Государственное санитарно-эпидемиологическое
нормирование
Российской Федерации
4.1. МЕТОДЫ КОНТРОЛЯ. ХИМИЧЕСКИЕ ФАКТОРЫ
Определение остаточных количеств
тиенкарбазон-метила в зерне
и соломе зерновых колосовых культур
методом высокоэффективной
жидкое гной хроматографии
Методические указания
МУК 4.1.3210-14
Москва 2015
1. Разработаны Российским государственным аграрным университетом - МСХА им. К.А. Тимирязева, Учебно-научный консультационный центр «Агроэкология пестицидов и агрохимикатов», Минсельхоза России (В.А. Калинин, Е.В. Довгилевич, А.В. Довгилевич, Е.Н. Тестова)
2. Рекомендованы к утверждению Комиссией по государственному санитарно-эпидемиологическому нормированию Федеральной службы по надзору в сфере защиты прав потребителей и благополучия человека (протокол № 1 от 26 июня 2014 г.).
3. Утверждены руководителем Федеральной службы по надзору в сфере защиты прав потребителей и благополучия человека, Главным государственным санитарным врачом Российской Федерации А.Ю. Поповой 30 июля 2014 г.
4. Введены впервые.
СОДЕРЖАНИЕ
|
УТВЕРЖДАЮ Руководитель
Федеральной службы ______________________ А.Ю. Попова 30 июля 2014 г. |
4.1. МЕТОДЫ КОНТРОЛЯ. ХИМИЧЕСКИЕ ФАКТОРЫ
Определение остаточных количеств
тиенкарбазон-метила в зерне и соломе зерновых
колосовых культур методом высокоэффективной
жидкостной хроматографии
Методические указания
МУК 4.1.3210-14
Свидетельство о метрологической аттестации № 01.00282-2008/0192.19.12.13 от 19.12.2013.
Настоящие методические указания устанавливают порядок применения метода высокоэффективной жидкостной хроматографии для определения уровня остаточных количеств тиенкарбазон-метила в зерне зерновых колосовых культур в диапазоне 0,01 - 0,1 мг/кг и в соломе зерновых колосовых культур в диапазоне 0,05 - 0,5 мг/кг. Методические указания носят рекомендательный характер.
Название действующего вещества по ИСО: тиенкарбазон-метил.
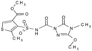
Название действующего вещества по ИЮПАК: 3-тиофенкарбоновая кислота, 4-[[[(4,5-дигидро-3-метокси-4-метил-5-оксо-1Н-1,2,4-триазол-1-ил)карбонил]амино]сульфонил]-5-метил, метиловый эфир.
Структурная формула:

Эмпирическая формула: C12H14N4O7S2.
Молекулярная масса: 390,4.
Цвет, запах: химически чистый тиенкарбазон-метил представляет собой белый порошок с легким характерным запахом.
Температура плавления: > 401 °С.
Температура кипения и замерзания: не определена, т.к. разрушается при 140 °С.
Температура вспышки и воспламенения: более 386 °С.
Плотность: 1,51 г/см3 при 20 °С.
Давление паров в мм. рт. ст.:
8,8×10-14 Па при 20 °С (экстраполированный);
3,7×10-13 Па при 25 °С (экстраполированный);
2,3×10-10 Па при 50 °С (экстраполированный).
Коэффициент распределения октанол-вода:
|
|
Pow |
Log Pow |
|
pH 4 |
0,738 |
-0,13 |
|
pH 7 |
0,010 |
-1,98 |
|
pH 9 |
0,0073 |
-2,14 |
Растворимость в воде: 72 мг/л (при 20 °С, pH 3,9).
Растворимость в органических растворителях (г/дм3 при 20 °С): дихлорметан - 100 - 120, ацетон - 9,54, этилацетат - 2,19, толуен - 0,91, этанол - 0,23, n-гексан - 0,15×10-3.
Краткая токсикологическая характеристика. Тиенкарбазон-метил относится к мало опасным по острой оральной (ЛД50 для крыс более 2000 мг/кг) и дермальной токсичности (ЛД50 для крыс более 2000 мг/кг), но к умеренно опасным веществам по ингаляционной токсичности (ЛК50 для крыс (4 ч) более 2018 мг/м3 воздуха). Тиенкарбазон-метил нефро- и нейротоксичен.
В организме животных тиенкарбазон-метил метаболизируется слабо, в растениях разлагается быстро и полностью. Главными метаболитами в растениях являются BYH 18636-ММТ-глюкозид и BYH 18636-N-десметил. В полевых условиях ДТ50 тиенкарбазон-метила составляет от 3 до 44,6 дня, ДТ90 - от 9,9 до 148 дней. Тиенкарбазон-метил фотолитически стабилен. ДТ50 в воде составляет от 130 до 148 дней.
Область применения. Тиенкарбазон-метил - гербицид системного действия, быстро поглощается листьями и корневой системой сорняков, свободно перемещается по всему растению с нисходящими и восходящими токами питательных веществ. Благодаря системному действию препарат проникает во все части растения, включая «спящие» почки. На биохимическом уровне гербицид воздействует на фермент ацетолактатсинтазу (ALS), участвующий в цепи биосинтеза аминокислот, и нарушает процессы синтеза белков, что вызывает прекращение деления клеток в меристемных тканях сорных растений.
