Государственное санитарно-эпидемиологическое
нормирование
Российской Федерации
4.1. МЕТОДЫ КОНТРОЛЯ. ХИМИЧЕСКИЕ ФАКТОРЫ
Определение остаточных количеств
моксидектина в молоке и мясе
методом высокоэффективной
жидкостной хроматографии
Методические указания
МУК 4.1.3244-14
Москва 2015
1. Разработаны ФБУН «Федеральный научный центр гигиены им. Ф.Ф. Эрисмана» Роспотребнадзора (В.Н. Ракитский, Т.В. Юдина, Н.Е. Федорова, В.Н. Волкова).
2. Рекомендованы к утверждению Комиссией по государственному санитарно-эпидемиологическому нормированию Федеральной службы по надзору в сфере защиты прав потребителей и благополучия человека (протокол от 6 ноября 2014 г. № 2).
3. Утверждены руководителем Федеральной службы по надзору в сфере защиты прав потребителей и благополучия человека, Главным государственным санитарным врачом Российской Федерации А.Ю. Поповой 29 декабря 2014 г.
4. Введены впервые.
СОДЕРЖАНИЕ
|
УТВЕРЖДАЮ Руководитель
Федеральной службы _______________________ А.Ю. Попова 29 декабря 2014 г. |
4.1. МЕТОДЫ КОНТРОЛЯ. ХИМИЧЕСКИЕ ФАКТОРЫ
Определение остаточных количеств моксидектина
в молоке и мясе методом высокоэффективной
жидкостной хроматографии
Методические указания
МУК 4.1.3244-14
Свидетельство об аттестации № РОСС RU.0001.310430/0198.14.07.14 от 14.07.2014.
Настоящие методические указания устанавливают порядок применения метода высокоэффективной жидкостной хроматографии для определения массовой концентрации моксидектина в молоке и мясе в диапазоне 0,005 - 0,10 мг/кг.
Методические указания носят рекомендательный характер.
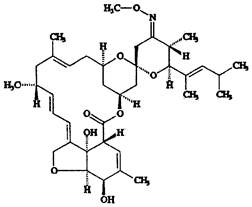
Моксидектин
(10Е,14Е,16Е)-(1R,4S,5'S,6R,6'S,8R13R20R,21R,24S)-6'-[(1E)-1,3-диметилбут-1-енил]-21,24-дигидрокси-5',11,13,22-тетраметил-(3,7,19-триоксатетрацикло [15.6.1.14,8.020,24] пентакоза-10,14,16,22-тетраен)-6-спиро-2'-(тетрагидропиран)-2,4'-дион4'-(Е)-(О-метилоксим) (ИЮПАК).
Структурная формула:

Брутто формула: С37Н53NO8.
Молекулярная масса 639,82.
Белое или светло желтое кристаллическое вещество. Температура плавления 145 - 154 °С. Хорошо растворим в полярных органических растворителях. Растворимость в воде 0,51 мг/дм3. Моксидектин - слабое основание, рКа < 2.
Краткая токсикологическая характеристика. Острая пероральная токсичность (LD50) для крыс > 106 мг/кг; острая дермальная токсичность (LD50) для кроликов > 2000 мг/кг.
Область применения препарата. Моксидектин - полусинтетический ветеринарный препарат, обладающий инсектицидной активностью широкого спектра, рекомендуется к применению в качестве антипаразитарного и антигельминтного препарата для сельскохозяйственных животных.
При соблюдении всех регламентированных условий проведения анализа в точном соответствии с данной методикой погрешность (и её составляющие) результатов измерений при доверительной вероятности Р = 0,95 не превышает значений, приведенных в табл. 1 для соответствующих диапазонов концентраций.
