Федеральная служба по надзору в сфере защиты прав
потребителей
и благополучия человека
4.1. МЕТОДЫ КОНТРОЛЯ. ХИМИЧЕСКИЕ ФАКТОРЫ
Определение остаточных количеств
циклоксидима в воде, почве, ботве и
корнеплодах сахарной свеклы, клубнях
картофеля, горохе, семенах подсолнечника,
рапса, бобах сои и растительном масле
методом высокоэффективной
жидкостной хроматографии
Методические
указания
МУК 4.1.3236-14
Москва • 2015
1. Разработаны сотрудниками ГНУ Всероссийского НИИ защиты растений Россельхозакадемии (В.И. Долженко, И.А. Цибульская, С.Е. Маслаков, В.Ф. Павлова).
2. Рекомендованы к утверждению Комиссией по государственному санитарно-эпидемиологическому нормированию Федеральной службы по надзору в сфере защиты прав потребителей и благополучия человека (протокол от 6 ноября 2014 г. № 2).
3. Утверждены руководителем Федеральной службы по надзору в сфере защиты прав потребителей и благополучия человека, Главным государственным санитарным врачом Российской Федерации А.Ю. Поповой 22 декабря 2014 г.
4. Введены впервые.
|
УТВЕРЖДАЮ |
|
Руководитель Федеральной службы |
|
по надзору в сфере защиты прав |
|
потребителей и благополучия человека, |
|
Главный государственный санитарный |
|
врач Российской Федерации |
|
А.Ю. Попова |
|
22 декабря 2014 г. |
4.1. МЕТОДЫ КОНТРОЛЯ. ХИМИЧЕСКИЕ ФАКТОРЫ
Определение
остаточных количеств циклоксидима
в воде, почве, ботве и корнеплодах сахарной свеклы,
клубнях картофеля, горохе, семенах подсолнечника,
рапса, бобах сои и растительном масле методом
высокоэффективной жидкостной хроматографии
Методические указания
МУК 4.1.3236-14
Свидетельство о метрологической аттестации № 01.5.04.182/01.00043/2014.
Настоящие методические указания устанавливают порядок применения метода высокоэффективной жидкостной хроматографии для определения массовой концентрации циклоксидима в диапазоне концентраций в воде - 0,005 - 0,05 мг/дм3, почве - 0,1 - 1,0 мг/кг, бобах сои и ботве сахарной свеклы - 0,5 - 5,0 мг/кг, семенах подсолнечника, рапса и корнеплодах сахарной свеклы - 0,2 - 2,0 мг/кг, растительном масле - 0,2 - 2,0 мг/дм3.
Методические указания носят рекомендательный характер.
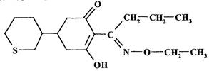
Циклоксидим
2-[1-(этоксиимино)бутил]-3-гидрокси-5-(тетрагидро-2H-тиопропан-3-ил)-2-циклогексен-1-он.
Структурная формула:

Эмпирическая формула: C17H27NO3S.
Молекулярная масса: 325,46.
Белый кристаллический порошок без запаха.
Температура плавления: 37,1 °С.
Разлагается до кипения.
Температура разложения 200 °С.
Давление пара при 25 °С: 0,01 мПа.
Коэффициент распределения н-октанол-вода: KowlogP = 1,36
Растворимость (в г/дм3 при 20 °С): вода - 0,053, гексан - 29, ацетон - 250, этанол - 810, этилацетат - 250.
Вещество неустойчиво. Период распада в почве ДТ50 - 4 - 15 дней, полевой ДТ50 - 1 - 5 дней.
Краткая токсикологическая характеристика. Острая пероральная токсичность LD50 для крыс 3940 мг/кг, острая дермальная токсичность LD50 для млекопитающих > 2000 мг/кг, ингаляционная LD50 для млекопитающих > 5 мг/кг. СК50 для рыб > 220 мг/л (96 ч), для пчел (LD50 > 100 мкг/особь).
Область применения препарата. Послевсходовый гербицид для применения на широколистных культурах (свекле, картофеле, масличных культурах, бобовых и других) для борьбы с одно- и многолетними травами.
