Государственное санитарно-эпидемиологическое
нормирование
Российской Федерации
4.1. МЕТОДЫ КОНТРОЛЯ. ХИМИЧЕСКИЕ ФАКТОРЫ
Измерения
концентраций вредных веществ
в воздухе рабочей зоны
Сборник методических указаний
МУК
4.1.3421 - 4.1.3432-17
Выпуск 59
Москва 2017
1. Подготовлены коллективом авторов ФГБНУ «Научно-исследовательского института медицины труда» (Л.Г. Макеева - руководитель, Н.С. Горячев, Е.Н. Грицун, Н.Л. Полуэктова), ФБУЗ «Федеральный центр гигиены и эпидемиологии» Роспотребнадзора (В.Г. Сенникова, В.Н. Малхожева, Л.С. Осипова).
2. Рекомендованы к утверждению Комиссией по государственному санитарно-эпидемиологическому нормированию Федеральной службы по надзору в сфере защиты прав потребителей и благополучия человека (протокол от 22 декабря 2016 г. № 2).
3. Утверждены Руководителем Федеральной службы по надзору в сфере защиты прав потребителей и благополучия человека, Главным государственным санитарным врачом Российской Федерации А.Ю. Поповой 21 февраля 2017 г.
4. Введены впервые.
СОДЕРЖАНИЕ
Введение
Сборник методических указаний «Измерения концентраций вредных веществ в воздухе рабочей зоны» (выпуск 59) разработан с целью обеспечения контроля соответствия фактических концентраций вредных веществ их предельно допустимым концентрациям (ПДК) и ориентировочным безопасным уровням воздействия (ОБУВ) и является обязательным при осуществлении санитарного контроля.
Включенные в данный сборник методические указания по контролю вредных веществ в воздухе рабочей зоны разработаны и подготовлены в соответствии с требованиями ГОСТ 12.1.016-79 «Воздух рабочей зоны. Требования к методикам измерения концентраций вредных веществ» с изм. 1, ГОСТ 12.1.005-88 «ССБТ. Общие санитарно-гигиенические требования к воздуху рабочей зоны» с изм. 1, ГОСТ Р 8.563-09 «Государственная система обеспечения единства измерений. Методики (методы) измерений», ГОСТ Р ИСО 5725-02 «Точность (правильность и прецизионность) методов и результатов измерений».
Методики выполнены с использованием современных методов исследования, метрологически аттестованы и дают возможность контролировать концентрации химических веществ на уровне и ниже их ПДК и ОБУВ в воздухе рабочей зоны, установленных в ГН 2.2.5.1313-03 «Предельно допустимые концентрации (ПДК) вредных веществ в воздухе рабочей зоны» и ГН 2.2.5.2308-07 «Ориентировочные безопасные уровни воздействия (ОБУВ) вредных веществ в воздухе рабочей зоны» и дополнениях к ним.
Методические указания по измерению массовых концентраций вредных веществ в воздухе рабочей зоны предназначены для лабораторий центров гигиены и эпидемиологии Роспотребнадзора, санитарных лабораторий промышленных предприятий при осуществлении контроля за содержанием вредных веществ в воздухе рабочей зоны, а также научно-исследовательских институтов и других заинтересованных министерств и ведомств.
|
УТВЕРЖДАЮ Руководитель
Федеральной службы _______________________ А.Ю. Попова 21 февраля 2017 г. |
4.1. МЕТОДЫ КОНТРОЛЯ. ХИМИЧЕСКИЕ ФАКТОРЫ
Измерение массовой концентрации
(±)-1-[4-(2-метоксиэтил)фенокси]-3-[(1-метилэтил)
амино]-2-пропанола тартрата (2:1) (метопролола
тартрат) в воздухе рабочей зоны методом
высокоэффективной жидкостной хроматографии
Методические указания
МУК 4.1.3430-17
Свидетельство о государственной метрологической аттестации № 01.00225/205-11-16.
Настоящие методические указания устанавливают порядок применения метода высокоэффективной жидкостной хроматографии для измерений массовой концентрации метопролола тартрата в воздухе рабочей зоны в диапазоне массовых концентраций от 0,15 до 1,50 мг/м3.
