Государственное санитарно-эпидемиологическое
нормирование
Российской Федерации
4.1. МЕТОДЫ КОНТРОЛЯ. ХИМИЧЕСКИЕ ФАКТОРЫ
Измерение концентраций вредных веществ в воздухе рабочей зоны
Сборник методических указаний
МУК
4.1.3333 - 4.1.3336-16
Выпуск 58
Москва 2016
1. Подготовлены коллективом авторов ФГБНУ Научно-исследовательского института медицины труда (Л.Г. Макеева - руководитель, Н.С. Горячев, Е.М. Малинина, Е.Н. Грицун, Н.Л. Полуэктова).
2. Рекомендованы к утверждению Комиссией по государственному санитарно-эпидемиологическому нормированию Федеральной службы по надзору в сфере зашиты прав потребителей и благополучия человека (протокол от 17 декабря 2015 г. № 2).
3. Утверждены руководителем Федеральной службы по надзору в сфере защиты прав потребителей и благополучия человека, Главным государственным санитарным врачом Российской Федерации А.Ю. Поповой 17 февраля 2016 г.
4. Введены впервые.
СОДЕРЖАНИЕ
Введение
Сборник методических указаний «Измерение концентраций вредных веществ в воздухе рабочей зоны» (выпуск 58) разработан с целью обеспечения контроля соответствия фактических концентраций вредных веществ их предельно допустимым концентрациям (ПДК) и ориентировочным безопасным уровням воздействия (ОБУВ) и является обязательным при осуществлении санитарного контроля.
Включенные в данный сборник методические указания по контролю вредных веществ в воздухе рабочей зоны разработаны и подготовлены в соответствии с требованиями ГОСТ 12.1.016-79 «Воздух рабочей зоны. Требования к методикам измерения концентраций вредных веществ» с изм. 1, ГОСТ 12.1.005-88 «ССБТ. Общие санитарно-гигиенические требования к воздуху рабочей зоны» с изм. 1, ГОСТ Р 8.563-09 «Государственная система обеспечения единства измерений. Методики (методы) измерений», ГОСТ Р ИСО 5725-2002 «Точность (правильность и прецизионность) методов и результатов измерений».
Методики выполнены с использованием современных методов исследования, метрологически аттестованы и дают возможность контролировать концентрации химических веществ на уровне и ниже их ПДК и ОБУВ в воздухе рабочей зоны, установленных в гигиенических нормативах ГН 2.2.5.1313-03 «Предельно допустимые концентрации (ПДК) вредных веществ в воздухе рабочей зоны» и ГН 2.2.5.2308-07 «Ориентировочные безопасные уровни воздействия (ОБУВ) вредных веществ в воздухе рабочей зоны» и дополнениях к ним.
Методические указания по измерению массовых концентраций вредных веществ в воздухе рабочей зоны предназначены для лабораторий центров гигиены и эпидемиологии Роспотребнадзора, санитарных лабораторий промышленных предприятий при осуществлении контроля за содержанием вредных веществ в воздухе рабочей зоны, а также научно-исследовательских институтов и других заинтересованных министерств и ведомств.
|
УТВЕРЖДАЮ Руководитель
Федеральной службы _____________________А.Ю. Попова 17 февраля 2016 г. |
4.1. МЕТОДЫ КОНТРОЛЯ. ХИМИЧЕСКИЕ ФАКТОРЫ
Методика измерений массовой концентрации
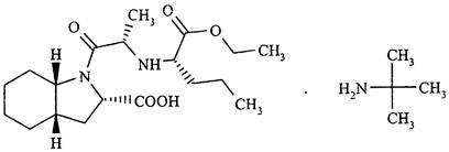
[2S-[1-[R*(R*)],2α,3αβ,7αβ]]-1-[2-
[[1-(этоксикарбонил)бутил]амино]-1-оксопропил]-
октагидро-1Н-индол-2-карбоновой кислоты соли
с 2-метил-2-пропанамином (1:1) (периндоприла
эрбумин) в воздухе рабочей зоны
методом спектрофотометрии
Методические указания
МУК 4.1.3336-16
Свидетельство о государственной метрологической аттестации № 01.00225/205-20-15.
