
Градуировочную зависимость признают стабильной при выполнении следующего условия:
|
|
С - аттестованное значение массовой концентрации сульфосульфурона в градуировочном растворе;
СK - результат контрольного измерения массовой концентрации сульфосульфурона в градуировочном растворе;
λконтр. - норматив контроля градуировочного коэффициента, % (λконтр. = 10 % при Р = 0,95).
7.5. Подготовка патрона для очистки экстрактов
твердофазной экстракцией
Патрон, заполненный гидрофильным слабокислотным сорбентом на основе силикагеля (0,4 г), промывают последовательно 2 см3 смеси № 2 и 3 см3 этилацетата, после чего он готов к работе.
7.6.
Проверка хроматографического поведения сульфосульфурона
на патроне
В круглодонную колбу емкостью 10 см3 отбирают 1 см3 стандартного раствора сульфосульфурона с концентрацией 1 мкг/см3. Отдувают растворитель током воздуха. Остаток растворяют в 1 см3 этилацетата и переносят на подготовленный патрон. Колбу обмывают 1 см3 этилацетата и смыв тоже вносят на патроны. Промывают патроны 5 см3 этилацетата, элюат отбрасывают. Затем элюируют сульфосульфурон смесью № 2 со скоростью 1 - 2 капли в секунду. Отбирают фракции по 2 см3, упаривают досуха, растворяют в 1 см3 подвижной фазы для ВЭЖХ и анализируют по п. 9.6.
Фракции, содержащие сульфосульфурон объединяют и вновь анализируют.
Устанавливают уровень вещества в элюате, определяют полноту вымывания с патрона и необходимый для очистки объем элюата.
Примечание. Проверку хроматографического поведения сульфосульфурона следует проводить обязательно, поскольку профиль вымывания может изменяться при использовании новой партии патронов и растворителей.
Отбор проб производится в соответствии с «Унифицированными правилами отбора проб сельскохозяйственной продукции, продуктов питания и объектов окружающей среды для определения микроколичеств пестицидов» (от 21.08.79 № 2051-79), а также в соответствии с ГОСТ Р 51592-2000 «Вода. Общие требования к отбору проб»; ГОСТ 28168-89 «Почвы. Отбор проб»; ГОСТ Р 50436-92 (ИСО 950-79) «Зерновые. Отбор проб зерна». Пробы зерна и соломы для определения остатков пестицидов в урожае хранят в бумажной или тканевой упаковке при комнатной температуре.
Для длительного хранения пробы почвы подсушиваются при комнатной температуре в отсутствие прямого солнечного света. Сухие почвенные образцы могут храниться в течение года. Перед анализом сухую почву доводят до стандартной влажности, просеивают через сито с отверстиями диаметром 1 мм.
9.1. Экстракция сульфосульфурона из воды
В плоскодонную колбу объемом 100 см3 помещают 50 см3 пробы воды и 18 г хлористого натрия, колбу закрывают пробкой, закрепляют в устройстве для перемешивания и перемешивают до полного растворения соли (примерно 1 ч). Пробу воды переносят в делительную воронку и трижды экстрагируют этилацетатом порциями по 20 см3. Объединенный органический экстракт пропускают через слой безводного сульфата натрия, собирают в круглодонную колбу объемом 100 см3 и упаривают досуха на ротационном вакуумном испарителе при температуре бани не выше 40 °С. Сухой остаток растворяют в 1 см3 подвижной фазы для ВЭЖХ и анализируют по п. 9.6.
9.2. Экстракция сульфосульфурона из почвы
Навеску измельченной почвы (10 г) помещают в плоскодонную колбу объемом 250 см3, добавляют 100 см3 смеси № 1, закрепляют в устройстве для перемешивания и интенсивно перемешивают 1 ч. Экстракт переносят в полипропиленовые центрифужные пробирки вместимостью 50 см3, пробирки плотно закрывают и центрифугируют при скорости 4000 об./мин в течение 5 мин. Экстракт декантируют через вату в круглодонную колбу и упаривают до водного остатка на ротационном вакуумном испарителе при температуре бани не выше 40 °С. Далее проводят очистку по п. 9.4.
9.3. Экстракция сульфосульфурона из зерна и
соломы зерновых колосовых культур
Навеску измельченной пробы (10 г - зерно; 5 г - солома) помещают в плоскодонную колбу объемом 250 см3, добавляют 100 см3 смеси № 1, закрепляют в устройстве для перемешивания и интенсивно перемешивают 1 ч. Экстракт переносят в полипропиленовые центрифужные пробирки вместимостью 50 см3, пробирки плотно закрывают и центрифугируют при скорости 4000 об./мин в течение 5 мин. Экстракт фильтруют через вату в делительную воронку (для соломы берут только половину экстракта, т.е. аликвоту, соответствующую 2,5 г пробы) и дважды промывают гексаном порциями по 15 см3. Гексан отбрасывают. Водноацетонитрильный экстракт переносят в круглодонную колбу и упаривают до водного остатка на ротационном вакуумном испарителе при температуре бани не выше 40 °С. Далее проводят очистку по п. 9.4.
9.4. Очистка экстракта перераспределением в системе
несмешивающихся растворителей
К водному остатку, полученному по пп. 9.2 - 9.3, добавляют 50 см3 насыщенного раствора хлористого натрия, переносят в делительную воронку и трижды экстрагируют этилацетатом порциями по 20 см3. Объединенный этилацетатный экстракт пропускают через слой безводного сульфата натрия, собирают в круглодонную колбу и упаривают досуха на ротационном вакуумном испарителе при температуре бани не выше 40 °С. Далее проводят очистку по п. 9.5.