Методические указания носят рекомендательный характер.
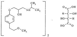
Метопролола тартрат

(C15H25NO3)2×C4H6O6
Молекулярная масса: 684,9.
Регистрационный номер CAS: 56392-17-7.
Метопролола тартрат - белый кристаллический порошок с температурой плавления 120 °С, очень легко растворим в воде, легко растворим в метиленхлориде, хлороформе и спирте этиловом; практически нерастворим в диэтиловом эфире и ацетоне.
Агрегатное состояние в воздухе - аэрозоль.
Метопролола тартрат относится к кардиоселективным блокаторам β-адренорецепторов, применяется в качестве гипотензивного, антиангинального и антиаритмического средства; умеренно опасен при поступлении внутрь, обладает общетоксическим действием.
Ориентировочный безопасный уровень воздействия (ОБУВ) метопролола тартрата в воздухе рабочей зоны 0,3 мг/м3.
При соблюдении всех регламентированных условий и проведении анализа в точном соответствии с данной методикой при выполнении измерений массовой концентрации метопролола тартрата метрологические характеристики не превышают значений, представленных в табл. 1 (при доверительной вероятности Р = 0,95).
Метрологические характеристики
|
Диапазон измерений массовой концентрации метопролола тартрата, мг/м3 |
Показатель точности (границы относительной погрешности), ±δ, % при Р = 0,95 |
Показатель повторяемости (относительное среднеквадратическое отклонение повторяемости), σr, % |
Показатель воспроизводимости (относительное среднеквадратическое отклонение воспроизводимости), σR,% |
Предел
повторяемости, r, %, |
Критическая
разность для результатов анализа, полученных в двух лабораториях, |
|
От 0,15 до 1,0 вкл. |
14 |
2,5 |
4 |
7 |
10 |
|
Св. 1,0 до 1,5 вкл. |
11 |
1,5 |
3 |
4 |
8 |
Измерение массовой концентрации метопролола тартрата выполняют методом высокоэффективной жидкостной хроматографии с ультрафиолетовым спектрофотометрическим (УФ) детектированием. Метод основан на разделении метопролола тартрата и других компонентов анализируемой смеси на хроматографической колонке, заполненной сорбентом, с последующей регистрацией метопролола тартрата с помощью ультрафиолетового детектора. Сигнал детектора прямо пропорционален концентрации метопролола тартрата.
Измерение проводят при длине волны 280 нм.
Отбор проб проводят с концентрированием на аналитические аэрозольные фильтры.
Минимально определяемое количество метопролола тартрата в хроматографируемом объеме раствора пробы - 0,1 мкг.
Нижний предел измерения массовой концентрации метопролола тартрата в воздухе 0,15 мг/м3 (при отборе 67,0 дм3 воздуха).
Метод специфичен в условиях приготовления лекарственных форм на основе метопролола тартрата. Измерению не мешают вспомогательные вещества: лактозы моногидрат, целлюлоза микрокристаллическая, карбоксиметилкрахмал натрия, кремния диоксид коллоидный, повидон, магния стеарат.
|
Хроматограф жидкостный с ультрафиолетовым (УФ) детектором |
|
|
Весы лабораторные с наибольшим пределом взвешивания 200 г, предел допустимой погрешности взвешивания ±0,2 мг |
|
|
Аспирационное устройство двухканальное с диапазоном расхода 2,0 - 20,0 дм3/мин с пределом допустимой погрешности ±5 % |
ТУ 4215-000-11696625-03 |
|
Иономер лабораторный типа pH - 121 с пределом pH от -1 до +19 ед. |
ГОСТ 22261-76 |
|
Колбы мерные, 2-50-2, 2-100-2, 2-1000-2 |
|
|
Пробирки мерные с пришлифованными пробками, П-2-10-14/23 ХС |
|
|
Цилиндры мерные, 3 - 100, 1 - 1000 |
|
|
Микрошприц М-100 вместимостью 100 мм3 |
ГОСТ 8043-74 |
Примечание. Допускается использование средств измерений с аналогичными или лучшими техническими характеристиками.