Метрологические параметры
|
Анализируемый объект |
Диапазон определяемых концентраций, мг/кг |
Показатель точности (границы относительной погрешности, Р = 0,95), ±δ, % |
Показатель повторяемости (среднеквадратичное отклонение повторяемости), σr, % |
Показатель воспроизводимости (среднеквадратичное отклонение воспроизводимости) σR, % |
Предел повторяемости (значение допустимого расхождения между двумя результатами параллельных определений), r, % |
Предел воспроизводимости (значение допустимого расхождения между двумя результатами измерений, полученных в разных лабораториях), R, % (Р = 0,95) |
|
Молоко |
0,005 - 0,1 |
50 |
7,2 |
10,1 |
20 |
28 |
|
Мясо |
0,005 - 0,1 |
50 |
8,2 |
11,5 |
23 |
32 |
Полнота извлечения вещества, стандартное отклонение, доверительный интервал среднего результата для всего диапазона измерений (n = 20) приведены в табл. 2.
Полнота извлечения вещества, стандартное отклонение,
доверительный интервал среднего результата
|
Анализируемый объект |
Метрологические параметры, Р = 0,95, n = 20 |
||||
|
предел обнаружения, мг/кг |
диапазон определяемых концентраций, мг/кг |
средняя полнота извлечения, % |
стандартное отклонение, % |
доверительный интервал среднего результата, % |
|
|
Молоко |
0,005 |
0,005 - 0,1 |
96,3 |
5,1 |
±2,7 |
|
Мясо |
0,005 |
0,005 - 0,1 |
87,8 |
7,1 |
±3,8 |
Методика основана на определении моксидектина с использованием обращено-фазовой высокоэффективной жидкостной хроматографии (ВЭЖХ) с флуориметрическим детектором после извлечения вещества из анализируемой пробы молока и мяса ацетонитрилом, очистки экстракта перераспределением в системе несмешивающихся растворителей, превращения моксидектина во флуорогенное производное. Экстракты мяса после дериватизации подвергают дополнительной очистке на патроне для твердофазной экстракции на основе силикагеля.
Количественное определение проводится методом абсолютной калибровки.
|
Жидкостный хроматограф с флуориметрическим детектором, снабженный дегазатором, автоматическим пробоотборником и термостатом колонки |
|
|
Весы лабораторные аналитические, наибольший предел взвешивания 110 г, предел допустимой погрешности ±0,2 мг |
|
|
Весы лабораторные общего назначения с наибольшим пределом взвешивания до 500 г и пределом допустимой погрешности ±0,038 г, класс точности высокий (II) |
|
|
Колбы мерные вместимостью 2-50-2, 2-100-2, 2-250-2, 2-500-2, 2-1000-2 |
|
|
Меры массы |
|
|
Пипетки градуированные 2-го класса точности вместимостью 1,0; 2,0; 5,0; 10 см3 |
|
|
Пробирки градуированные с пришлифованной пробкой вместимостью 5 и 10 см3 |
|
|
Цилиндры мерные 2-го класса точности вместимостью 25, 50, 100, 250, 500 и 1000 см3 |
Примечание. Допускается использование средств измерения с аналогичными или лучшими характеристиками.
|
Моксидектин, аналитический стандарт с содержанием основного компонента 97,4 % |
ТУ 6-09-4326-76 |
|
Ацетонитрил для хроматографии, хч |
|
|
Вода для лабораторного анализа (деионизованная, бидистилированная) |
|
|
н-Гексан (гексан), для хроматографии |
ТУ 6-09-06-657-84 |
|
Калий углекислый (карбонат калия, поташ), хч, прокаленный |
|
|
Кислота серная концентрированная, хч |
|
|
Кислота ортофосфорная, хч, 85 % |
|
|
Метиловый спирт (метанол), хч |
|
|
1-N-метилимидазол, для синтеза, чистота ≥ 99 % |
|
|
Патроны концентрирующие для твердофазной экстракции, 360 мг сорбента на основе силикагеля |
|
|
Трифторуксусный ангидрид, чистота ≥ 98,0 % |
|
|
Фосфор (V) оксид (фосфорный ангидрид, пентоксид фосфора), хч |
ТУ 6-09-4173-85 |
Примечание. Допускается использование реактивов с более высокой квалификацией, не требующих дополнительной очистки растворителей.