Рекомендуется как довсходовый и послевсходовый гербицид для контроля однолетних и многолетних злаковых и двудольных сорняков на посевах кукурузы. Рекомендуемая норма расхода препарата 0,4 - 0,5 л/га. Способ применения - наземное опрыскивание почвы до всходов культуры (без заделки) или в фазу 2 - 3 листьев культуры.
В России установлены следующие гигиенические нормативы:
ДСД - 0,2 мг/кг массы человека;
ОДК в почве - 0,9 мг/кг;
ПДК в воде водоемов - 0,05 мг/дм3;
ОБУВ в воздухе рабочей зоны - 1,0 мг/м3;
ОБУВ в атмосферном воздухе - 0,02 мг/м3;
МДУ в продукции (мг/кг): кукуруза (зерно, масло) - 0,5.
При соблюдении всех регламентированных условий проведения анализа в точном соответствии с данной методикой погрешность (и ее составляющие) результатов измерений при доверительной вероятности Р = 0,95 не превышает значений, приведенных в табл. 1 для соответствующих диапазонов концентраций.
Метрологические параметры для тиенкарбазон-метила
|
Анализируемый объект |
Диапазон определяемых концентраций, мг/кг |
Показатель точности (граница относительной погрешности), ±δ, % Р = 0,95 |
Стандартное отклонение повторяемости, σr, % |
Предел повторяемости, r, % |
Предел воспроизводимости, R, % |
|
Зерно пшеницы |
0,01 - 0,1 вкл. |
50 |
1,53 |
4,25 |
5,96 |
|
Солома пшеницы |
0,05 - 0,1 вкл. |
50 |
1,74 |
4,84 |
6,77 |
|
0,2 - 0,5 вкл. |
25 |
1,72 |
4,78 |
6,69 |
Полнота извлечения вещества, стандартное отклонение, доверительные интервалы среднего результата для полного диапазона концентраций (n = 20) приведены в табл. 2.
|
Анализируемый объект |
Метрологические параметры, Р = 0,95, n = 20 |
||||
|
Предел обнаружения, мг/кг |
Диапазон определяемых концентраций, мг/кг |
Полнота извлечения вещества, % |
Стандартное отклонение, S, % |
Доверительный интервал среднего результата, ±, % |
|
|
Зерно пшеницы |
0,01 |
0,01 - 0,1 |
72,81 |
2,11 |
0,72 |
|
Солома пшеницы |
0,05 |
0,05 - 0,5 |
72,38 |
1,57 |
0,53 |
Метод основан на определении тиенкарбазон-метила методом высокоэффективной жидкостной хроматографии (ВЭЖХ) с использованием диодно-матричного детектора после его экстракции из образцов органическим растворителем, очистки экстракта перераспределением между двумя несмешивающимися фазами, на концентрирующих патронах № 1 и на колонках с окисью алюминия.
Идентификация веществ проводится по времени удерживания, а количественное определение - методом абсолютной калибровки.
В предлагаемых условиях анализа метод специфичен. Специфичность обеспечивается подбором состава подвижной фазы и выбором колонок различной полярности.
|
Весы аналитические класса точности по ГОСТ Р 53228-08 - специальный (I), с наибольшим пределом взвешивания до 110 г и дискретностью 0,0001 г |
|
|
Весы лабораторные общего назначения класса точности по ГОСТ Р 53228-08 - средний (III) с наибольшим пределом взвешивания до 600 г и пределом допустимой погрешности ±0,038 г |
|
|
Колбы мерные на 10, 25, 50, 100, 500 и 1000 см3 |
|
|
Пипетки мерные на 1,0; 2,0; 5,0 см3 |
|
|
рН-метр/милливольтметр с диапазоном измерения 0 … 14 pH; ±1999 мВ |
|
|
Хроматографическая система, включающая: - хроматограф жидкостный с диодно-матричным детектором, снабженный термостатом для колонок с диапазоном температур от 15 до 80 °С и стандартным автосамплером с дозирующим объемом от 0,1 до 100 мм3 для автоматического ввода пробы в хроматографическую систему; - компьютерное программное обеспечение, контролирующее работу всего прибора, обеспечивающее сбор и хранение всех хроматограмм в процессе проведения хроматографического анализа, обеспечивающее обработку результатов измерений, вывод и расчет хроматограмм и количественный анализ |
|
|
Цилиндры мерные на 10, 25 и 50 см3 |
Примечание. Допускается использование средств измерений с аналогичными или лучшими характеристиками.