|
Метопролола тартрат с содержанием основного вещества не менее 99,0 % в пересчете на сухое вещество. Сертификат анализа 10.07.2014 |
|
|
Ацетонитрил, осч |
ТУ 6-09-14-2167-84 |
|
Калий фосфорнокислый однозамещенный, хч |
|
|
Кислота ортофосфорная, чда, 85 %-й раствор, плотность ρ = 1,698 г/см3 |
|
|
Вода дистиллированная |
|
|
Вода осч |
ТУ 6-09-2502-77 |
Примечание. Допускается использование реактивов с более высокой квалификацией.
|
Колонка аналитическая, размером 150×4,6 мм, заполненная сорбентом С18 с размером частиц 3,5 мкм |
|
|
Аналитические аэрозольные фильтры гидрофобные на основе перхлорвинила с площадью рабочей поверхности 10 см2 (фильтры) |
ТУ 95-1892-89 |
|
Фильтродержатели |
ТУ 95.72.05-77 |
|
Мембранный фильтр с диаметром пор 0,45 мкм |
ТУ 9471-002-10471723-03 |
|
Бюксы стеклянные, СВ 24/10 |
|
|
Палочки стеклянные |
|
|
Воронки химические |
|
|
Дистиллятор |
|
|
Шкаф сушильный |
ТУ 61-1-721-79 |
Примечание. Допускается применение оборудования с аналогичными или лучшими техническими характеристиками.
6.1. При работе с реактивами соблюдают требования безопасности, установленные для работы с токсичными, едкими и легковоспламеняющимися веществами по ГОСТу 12.1.007-76, ГОСТу 12.1.005-88 с изменением № 1.
6.2. При проведении анализов горючих и вредных веществ должны соблюдаться требования противопожарной безопасности по ГОСТу 12.1.004-91. Должны быть в наличии средства пожаротушения по ГОСТу 12.4.009-83. Необходимо провести обучение работающих правилам безопасности труда согласно ГОСТу 12.0.004-90.
6.3. При выполнении измерений с использованием жидкостного хроматографа соблюдают правила электробезопасности в соответствии с ГОСТом 12.1.019-09 и инструкцией по эксплуатации прибора.
6.4. Помещение лаборатории должно быть оборудовано приточно-вытяжной вентиляцией. Содержание вредных веществ в воздухе рабочей зоны не должно превышать ПДК (ОБУВ), установленных ГН 2.2.5.1313-03 и ГН 2.2.5.2308-07.
К выполнению измерений и обработке их результатов допускается специалист, имеющий высшее образование, опыт работы в химической лаборатории, прошедший обучение и владеющий техникой анализа методом высокоэффективной жидкостной хроматографии, освоивший метод анализа в процессе тренировки и уложившийся в нормативы оперативного контроля при проведении процедур контроля погрешности анализа.
8.1. Условия приготовления растворов и подготовки проб к анализу:
- температура воздуха (20 ± 5) °С;
- атмосферное давление (84 - 106) кПа;
- относительная влажность воздуха, не более 80 %.
8.2. Выполнение измерений на жидкостном хроматографе проводят в условиях, рекомендованных технической документацией к прибору.
Перед выполнением измерений проводят следующие работы: приготовление растворов, подготовка жидкостного хроматографа, установление градуировочной характеристики, отбор проб воздуха.
9.1.1. Основной раствор метопролола тартрата с массовой концентрацией 500 мг/см3 готовят растворением (0,0500 ± 0,0002) г метопролола тартрата в смеси ацетонитрила и воды особо чистой в соотношении 1:4 (по объему) в мерной колбе вместимостью 100 см3.
Раствор устойчив в течение недели при хранении в холодильнике.
9.1.2. Рабочий раствор метопролола тартрата с массовой концентрацией 100 мкг/см3 готовят разбавлением 10,0 см3 основного раствора метопролола тартрата смесью ацетонитрила и воды особо чистой в соотношении 1:4 (по объему) в мерной колбе вместимостью 50 см3.
Раствор устойчив в течение недели при хранении в холодильнике.