|
Аллонж прямой с отводом для вакуума (для работы с концентрирующими патронами) |
|
|
Аппарат для встряхивания, орбита до 10 мм |
ТУ 64-1-2851-78 |
|
Баня ультразвуковая с рабочей частотой 35 кГц |
|
|
Барометр-анероид с диапазоном измерения атмосферного давления 5 - 790 мм рт. ст. |
ТУ 2504-1799-75 |
|
Воронка делительная вместимостью 250 см3 |
|
|
Воронки стеклянные конусные диаметром 36 - 40 мм и 56 - 60 мм |
|
|
Гигрометр с диапазоном измерений относительной влажности от 30 до 90 % |
ТУ 25-11-1645-84 |
|
Гомогенизатор |
|
|
Груша резиновая |
ТУ 9398-05-0576-9082-03 |
|
Колбы конические (плоскодонные) с пришлифованной пробкой вместимостью 250 - 300 см3 |
|
|
Колбы круглодонные на шлифе (для упаривания) вместимостью 50, 150 и 250 см3 |
|
|
Мембраны микропористые капроновые, размер пор 0,45 мкм |
ТУ 9471-002-10471723-03 |
|
Набор для фильтрации растворителей через мембрану |
|
|
Насос водоструйный вакуумный |
|
|
Ректификационная колонна с числом теоретических тарелок не менее 30 |
|
|
Ротационный вакуумный испаритель с мембранным насосом, обеспечивающим вакуум до 10 мбар |
|
|
Стаканы химические вместимостью 100 и 400 см3 |
|
|
Стекловата |
|
|
Стеклянные палочки |
|
|
Термометр с диапазоном измерений от 0 до 55 °С и ценой деления 0,1 °С |
|
|
Установка для перегонки растворителей |
|
|
Холодильник водяной обратный |
|
|
Хроматографическая колонка стальная длиной 150 мм, внутренним диаметром 4,6 мм, заполненная обращенно-фазным сорбентом с привитыми монофункциональными полярными группами С18, зернением 5 мкм; предколонка стальная длиной 12,5 мм, внутренним диаметром 4,6 мм, заполненная обращенно-фазным сорбентом с привитыми монофункциональными полярными группами С18, зернением 5 мкм |
|
|
Шприц для ввода образцов для жидкостного хроматографа вместимостью 50 - 100 мм3 |
|
|
Шприц медицинский инъекционный однократного применения вместимостью 5 и 10 см3 |
ГОСТ 24861-91 (ИСО 7886-84) |
Примечание. Допускается использование вспомогательных средств измерений, устройств и материалов с аналогичными или лучшими техническими характеристиками.
4.1. При выполнении измерений необходимо соблюдать требования техники безопасности при работе с химическими реактивами по ГОСТ 12.1.007-76, требования по электробезопасности при работе с электроустановками по ГОСТ Р 12.1.019-09, а также требования, изложенные в технической документации на жидкостный хроматограф.
4.2. Помещение должно соответствовать требованиям пожаробезопасности по ГОСТ 12.1.004-91 и иметь средства пожаротушения по ГОСТ 12.4.009-83. Содержание вредных веществ в воздухе не должно превышать ПДК (ОБУВ), установленных ГН 2.2.5.1313-03 и 2.2.5.2308-07. Организация обучения работников безопасности труда - по ГОСТ 12.0.004-90.
К выполнению измерений допускают специалиста, прошедшего обучение, освоившего методику, владеющего техникой имеющего опыт работы на жидкостном хроматографе и подтвердившего соответствие получаемых результатов нормативам контроля погрешности измерений по п. 13.
При выполнении измерений соблюдают следующие условия:
- процессы приготовления растворов и подготовки проб к анализу проводят при температуре воздуха (20 ± 5) °С и относительной влажности не более 80 %;
- выполнение измерений на жидкостном хроматографе проводят в условиях, рекомендованных технической документацией к прибору.
Измерениям предшествуют следующие операции: очистка органических растворителей (при необходимости), приготовление реактива для дериватизации, градуировочных растворов, раствора внесения, подвижной фазы для ВЭЖХ, кондиционирование хроматографической колонки, установление градуировочной характеристики, подготовка патронов для очистки экстрактов.
