Государственное санитарно-эпидемиологическое
нормирование
Российской Федерации
4.1. МЕТОДЫ КОНТРОЛЯ. ХИМИЧЕСКИЕ ФАКТОРЫ
Измерения
концентраций вредных веществ
в воздухе рабочей зоны
Сборник методических указаний
МУК
4.1.3421 - 4.1.3432-17
Выпуск 59
Москва 2017
1. Подготовлены коллективом авторов ФГБНУ «Научно-исследовательского института медицины труда» (Л.Г. Макеева - руководитель, Н.С. Горячев, Е.Н. Грицун, Н.Л. Полуэктова), ФБУЗ «Федеральный центр гигиены и эпидемиологии» Роспотребнадзора (В.Г. Сенникова, В.Н. Малхожева, Л.С. Осипова).
2. Рекомендованы к утверждению Комиссией по государственному санитарно-эпидемиологическому нормированию Федеральной службы по надзору в сфере защиты прав потребителей и благополучия человека (протокол от 22 декабря 2016 г. № 2).
3. Утверждены Руководителем Федеральной службы по надзору в сфере защиты прав потребителей и благополучия человека, Главным государственным санитарным врачом Российской Федерации А.Ю. Поповой 21 февраля 2017 г.
4. Введены впервые.
СОДЕРЖАНИЕ
Введение
Сборник методических указаний «Измерения концентраций вредных веществ в воздухе рабочей зоны» (выпуск 59) разработан с целью обеспечения контроля соответствия фактических концентраций вредных веществ их предельно допустимым концентрациям (ПДК) и ориентировочным безопасным уровням воздействия (ОБУВ) и является обязательным при осуществлении санитарного контроля.
Включенные в данный сборник методические указания по контролю вредных веществ в воздухе рабочей зоны разработаны и подготовлены в соответствии с требованиями ГОСТ 12.1.016-79 «Воздух рабочей зоны. Требования к методикам измерения концентраций вредных веществ» с изм. 1, ГОСТ 12.1.005-88 «ССБТ. Общие санитарно-гигиенические требования к воздуху рабочей зоны» с изм. 1, ГОСТ Р 8.563-09 «Государственная система обеспечения единства измерений. Методики (методы) измерений», ГОСТ Р ИСО 5725-02 «Точность (правильность и прецизионность) методов и результатов измерений».
Методики выполнены с использованием современных методов исследования, метрологически аттестованы и дают возможность контролировать концентрации химических веществ на уровне и ниже их ПДК и ОБУВ в воздухе рабочей зоны, установленных в ГН 2.2.5.1313-03 «Предельно допустимые концентрации (ПДК) вредных веществ в воздухе рабочей зоны» и ГН 2.2.5.2308-07 «Ориентировочные безопасные уровни воздействия (ОБУВ) вредных веществ в воздухе рабочей зоны» и дополнениях к ним.
Методические указания по измерению массовых концентраций вредных веществ в воздухе рабочей зоны предназначены для лабораторий центров гигиены и эпидемиологии Роспотребнадзора, санитарных лабораторий промышленных предприятий при осуществлении контроля за содержанием вредных веществ в воздухе рабочей зоны, а также научно-исследовательских институтов и других заинтересованных министерств и ведомств.
|
УТВЕРЖДАЮ Руководитель
Федеральной службы _______________________ А.Ю. Попова 21 февраля 2017 г. |
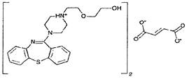
Измерение массовой концентрации
2-[2-(4-дибензо[b,f][1,4]тиазепин-11-ил-1-
пиперазинил)этокси]этанола фумарата (2:1)
(кветиапина фумарат) в воздухе рабочей зоны
методом спектрофотометрии
Методические указания
МУК 4.1.3425-17
Свидетельство о государственной метрологической аттестации № 05-30/RA.RU.311787-2016/2016.