Настоящие методические указания устанавливают порядок применения метода спектрофотометрии для измерения массовой концентрации периндоприла эрбумина в воздухе рабочей зоны в диапазоне массовых концентраций 0,01 - 0,06 мг/м3.
Методические указания носят рекомендательный характер.
Периндоприла эрбумин

Эмпирическая формула: C19H32N2O5⋅C4H11N.
Молекулярная масса 441,60.
Регистрационный номер СAS: 107133-36-8.
Периндоприла эрбумин - кристаллический порошок белого или почти белого цвета, слегка гигроскопичный, с температурой плавления 117 - 125 °С. Легко растворим в воде, спирте этиловом 96 %-м, умеренно растворим в метиленхлориде.
Агрегатное состояние в воздухе - аэрозоль.
Периндоприла эрбумин - антигипертензивный сердечно-сосудистый препарат из группы ингибиторов ангиотензинпревращаюшего фермента (АПФ), малотоксичен при введении внутрь, обладает умеренным раздражающим действием при аппликациях на кожные покровы кролика, обнаружена высокая кожно-резорбтивная активность в опытах на кроликах. Оказывает общетоксическое действие.
Ориентировочный безопасный уровень воздействия (ОБУВ) периндоприла эрбумина в воздухе рабочей зоны 0,02 мг/м3.
При соблюдении всех регламентированных условий и проведении анализа в точном соответствии с данной методикой при выполнении измерений массовой концентрации периндоприла эрбумина метрологические характеристики не превышают значений, представленных в табл. 1 (при доверительной вероятности Р = 0,95).
Метрологические характеристики
|
Диапазон измерений массовой концентрации периндоприла эрбумина, мг/м3 |
Показатель точности (границы относительной погрешности), ±δ, % при Р = 0,95 |
Показатель повторяемости (относительное среднеквадратическое отклонение повторяемости), σr, % |
Показатель воспроизводимости (относительное среднеквадратическое отклонение воспроизводимости), σR, % |
Предел повторяемости, r, %, Р = 0,95, n = 2 |
Критическая разность для результатов анализа, полученных в двух лабораториях, CD0,95, % (n1 = n2 = 2) |
|
От 0,010 до 0,030 вкл. |
25 |
5 |
8 |
14 |
20 |
|
Св. 0,030 до 0,060 вкл. |
13 |
3 |
5 |
8 |
12,5 |
Измерения массовых концентраций периндоприла эрбумина выполняют методом спектрофотометрии.
Метод определения основан на способности растворов периндоприла эрбумина в спирте этиловом 96 %-м поглощать УФ-излучение.
Измерение проводят при длине волны 220 нм.
Отбор проб проводят с концентрированием на аналитические аэрозольные фильтры.
Нижний предел измерения содержания периндоприла эрбумина в анализируемом объеме пробы - 60 мкг.
Нижний предел измерений массовой концентрации периндоприла эрбумина в воздухе - 0,01 мг/м3 (при отборе 6000 дм3 воздуха).
Метод специфичен в условиях производства лекарственной формы, содержащей периндоприла эрбумин.