Гигиенические нормативы для циклоксидима в России: ПДК в воздухе рабочей зоны 0,002 мг/м3 (среднесуточная), в воде 0,01 мг/л, почве - 0,4 мг/кг. МДУ (мг/кг) - зернобобовые (в том числе горох и фасоль) - 2,0; соя (бобы, масло) - 5,0; кукуруза (зерно, масло) - 0,2; подсолнечник (семена, масло) - 1,0; капуста (кочанная, цветная) - 2,0; морковь - 0,5; виноград - 0,5; салат кочанный и листовой - 0,2; картофель - 2,0; рапс (семена) - 2,0; клубника - 0,5; свекла сахарная - 0,5.
При соблюдении всех регламентированных условий проведения анализа в точном соответствии с данной методикой погрешность (и ее составляющие) результатов измерений при доверительной вероятности Р = 0,95 не превышает значений, приведенных в табл. 1, для соответствующих диапазонов концентраций.
Метрологические параметры
|
Объект анализа |
Диапазон определяемых концентраций, мг/кг |
Показатель повторяемости (относительное среднеквадратическое отклонение повторяемости), σr, % |
Показатель внутрилабораторной прецизионности, σRл, % |
Показатель воспроизводимости, σR, % |
Показатель точности* (границы относительной погрешности), ±δ, % |
|
Вода |
0,005 - 0,05 |
8 |
9 |
11 |
22 |
|
Почва |
0,1 - 1,0 |
9 |
10 |
12 |
23 |
|
Картофель (клубни) |
0,2 - 2,0 |
6 |
7 |
10 |
21 |
|
Сахарная свекла (корнеплоды, ботва) |
0,2 - 2,0 |
6 |
7 |
10 |
21 |
|
0,5 - 5,0 |
6 |
7 |
10 |
21 |
|
|
Подсолнечник (семена) |
0,2 - 2,0 |
6 |
7 |
10 |
21 |
|
Соя (бобы) |
0,5 - 5,0 |
6 |
7 |
10 |
21 |
|
Рапс (семена) |
0,2 - 2,0 |
6 |
7 |
10 |
21 |
|
Растительное масло |
0,2 - 2,0 |
6 |
7 |
10 |
21 |
|
Горох (семена) |
0,2 - 2,0 |
6 |
7 |
10 |
21 |
|
________ * Соответствует расширенной неопределенности Uотн. при коэффициенте охвата k = 2 |
|||||
Полнота извлечения циклоксидима, стандартное отклонение, доверительный интервал среднего результата для n = 20, Р = 0,95
|
Анализируемый объект |
Предел обнаружения, мг/кг |
Диапазон определяемых концентраций, мг/кг |
Полнота извлечения, % |
Стандартное отклонение, S, % |
Доверительный интервал среднего результата, ± % |
|
Вода |
0,005 |
0,005 - 0,05 |
76,8 |
5,2 |
2,3 |
|
Почва |
0,1 |
0,1 - 1,0 |
78,1 |
4,5 |
2,0 |
|
Картофель (клубни) |
0,2 |
0,2 - 2,0 |
76,2 |
6,3 |
5,0 |
|
Сахарная свекла (корнеплоды, ботва) |
0,2 |
0,2 - 2,0 |
75,3 |
5,7 |
4,6 |
|
0,5 |
0,5 - 5,0 |
72,0 |
8,8 |
7,0 |
|
|
Подсолнечник (семена) |
0,2 |
0,2 - 2,0 |
81,1 |
5,5 |
4,4 |
|
Соя (бобы) |
0,5 |
0,5 - 5,0 |
79,3 |
6,1 |
4,9 |
|
Рапс (семена) |
0,2 |
0,2 - 2,0 |
77,4 |
6,7 |
5,4 |
|
Растительное масло |
0,2 |
0,2 - 2,0 |
80,4 |
5,5 |
4,4 |
|
Горох (семена) |
0,2 |
0,2 - 2,0 |
74,5 |
7,2 |
5,8 |
Методика основана на определении циклоксидима методом высокоэффективной жидкостной хроматографии (ВЭЖХ) с использованием ультрафиолетового (УФ) детектора после извлечения из образцов воды, почвы, клубней картофеля, семян и масла сои, подсолнечника и рапса, ботвы и корнеплодов сахарной свеклы органическими растворителями, концентрирования и последующих очистках на патронах для твердофазной экстракции (ТФЭ) с привитыми монофункциональными полярными группами С16 и при необходимости дополнительно с гидрофильным слабокислотным сорбентом на основе силикагеля.