Настоящие методические указания устанавливают порядок применения метода спектрофотометрии для измерений массовой концентрации кветиапина фумарата в воздухе рабочей зоны в диапазоне массовых концентраций 0,1 - 0,7 мг/м3.
Методические указания носят рекомендательный характер.

(C21H25N3O2S)2×С4Н4О4
Молекулярная масса: 883,1.
Регистрационный номер CAS: 111974-72-2.
Кветиапина фумарат - белый кристаллический порошок с температурой плавления 172 - 174 °С, умеренно растворим в воде и спирте этиловом 96 %-м, мало растворим в диметилсульфоксиде и в спирте метиловом.
Агрегатное состояние в воздухе - аэрозоль.
Кветиапина фумарат - нейролептик, представитель нового класса атипичных антипсихотиков, умеренно опасен при введении в желудок, малотоксичен при внутрибрюшинном введении, оказывает слабое раздражающее действие на кожу и выраженное раздражающее действие на слизистые оболочки, проявляет слабую функциональную кумулятивную активность.
Ориентировочный безопасный уровень воздействия (ОБУВ) кветиапина фумарата в воздухе рабочей зоны 0,2 мг/м3.
При соблюдении всех регламентированных условий и проведении анализа в точном соответствии с данной методикой при выполнении измерений массовой концентрации кветиапина фумарата метрологические характеристики не превышают значений, представленных в табл. 1 (при доверительной вероятности Р = 0,95).
Метрологические характеристики
|
Диапазон измерений массовой концентрации кветиапина фумарата, мг/м3 |
Показатель точности (границы относительной погрешности), ±δ, % при Р = 0,95 |
Показатель повторяемости (относительное среднеквадратическое отклонение повторяемости), σr, % |
Показатель воспроизводимости (относительное среднеквадратическое отклонение воспроизводимости), σR, % |
Предел повторяемости, r, %, Р = 0,95, n = 2 |
Критическая
разность для результатов анализа, полученных в двух лабораториях, CD0,95, % |
|
От 0,1 до 0,5 вкл. |
25 |
1 |
10 |
19 |
24 |
|
Св. 0,5 до 0,7 вкл. |
23 |
4 |
6 |
11 |
15 |
Измерение массовой концентрации кветиапина фумарата выполняют методом спектрофотометрии.
Метод определения основан на способности растворов кветиапина фумарата в спирте этиловом 96 %-м поглощать УФ-излучение.
Измерение производят при длине волны 223 нм.
Отбор проб проводят с концентрированием на аналитические аэрозольные фильтры.
Минимально определяемое количество кветиапина фумарата в анализируемом объеме раствора пробы - 20 мкг.
Нижний предел измерений массовой концентрации кветиапина фумарата в воздухе - 0,1 мг/м3 (при отборе 200 дм3 воздуха).
Метод специфичен в условиях производства лекарственной формы, содержащей кветиапина фумарат. Определению не мешают вспомогательные вещества: целлюлоза микрокристаллическая, карбоксиметил-крахмал натрия (тип А), кальция гидрофосфат дигидрат, поливинилпирролидон, магния стеарат, гипромеллоза (гидроксипропилметилцеллюлоза), титана диоксид.
|
Спектрофотометр. Диапазон измерений (54000 - 11000) см-1, воспроизводимость волновых чисел ±1,5 % |
|
|
Весы лабораторные с наибольшим пределом взвешивания 200 г, предел допустимой погрешности взвешивания ±0,2 мг |
|
|
Аспирационное устройство четырехканальное с диапазоном расхода 2,0 - 20 дм3/мин и пределом допустимой погрешности ±5 % |
ТУ 4215-000-11696625-03 |
|
Колбы мерные, 2-50-2, 2-100-2 |
|
|
Пипетки 1-1-2-1, 1-1-2-5, 1-1-2-10 |
|
|
Пробирки мерные с пришлифованными пробками, П-2-10-14/23 ХС |
|
|
Секундомер |
Примечание. Допускается использование средств измерений с аналогичными или лучшими характеристиками.