Определению не мешают вспомогательные вещества: лактозы моногидрат, кальция хлорида гексагидрат, кросповидон, целлюлоза микрокристаллическая, аэросил, магния стеарат.
|
Спектрофотометр. Диапазон измерений (54000 - 11000) см воспроизводимость волновых чисел (±1,5) % |
|
|
Весы лабораторные 2-го класса точности, с наибольшим пределом взвешивания 200 г, диапазон взвешивания по шкале 1 - 100 мг, цена деления шкалы 1 мг, погрешность взвешивания по шкале ±0,15 мг |
|
|
Набор гирь |
|
|
Аспирационное устройство трехканальное с диапазоном расхода 80 - 400 дм3/мин и пределом допустимой погрешности ±5 % |
ТУ 4215-000-11696625-03 |
|
Колбы мерные 2-50-2, 2-100-2 |
|
|
Пипетки 1-1-2-1, 1-1-2-5, 1-1-2-10 |
|
|
Пробирки мерные с пришлифованными пробками |
|
|
Секундомер |
ГОСТ 5072-79 |
Примечание. Допускается использование средств измерений с аналогичными или лучшими техническими и метрологическими характеристиками.
|
Периндоприла эрбумин с содержанием основного вещества не менее 99,0 % в пересчете на сухое вещество |
НД ЛС-000844-300911 |
|
Спирт этиловый 96 %-й ректификованный |
Примечание. Допускается использование реактивов с более высокой квалификацией.
|
Аналитические аэрозольные фильтры гидрофобные на основе перхлорвинила с площадью рабочей поверхности 20 см2 (фильтры) |
ТУ 95-1892-89 |
|
Фильтродержатели |
ТУ 95.72.05-77 |
|
Фильтры бумажные обеззоленные средней плотности (фильтры бумажные) |
ТУ 6-09-1678-77 |
|
Бюксы стеклянные СВ 24/10 |
|
|
Палочки стеклянные |
|
|
Воронки химические |
|
|
Кюветы кварцевые с толщиной оптического слоя 20 мм |
|
|
Дистиллятор |
|
|
Шкаф сушильный |
ТУ 61-1-721-79 |
Примечание. Допускается применение оборудования с аналогичными или лучшими техническими характеристиками.
6.1. При работе с реактивами соблюдают требования безопасности, установленные для работы с токсичными, едкими и легковоспламеняющимися веществами по ГОСТ 12.1.007-76, ГОСТ 12.1.005-88 с изменением 1.
6.2. При проведении анализов горючих и вредных веществ должны соблюдаться требования противопожарной безопасности по ГОСТ 12.1.004-91. Должны быть в наличии средства пожаротушения по ГОСТ 12.4.009-90. Необходимо провести обучение работающих правилам безопасности труда согласно ГОСТ 12.0.004-90.
6.3. При выполнении измерений с использованием спектрофотометра соблюдают правила электробезопасности в соответствии с ГОСТ 12.1.019-09 и инструкцией по эксплуатации прибора.
6.4. Помещение лаборатории должно быть оборудовано приточно-вытяжной вентиляцией. Содержание вредных веществ в воздухе рабочей зоны не должно превышать ПДК (ОБУВ), установленных ГН 2.2.5.1313-03 и ГН 2.2.5.2308-07.
К выполнению измерений и обработке их результатов допускается специалист, имеющий высшее образование, опыт работы в химической лаборатории, прошедший обучение и владеющий техникой спектрофотометрического анализа, освоивший метод анализа в процессе тренировки и уложившийся в нормативы оперативного контроля при проведении процедур контроля погрешности анализа.
8.1. Условия приготовления растворов и подготовки проб к анализу:
- температура воздуха (20 ± 5) °С;
- атмосферное давление (84 - 106) кПа;
- относительная влажность воздуха, не более 80 %.
8.2. Выполнение измерений на спектрофотометре проводят в условиях, рекомендованных технической документацией к прибору.
Перед выполнением измерений проводят следующие работы: приготовление растворов, подготовка спектрофотометра, установление градуировочной характеристики, контроль стабильности градуировочной характеристики, отбор проб воздуха.
9.1.1. Основной раствор периндоприла эрбумина с концентрацией 1000 мкг/см3 готовят растворением (0,10000 ± 0,00015) г периндоприла эрбумина в спирте этиловом 96 %-м в мерной колбе вместимостью 100 см3.
Раствор устойчив в течение месяца при хранении в холодильнике.