|
Тиенкарбазон-метил, аналитический стандарт с содержанием действующего вещества не менее 99,6 % |
CAS 317815-83-1 |
|
Алюминия окись для хроматографии, ч |
ТУ 6-09-3916-75 |
|
Ацетон, осч |
ТУ 6-09-3513-86 |
|
Ацетонитрил, осч, УФ-200 нм |
ТУ 6-09-2167-84 |
|
Вода дистиллированная и (или) бидистиллированная (вода дистиллированная, перегнанная повторно в стеклянной емкости) |
|
|
Гелий, очищенный |
ТУ 51-940-80 |
|
n-Гексан, хч |
ТУ 6-09-3818-89 |
|
Калий марганцово-кислый, чда |
|
|
Кальций хлористый, ч |
ТУ 6-09-4711-81 |
|
Калий фосфорнокислый двузамещённый, 3-водный, чда |
|
|
Кислота соляная, хч |
|
|
Кислота муравьиная, чда |
|
|
Кислота уксусная, ледяная |
|
|
Концентрирующие патроны для твердофазной экстракции с гидрофильным нейтральным сорбентом с размером частиц 63 - 200 мкм с привитыми диольными группами (объем - 1 см3, масса сорбента - 0,6 г), (патрон № 1) |
ТУ 4215-002-05451931-94 |
|
Метилен хлористый, хч |
ТУ 2631-019-44493179-98 |
|
Натрий серно-кислый, безводный, хч |
|
|
Натрий хлористый, хч |
|
|
Натрий углекислый, кислый, хч |
|
|
Натрия гидроокись, хч |
|
|
Этилацетат, чда |
Примечание. Допускается использование реактивов иных производителей с аналогичными или лучшими характеристиками.
|
Алонж прямой с отводом для вакуума для работы с концентрирующими патронами |
|
|
Аппарат для встряхивания проб с возвратно-поступательным направлением колебаний, с максимальной загрузкой 10 кг, с амплитудой колебаний 30 мм и скоростью от 10 до 300 колебаний в минуту |
|
|
Банки полипропиленовые с крышками для экстракции вместимостью 250 см3 |
|
|
Ванна ультразвуковая с потребляемой мощностью 140 Вт, рабочей частотой 50 Гц, рабочим объемом 4,5 дм3 |
|
|
Вата медицинская гигроскопическая хлопковая нестерильная |
|
|
Воронки делительные на 250 см3 |
|
|
Воронки лабораторные, стеклянные |
|
|
Испаритель ротационный вакуумный с ручным подъемником, с диагональным конденсором и объемом испарительной колбы от 50 до 3000 см3, с изменяемой скоростью вращения штока испарителя от 5 до 240 об./мин, с водяной баней с антикоррозионным покрытием объемом 5 дм3 и с диапазоном температур от 20 до 100 °С |
|
|
Колбы конические плоскодонные на 100, 250 и 1000 см3 |
|
|
Колбы круглодонные со шлифом (концентраторы) на 100, 250 и 4000 см3 |
ТС ТУ 92-891.029-91 |
|
Колонка хроматографическая стальная, длиной 150 мм, с внутренним диаметром 3,9 мм, зернением 5 мкм, заполненная сорбентом с привитыми полярными группами С18 |
|
|
Насос диафрагменный, химически стойкий на 100 %, с мощностью электропривода 245 Вт, предельным вакуумом 100 мбар/абс., с избыточным давлением 1 бар и скоростью откачки 34 дм3/мин |
|
|
Предколонка хроматографическая стальная, длиной 12,5 мм, внутренним диаметром 2,1 мм, зернением 5 мкм, заполненная сорбентом с привитыми полярными группами С8 |
|
|
Стаканы стеклянные, термостойкие объемом 100 - 500 см3 |
|
|
Установка для перегонки растворителей с круглодонной колбой объемом 4000 см3 и приемной конической колбой объемом 1000 см3 |
|
|
Фильтры обеззоленные нейтральные, быстро фильтрующие, диаметром 11 см, зольность одного фильтра 0,00072 г |
ТУ-6-09-1678-86 |
|
Фильтры для очистки растворителей, диаметром 20 мм с отверстиями пор 20 мкм |
|
|
Шприц инъекционный многократного применения объемом 10 см3 |
Примечание. Допускается применение оборудования с аналогичными или лучшими техническими характеристиками.
4.1. При выполнении измерений необходимо соблюдать требования техники безопасности при работе с химическими реактивами по ГОСТ 12.1.007-76, требования электробезопасности при работе с электроустановками по ГОСТ Р 12.1.019-09, а также требования, изложенные в технической документации на газовый хроматограф.
4.2. Помещение должно соответствовать требованиям пожаробезопасности по ГОСТ 12.1.004-91 и иметь средства пожаротушения по ГОСТ 12.4.009-83. Содержание вредных веществ в воздухе не должно превышать норм, установленных ГН 2.2.5.1313-03 «Предельно допустимые концентрации (ПДК) вредных веществ в воздухе рабочей зоны». Организация обучения работников безопасности труда - по ГОСТ 12.0.004-91.
К выполнению измерений и обработке их результатов допускаются специалисты, имеющие опыт работы в химической лаборатории, прошедшие обучение и владеющие техникой проведения анализа, освоившие метод анализа в процессе тренировки и уложившиеся в нормативы контроля при проведении процедуры контроля погрешности анализа.