9.1.3. Приготовление смеси: ацетонитрил и вода особо
чистая в соотношении 1:4 (по объему). В мерной колбе вместимостью 1000 см3
смешивают 200 см3 ацетонитрила и 800 см3 воды особо
чистой. ![]()
Раствор устойчив в течение месяца при хранении в холодильнике.
9.1.4. Фосфатный буферный раствор с pH 4,5. Навеску калия фосфорнокислого однозамещенного в количестве 6,81 г помещают в мерную колбу вместимостью 1000 см3, прибавляют воды особо чистой и перемешивают до растворения вещества. Затем доводят объем водой особо чистой до метки и перемешивают. Устанавливают pH полученного раствора равным 4,5 ± 0,2 путем прибавления кислоты ортофосфорной 85 %-й с потенциометрическим контролем.
Раствор устойчив в течение месяца при хранении в холодильнике.
9.1.5. Подвижная фаза: смесь ацетонитрила и фосфатного буферного раствора с pH 4,5 в соотношении 1:4 (по объему). В мерной колбе вместимостью 1000 см3 смешивают 200 см3 ацетонитрила и 800 см3 фосфатного буферного раствора с pH 4,5. Перед использованием подвижную фазу фильтруют через мембранный фильтр с диаметром пор 0,45 мкм и дегазируют.
Хранят в хорошо укупоренной таре в защищенном от света месте в течение недели.
Подготовку хроматографа проводят в соответствии с руководством по его эксплуатации.
Градуировочную характеристику, выражающую зависимость площади пиков (приборные единицы) от содержания метопролола тартрата в хроматографируемом объеме градуировочных растворов, устанавливают по методу абсолютной градуировки по шести сериям измерений по шести концентрациям вещества в каждой серии согласно табл. 2.
Растворы для установления градуировочной характеристики
при определении метопролола тартрата
|
Номер градуировочного раствора |
Объем основного раствора с концентрацией метопролола тартрата 500 мкг/см3, см3 |
Объем рабочего раствора с концентрацией метопролола тартрата 100 мкг/см3, см3 |
Содержание метопролола тартрата на фильтре, мкг |
Массовая концентрация метопролола тартрата в градуировочном растворе, мкг/см3 |
Содержание метопролола тартрата в хроматографируемом объеме градуировочного раствора, мкг |
|
1 |
0,0 |
0,0 |
0,0 |
0,0 |
0,0 |
|
2 |
0,0 |
0,1 |
10,0 |
1,0 |
0,1 |
|
3 |
0,0 |
0,2 |
20,0 |
2,0 |
0,2 |
|
4 |
0,0 |
0,4 |
40,0 |
4,0 |
0,4 |
|
5 |
0,12 |
0,0 |
60,0 |
6,0 |
0,6 |
|
6 |
0,16 |
0,0 |
80,0 |
8,0 |
0,8 |
|
7 |
0,20 |
0,0 |
100,0 |
10,0 |
1,0 |
Градуировочные растворы используют свежеприготовленными. Растворы устойчивы в течение суток при хранении в холодильнике.
На фильтры, помещенные в бюксы, пипеткой вместимостью 1 см3 наносят основной раствор метопролола тартрата с массовой концентрацией 500 мкг/см3 и рабочий раствор метопролола тартрата с массовой концентрацией 100 мкг/см3 в соответствии с табл. 2. Фильтры подсушивают при комнатной температуре, затем, используя пипетку вместимостью 5,0 см3, приливают по 5,0 см3 смеси ацетонитрила и воды особо чистой в соотношении 1:4 (по объему) и оставляют на 15 минут, периодически помешивая стеклянной палочкой для лучшего растворения вещества. Затем фильтры тщательно отжимают, растворы сливают в мерные пробирки вместимостью 10 см3. Фильтры повторно обрабатывают 5 см3 смеси ацетонитрила и воды особо чистой в соотношении 1:4 (по объему) и оставляют на 15 минут, периодически помешивая стеклянной палочкой, затем фильтры тщательно отжимают и удаляют. Растворы сливают в те же пробирки и доводят объем раствора до 10,0 см3 смесью ацетонитрила и воды особо чистой в соотношении 1:4 (по объему). Далее раствор фильтруют через мембранный фильтр с диаметром пор 0,45 мкм в хроматографическую виалу.