Идентификация циклоксидима проводится по времени удерживания, количественное определение - методом абсолютной калибровки.
Избирательность метода обеспечивается сочетанием условий подготовки проб и хроматографирования.
|
Жидкостный хроматограф с УФ-детектором, снабженный дегазатором, автоматическим пробоотборником и термостатом колонки |
|
|
Весы аналитические с пределом взвешивания до 210 г и пределом допустимой погрешности 0,2 мг |
|
|
Весы технические с пределом взвешивания до 400 г и допустимой погрешностью 0,1 г |
|
|
Колбы мерные на 10, 50, 100 и 1000 см3 |
|
|
Пипетки градуированные объёмом 1, 2, 5 и 10 см3 |
|
|
Пробирки мерные со шлифом объёмом 5, 10 см3 |
|
|
Цилиндры мерные на 50 и 100 см3 |
|
|
Примечание. Допускается использование средств измерения с аналогичными или лучшими характеристиками. |
|
|
Циклоксидим, аналитический стандарт с содержанием основного компонента 99,0 % |
|
|
Ацетон, осч |
ТУ 6-09-3513-86 |
|
Ацетонитрил для ВЭЖХ |
ТУ 2634-002-04715285-12 |
|
Вода бидистиллированная, деионизированная |
|
|
Гексан, хч |
ТУ 2631-003-05807999-98 |
|
Дихлорметан, хч |
ТУ 6-09-2662-77 |
|
Изопропиловый спирт, хч |
ТУ 2632-015-11291058-95 |
|
Кислота ортофосфорная, хч, 0,005 М водный раствор |
|
|
Метиловый спирт, хч |
|
|
Натрий сернокислый безводный, хч |
|
|
Раствор № 1 (гексан-этилацетат в соотношении 2:1) |
|
|
Раствор № 2 (гексан-этилацетат в соотношении 1:1) |
|
|
Подвижная фаза для ВЭЖХ: смесь ацетонитрил - 0,005М раствор ортофосфорной кислоты в воде в соотношении 75:25 |
|
|
Этиловый эфир уксусной кислоты, чда |
|
|
Примечание. Допускается использование реактивов с более высокой квалификацией, не требующих дополнительной очистки.
|
|
|
Аналитическая колонка, заполненная сорбентом с привитыми монофункциональными полярными группами С18 (150×3,9) мм с зернением 5 мкм |
|
|
Аппарат для встряхивания проб |
ТУ 64-1-1081-73 |
|
Воронки химические конусные |
|
|
Воронки делительные емкостью 100 и 250 см3 |
|
|
Колбы плоскодонные конические вместимостью 100 см3 |
|
|
Колбы круглодонные на шлифе вместимостью 10, 50, 100 см3 и 250 мл |
|
|
Патроны № 1 для ТФЭ с гидрофильным слабокислотным сорбентом с постоянной активностью на основе силикагеля, 0,4 г |
ТУ 4215-002-0545-931-94 |
|
Патроны № 2 для ТФЭ на основе силикагеля с привитыми монофункциональными полярными группами С16, 0,4 г |
ТУ 4215-002-0545-931-94 |
|
Предколонка для защиты аналитической колонки, заполненная сорбентом с привитыми монофункциональными полярными группами С18, (40×3,9) мм с зернением 5 мкм |
|
|
Ротационный вакуумный испаритель с мембранным насосом, обеспечивающим вакуум до 10 мбар |
|
|
Ультразвуковая ванна с рабочей частотой 35 кГц |
|
|
Фильтры бумажные обезжиренные быстрой фильтрации |
ТУ 6.091678-86 |
|
Центрифуга с максимальной рабочей частотой вращения 4000 об./мин |
|
|
Примечание. Допускается применение оборудования с аналогичными или лучшими техническими характеристиками. |
|
4.1. При выполнении измерений необходимо соблюдать требования техники безопасности при работе с химическими реактивами по ГОСТ 12.1.007-76, требования по электробезопасности при работе с электроустановками по ГОСТ 12.1.019-09, а также требования, изложенные в технической документации на жидкостный хроматограф.
4.2. Помещение лаборатории должно быть оборудовано приточно-вытяжной вентиляцией, соответствовать требованиям пожарной безопасности по ГОСТ 12.1.004-91 и иметь средства пожаротушения по ГОСТ 12.4.009-83. Содержание вредных веществ в воздухе не должно превышать ПДК (ОБУВ), установленных ГН 2.2.5.1313-03 и ГН 2.2.5.2308-07.