При выполнении измерений соблюдают следующие условия:
- процессы приготовления растворов и подготовки проб к анализу проводят при температуре воздуха (20 ± 5) °С, относительной влажности не более 80 % и нормальном атмосферном давлении;
- выполнение измерений на жидкостном хроматографе проводят в условиях, рекомендованных технической документацией к прибору.
Выполнению измерений предшествуют следующие операции: очистка растворителей (при необходимости), приготовление растворов, кондиционирование хроматографической колонки, подготовка колонок с окисью алюминия, концентрирующих патронов № 1 для очистки экстракта, проверка хроматографического поведения вещества на колонках с окисью алюминия и на концентрирующих патронах № 1, установление градуировочной характеристики.
7.1.1. Очистка ацетонитрила
Ацетонитрил, содержащий воду, предварительно осушают, добавляя в него гранулированный безводный хлористый кальций из расчета не менее 100 г/дм3. Выдерживают его над осушителем в течение 5 - 6 ч. Затем ацетонитрил сливают с осушителя в круглодонную колбу со шлифом объемом 4000 см3 аппарата для перегонки растворителей.
Ацетонитрил перегоняют при температуре 81,5 °С, а фракции, отогнанные при температуре ниже и выше 81,5 °С, отбрасывают.
7.1.2. Очистка ацетона
Ацетон помещают в круглодонную колбу со шлифом объемом 4000 см3 от аппарата для перегонки растворителей, добавляют к нему марганцово-кислый калий из расчета 1 г/дм3.
Ацетон перегоняют при температуре 56,2 °С, а фракции, отогнанные при температуре ниже и выше 56,2 °С, отбрасывают.
7.1.3. Приготовление бидистиллированной воды
Дистиллированную воду помещают в круглодонную колбу со шлифом объемом 4000 см3 от аппарата для перегонки растворителей, добавляют к ней марганцово-кислый калий из расчета 1 г/дм3 и кипятят в течение 6 ч.
Собирают фракции, отогнанные при температуре 100,0 °С, а фракции, отогнанные при температуре ниже и выше 100,0 °С, отбрасывают.
7.1.4. Очистка хлористого метилена
Хлористый метилен промывают равным объемом 5 %-го раствора натрия углекислого (безводного), осушают, добавляя в него гранулированный безводный хлористый кальций из расчета не менее 100 г/дм3. Выдерживают его над осушителем в течение 12 - 24 ч. Затем хлористый метилен сливают с осушителя в круглодонную колбу со шлифом объемом 4000 см3 аппарата для перегонки растворителей. Хлористый метилен перегоняют при температуре 40,0 °С, а фракции, отогнанные при температуре ниже и выше 40,0 °С, отбрасывают.
7.1.5. Очистка этил ацетата
Этилацетат промывают равным объемом 5 %-го раствора натрия углекислого (безводного), осушают, добавляя в него гранулированный безводный хлористый кальций из расчета не менее 100 г/дм3. Выдерживают его над осушителем в течение 12 - 24 ч. Затем этилацетат сливают с осушителя в круглодонную колбу со шлифом объемом 4000 см3 аппарата для перегонки растворителей. Этилацетат перегоняют при температуре 77,1 °С, а фракции, отогнанные при температуре ниже и выше 77,1 °С, отбрасывают.
7.2.1. Приготовление подвижной фазы для ВЭЖХ
Для приготовления подвижной фазы используют свежеперегнанный ацетонитрил, очищенную воду и муравьиную кислоту.
В плоскодонную колбу объемом 1000 см3 помещают 400 см3 ацетонитрила, 600 см3 очищенной воды и 1 см3 муравьиной кислоты. Смесь тщательно перемешивают, пропускают через нее газообразный гелий со скоростью 20 см3/мин в течение 5 мин, после чего помещают в ультразвуковую ванну для удаления растворенных газов на 1 мин.
7.2.2. Приготовление рабочих растворов
7.2.2.1. Приготовление 6 М раствора соляной кислоты
Мерным цилиндром отбирают 246 см3 концентрированной соляной кислоты и осторожно переносят в мерную колбу на 500 см3, куда предварительно наливают около 100 см3 дистиллированной воды. Затем раствор перемешивают и после охлаждения доводят водой объем в колбе до метки (при приготовлении раствора следует соблюдать осторожность и работать под тягой).
7.2.2.2. Приготовление 1 М раствора гидроокиси натрия
В мерную колбу на 500 см3 переносят 20 г гидроокиси натрия, добавляют 200 - 300 см3 дистиллированной воды. Затем раствор перемешивают и после охлаждения доводят водой объем в колбе до метки (при приготовлении раствора следует соблюдать осторожность и работать под тягой).
7.2.2.3. Приготовление 0,05 М раствора двузамещенного фосфорнокислого калия.
В мерную колбу на 500 см3 переносят 5,7 г двузамещенного фосфорнокислого калия и 50 г хлористого натрия, добавляют 200 - 300 см3 бидистиллированной воды, перемешивают до полного растворения солей, проверяют pH полученного раствора. Если pH раствора менее 9, доводят его до указанного значения с помощью 1 М раствора гидроокиси натрия, контролируя pH. После достижения нужного значения pH объем доводят водой до метки.