Инжектируют в хроматограф по 0,1 см3 каждого из градуировочных растворов.
По полученным данным методом абсолютной градуировки строят градуировочную характеристику, выражающую зависимость площади пика (приборные единицы) от содержания метопролола тартрата в хроматографируемом объеме градуировочных растворов (мкг).
|
Длина волны детектора |
280 нм |
|
Объем вводимой пробы |
0,1 см3 |
|
Температура колонки |
40 °С |
|
Расход подвижной фазы |
1,0 см3/мин |
|
Время удерживания метопролола тартрата |
(4,0 ± 2,5 %) мин |
Контроль стабильности градуировочной характеристики проводят не реже 1 раза в три месяца, а также при смене реактивов или изменении условий анализа.
Один раз в год градуировочную характеристику устанавливают заново.
Для контроля стабильности используют вновь приготовленные градуировочные растворы с массовой концентрацией исследуемого вещества по п. 9.3 (в начале, середине и в конце измерений) и анализируют в точном соответствии с методикой.
Градуировочную характеристику считают стабильной, если для каждого контрольного образца выполняется условие:
|
|
(1) |
Sизм, Sгр - значение площади пика (приборные единицы) метопролола тартрата в образце для контроля, измеренное и найденное по градуировочной характеристике соответственно;
Kгр - норматив контроля, Kгр = 0,5·δ, где
±δ - границы относительной погрешности, % (табл. 1).
Если условие стабильности не выполняется только для одного образца, то выполняют повторное измерение этого образца с целью исключения результата, содержащего грубую ошибку.
Если градуировочная характеристика не стабильна, выясняют причины нестабильности и повторяют контроль стабильности с использованием других образцов для градуировочной характеристики, предусмотренной методикой. При повторном обнаружении нестабильности градуировочной характеристики прибор градуируют заново.
Отбор проб проводят с учетом требований ГОСТа 12.1.005-88 с изменением № 1 «ССБТ. Общие санитарно-гигиенические требования к воздуху рабочей зоны» и Р 2.2.2006-05 (прилож. 9) «Общие методические требования к организации и проведению контроля содержания вредных веществ в воздухе рабочей зоны», раздел 2 «Контроль соответствия максимальным ПДК».
Одновременно отбирают две параллельные пробы.
Воздух с объемным расходом 5 дм3/мин аспирируют через фильтр, помещенный в фильтродержатель, снабженный металлической сеткой. Для определения массовой концентрации метопролола тартрата на уровне 0,15 мг/м3 (½ ОБУВ) отбирают не менее 67 дм3 воздуха в течение 13,4 минут.
Отобранные пробы можно хранить в бюксах в течение суток в холодильнике.
Фильтр с отобранной пробой помещают в бюкс, пипеткой вместимостью 5 см3 приливают 5,0 см3 смеси ацетонитрила и воды особо чистой в соотношении 1:4 (по объему) и оставляют на 15 минут, периодически помешивая стеклянной палочкой для лучшего растворения вещества. Затем фильтр тщательно отжимают, раствор сливают в мерную пробирку вместимостью 10 см3. Фильтр повторно обрабатывают 5,0 см3 смеси ацетонитрила и воды особо чистой в соотношении 1:4 (по объему) и оставляют на 15 минут, периодически помешивая стеклянной палочкой, фильтр снова тщательно отжимают и удаляют. Раствор сливают в ту же пробирку, объем раствора доводят до метки смесью ацетонитрила и воды особо чистой в соотношении 1:4 (по объему). Далее раствор фильтруют через мембранный фильтр с диаметром пор 0,45 мкм в хроматографическую виалу.
Инжектируют в хроматограф по 0,1 см3 раствора анализируемой пробы.
Хроматографический анализ растворов пробы выполняют в тех же условиях, что и хроматографирование градуировочных растворов.
Регистрируют не менее двух хроматограмм для каждого раствора анализируемой пробы, соблюдая все условия, требуемые для градуировки хроматографической системы.