9.5. Очистка на патроне для твердофазной экстракции
Остаток в колбе, полученный при упаривании экстрактов (п. 9.4), количественно переносят двумя порциями этилацетата по 1 см3 на подготовленный патрон (п. 7.5). Промывают патрон 5 см3 этилацетата. Сульфосульфурон элюируют 5 см3 смеси № 2 и упаривают досуха на ротационном вакуумном испарителе при температуре бани не выше 40 °С. Сухой остаток растворяют в 1 см3 подвижной фазы для ВЭЖХ и анализируют на содержание сульфосульфурона по п. 9.6.
9.6. Условия хроматографирования
Ультраэффективный жидкостный хроматограф с быстросканирующим УФ-детектором, снабженный дегазатором, автоматическим пробоотборником и термостатом колонки. Аналитическая колонка, заполненная сорбентом с привитыми монофункциональными полярными группами С18, (100,0×2,1) мм, 1,7 мкм. Температура колонки: (30 ± 1) °С. Подвижная фаза: смесь ацетонитрила и 0,005 М ортофосфорной кислоты в соотношении 32:68. Скорость потока элюента: 0,2 см3/мин. Рабочая длина волны УФ-детектора: 235 нм. Объем вводимой пробы: 10 мм3. Время удерживания сульфосульфурона составляет (12,7 ± 0,1) мин.
Количественное определение проводят методом абсолютной калибровки. Содержание сульфосульфурона в пробе (X, мг/кг) вычисляют по формуле:
|
|
Sx - площадь пика сульфосульфурона на хроматограмме испытуемого образца, мм2 (AU);
K - градуировочный коэффициент, найденный на стадии построения соответствующей градуировочной зависимости;
V - объём пробы, подготовленной для хроматографического анализа, см3;
Р - навеска анализируемого образца, г;
f - полнота извлечения сульфосульфурона, приведенная в табл. 2, %.
Содержание остаточных количеств сульфосульфурона в образце вычисляют как среднее из двух параллельных определений.
Образцы, дающие пики большие, чем стандартный раствор сульфосульфурона с концентрацией 2,0 мкг/см3, разбавляют подвижной фазой для ВЭЖХ.
За результат анализа принимают среднее арифметическое результатов двух параллельных определений, расхождение между которыми не превышает предела повторяемости:
X1, Х2 - результаты параллельных определений, мг/кг;
r - значение предела повторяемости (r = 2,8σr).
При невыполнении условия (1) выясняют причины превышения предела повторяемости, устраняют их и вновь выполняют анализ.
Результат анализа представляют в виде:
(
± Δ) мг/кг при вероятности Р
= 0,95, где
- среднее арифметическое результатов
определений, признанных приемлемыми, мг/кг;
Δ - граница абсолютной погрешности, мг/кг:
|
|
δ - граница относительной погрешности методики (показатель точности в соответствии с диапазоном концентраций), %.
В случае, если содержание компонента менее нижней границы диапазона определяемых концентраций, результат анализа представляют в виде:
«содержание вещества в пробе менее нижней границы определения» (например: менее 0,01 мг/кг*, где * - 0,01 мг/кг - предел обнаружения сульфосульфурона в зерне).
Оперативный контроль погрешности и воспроизводимости измерений осуществляется в соответствии с ГОСТ Р ИСО 5725-1-6-02 «Точность (правильность и прецизионность) методов и результатов измерений».
13.1. Стабильность результатов измерений контролируют перед проведением измерений, анализируя один из градуировочных растворов.
13.2. Плановый внутрилабораторный оперативный контроль процедуры выполнения анализа проводится с применением метода добавок. Величина добавки С𝜕 должна удовлетворять условию:
|
C𝜕 = Δл, Х + Δл, Хˊ, где |
±Δл, Х, (±Δл, Хˊ) - характеристика погрешности (абсолютная погрешность) результатов анализа, соответствующая содержанию компонента в испытуемом образце (расчетному значению содержания компонента в образце с добавкой соответственно), мг/кг;
при этом:
|
Δл = ±0,84Δ, где |
Δ - граница абсолютной погрешности, мг/кг:
|
|
δ - граница относительной погрешности методики (показатель точности в соответствии с диапазоном концентраций), %.
Результат контроля процедуры Кк рассчитывают по формуле:
|
Кк = Х - Хˊ - C𝜕, где |
Xˊ, X, С𝜕 - среднее арифметическое результатов параллельных определений (признанных приемлемыми по п. 11) содержания компонента в образце с добавкой, испытуемом образце, концентрация добавки соответственно, мг/кг.
Норматив контроля К рассчитывают по формуле:
|
|
Проводят сопоставление результата контроля процедуры (Кк) с нормативом контроля (К).
Если результат контроля процедуры удовлетворяет условию
|
|Кк| ≤ К, |
(2) |
процедуру анализа признают удовлетворительной.
При невыполнении условия (2) процедуру контроля повторяют. При повторном невыполнении условия (2) выясняют причины, приводящие к неудовлетворительным результатам, и принимают меры по их устранению.
13.3. Проверка приемлемости результатов измерений, полученных в условиях воспроизводимости.
Расхождение между результатами измерений, выполненных в двух разных лабораториях, не должно превышать предела воспроизводимости (R):
|
|
(3) |
X1, Х2 - результаты измерений в двух разных лабораториях, мг/кг;
R - предел воспроизводимости (в соответствии с диапазоном концентраций), %.
Разработаны сотрудниками «Всероссийского НИИ защиты растений», С.-Петербург (Цибульская И.А., Черменская Т.Д., Комарова А.С., Человечкова В.В.)