|
Кветиапина фумарат с содержанием основного вещества не менее 98,0 % в пересчете на сухое вещество. НД ЛСР-008988./10-310810. П № 013043/01-150211 |
|
|
Спирт этиловый 96 %-й ректификованный |
|
|
Вода дистиллированная |
Примечание. Допускается использование реактивов с более высокой квалификацией.
|
Аналитические аэрозольные фильтры гидрофобные на основе перхлорвинила с площадью рабочей поверхности 10 см2 (фильтры) |
ТУ 95-1892-89 |
|
Фильтродержатели |
ТУ 95.72.05-77 |
|
Фильтры бумажные обеззоленные средней плотности (фильтры бумажные) |
ТУ 6-09-1678-77 |
|
Бюксы стеклянные, СВ 24/10 |
|
|
Палочки стеклянные |
|
|
Воронки химические |
|
|
Кюветы кварцевые с толщиной оптического слоя 10 мм |
|
|
Дистиллятор |
|
|
Шкаф сушильный |
ТУ 61-1-721-79 |
Примечание. Допускается применение оборудования с аналогичными или лучшими техническими характеристиками.
6.1. При работе с реактивами соблюдают требования безопасности, установленные для работы с токсичными, едкими и легковоспламеняющимися веществами по ГОСТу 12.1.007-76, ГОСТу 12.1.005-88 с изменением № 1.
6.2. При проведении анализов горючих и вредных веществ должны соблюдаться требования противопожарной безопасности по ГОСТу 12.1.004-91. Должны быть в наличии средства пожаротушения по ГОСТу 12.4.009-83. Необходимо провести обучение работающих правилам безопасности труда согласно ГОСТу 12.0.004-90.
6.3. При выполнении измерений с использованием спектрофотометра соблюдают правила электробезопасности в соответствии с ГОСТом 12.1.019-09 и инструкцией по эксплуатации прибора.
6.4. Помещение лаборатории должно быть оборудовано приточно-вытяжной вентиляцией. Содержание вредных веществ в воздухе рабочей зоны не должно превышать ПДК (ОБУВ), установленных ГН 2.2.5.1313-03 и ГН 2.2.5.2308-07.
К выполнению измерений и обработке их результатов допускается специалист, имеющий высшее образование, опыт работы в химической лаборатории, прошедший обучение и владеющий техникой спектрофотометрического анализа, освоивший метод анализа и уложившийся в нормативы оперативного контроля при проведении процедур контроля погрешности анализа.
8.1. Условия приготовления растворов и подготовки проб к анализу:
- температура воздуха (20 ± 5) °С;
- атмосферное давление (84 - 106) кПа;
- относительная влажность воздуха, не более 80 %.
8.2. Выполнение измерений на спектрофотометре проводят в условиях, рекомендованных технической документацией к прибору.
Перед выполнением измерений проводят следующие работы: приготовление растворов, подготовка спектрофотометра, установление градуировочной характеристики, контроль стабильности градуировочной характеристики, отбор проб воздуха.
9.1.1. Основной раствор кветиапина фумарата. Основной раствор кветиапина фумарата с массовой концентрацией 500 мкг/см3 готовят растворением (0,0500 ± 0,0002) г кветиапина фумарата в спирте этиловом 96 %-м в мерной колбе, вместимостью 100 см3.
Раствор устойчив в течение двух недель при хранении в холодильнике.
9.1.2. Рабочий раствор кветиапина фумарата. Рабочий раствор кветиапина фумарата с массовой концентрацией 100 мкг/см3 готовят разбавлением 10 см3 основного раствора кветиапина фумарата спиртом этиловым 96 %-м в мерной колбе вместимостью 50 см3.
Раствор устойчив в течение недели при хранении в холодильнике.
Подготовку спектрофотометра проводят в соответствии с руководством по его эксплуатации.