9.1.2. Рабочий раствор периндоприла эрбумина с концентрацией 200 мкг/см3 готовят разбавлением 10 см3 основного раствора периндоприла эрбумина спиртом этиловым 96 %-м в мерной колбе вместимостью 50 см3.
Раствор устойчив в течение двух недель при хранении в холодильнике.
Подготовку спектрофотометра проводят в соответствии с руководством по его эксплуатации.
Градуировочную характеристику, выражающую зависимость оптической плотности раствора от массы периндоприла эрбумина, устанавливают по шести сериям измерений по шести концентрациям вещества в каждой серии согласно табл. 2.
Растворы для установления градуировочной характеристики
при определении периндоприла эрбумина
|
Номер градуировочного раствора |
Объем основного раствора периндоприла эрбумина с массовой концентрацией 1000 мкг/см3, см3 |
Объем рабочего раствора периндоприла эрбумина с массовой концентрацией 200 мкг/см3, см3 |
Концентрация градуировочного раствора периндоприла эрбумина, мкг/см3 |
Содержание периндоприла эрбумина в анализируемом объеме раствора, мкг |
|
1 |
0,00 |
0,00 |
0,0 |
0,0 |
|
2 |
0,00 |
0,30 |
6,0 |
60,0 |
|
3 |
0,09 |
0,00 |
9,0 |
90,0 |
|
4 |
0,15 |
0,00 |
15,0 |
150,0 |
|
5 |
0,21 |
0,00 |
21,0 |
210,0 |
|
6 |
0,27 |
0,00 |
27,0 |
270,0 |
|
7 |
0,36 |
0,00 |
36,0 |
360,0 |
Градуировочные растворы устойчивы в течение суток.
На фильтры, помещенные в бюксы, пипеткой вместимостью 1 см3 наносят основной стандартный раствор периндоприла эрбумина и рабочий раствор периндоприла эрбумина в соответствии с табл. 2. Фильтры подсушивают при комнатной температуре и с помощью пипетки вместимостью 5,0 см3 приливают по 5 см3 спирта этилового 96 %-го и оставляют на 10 мин, периодически помешивая стеклянной палочкой для лучшего растворения вещества. Затем фильтры тщательно отжимают, растворы сливают в мерные пробирки вместимостью 10 см3. Фильтры повторно обрабатывают 5 см3 спирта этилового 96 %-го, оставляют на 10 мин, периодически помешивая стеклянной палочкой, затем фильтры тщательно отжимают и удаляют. Растворы объединяют в мерных пробирках вместимостью 10 см3 и доводят объем до метки спиртом этиловым 96 %-м.
Оптическую плотность полученных градуировочных растворов измеряют в кювете с толщиной поглощающего слоя 20 мм при длине волны 220 нм по отношению к раствору сравнения, не содержащему определяемого вещества (табл. 2, раствор № 1).
Строят градуировочную характеристику: на ось ординат наносят средние значения оптических плотностей градуировочных растворов, на ось абсцисс - соответствующие им содержания периндоприла эрбумина в мкг.
Контроль стабильности градуировочной характеристики проводят не реже 1 раза в квартал, а также при смене реактивов и изменении условий анализа (после ремонта и поверки прибора). Один раз в год градуировочную характеристику устанавливают заново.
Для контроля стабильности готовят три градуировочных раствора по п. 9.3 (в начале, середине и в конце диапазона измерений) и анализируют в точном соответствии с методикой.
Градуировочную характеристику считают стабильной, если для каждого контрольного образца выполняется условие:
|
|
(1) |
Dизм, Dгр - значение оптической плотности образца периндоприла эрбумина для контроля измеренное и найденное по градуировочной характеристике соответственно;
Kгр - норматив контроля, Kгр = 0,5⋅δ, где
±δ - границы относительной погрешности, % (табл. 1).
Если условие стабильности не выполняется только для одного образца, то выполняют повторное измерение этого образца с целью исключения результата, содержащего грубую ошибку.