7.1.1. Ацетонитрил
Ацетонитрил кипятят с обратным холодильником над пентоксидом фосфора (на 1 дм3 ацетонитрила 20 г пентоксида фосфора) не менее 1 часа, после чего перегоняют, непосредственно перед употреблением ацетонитрил повторно перегоняют над прокаленным карбонатом калия (на 1 дм3 ацетонитрила 10 г карбоната калия).
7.1.2. н-Гексан
Растворитель последовательно промывают порциями концентрированной серной кислоты, до тех пор, пока она не перестанет окрашиваться в желтый цвет, затем водой до нейтральной реакции промывных вод, перегоняют над прокаленным карбонатом калия.
7.2.1. Приготовление 0,1 %-го раствора ортофосфорной кислоты.
В мерную колбу вместимостью 500 см3 помещают 250 - 300 м3 деионизованной воды, вносят 0,5 см3 ортофосфорной кислоты, доводят водой до метки, перемешивают.
7.2.2. Приготовление подвижной фазы.
В мерную колбу вместимостью 1000 см3 помещают 950 см3 ацетонитрила и 50 см3 0,1 %-го раствора ортофосфорной кислоты, перемешивают, фильтруют и дегазируют.
Подвижную фазу хранят в темном месте (в емкости из темного стекла) не более 30 дней.
Смешивают трифторуксусный ангидрид и свежеперегнанный ацетонитрил в объемном соотношении 1:2. Реактив годен в течение рабочего дня.
Промывают колонку подвижной фазой (приготовленной по п. 7.2.) при скорости подачи растворителя 1,0 см3/мин до установления стабильной базовой линии.
7.5.1. Исходный раствор моксидектина для градуировки (концентрация 100 мкг/см3). В мерную колбу вместимостью 100 см3 помещают 0,0100 г моксидектина, растворяют в 50 - 60 см3 ацетонитрила, доводят ацетонитрилом до метки, тщательно перемешивают.
Раствор хранят в холодильнике (защищенном от света месте) при температуре 5 °С в течение месяца.
Растворы № 1 - 6 готовят объемным методом путем последовательного разбавления исходного раствора для градуировки.
7.5.2. Раствор № 1 моксидектина для градуировки и внесения (концентрация 1 мкг/см3). В мерную колбу вместимостью 100 см3 помещают 1 см3 исходного раствора моксидектина с концентрацией 100 мкг/см3 (п. 7.5.1), разбавляют ацетонитрилом до метки.
Раствор хранят в холодильнике (защищенном от света месте) при температуре (4 ± 2) °С в течение месяца.
Этот раствор используют для приготовления проб мяса и молока с внесением моксидектина при оценке полноты извлечения вещества методом «внесено-найдено», а также контроле качества результатов измерений методом добавок.
7.5.3. Рабочие растворы № 2 - 6 моксидектина для градуировки (концентрация 0,005 - 0,1 мкг/см3). В 5 мерных колб вместимостью 100 см3 помещают по 0,5, 1,0, 2,0, 5,0 и 10 см3 градуировочного раствора № 1 с концентрацией 1 мкг/см3 (п. 7.5.2), доводят до метки ацетонитрилом, тщательно перемешивают, получают рабочие растворы № 2 - 6 с концентрацией моксидектина 0,005, 0,01; 0,02; 0,05 и 0,1 мкг/см3 соответственно.
Растворы хранят в холодильнике (защищенном от света месте) при температуре (4 ± 2) °С в течение месяца.
7.5.4. Рабочие растворы № 2а - 6а флуорогенного производного моксидектина для градуировки (соответствуют содержанию моксидектина 0,005 - 0,1 мкг). В 5 градуированных пробирок вместимостью 5 см3 вносят по 1 см3 каждого из 5 рабочих растворов моксидектина № 2 - 6 (п. 7.5.3), прибавляют по 0,1 см3 1-N-метилимидазола, перемешивают. Смесь охлаждают до 0 - 5 °С, помещая пробирки в ледяную баню, добавляют по каплям 0,3 см3 реактива для дериватизации (приготовленного по п. 7.3), перемешивают и выдерживают час при комнатной температуре. Затем в каждую пробирку вносят по 2 см3 ацетонитрила, тщательно перемешивают, получают рабочие растворы № 2а - 6а флуорогенного производного с содержанием моксидектина 0,005, 0,01; 0,02; 0,05 и 0,1 мкг соответственно.