Градуировочную характеристику, выражающую зависимость оптической плотности раствора от массы кветиапина фумарата, устанавливают по шести сериям измерений по шести концентрациям вещества в каждой серии согласно табл. 2.
Растворы для установления градуировочной характеристики
при определении кветиапина фумарата
|
Номер градуировочного раствора |
Объем основного раствора кветиапина фумарата с массовой концентрацией 500 мкг/см3, см3 |
Объем рабочего раствора кветиапина фумарата с массовой концентрацией 100 мкг/см3, № 1, см3 |
Содержание кветиапина фумарата на фильтре, мкг |
Массовая концентрация градуировочного раствора кветиапина фумарата, мкг/см3 |
Содержание кветиапина фумарата в анализируемом объеме градуировочного раствора, мкг |
|
1 |
0,0 |
0,0 |
0,0 |
0,0 |
0,0 |
|
2 |
0,0 |
0,2 |
20,0 |
2,0 |
20,0 |
|
3 |
0,0 |
0,3 |
30,0 |
3,0 |
30,0 |
|
4 |
0,0 |
0,4 |
40,0 |
4,0 |
40,0 |
|
5 |
0,0 |
0,5 |
50,0 |
5,0 |
50,0 |
|
6 |
0,20 |
0,0 |
100,0 |
10,0 |
100,0 |
|
7 |
0,28 |
0,0 |
140,0 |
14,0 |
140,0 |
Градуировочные растворы устойчивы в течение суток.
На фильтры, помещенные в бюксы, пипеткой вместимостью 1 см3 наносят основной раствор кветиапина фумарата с массовой концентрацией 500 мкг/см3 и рабочий раствор кветиапина фумарата с массовой концентрацией 100 мкг/см3 в соответствии с табл. 2. Фильтры подсушивают при комнатной температуре и с помощью пипетки вместимостью 5 см3 приливают по 5 см3 спирта этилового 96 %-го и оставляют на 15 минут, периодически помешивая стеклянной палочкой для лучшего растворения вещества. Затем фильтры тщательно отжимают, растворы сливают в пробирки мерные вместимостью 10 см3. Фильтры повторно обрабатывают 5 см3 спирта этилового 96 %-го и оставляют на 15 минут, периодически помешивая стеклянной палочкой, затем фильтры тщательно отжимают и удаляют. Растворы объединяют в мерных пробирках вместимостью 10 см3 и доводят объем до метки спиртом этиловым 96 %-м.
Оптическую плотность полученных градуировочных растворов измеряют в кювете с толщиной поглощающего слоя 10 мм при длине волны 223 нм по отношению к раствору сравнения, не содержащему определяемого вещества (табл. 2, раствор № 1).
Строят градуировочную характеристику: на ось ординат наносят значения оптических плотностей градуировочных растворов, на ось абсцисс - соответствующие им содержания кветиапина фумарата в мкг.
Контроль стабильности градуировочной характеристики проводят не реже 1 раза в квартал, а также при смене реактивов и изменении условий анализа (после ремонта и поверки прибора). Один раз в год градуировочную характеристику устанавливают заново.
Для контроля стабильности готовят три градуировочных раствора по п. 9.3 (в начале, середине и конце диапазона измерений) и анализируют в точном соответствии с методикой.
Градуировочную характеристику считают стабильной, если для каждого контрольного образца выполняется условие:
|
|
(1) |
Dизм, Dгр - значение оптической плотности образца кветиапина фумарата для контроля, измеренное и найденное по градуировочной характеристике;
Kгр - норматив контроля, Kгр = 0,5·δ, где
±δ - границы относительной погрешности, % (табл. 1).
Если условие стабильности не выполняется только для одного образца, то выполняют повторное измерение этого образца с целью исключения результата, содержащего грубую ошибку.
Если градуировочная характеристика не стабильна, выясняют причины нестабильности и повторяют контроль стабильности с использованием других образцов для установления градуировочной характеристики, предусмотренных методикой. При повторном обнаружении нестабильности градуировочной характеристики ее устанавливают заново.