Если градуировочная характеристика не стабильна, выясняют причины нестабильности и повторяют контроль стабильности с использованием других образцов для установления градуировочной характеристики, предусмотренных методикой. При повторном обнаружении нестабильности градуировочной характеристики её устанавливают заново.
Отбор проб проводят с учетом требований ГОСТ 12.1.005-88 с изменением 1 «ССБТ. Общие санитарно-гигиенические требования к воздуху рабочей зоны» и Руководства Р 2.2.2006-05 (приложение 9) «Общие методические требования к организации и проведению контроля содержания вредных веществ в воздухе рабочей зоны», раздел 2 «Контроль соответствия максимальным ПДК».
Одновременно отбирают две параллельные пробы.
Воздух аспирируют через три канала через фильтры, помещенные в фильтродержатели, снабженные металлической сеткой. Для определения массовой концентрации периндоприла аргинина на уровне ½ ОБУВ отбирают не менее 6000 дм3 воздуха в течение 15 мин.
Фильтры с отобранными пробами помещаются в бюксы с пришлифованными крышками. Пробы можно хранить в течение трех дней в холодильнике.
Фильтры с отобранными пробами переносят в бюкс, приливают 5 см3 спирта этилового 96 %-го и оставляют на 10 мин, периодически помешивая стеклянной палочкой для лучшего растворения вещества. Затем фильтры тщательно отжимают, раствор сливают в другой бюкс. Фильтры повторно обрабатывают 5 см3 спирта этилового 96 %-го и оставляют на 10 мин, периодически помешивая стеклянной палочкой, затем фильтры тщательно отжимают и удаляют. Оба раствора последовательно фильтруют на химической воронке через бумажный фильтр в мерную пробирку с пришлифованной пробкой вместимостью 10 см3. Объем раствора доводят до метки спиртом этиловым 96 %-м и далее анализ проводят аналогично градуировочным растворам.
Оптическую плотность анализируемого раствора измеряют в кювете с толщиной поглощающего слоя 20 мм при длине волны 220 нм по отношению к раствору сравнения, используя чистый фильтр. Раствор сравнения необходимо предварительно профильтровать через бумажный фильтр.
Количественное определение содержания периндоприла эрбумина в анализируемом объеме раствора пробы проводят по предварительно построенной градуировочной характеристике.
Примечание. Фильтрование растворов анализируемых проб проводится для удаления нерастворимых в спирте этиловом 96 %-м вспомогательных веществ, входящих в состав таблеток, содержащих периндоприла эрбумин.
Массовую концентрацию периндоприла эрбумина в воздухе рабочей зоны С, мг/м3, вычисляют по формуле:
|
|
(2) |
а - содержание периндоприла эрбумина в анализируемом объеме раствора пробы, найденное по градуировочной характеристике, мкг;
V20 - объем воздуха, отобранный для анализа (дм3), приведенный к стандартным условиям (прилож. 1).
За результат измерений принимают среднее арифметическое результатов двух параллельных определений, если выполняется условие приемлемости:
С1, С2 - результаты параллельных определений массовой концентрации периндоприла эрбумина в воздухе рабочей зоны, мг/м3;
r - значение предела повторяемости, % (табл. 1).
Если условие (3) не выполняется, выясняют причины превышения предела повторяемости, устраняют их и повторяют выполнение измерений в соответствии с требованиями методики измерений.
Результат количественного химического анализа представляют в виде:
|
|
- среднее арифметическое значение
результатов n определений, признанных приемлемыми, мг/м3;
±δ - границы относительной погрешности измерений, % (табл. 1). Если полученный результат измерений ниже нижней (выше верхней) границы диапазона измерений, то производят следующую запись в журнале: «массовая концентрация периндоприла эрбумина менее 0,01 мг/м3 (более 0,06 мг/м3)».