Организация обучения работников безопасности труда - по ГОСТ 12.0.004-90.
Измерения в соответствии с настоящей методикой может выполнять специалист-химик, имеющий опыт работы методом высокоэффективной жидкостной хроматографии, ознакомленный с руководством по эксплуатации хроматографа, освоивший данную методику и подтвердивший экспериментально соответствие получаемых результатов нормативам контроля погрешности измерений по п. 13.
При выполнении измерений выполняют следующие условия:
- процессы приготовления растворов и подготовки проб к анализу проводят при температуре воздуха (20 ± 5) °С и относительной влажности не более 80 %;
- выполнение измерений на жидкостном хроматографе проводят в условиях, рекомендованных технической документацией к прибору.
Перед началом анализа аналитическую колонку (150×3,9) мм кондиционируют в потоке подвижной фазы (0,5 - 1,0 см3/мин) до стабилизации нулевой линии.
7.3.1. Подготовка растворителей. Растворители, используемые для анализа, специальной подготовки не требуют. Рекомендуется проверить чистоту применяемых растворителей. При обнаружении примесей, которые могут мешать определению, растворители очищают общепринятыми методами.
7.3.2. 0,005 М раствор ортофосфорной кислоты: (0,5 ± 0,01) г 98 %-й ортофосфорной кислоты помещают в мерную колбу объемом 1 дм3, растворяют в бидистиллированной воде и доводят объем до метки.
7.3.3. Раствор № 1 (гексан-этилацетат в соотношении 2:1). В колбу на 500 см3 помещают 200 см3 гексана и добавляют 100 см3 этилацетата.
7.3.4. Раствор № 2 (гексан-этилацетат в соотношении 1:1). В колбу на 500 см3 помещают 200 см3 гексана и добавляют 200 см3 этилацетата.
7.4.1. Основной раствор с концентрацией 0,5 мг/см3. Точную навеску циклоксидима (50 ± 0,5) мг помещают в мерную колбу вместимостью 100 см3, растворяют в метаноле и доводят объем до метки метанолом.
Градуировочные растворы с концентрациями циклоксидима 0,2, 0,5, 1,0, 2,0, 5,0 и 10,0 мкг/см3 готовят методом последовательного разбавления по объему.
7.4.2. Раствор № 1 с концентрацией 10,0 мкг/см3: в мерную колбу вместимостью 100 см3 вносят 2 см3 основного раствора и доводят до метки ацетонитрилом.
7.4.3. Раствор № 2 с концентрацией 5 мкг/см3: в мерную колбу вместимостью 10 см3 помещают 5,0 см3 раствора № 1 и доводят объем до метки ацетонитрилом.
7.4.4. Раствор № 3 с концентрацией 2 мкг/см3: в мерную колбу вместимостью 10 см3 помещают 2 см3 раствора № 1 и доводят объем до метки ацетонитрилом.
7.4.5. Раствор № 4 с концентрацией 1 мкг/см3: в мерную колбу вместимостью 10 см3 помещают 1,0 см3 раствора № 1 и доводят объем до метки ацетонитрилом.
7.4.6. Раствор № 5 с концентрацией 0,5 мкг/см3: в мерную колбу вместимостью 10 см3 помещают 1,0 см3 раствора № 2 и доводят объем до метки ацетонитрилом.
7.4.7. Раствор № 6 с концентрацией 0,2 мкг/см3: в мерную колбу вместимостью 10 см3 помещают 1,0 см3 раствора № 3 и доводят объем до метки ацетонитрилом.
Основной раствор можно хранить в холодильнике при температуре 0 - 4 °С в течение месяца, градуировочные растворы - в течение недели.
При определении полноты извлечения для внесения в образец следует использовать растворы циклоксидима в ацетонитриле.
Для установления градуировочной характеристики (площадь пика - концентрация циклоксидима в растворе) в хроматограф вводят по 20 мм3 градуировочных растворов (не менее 3 параллельных измерений для каждой концентрации, не менее 4 точек по диапазону измеряемых концентраций). Затем измеряют площади пиков и строят график зависимости среднего значения площади пика от концентрации циклоксидима в градуировочном растворе.