7.2.3. Приготовление градуировочных растворов
7.2.3.1. Стандартный раствор № 1 с концентрацией тиенкарбазон-метила 1,0 мг/см3.
Взвешивают 50 мг тиенкарбазон-метила в мерной колбе объемом 50 см3. Навеску растворяют в ацетонитриле и доводят объем до метки ацетонитрилом. Полученный стандартный раствор № 1 используют для приготовления стандартных растворов для хроматографического исследования и установления градуировочной характеристики. Стандартный раствор № 1 хранится в холодильнике в течение 6 месяцев.
7.2.3.2. Стандартный раствор № 2 с концентрацией тиенкарбазон-метила 10,0 мкг/см3.
Из стандартного раствора № 1 отбирают пипеткой 1 см3, помещают в мерную колбу объемом 100 см3 и доводят объем до метки ацетонитрилом. Стандартный раствор № 2 используют для приготовления стандартных растворов для установления градуировочной характеристики. Стандартный раствор № 2 хранится в холодильнике не более 30 суток.
7.2.3.3. Стандартный раствор № 3 с концентрацией тиенкарбазон-метила 1,0 мкг/см3.
Из стандартного раствора № 2 отбирают пипеткой 1 см3, помещают в мерную колбу объемом 10 см3 и доводят объем до метки смесью ацетонитрила с водой в соотношении 1:1 при перемешивании. Стандартный раствор № 3 используют для установления градуировочной характеристики и хранят в холодильнике не более 30 суток.
7.2.3.4. Стандартный раствор № 4 с концентрацией тиенкарбазон-метила 0,5 мкг/см3.
Из стандартного раствора № 3 отбирают пипеткой 5 см3, помещают в мерную колбу объемом 10 см3 и доводят объем до метки смесью ацетонитрила с водой в соотношении 1:1 при перемешивании. Стандартный раствор № 4 используют для установления градуировочной характеристики и хранят в холодильнике не более 30 суток.
7.2.3.5. Стандартный раствор № 5 с концентрацией тиенкарбазон-метила 0,2 мкг/см3.
Из стандартного раствора № 2 отбирают пипеткой 1 см3, помещают в мерную колбу объемом 50 см3 и доводят объем до метки смесью ацетонитрила с водой в соотношении 1:1 при перемешивании. Стандартный раствор № 5 используют для установления градуировочной характеристики и хранят в холодильнике не более 30 суток.
7.2.3.6. Стандартный раствор № 6 с концентрацией тиенкарбазон-метила 0,1 мкг/см3.
Из стандартного раствора № 2 отбирают пипеткой 1 см3, помещают в мерную колбу объемом 100 см3 и доводят объем до метки смесью ацетонитрила с водой в соотношении 1:1 при перемешивании. Стандартный раствор № 6 используют для установления градуировочной характеристики и хранят в холодильнике не более 30 суток.
7.2.3.7. Стандартные растворы тиенкарбазон-метила с концентрацией 2,5; 2,0; 1,0; 0,5; 0,4; 0,25 и 0,2 мкг/см3 для внесения в образцы.
Методом последовательного разведения ацетонитрилом стандартного раствора № 2 готовят растворы, содержащие по 2,5; 2,0; 1,0; 0,5; 0,4; 0,25 и 0,2 мкг/см3 и используют эти растворы для внесения в контрольные образцы.
Градуировочную характеристику, выражающую зависимость площади (высоты) пика от концентрации тиенкарбазон-метила в растворе (мкг/см3), устанавливают методом абсолютной калибровки по 4 растворам для градуировки с концентрацией 1,0; 0,5; 0,2 и 0,1 мкг/см3.
В инжектор хроматографа вводят по 10 мм3 каждого градуировочного раствора и анализируют в условиях хроматографирования по п. 9.3. Осуществляют не менее 5-ти параллельных измерений.
7.4.1. Подготовка колонки с окисью алюминия для очистки экстракта
В пластиковую или стеклянную колонку диаметром 15 мм помещают 3 г окиси алюминия с зернением 40/250 меш. и, аккуратно постукивая по стенкам колонки, формируют слой адсорбента. Непосредственно перед использованием колонку промывают 10 см3 ацетонитрила.
7.4.2.
Проверка хроматографического поведения тиенкарбазон-метила
на колонке с окисью алюминия
В концентратор объемом 100 см3 вносят 1 см3 стандартного раствора тиенкарбазон-метила в ацетонитриле с концентрацией 1,0 мкг/см3 и выпаривают его досуха на ротационном вакуумном испарителе при температуре не выше 30 °С. Сухой остаток растворяют в 10 см3 ацетонитрила, тщательно обмывают стенки концентратора и наносят на подготовленную колонку. Элюат собирают в концентратор и выпаривают досуха при температуре не выше 30 °С. Исходную колбу обмывают пятью порциями смеси ацетонитрила с уксусной кислотой в соотношении 99:1 объемом 10 см3 каждая и последовательно вносят их на колонку. Каждую порцию собирают отдельно в концентратор объемом 100 см3 и выпаривают досуха на ротационном вакуумном испарителе при температуре не выше 30 °С.