Отбор проб воздуха проводят в соответствии с ГОСТом 12.1.005-88 с изменением № 1 «ССБТ. Общие санитарно-гигиенические требования к воздуху рабочей зоны» и Р 2.2.2006-05 (прилож. 9) «Общие методические требования к организации и проведению контроля содержания вредных веществ в воздухе рабочей зоны», раздел 2 «Контроль соответствия максимальным ПДК».
Одновременно отбирают две параллельные пробы.
Воздух с объемным расходом 20 дм3/мин аспирируют через фильтр, помещенный в фильтродержатель, снабженный металлической сеткой. Для определения массовой концентрации кветиапина фумарата на уровне 0,1 мг/м3 (½ ОБУВ) необходимо отобрать не менее 200 дм3 воздуха в течение 10 мин.
Пробы можно хранить в бюксах с пришлифованными крышками в течение недели.
Фильтр с отобранной пробой переносят в бюкс, пипеткой вместимостью 5 см3 приливают 5 см3 спирта этилового 96 %-го и оставляют на 15 минут, периодически помешивая стеклянной палочкой для лучшего растворения вещества. Затем фильтр тщательно отжимают, раствор сливают в другой бюкс. Фильтр повторно обрабатывают 5 см3 спирта этилового 96 %-го, оставляют на 15 минут, периодически помешивая стеклянной палочкой, затем фильтр тщательно отжимают и удаляют. Оба раствора последовательно фильтруют на химической воронке через фильтр бумажный в мерную пробирку с пришлифованной пробкой, вместимостью 10 см3. Объем раствора доводят до метки спиртом этиловым 96 %-м и далее анализ проводят аналогично градуировочным растворам.
Оптическую плотность полученного анализируемого объема раствора пробы измеряют в кювете с толщиной поглощающего слоя 10 мм при длине волны 223 нм по отношению к раствору сравнения, используя чистый фильтр. Раствор сравнения необходимо предварительно профильтровать через фильтр бумажный.
Количественное определение содержания кветиапина фумарата в анализируемом объеме раствора пробы проводят по предварительно построенной градуировочной характеристике.
Примечание. Фильтрование растворов анализируемых проб проводится для удаления нерастворимых в спирте этиловом 96 %-м вспомогательных веществ, входящих в состав лекарственных форм, содержащих кветиапина фумарат.
Массовую концентрацию кветиапина фумарата в воздухе рабочей зоны С, мг/м3, вычисляют по формуле:
|
|
(2) |
а - содержание кветиапина фумарата в анализируемом объеме раствора пробы, найденное по градуировочной характеристике, мкг;
V20 - объем воздуха, отобранный для анализа (дм3) и приведенный к стандартным условиям (прилож. 1).
За результат измерений принимают среднее арифметическое результатов двух параллельных определений, если выполняется условие приемлемости:
С1, С2 - результаты параллельных определений массовой концентрации кветиапина фумарата в воздухе рабочей зоны, мг/м3;
r - значение предела повторяемости, % (табл. 1).
Если условие (3) не выполняется, выясняют причины превышения предела повторяемости, устраняют их и повторяют выполнение измерений в соответствии с требованиями методики измерений.
Результат количественного химического анализа представляют в виде:
|
|
- среднее арифметическое значение
результатов n определений, признанных
приемлемыми, мг/м3;
±δ - границы относительной погрешности измерений, % (табл. 1).
Если полученный результат анализа ниже нижней (выше верхней) границы диапазона измерений, то производят следующую запись в журнале: «массовая концентрация кветиапина фумарата менее 0,1 мг/м3 (более 0,7 мг/м3)».
Проверку приемлемости результатов измерений в условиях воспроизводимости проводят:
а) при возникновении спорных ситуаций между двумя лабораториями;
б) при проверке совместимости результатов измерений, полученных при сличительных испытаниях (при проведении аккредитации лабораторий и инспекционного контроля).