Методом наименьших квадратов рассчитывают градуировочный коэффициент (K1) в уравнении линейной регрессии концентрации раствора С:
С = K1 × S, где
S - площадь пика градуировочного раствора.
Градуировку признают удовлетворительной, если значение коэффициента линейной корреляции оказывается не ниже 0,99.
Градуировочную характеристику необходимо проверять при замене реактивов, хроматографической колонки или элементов хроматографической системы, а также при отрицательном результате контроля градуировочного коэффициента.
Градуировочную зависимость признают стабильной при выполнении следующего условия:
![]()
С - аттестованное значение массовой концентрации циклоксидима в градуировочном растворе;
Ск - результат контрольного измерения массовой концентрации циклоксидима в градуировочном растворе;
λконтр. - норматив контроля градуировочного коэффициента, %. (λконтр. = 10 % при Р = 0,95).
Установка и подготовка всех приборов и средств измерения производится в соответствии с требованиями технической документации.
7.7.1. Проверка хроматографического поведения циклоксидима на патроне № 1 для ТФЭ.
На подготовленный патрон № 1 (п. 7.2.1) вносят 1 см3 градуировочного раствора циклоксидима с концентрацией 10 мкг/см3. Элюируют циклоксидим ацетонитрилом со скоростью 1 - 2 капли в секунду. Отбирают фракции по 2 см3 и анализируют по п. 9.3.
Фракции, содержащие циклоксидим, объединяют и вновь анализируют. Устанавливают уровень вещества в элюате, определяют полноту смывания с патрона и необходимый для очистки объем элюата.
7.7.2. Проверка хроматографического поведения циклоксидима на патроне № 2 для ТФЭ.
В круглодонную колбу емкостью 10 см3 отбирают 1 см3 градуировочного раствора циклоксидима с концентрацией 10 мкг/см3. Растворитель выпаривают досуха на вакуумном ротационном испарителе при температуре бани 40 °С. Остаток растворяют в 1 см3 гексана и переносят на подготовленный патрон (п. 7.2.2). Колбу обмывают 1 см3 гексана и смыв тоже переносят на патрон. Промывают патрон 3 см3 гексана, элюат отбрасывают. Затем элюируют циклоксидим раствором № 1 со скоростью 1 - 2 капли в секунду. Отбирают фракции по 2 см3, упаривают досуха, растворяют в 1 см3 ацетонитрила и анализируют по п. 9.3.
Фракции, содержащие циклоксидим, объединяют и вновь анализируют. Устанавливают уровень вещества в элюате, определяют полноту смывания с патрона и необходимый для очистки объем элюата.
Отбор проб производится в соответствии с «Унифицированными правилами отбора проб сельскохозяйственной продукции, пищевых продуктов и объектов окружающей среды для определения микроколичеств пестицидов» (№ 2051-79 от 21.08.79), а также в соответствии с ГОСТ Р 51592-2000 «Вода. Общие требования к отбору проб»; ГОСТ 28168-89 «Почвы. Отбор проб»; ГОСТ 1722-85 «Свекла столовая свежая, заготовляемая и поставляемая»; ГОСТ 7194-81 «Картофель свежий. Правила приемки и методы определения качества»; отбор проб семян подсолнечника, рапса и бобов сои для анализа проводят в соответствии с ГОСТ 10852-86 «Семена масличные. Правила приемки и методы отбора проб»; ГОСТ 28674-90 «Горох. Требования при заготовке и поставке».
Отобранные пробы хранят до анализа в герметичной полиэтиленовой упаковке в морозильной камере при -18 °С. Пробы почвы подсушиваются при комнатной температуре в отсутствие прямого солнечного света. Перед анализом сухую почву доводят до стандартной влажности, просеивают через сито с отверстиями диаметром 1 мм. Пробы картофеля и сахарной свеклы перед анализом, не размораживая, измельчают. Семена рапса, сои, подсолнечника и гороха перед анализом доводят до стандартной влажности и измельчают. Пробы воды и растительного масла хранят в холодильнике при температуре 0 - 4 °С в герметично закрытой стеклянной таре не более месяца.
В круглодонную колбу на 500 см3 помещают 200 см3 анализируемой воды. Воду выпаривают на вакуумном ротационном испарителе досуха при температуре бани 40 °С. Остаток растворяют в 5 см3 ацетонитрила и хроматографируют по п. 9.3.