Сухой остаток каждой фракции растворяют в 2 см3 смеси ацетонитрила с водой в соотношении 1:1 и 20 мм3 пробы вводят в хроматограф.
Определяют фракции, содержащие тиенкарбазон-метил, полноту смывания с колонки и необходимый объём элюата.
Изучение поведения тиенкарбазон-метила на колонке проводят каждый раз при отработке методики или поступлении новой партии окиси алюминия.
7.5.1. Подготовка концентрирующих патронов № 1
для очистки экстракта
Все процедуры происходят с использованием вакуума, скорость потока растворов через патрон не должна превышать 5 см3/мин (1 - 2 кап./с).
Патрон № 1 устанавливают на алонж с отводом для вакуума, сверху в патрон вставляют шприц с разъемом типа Люер объемом не менее 10 см3 (используют как емкость для элюентов).
Кондиционирование: концентрирующий патрон промывают 5 см3 смеси гексана с этилацетатом в соотношении 1:1, затем 10 см3 гексана. Элюаты отбрасывают.
Нельзя допускать высыхания поверхности патрона.
7.5.2.
Проверка хроматографического поведения тиенкарбазон-метила
на концентрирующих патронах № 1
Из стандартного раствора тиенкарбазон-метила в ацетонитриле, содержащего 1 мкг/см3, отбирают 1 см3, помещают в концентратор объемом 100 см3 и выпаривают на ротационном вакуумном испарителе досуха при температуре не выше 30 °С. Сухой остаток растворяют в 1 см3 этилацетата, тщательно обмывая стенки концентратора, прибавляют 9 см3 гексана, перемешивают и вносят на патрон. Элюат собирают в концентратор, выпаривают досуха на ротационном вакуумном испарителе при температуре не выше 30 °С, сухой остаток растворяют в 2 см3 смеси ацетонитрила с водой в соотношении 1:1 и 10 мм3 хроматографируют. Исходный концентратор обмывают последовательно 10 см3 смеси гексана с этилацетатом в соотношении 8:2, затем 10 см3 и двумя порциями по 5 см3 смеси гексана с этилацетатом в соотношении 1:1 и последовательно вносят их на патрон.
Элюат после прохождения каждой порции элюентов собирают в отдельные концентраторы объемом по 100 см3, выпаривают досуха на ротационном вакуумном испарителе при температуре не выше 30 °С, сухой остаток растворяют в 2 см3 смеси ацетонитрила с водой в соотношении 1:1 и 10 мм3 хроматографируют.
Определяют фракции, содержащие тиенкарбазон-метил, полноту смывания с патрона и необходимый объём элюента.
Изучение поведения тиенкарбазон-метила на концентрирующих патронах № 1 проводят каждый раз при отработке методики или поступлении новой партии концентрирующих патронов.
Хроматографическую колонку с предколонкой устанавливают в термостате хроматографа и стабилизируют при температуре 30 °С и скорости потока подвижной фазы 0,5 см3/мин 3 - 4 часа.
Отбор проб производится в соответствии с «Унифицированными правилами отбора проб сельскохозяйственной продукции, пищевых продуктов и объектов окружающей среды для определения микроколичеств пестицидов» № 2051-79 от 21.08.79, а также в соответствии с ГОСТ 13586.3-83 «Зерно. Правила приемки и методы отбора проб», ГОСТ Р ИСО 6497-2011 «Корма растительного происхождения. Методы отбора проб».
Отобранные пробы зерна и соломы подсушивают до стандартной влажности и хранят в бумажных или тканевых мешочках в сухом, хорошо проветриваемом шкафу, недоступном для грызунов.
Образец измельченного зерна пшеницы массой 20 г помещают в полипропиленовую банку для экстракции объемом 250 см3, прибавляют 50 см3 ацетонитрила и помещают на 5 мин в ультразвуковую ванну, а затем на 5 мин на аппарат для встряхивания проб. Экстракт фильтруют в концентратор объемом 250 см3 через фильтр низкой плотности. Экстракцию повторяют еще два раза, используя по 50 см3 ацетонитрила и помещая на 5 мин в ультразвуковую ванну, а затем на 5 мин на аппарат для встряхивания проб. Экстракты объединяют в концентраторе объемом 250 см3 и выпаривают досуха на ротационном вакуумном испарителе при температуре не выше 30 °С.
9.1.2. Очистка экстракта перераспределением в системе
несмешивающихся растворителей
К сухому остатку в концентраторе, полученному по п. 9.1.1, прибавляют 5 см3 ацетона, обмывая стенки колбы, затем прибавляют 50 см3 щелочного буфера pH 9, перемешивают и переносят в делительную воронку объемом 250 см3. Полученную водную фракцию промывают двумя порциями хлористого метилена по 30 см3 каждая, встряхивая делительную воронку каждый раз по 2 мин. После полного разделения фаз в делительной воронке нижний слой (хлористый метилен) отбрасывают, а водную фракцию переносят в чистую делительную воронку и доводят pH раствора до значения 3,5 с помощью 6 М соляной кислоты.