Для проведения проверки приемлемости результатов измерений в условиях воспроизводимости каждая лаборатория использует пробы, оставленные на хранение.
Приемлемость результатов измерений, полученных в двух лабораториях, оценивают сравнением разности этих результатов с критической разностью CD0,95 по формуле:
|
|
(4) |
Сср1, Сср2 - средние значения массовой концентрации кветиапина фумарата, полученные в первой и второй лабораториях, мг/м3;
CD0,95 - значение критической разности, % (табл. 1).
Если критическая разность не превышена, то приемлемы оба результата измерений, проводимых двумя лабораториями, и в качестве окончательного результата используют их среднеарифметическое значение. Если критическая разность превышена, то выполняют процедуры, изложенные в ГОСТ Р ИСО 5725-6-02 (п. 5.3.3).
При разногласиях руководствуются ГОСТ Р ИСО 5725-6-02 (п. 5.3.4).
Контроль качества результатов измерений в лаборатории при реализации методики осуществляют по ГОСТ Р ИСО 5725-6-02, используя контроль стабильности среднеквадратического (стандартного) отклонения повторяемости по п. 6.2.2 ГОСТ Р ИСО 5725-6-02 и показателя правильности по п. 6.2.4 ГОСТ Р ИСО 5725-6-02.
Рекомендуется устанавливать контролируемый период так, чтобы количество результатов контрольных измерений было от 20 до 30.
При неудовлетворительных результатах контроля, например, при превышении предела действия или регулярном превышении предела предупреждения, выясняют причины этих отклонений, в том числе проводят смену реактивов, проверяют работу оператора.
Разработаны сотрудниками ООО «Алгама» (Сергеюк Н.П.), АО «ВНЦ БАВ» (Голубева М.И., Крымова Л.И.), ФГБНУ «НИИ МТ» (Макеева Л.Г.).
Приведение объема воздуха к стандартным условиям
Приведение объема воздуха к стандартным условиям при температуре 293К (20 °С) и атмосферном давление 101,33 кПа (760 мм рт. ст.):
|
|
Vt - объем воздуха, отобранный для анализа, дм3;
Р - барометрическое давление, кПа (101,33 кПа = 760 мм рт. ст.);
t - температура воздуха в месте отбора пробы, °С.
Для удобства расчета V20 следует пользоваться таблицей коэффициентов (прилож. 2). Для приведения воздуха к стандартным условиям надо умножить Vt на соответствующий коэффициент.
Коэффициенты для приведения
объема воздуха
к стандартным условиям
|
Давление Р, кПа/мм рт. ст. |
||||||||||
|
t °C |
97,33/730 |
97,86/734 |
98,4/738 |
98,93/742 |
99,46/746 |
100/750 |
100,53/754 |
101,06/758 |
101,33/760 |
101,86/764 |
|
-30 |
1,1582 |
1,1646 |
1,1709 |
1,1772 |
1,1836 |
1,1899 |
1,1963 |
1,2026 |
1,2058 |
1,2122 |
|
-26 |