Навеску почвы, измельченных проб семян масличных, корнеплодов сахарной свеклы или зерна гороха (10 ± 0,1) г помещают в плоскодонную коническую колбу вместимостью 100 см3, добавляют 30 см3 ацетонитрила, колбу помещают в ультразвуковую ванну на 5 мин или в аппарат для встряхивания на 15 мин. Суспензию центрифугируют 10 мин при 5000 об./мин. Экстракт фильтруют в круглодонную колбу на 250 см3 через бумажный обезжиренный фильтр быстрой фильтрации. Повторяют экстракцию еще 3 раза. Фильтр промывают 10 см3 ацетонитрила. Объединенный экстракт выпаривают досуха на вакуумном ротационном испарителе при температуре бани 40 °С. Остаток растворяют в 5 - 10 см3 ацетонитрила. Отбирают 1 см3 раствора и проводят очистку на патроне № 1 для ТФЭ (п. 9.2.1.)
Навеску масла (10 ÷ 20 ± 0,1) г помещают в делительную воронку на 100 см3 и экстрагируют 4 раза по 30 см3 ацетонитрилом. Объединенный экстракт упаривают досуха на вакуумном ротационном испарителе при температуре бани не выше 40 °С. Остаток растворяют в 10 см3 ацетонитрила. Отбирают 1 см3 раствора и проводят очистку на патроне № 1 для ТФЭ (п. 9.2.1)
Навеску 10 г измельченной пробы помещают в коническую колбу емкостью 100 см3, добавляют 30 см3 раствора гексан-ацетон в соотношении 1:1 и перемешивают на аппарате для встряхивания в течение 15 мин. Суспензию центрифугируют 10 мин при 5000 об./мин. Экстракт фильтруют в круглодонную колбу емкостью 250 см3 методом декантации через бумажный фильтр со слоем безводного сульфата натрия. Фильтр с сульфатом натрия промывают раствором гексан-ацетон три раза по 20 см3. Объединенный экстракт упаривают досуха на вакуумном ротационном испарителе при температуре бани не выше 40 °С. Остаток растворяют в 10 см3 ацетонитрила. Отбирают 1 см3 раствора и проводят очистку на патроне № 1 для ТФЭ (п. 9.2).
9.2.1. Очистка на патроне № 1: 1 см3 растворенного в ацетонитриле экстракта переносят на подготовленный по п. 7.2.1 патрон № 1. Элюируют циклоксидим 4 см3 ацетонитрила со скоростью 1 - 2 капли в секунду. Элюат упаривают досуха, растворяют в 1 см3 ацетонитрила и анализируют по п. 9.3.
В случае наличия в контрольных пробах мешающих определению примесей проводят очистку экстракта на патронах № 2 с гидрофильным слабокислотным сорбентом с постоянной активностью на основе силикагеля.
9.2.2. Очистка на патроне № 2: в круглодонную колбу емкостью 10 см3 отбирают 1 см3 растворенного в ацетонитриле экстракта. Растворитель выпаривают досуха на вакуумном ротационном испарителе при температуре бани 40 °С. Остаток растворяют в 1 см3 гексана и переносят на подготовленный патрон (п. 7.2). Колбу обмывают 1 см3 гексана и смыв тоже переносят на патрон. Промывают патрон 3 см3 гексана, элюат отбрасывают. Затем элюируют циклоксидим 5 см3 раствора № 1 со скоростью 1 - 2 капли в секунду. Элюат упаривают досуха, растворяют в 1 см3 ацетонитрила и анализируют по п. 9.3.
Примечание. Хроматографирование экстрактов ввиду нестабильности циклоксидима рекомендуется проводить сразу после приготовления. Хранение экстрактов подготовленных проб в холодильнике при температуре 0 - 4 °С не более 72 часов.
Жидкостный хроматограф с УФ-детектором, снабженный дегазатором, автоматическим пробоотборником и термостатом колонки.
Аналитическая колонка, заполненная сорбентом с привитыми монофункциональными полярными группами С18 (150×3,9) мм с зернением 5 мкм. Предколонка для защиты аналитической колонки, заполненная сорбентом с привитыми монофункциональными полярными группами С18 (40×3,9) мм с зернением 5 мкм.