Тиенкарбазон-метил экстрагируют тремя порциями хлористого метилена объемом по 20 см3, встряхивая делительную воронку каждый раз по 2 мин. После полного разделения фаз в делительной воронке нижний слой (хлористый метилен) собирают в концентратор объемом 250 см3, пропуская его через слой безводного сульфата натрия, и выпаривают досуха при температуре не выше 30 °С.
9.1.3. Очистка экстракта на концентрирующих патронах № 1
Сухой остаток, полученный по п. 9.1.2, растворяют в 1 см3 этилацетата, тщательно обмывая стенки концентратора, прибавляют 9 см3 гексана, перемешивают и вносят на подготовленный патрон. Элюат отбрасывают. Исходный концентратор обмывают 10 см3 смеси гексана с этилацетатом в соотношении 8:2, элюат также отбрасывают. Тиенкарбазон-метил элюируют 15 см3 смеси гексана с этилацетатом в соотношении 1:1. Элюат собирают в концентратор объемом 100 см3, выпаривают досуха на ротационном вакуумном испарителе при температуре не выше 30 °С.
Сухой остаток растворяют в 2 см3 смеси ацетонитрила с водой в соотношении 1:1 и 10 мм3 пробы вводят в хроматограф.
Образец измельченной соломы пшеницы массой 5 г помещают в полипропиленовую банку для экстракции объемом 250 см3, прибавляют 75 см3 ацетонитрила и помещают на 5 мин в ультразвуковую ванну, а затем на 5 мин на аппарат для встряхивания проб. Экстракт фильтруют в концентратор объемом 250 см3 через фильтр низкой плотности. Экстракцию повторяют еще два раза, используя по 50 см3 ацетонитрила и помещая на 5 мин в ультразвуковую ванну, а затем на 5 мин на аппарат для встряхивания проб. Экстракты объединяют в концентраторе объемом 250 см3 и выпаривают досуха на ротационном вакуумном испарителе при температуре не выше 30 °С.
9.2.2. Очистка экстракта перераспределением
в системе несмешивающихся растворителей
Сухой остаток, полученный по п. 9.2.1, растворяют в 5 см3 ацетона и проводят очистку экстракта перераспределением в системе несмешивающихся растворителей, как указано в п. 9.1.2.
9.2.3. Очистка экстракта на колонке с окисью алюминия
Сухой остаток, полученный в п. 9.2.2, растворяют в 10 см3 ацетонитрила, тщательно обмывая стенки концентратора, наносят на подготовленную колонку, элюат отбрасывают. Тиенкарбазон-метил элюируют 40 см3 смеси ацетонитрила с уксусной кислотой в соотношении 99:1. Элюат собирают в концентратор объемом 100 см3, выпаривают досуха на ротационном вакуумном испарителе при температуре не выше 30 °С.
Сухой остаток растворяют в 2,5 см3 смеси ацетонитрила с водой в соотношении 1:1 и 10 мм3 пробы вводят в хроматограф.
Хроматографическая система, включающая:
- хроматограф жидкостный с диодно-матричным детектором, снабженный термостатом для колонок с диапазоном температур от 15 до 80 °С и стандартным автосамплером с дозирующим объемом от 0,1 до 100 мм3 для автоматического ввода пробы в хроматографическую систему;
- компьютерное программное обеспечение, контролирующее работу всего прибора, обеспечивающее сбор и хранение всех хроматограмм в процессе проведения хроматографического анализа, обеспечивающее обработку результатов измерений, вывод и расчет хроматограмм и количественный анализ.
Колонка хроматографическая стальная, длиной 150 мм, с внутренним диаметром 3,9 мм, зернением 5 мкм, заполненная сорбентом с привитыми полярными группами С18.
Предколонка хроматографическая стальная, длиной 12,5 мм, внутренним диаметром 2,1 мм, зернением 5 мкм, заполненная сорбентом с привитыми полярными группами С8.
Температура колонки: 30 °С.
Подвижная фаза: ацетонитрил-вода-муравьиная кислота в соотношении 400:600:1.
Длина волны: 240 нм.
Чувствительность не менее 8 mAU (миллиединиц абсорбции) на шкалу.
Объем вводимой пробы: 10 мм3.
Линейный диапазон детектирования сохраняется в пределах 2 - 20 нг.
Содержание тиенкарбазон-метила в пробах рассчитывают по формуле:
|
|
X - содержание тиенкарбазон-метила в пробе, мг/кг;
Scm - высота (площадь) пика стандарта, мм;
Snp - высота (площадь) пика образца, мм;
А - концентрация стандартного раствора, мкг/см3;
V - объем экстракта, подготовленного для хроматографирования, см3;
m - масса анализируемого образца, г;
Р - содержание тиенкарбазон-метила в аналитическом стандарте, %.
За результат анализа принимают среднее арифметическое результатов двух параллельных определений, расхождение между которыми не превышает предела повторяемости (1):
X1, X2 - результаты параллельных определений, мг/кг или мг/дм3;
r - значение предела повторяемости (табл. 1), при этом r = 2,8×σr.