Проверку приемлемости результатов измерений в условиях воспроизводимости проводят:
а) при возникновении спорных ситуаций между двумя лабораториями;
б) при проверке совместимости результатов измерений, полученных при сличительных испытаниях (при проведении аккредитации лабораторий и инспекционного контроля).
Для проведения проверки приемлемости результатов измерений в условиях воспроизводимости каждая лаборатория использует пробы, оставленные на хранение.
Приемлемость результатов измерений, полученных в двух лабораториях, оценивают сравнением разности этих результатов с критической разностью CD0,95 по формуле:
|
|
(4) |
Сcp1, Сcp2 - средние значения массовой концентрации периндоприла эрбумина, полученные в первой и второй лабораториях, мг/м3,
CD0,95 - значение критической разности, % (табл. 1).
Если критическая разность не превышена, то приемлемы оба результата измерений, проводимых двумя лабораториями, и в качестве окончательного результата используют их среднеарифметическое значение. Если критическая разность превышена, то выполняют процедуры, изложенные в ГОСТ Р ИСО 5725-6-2002 (п. 5.3.3).
При разногласиях руководствуются ГОСТ Р ИСО 5725-6-2002 (п. 5.3.4).
Контроль качества результатов измерений в лаборатории при реализации методики осуществляют по ГОСТ Р ИСО 5725-6-2002, используя контроль стабильности среднеквадратического (стандартного) отклонения повторяемости по п. 6.2.2 ГОСТ Р ИСО 5725-6-2002 и показателя правильности по п. 6.2.4 ГОСТ Р ИСО 5725-6-2002.
Периодичность контроля стабильности результатов выполнения измерений регламентируют в Руководстве по качеству лаборатории.
Рекомендуется устанавливать контролируемый период так, чтобы количество результатов контрольных измерений было от 20 до 30.
При неудовлетворительных результатах контроля, например, при превышении предела действия или регулярном превышении предела предупреждения выясняют причины этих отклонений, в том числе проводят смену реактивов, проверяют работу оператора.
Разработаны сотрудниками ООО «Алгама» (Сергеюк Н.П.), ГБОУ ВПО РНИМУ им. Н.И. Пирогова Минздрава России (Иванов Н.Г.), АО «ВНЦ БАВ» (Голубева М.И., Крымова Л.И.), ФГБНУ «НИИ МТ» (Макеева Л.Г.).
Приведение объёма воздуха к стандартным условиям
Приведение объёма воздуха к стандартным условиям при температуре 293 К (20 °С) и атмосферном давление 101,33 кПа (760 мм рт. ст.):
|
|
Vt - объём воздуха, отобранный для анализа, дм3;
Р - барометрическое давление, кПа (101,33 кПа = 760 мм рт. ст.);
t - температура воздуха в месте отбора пробы, °С.
Для удобства расчёта V20 следует пользоваться таблицей коэффициентов (прилож. 2). Для приведения воздуха к стандартным условиям надо умножить Vt на соответствующий коэффициент.