1,1393 |
1,1456 |
1,1519 |
1,1581 |
1,1644 |
1,1705 |
1,1768 |
1,1831 |
1,1862 |
1,1925 |
|
-22 |
1,1212 |
1,1274 |
1,1336 |
1,1396 |
1,1458 |
1,1519 |
1,1581 |
1,1643 |
1,1673 |
1,1735 |
|
-18 |
1,1036 |
1,1097 |
1,1158 |
1,1218 |
1,1278 |
1,1338 |
1,1399 |
1,1460 |
1,1490 |
1,1551 |
|
-14 |
1,0866 |
1,0926 |
1,0986 |
1,1045 |
1,1105 |
1,1164 |
1,1224 |
1,1284 |
1,1313 |
1,1373 |
|
-10 |
1,0701 |
1,0760 |
1,0819 |
1,0877 |
1,0986 |
1,0994 |
1,1053 |
1,1112 |
1,1141 |
1,1200 |
|
-6 |
1,0540 |
1,0599 |
1,0657 |
1,0714 |
1,0772 |
1,0829 |
1,0887 |
1,0945 |
1,0974 |
1,1032 |
|
-2 |
1,0385 |
1,0442 |
1,0499 |
1,0556 |
1,0613 |
1,0669 |
1,0726 |
1,0784 |
1,0812 |
1,0869 |
|
0 |
1,0309 |
1,0366 |
1,0423 |
1,0477 |
1,0535 |
1,0591 |
1,0648 |
1,0705 |
1,0733 |
1,0789 |
|
+2 |
1,0234 |
1,0291 |
1,0347 |
1,0402 |
1,0459 |
1,0514 |
1,0571 |
1,0627 |
1,0655 |
1,0712 |
|
+6 |
1,0087 |
1,0143 |
1,0198 |
1,0253 |
1,0309 |
1,0363 |
1,0419 |
1,0475 |
1,0502 |
1,0557 |
|
+10 |
0,9944 |
0,9999 |
0,0054 |
1,0108 |
1,0162 |
1,0216 |
1,0272 |
1,0326 |
1,0353 |
1,0407 |
|
+14 |
0,9806 |
0,9860 |
0,9914 |
0,9967 |
1,0027 |
1,0074 |
1,0128 |
1,0183 |
1,0209 |
1,0263 |
|
+18 |
0,9671 |
0,9725 |
0,9778 |
0,9830 |
0,9884 |
0,9936 |
0,9989 |
1,0043 |
1,0069 |
1,0122 |
|
+20 |
0,9605 |
0,9658 |
0,9711 |
0,9783 |
0,9816 |
0,9868 |
0,9921 |
0,9974 |
1,0000 |
1,0053 |
|
+22 |
0,9539 |
0,9592 |
0,9645 |
0,9696 |
0,9749 |
0,9800 |
0,9853 |
0,9906 |
0,9932 |
0,9985 |
|
+24 |
0,9475 |
0,9527 |
0,9579 |
0,9631 |
0,9683 |
0,9735 |
0,9787 |
0,9839 |
0,9865 |
0,9917 |
|
+26 |
0,9412 |
0,9464 |
0,9516 |
0,9566 |
0,9618 |
0,9669 |
0,9721 |
0,9773 |
0,9799 |
0,9851 |
|
+28 |
0,9349 |
0,9401 |
0,9453 |
0,9503 |
0,9555 |
0,9605 |
0,9657 |
0,9708 |
0,9734 |
0,9785 |
|
+30 |
0,9288 |
0,9339 |
0,9391 |
0,9440 |
0,9432 |
0,9542 |
0,9594 |
0,9645 |
0,9670 |
0,9723 |
|
+34 |
0,9167 |
0,9218 |
0,9268 |
0,9318 |
0,9368 |
0,9418 |
0,9468 |
0,9519 |
0,9544 |
0,9595 |
|
+38 |
0,9049 |
0,9099 |
0,9149 |
0,9199 |
0,9248 |
0,9297 |
0,9347 |
0,9397 |
0,9421 |
0,9471 |
Указатель основных
синонимов, технических, торговых и
фирменных названий веществ
|
1. Анастрозол |
119 |
|
2. Бусерелина ацетат |
38 |
|
3. Ионозин пранобекс |
72 |
|
4. Кандесартан |
130 |
|
5. Кандесартана цилексетил |
130 |
|
6. Кветиапина фумарат |
50 |
|
7. Метопролола тартрат |
107 |
|
8. Натрий лаурилсульфат |
82 |
|
9. Натрий лимоннокислый трехзамещенный дигидрат |
28 |
|
10. Тикагрелор |
60 |
|
11. Транексамовая кислота |
6 |
|
12. Тринатрия цитрат дигидрат |
28 |