При невыполнении условия (1) выясняют причины превышения предела повторяемости, устраняют их и вновь выполняют анализ.
Результат анализа представляют в виде:
|
|
- среднее арифметическое результатов
определений, признанных приемлемыми, мг/кг;
Δ - граница абсолютной погрешности, мг/кг;
|
|
δ - граница относительной погрешности методики (показатель точности в соответствии с диапазоном концентраций, табл. 1), %.
В случае если содержание компонента менее нижней границы диапазона определяемых концентраций, результат анализа представляют в виде:
«содержание вещества в пробе менее 0,01 мг/кг».*
________
* - 0,01 мг/кг - предел обнаружения.
Оперативный контроль погрешности и воспроизводимости измерений, а также контроль стабильности градуировочной характеристики осуществляется в соответствии с ГОСТ Р ИСО 5725-1-6-2002 «Точность (правильность и прецизионность) методов и результатов измерений».
13.1. Контроль стабильности градуировочной характеристики.
Стабильность результатов измерений контролируют перед проведением измерений, анализируя один из градуировочных растворов.
Контроль стабильности градуировочной характеристики для тиенкарбазон-метила проводят при смене основного градуировочного раствора № 1 каждые 6 месяцев, при смене основных градуировочных растворов № 2, 3, 4, 5 и 6 - каждый месяц, а также в начале и при окончании каждой серии анализов.
При контроле стабильности градуировочной характеристики проводят измерения не менее трех образцов концентраций для градуировки, содержание тиенкарбазон-метила в которых должно охватывать весь диапазон концентраций от 0,1 до 1,0 мкг/см3.
Градуировочная характеристика считается стабильной, если для каждого из используемого для контроля градуировочного раствора сохраняется соотношение:
|
|
X - концентрация тиенкарбазон-метила контрольного измерения, мкг/см3;
С - известная концентрация градуировочного раствора тиенкарбазон-метила в смеси ацетонитрила с водой, взятая для контроля стабильности градуировочной характеристики, мкг/см3;
4,25 - погрешность градуировочной характеристики, %.
Если величина расхождения (А) превышает 4,25 %, делают вывод о невозможности применения градуировочной характеристики для дальнейших измерений. В этом случае выясняют и устраняют причины нестабильности градуировочной характеристики и повторяют контроль ее стабильности с использованием других градуировочных растворов тиенкарбазон-метила, предусмотренных методом выполнения измерений. При повторном обнаружении нестабильности градуировочной характеристики определяют ее заново согласно п. 7.3.
13.2. Плановый внутрилабораторный оперативный контроль процедуры выполнения анализа проводится методом добавок.
Величина добавки Сд должна удовлетворять условию:
|
|
- характеристика погрешности
(абсолютная погрешность) результатов анализа, соответствующая содержанию
компонента в испытуемом образце (расчетному значению содержания компонента в
образце с добавкой соответственно), мг/кг, при этом:
|
Δл = ±0,84⋅Δ, где |
Δ - граница абсолютной погрешности, мг/кг;
|
|
δ - граница относительной погрешности методики (показатель точности в соответствии с диапазоном концентраций, табл. 1), %.
Результат контроля процедуры Кк рассчитывают по формуле:
|
|
, Сд - среднее
арифметическое результатов параллельных определений (признанных приемлемыми по
п. 11), содержания
компонента в образце с добавкой, испытуемом образце и концентрация добавки,
соответственно, мг/кг.
Норматив контроля К рассчитывают по формуле:
|
|
Проводят сопоставление результата контроля процедуры (Кк) с нормативом контроля (К).
Если результат контроля процедуры удовлетворяет условию:
|
|Кк| ≤ К, |
(2) |
процедуру анализа признают удовлетворительной.
При невыполнении условия (2) процедуру контроля повторяют. При повторном невыполнении условия (2) выясняют причины, приводящие к неудовлетворительным результатам, и принимают меры по их устранению.
13.3. Проверка приемлемости результатов измерений, полученных в условиях воспроизводимости.
Расхождение между результатами измерений, выполненных в двух разных лабораториях, не должно превышать предела воспроизводимости (R):
|
|
(3) |
X1, Х2 - результаты измерений в двух разных лабораториях, мг/кг;
R - предел воспроизводимости (в соответствии с диапазоном концентраций, табл. 1), %
|
Среда |
Внесено, мг/кг |
Обнаружено, мг/кг |
Полнота определения, % |
|
Зерно пшеницы |
0,01 |
0,0074 ± 0,0001 |
74,2 |
|
0,02 |
0,0147 ± 0,0003 |
73,7 |
|
|
0,05 |
0,0356 ± 0,0007 |
71,2 |
|
|
0,10 |
0,0721 ± 0,0014 |
72,1 |
|
|
Солома пшеницы |
0,05 |
0,0366 ± 0,0006 |
73,2 |
|
0,10 |
0,0723 ± 0,0016 |
72,3 |
|
|
0,20 |
0,1436 ± 0,0031 |
71,8 |
|
|
0,50 |
0,3610 ± 0,0048 |
72,2 |