Растворы хранят в холодильнике (защищенном от света месте) при температуре (4 ± 2) °С в течение месяца. Срок хранения растворов при комнатной температуре в темноте - не более суток.
Градуировочную характеристику, выражающую зависимость площади пика (единицы люминесценции - ЕЛ⋅с) от содержания моксидектина в растворе (мкг), устанавливают методом абсолютной калибровки по 5 растворам флуорогенного производного моксидектина № 2а - 6а для градуировки.
В инжектор хроматографа вводят по 50 мм3 каждого градуировочного раствора и анализируют в условиях хроматографирования по п. 9.4. Осуществляют не менее 3 параллельных измерений.
Патрон для твердофазной экстракции устанавливают на аллонж с прямым отводом для вакуума*, сверху в патрон вставляют шприц с разъемом Льюера объемом не менее 10 см3, используемый в качестве емкости для элюента.
________
* В отсутствии специального аллонжа, жидкость продавливают через патрон с помощью шприца медицинского, скорость продавливания раствора не должна превышать 1 - 2 капли в секунду.
Концентрирующий патрон промывают 5 см3 метанола, высушивают пропусканием воздуха (с использованием вакуума) в течение 5 мин. Затем через патрон пропускают 5 см3 гексана. Процедуру проводят с использованием вакуума, скорость потока растворов через патрон не должна превышать 5 см3/мин, при этом нельзя допускать высыхания поверхности патрона.
Отбор проб продуктов питания осуществляется в соответствии с требованиями ГОСТ на исследуемые продукты: ГОСТ 7269-79 «Мясо. Методы отбора образцов и органолептические методы определения свежести», ГОСТ 3622-68 «Молоко и молочные продукты. Отбор проб и подготовка их к испытанию».
Обобранные образцы продуктов герметично упаковывают в полиэтиленовые мешки, стеклянные банки с притертыми крышками. Образцы анализируют непосредственно после отбора проб или хранят в морозильной камере при -20 °С.
Перед анализом образцы мяса массой 200 - 300 г тщательно измельчают с использованием гомогенизатора. Пробу гомогенизированного образца массой 10 г, а также молока массой 5 г взвешивают на аналитических весах в плоскодонных колбах вместимостью 250 см3.
К пробе гомогенизированного образца мяса массой 10 г или молока массой 5 г, помещенной в колбу вместимостью 250 см3, приливают 100 см3 ацетонитрила, тщательно перемешивают путем встряхивания, выдерживают на ультразвуковой бане 5 мин, помещают на встряхиватель на 30 мин, дополнительно выдерживают на ультразвуковой бане 5 мин и снова помещают на встряхиватель на 30 мин.
Колбы с экстрактами помещают на 30 мин в морозильную камеру. Затем надосадочную жидкость переносят в делительную воронку вместимостью 250 см3, фильтруя ее через тампон из стекловаты, помещенный в конусную химическую воронку. Добавляют 70 см3 гексана, интенсивно встряхивают в течение 1 мин. После полного разделения фаз нижний ацетонитрильный слой сливают в круглодонную колбу и упаривают досуха на ротационном вакуумном испарителе при температуре не более 40 °С. Сухой остаток растворяют в смеси 14 см3 ацетонитрила и 56 см3 воды, помещая на ультразвуковую баню на 1 мин. Раствор переносят в делительную воронку вместимостью 250 см3, добавляют 70 см3 гексана, интенсивно встряхивают воронку в течение 1 мин. Верхний органический слой собирают в круглодонную колбу вместимостью 250 см3. Водно-ацетонитрильную фазу вновь переносят в делительную воронку и повторяют операцию экстракции, используя 70 см3 гексана.
Объединенную органическую фазу упаривают досуха на ротационном вакуумном испарителе при температуре не более 40 °С. Сухой остаток растворяют в 5 см3 ацетонитрила. Аликвоту раствора объемом 1 см3, (1/5 часть пробы, эквивалентная 1 г молока и 2 г мяса) переносят в градуированную пробирку на 5 см3 и подвергают дериватизации по п. 9.2.