Коэффициенты для приведения объема воздуха
к стандартным условиям
|
Давление Р, кПа/мм рт. ст. |
||||||||||
|
t °C |
97,33/730 |
97,86/734 |
98,4/738 |
98,93/742 |
99,46/746 |
100/750 |
100,53/754 |
101,06/758 |
101,33/760 |
101,86/764 |
|
-30 |
1,1582 |
1,1646 |
1,1709 |
1,1772 |
1,1836 |
1,1899 |
1,1963 |
1,2026 |
1,2058 |
1,2122 |
|
-26 |
1,1393 |
1,1456 |
1,1519 |
1,1581 |
1,1644 |
1,1705 |
1,1768 |
1,1831 |
1,1862 |
1,1925 |
|
-22 |
1,1212 |
1,1274 |
1,1336 |
1,1396 |
1,1458 |
1,1519 |
1,1581 |
1,1643 |
1,1673 |
1,1735 |
|
-18 |
1,1036 |
1,1097 |
1,1158 |
1,1218 |
1,1278 |
1,1338 |
1,1399 |
1,1460 |
1,1490 |
1,1551 |
|
-14 |
1,0866 |
1,0926 |
1,0986 |
1,1045 |
1,1105 |
1,1164 |
1,1224 |
1,1284 |
1,1313 |
1,1373 |
|
-10 |
1,0701 |
1,0760 |
1,0819 |
1,0877 |
1,0986 |
1,0994 |
1,1053 |
1,1112 |
1,1141 |
1,1200 |
|
-6 |
1,0540 |
1,0599 |
1,0657 |
1,0714 |
1,0772 |
1,0829 |
1,0887 |
1,0945 |
1,0974 |
1,1032 |
|
-2 |
1,0385 |
1,0442 |
1,0499 |
1,0556 |
1,0613 |
1,0669 |
1,0726 |
1,0784 |
1,0812 |
1,0869 |
|
0 |
1,0309 |
1,0366 |
1,0423 |
1,0477 |
1,0535 |
1,0591 |
1,0648 |
1,0705 |
1,0733 |
1,0789 |
|
+2 |
1,0234 |
1,0291 |
1,0347 |
1,0402 |
1,0459 |
1,0514 |
1,0571 |
1,0627 |
1,0655 |
1,0712 |
|
+6 |
1,0087 |
1,0143 |
1,0198 |
1,0253 |
1,0309 |
1,0363 |
1,0419 |
1,0475 |
1,0502 |
1,0557 |
|
+10 |
0,9944 |
0,9999 |
0,0054 |
1,0108 |
1,0162 |
1,0216 |
1,0272 |
1,0326 |
1,0353 |
1,0407 |
|
+14 |
0,9806 |
0,9860 |
0,9914 |
0,9967 |
1,0027 |
1,0074 |
1,0128 |
1,0183 |
1,0209 |
1,0263 |
|
+18 |
0,9671 |
0,9725 |
0,9778 |
0,9830 |
0,9884 |
0,9936 |
0,9989 |
1,0043 |
1,0069 |
1,0122 |
|
+20 |
0,9605 |
0,9658 |
0,9711 |
0,9783 |
0,9816 |
0,9868 |
0,9921 |
0,9974 |
1,0000 |
1,0053 |
|
+22 |
0,9539 |
0,9592 |
0,9645 |
0,9696 |
0,9749 |
0,9800 |
0,9853 |
0,9906 |
0,9932 |
0,9985 |
|
+24 |
0,9475 |
0,9527 |
0,9579 |
0,9631 |
0,9683 |
0,9735 |
0,9787 |
0,9839 |
0,9865 |
0,9917 |
|
+26 |
0,9412 |
0,9464 |
0,9516 |
0,9566 |
0,9618 |
0,9669 |
0,9721 |
0,9773 |
0,9799 |
0,9851 |
|
+28 |
0,9349 |
0,9401 |
0,9453 |
0,9503 |
0,9555 |
0,9605 |
0,9657 |
0,9708 |
0,9734 |
0,9785 |
|
+30 |
0,9288 |
0,9339 |
0,9391 |
0,9440 |
0,9432 |
0,9542 |
0,9594 |
0,9645 |
0,9670 |
0,9723 |
|
+34 |
0,9167 |
0,9218 |
0,9268 |
0,9318 |
0,9368 |
0,9418 |
0,9468 |
0,9519 |
0,9544 |
0,9595 |
|
+38 |
0,9049 |
0,9099 |
0,9149 |
0,9199 |
0,9248 |
0,9297 |
0,9347 |
0,9397 |
0,9421 |
0,9471 |
Указатель основных синонимов, технических,
торговых и фирменных названий веществ
|
1. Клопидогрела гидросульфат |
5 |
|
2. Лозартан калия |
15 |
|
3. Норфлоксацин |
25 |
|
4. Периндоприла эрбумин |
35 |