Температура колонки (30 ± 1) °С. Подвижная фаза: ацетонитрил-0,005 М ортофосфорная кислота в соотношении 75:25. Скорость потока элюента: 1,0 см3/мин. Рабочая длина волны УФ-детектора 260 нм. Объем вводимой пробы 20 мм3. Время удерживания циклоксидима (5,1 ± 0,2) мин.
Количественное определение проводят методом абсолютной калибровки. Содержание циклоксидима в пробе (X, мг/кг) вычисляют по формуле:
![]()
Sx - площадь пика циклоксидима на хроматограмме испытуемого образца, мм2 (AU);
K - градуировочный коэффициент, найденный на стадии построения соответствующей градуировочной зависимости;
V - объём пробы, подготовленной для хроматографического анализа, см3;
Р - навеска анализируемого образца, г;
f - полнота извлечения циклоксидима, приведенная в табл. 2, %.
Содержание остаточных количеств циклоксидима в образце вычисляют как среднее из двух параллельных определений.
Образцы, дающие пики большие, чем стандартный раствор циклоксидима с концентрацией 2,0 мкг/см3, разбавляют ацетонитрилом.
За результат анализа принимают среднее арифметическое результатов двух параллельных определений, расхождение между которыми не превышает предела повторяемости:
|
|
(1) |
X1, Х2 - результаты параллельных определений, мг/кг;
r - значение предела повторяемости (r = 2,8σr).
При невыполнении условия (1) выясняют причины превышения предела повторяемости, устраняют их и вновь выполняют анализ.
Результат анализа представляют в виде:
(X ± ∆) мг/кг при вероятности Р = 0,95, где
X - среднее арифметическое результатов определений, признанных приемлемыми, мг/кг;
∆ - граница абсолютной погрешности, мг/кг;
![]()
δ - граница относительной погрешности методики (показатель точности в соответствии с диапазоном концентраций), %.
В случае, если содержание компонента менее нижней границы диапазона определяемых концентраций, результат анализа представляют в виде:
«содержание вещества в пробе «менее нижней границы определения» (например: менее 0,2 мг/кг*, где
________
* - 0,2 мг/кг - предел обнаружения циклоксидима в зерне гороха).
Оперативный контроль погрешности и воспроизводимости измерений осуществляется в соответствии с ГОСТ Р ИСО 5725-1 - 6-02 «Точность (правильность и прецизионность) методов и результатов измерений».
13.1. Стабильность результатов измерений контролируют перед проведением измерений, анализируя один из градуировочных растворов.
13.2. Плановый внутрилабораторный оперативный контроль процедуры выполнения анализа проводится с применением метода добавок.
Величина добавки Сд, должна удовлетворять условию:
Сд = ∆л,Х + ∆л,Х’, где
±∆л,Х (±∆л,Х’) - характеристика погрешности (абсолютная погрешность) результатов анализа, соответствующая содержанию компонента в испытуемом образце (расчетному значению содержания компонента в образце с добавкой, соответственно), мг/кг; при этом:
∆л = ±0,84∆, где
∆ - граница абсолютной погрешности, мг/кг:
![]()
δ - граница относительной погрешности методики (показатель точности в соответствии с диапазоном концентраций), %.
Результат контроля процедуры Кк рассчитывают по формуле:
Кк = X' - X - Сд, где
X', X, Сд - среднее арифметическое результатов параллельных определений (признанных приемлемыми по п. 11) содержания компонента в образце с добавкой, испытуемом образце, концентрация добавки, соответственно, мг/кг.
Норматив контроля К рассчитывают по формуле:
|
|
(1) |
Проводят сопоставление результата контроля процедуры (Кк) с нормативом контроля (К).
Если результат контроля процедуры удовлетворяет условию
|
ǀКкǀ ≤ К, |
(2) |
процедуру анализа признают удовлетворительной.
При невыполнении условия (2) процедуру контроля повторяют. При повторном невыполнении условия (2) выясняют причины, приводящие к неудовлетворительным результатам, и принимают меры к их устранению.
13.3. Проверка приемлемости результатов измерений, полученных в условиях воспроизводимости.
Расхождение между результатами измерений, выполненных в двух разных лабораториях, не должно превышать предела воспроизводимости (R):
|
|
(3) |
X1, Х2 - результаты измерений в двух разных лабораториях, мг/кг;
R - предел воспроизводимости (в соответствии с диапазоном концентраций), %.
Содержание