К ацетонитрильному раствору прибавляют 0,1 см3 1-N-метилимидазола, перемешивают. Смесь охлаждают до 0 - 5 °С, помещая колбу в ледяную баню, добавляют по каплям 0,3 см3 реактива для дериватизации (п. 7.3), перемешивают и выдерживают час при комнатной температуре. Затем в пробирку вносят по 2 см3 ацетонитрила, тщательно перемешивают.
Дериватизированные экстракты проб молока анализируют в условиях хроматографирования по п. 9.4.
Дериватизированные экстракты проб мяса подвергают дополнительной очистке по п. 9.3.
Аликвоту раствора после дериватизации объемом 1,7 см3 переносят в градуированную пробирку вместимостью 10 см3, добавляют 5 см3 гексана, интенсивно встряхивают в течение 1 мин, верхний гексановый слой отбирают с помощью пипетки, перенося в колбу вместимостью 25 см3, операцию экстракции повторяют новой порцией гексана объемом 5 см3. Верхний гексановый слой также переносят в колбу, объединяя с первым экстрактом. Объединенный гексановый экстракт вносят на патрон для твердофазной экстракции, подготовленный по п. 7.7. Скорость прохождения раствора через патрон не должна превышать 1 - 2 капли в секунду. Элюат собирают непосредственно в круглодонную колбу.
Флуорогенное производное моксидектина дополнительно элюируют с патрона 5 см3 гексана, также объединяя элюат с первой порцией в круглодонной колбе. Раствор упаривают досуха при температуре не выше 35 °С. Остаток в колбе растворяют в 1,7 см3 ацетонитрила и анализируют на содержание моксидектина по п. 9.4.
Измерения выполняют при следующих режимных параметрах.
Жидкостный хроматограф с флуориметрическим детектором с переменной длиной волны, снабженный дегазатором, автоматическим пробоотборником, термостатом колонки.
Длина волны: возбуждение 365 нм;
эмиссия 470 нм.
Хроматографическая колонка стальная длиной 150 мм, внутренним диаметром 4,6 мм, заполненная обращенно-фазным сорбентом с привитыми монофункциональными полярными группами С18, зернением 5 мкм.
Температура колонки: 35 °С.
Скорость потока элюента: 1,0 см3/мин.
Объем вводимой пробы: 50 мм3.
Подвижная фаза: ацетонитрил - 0,1 % ортофосфорная кислота (95:5, по объему).
Линейный диапазон детектирования 0,25 - 2,5 нг.
Пробу вводят в инжектор хроматографа. Устанавливают площадь пика флуорогенного производного моксидектина.
Образцы, дающие пики большие, чем градуировочный раствор флуорогенного производного моксидектина с содержанием 0,1 мкг, разбавляют ацетонитрилом (не более чем в 50 раз).
Содержание моксидектина в пробах (X, мг/кг) рассчитывают по формуле:
|
|
Sпp. - площадь пика флуорогенного производного моксидектина в анализируемом образце (ЕЛ⋅с);
С - содержание моксидектина в градуировочном растворе, мкг;
Snp. - площадь пика флуорогенного производного моксидектина в градуировочном растворе (ЕЛ⋅с);
m - масса анализируемого образца, г;
D - коэффициент, учитывающий объем экстракта, взятого для анализа, D = 5 (молоко); D = 10 (мясо).
За результат анализа принимают среднее арифметическое результатов двух параллельных определений, расхождение между которыми не превышает предел повторяемости:
X1, Х2 - результаты параллельных определений, мг/кг;
r - значение предела повторяемости (табл. 1), при этом r = 2,8σr.
При невыполнении условия (1) выясняют причины превышения предела повторяемости, устраняют их и вновь выполняют анализ.
Результат анализа представляют в виде:
|
|
- среднее арифметическое результатов
определений, признанных приемлемыми, мг/кг;
Δ - граница абсолютной погрешности, мг/кг:
|
|
δ - граница относительной погрешности методики (показатель точности в соответствии с диапазоном концентраций, табл. 1), %.
Если содержание компонента менее нижней границы диапазона определяемых концентраций, результат анализа представляют в виде:
«содержание моксидектина в пробах молока и мяса - менее 0,005 мг/кг»*.
________
* - 0,005 мг/кг - предел обнаружения.
Оперативный контроль погрешности и воспроизводимости измерений осуществляется в соответствии с ГОСТ Р ИСО 5725-1-6-02 «Точность (правильность и прецизионность) методов и результатов измерений».
13.1. Контроль стабильности градуировочной характеристики.
Контроль стабильности градуировочной характеристики проводят в начале и по окончании каждой серии анализов.
При контроле стабильности градуировочной характеристики проводят измерения не менее двух образцов концентраций для градуировки, содержание моксидектина в которых должно охватывать весь диапазон от 0,005 до 0,1 мкг.
Градуировочная характеристика считается стабильной, если для каждого градуировочного раствора, используемого для контроля, сохраняется соотношение:
|
|
(2) |
X - содержание моксидектина в пробе при контрольном измерении, мкг;
С - известное содержание моксидектина в градуировочном растворе, взятом для контроля стабильности градуировочной характеристики, мкг;
В - норматив контроля погрешности градуировочной характеристики, % (равен 10 % при Р = 0,95).
Если величина расхождения (А) превышает 10 %, делают вывод о невозможности применения градуировочной характеристики для дальнейших измерений. В этом случае выясняют и устраняют причины нестабильности градуировочной характеристики и повторяют контроль ее стабильности с использованием других градуировочных растворов флуорогенного производного моксидектина, предусмотренных МВИ. При повторном обнаружении нестабильности градуировочной характеристики устанавливают ее заново согласно п. 7.6.
Стабильность результатов измерений контролируют перед проведением измерений, анализируя один из градуировочных растворов.
13.2. Плановый внутрилабораторный оперативный контроль процедуры выполнения анализа проводится методом добавок.
Величина добавки Сд должна удовлетворять условию:
|
|
- характеристика погрешности
(абсолютная погрешность) результатов анализа, соответствующая содержанию
компонента в испытуемом образце (расчетному значению содержания компонента в
образце с добавкой соответственно), мг/кг.
Допустимо характеристику погрешности результатов анализа при внедрении методики в лаборатории устанавливать на основе выражения Δл = ±0,84Δ с последующим уточнением по мере накопления информации:
|
Δл = ±0,84⋅Δ, где |
Δ - граница абсолютной погрешности, мг/кг:
|
|
δ - граница относительной погрешности методики (показатель точности в соответствии с диапазоном концентраций, табл. 1), %.
Контроль проводят путем сравнения результата контрольной процедуры Кк с нормативом контроля К.
Результат контрольной процедуры Кк рассчитывают по формуле:
|
|
, Сд - среднее
арифметическое результатов параллельных определений (признанных приемлемыми по
п. 11) содержания
компонента в образце с добавкой, испытуемом образце, концентрация добавки
соответственно, мг/кг.
Норматив контроля К рассчитывают по формуле:
|
|
Проводят сопоставление результата контрольной процедуры (Кк) с нормативом контроля (К).
Если результат контрольной процедуры удовлетворяет условию
|
|Кк| ≤ К, |
(3) |
процедуру анализа признают удовлетворительной.
При невыполнении условия (3) процедуру контроля повторяют. При повторном невыполнении условия (3) выясняют причины, приводящие к неудовлетворительным результатам, и принимают меры по их устранению.
13.3. Проверка приемлемости результатов измерений, полученных в условиях воспроизводимости.
Расхождение между результатами измерений, выполненных в условиях воспроизводимости (разное время, разные операторы, разные лаборатории), не должно превышать предел воспроизводимости (R):
|
|
(4) |
X1, Х2 - результаты измерений, выполненных в условиях воспроизводимости (разное время, разные операторы, разные лаборатории), мг/кг;
R - предел воспроизводимости (в соответствии с диапазоном концентраций, табл. 1), %.