Количественное определение содержания метопролола тартрата (в мкг) в хроматографируемом объеме раствора анализируемой пробы проводят по предварительно построенной градуировочной характеристике.
Примечание. Фильтрование растворов анализируемых проб проводится для удаления нерастворимых в смеси ацетонитрила и воды особо чистой в соотношении 1:4 (по объему) вспомогательных веществ, входящих в состав лекарственных форм, содержащих метопролола тартрат.
Массовую концентрацию метопролола тартрата в воздухе рабочей зоны С, мг/м3, вычисляют по формуле:
|
|
(2) |
а - содержание вещества в хроматографируемом объеме раствора анализируемой пробы, найденное по градуировочной характеристике, мкг;
В - общий объем раствора анализируемой пробы, см3;
б - хроматографируемый объем раствора анализируемой пробы, см3;
V20 - объем воздуха, отобранный для анализа (дм3) и приведенный к стандартным условиям (прилож. 1).
За результат измерений принимают среднее арифметическое результатов двух параллельных определений, если выполняется условие приемлемости:
С1, С2 - результаты параллельных определений массовой концентрации метопролола тартрата в воздухе рабочей зоны, мг/м3;
r - значение предела повторяемости, % (табл. 1).
Если условие не выполняется, выясняют причины превышения предела повторяемости, устраняют их и повторяют выполнение измерений в соответствии с требованиями методики измерений.
Результат количественного химического анализа представляют в виде:
|
|
- среднее арифметическое значение
результатов n определений, признанных
приемлемыми, мг/м3;
±δ - границы относительной погрешности измерений, % (табл. 1).
Если полученный результат измерений ниже нижней (выше верхней) границы диапазона измерений, то производят следующую запись в журнале: «массовая концентрация метопролола тартрата менее 0,15 мг/м3 (более 1,5 мг/м3)».
Проверку приемлемости результатов измерений в условиях воспроизводимости проводят:
а) при возникновении спорных ситуаций между двумя лабораториями;
б) при проверке совместимости результатов измерений, полученных при сличительных испытаниях (при проведении аккредитации лабораторий и инспекционного контроля).
Для проведения проверки приемлемости результатов измерений в условиях воспроизводимости каждая лаборатория использует пробы, оставленные на хранение.
Приемлемость результатов измерений, полученных в двух лабораториях, оценивают сравнением разности этих результатов с критической разностью CD0,95 по формуле:
|
|
(4) |
Сср1, Сср2 - средние значения массовой концентрации метопролола тартрата, полученные в первой и второй лабораториях, мг/м3;
CD0,95 - значение критической разности, % (табл. 1).
Если критическая разность не превышена, то приемлемы оба результата измерений, проводимых двумя лабораториями, и в качестве окончательного результата используют их среднеарифметическое значение. Если критическая разность превышена, то выполняют процедуры, изложенные в ГОСТ Р ИСО 5725-6-02 (п. 5.3.3).
При разногласиях руководствуются ГОСТ Р ИСО 5725-6-02 (п. 5.3.4).
Контроль качества результатов измерений в лаборатории при реализации методики осуществляют по ГОСТ Р ИСО 5725-6-02, используя контроль стабильности среднеквадратического (стандартного) отклонения повторяемости по п. 6.2.2 ГОСТ Р ИСО 5725-6-02 и показателя правильности по п. 6.2.4 ГОСТ Р ИСО 5725-6-02.
Рекомендуется устанавливать контролируемый период так, чтобы количество результатов контрольных измерений было от 20 до 30.
При неудовлетворительных результатах контроля, например, при превышении предела действия или регулярном превышении предела предупреждения, выясняют причины этих отклонений, в том числе проводят смену реактивов, проверяют работу оператора.
Разработаны сотрудниками ООО «Алгама» (Сергеюк Н.П.) и АО «ВНЦ БАВ» (Голубева М.И., Крымова Л.И.).
Приведение объема воздуха к стандартным условиям
Приведение объема воздуха к стандартным условиям при температуре 293К (20 °С) и атмосферном давление 101,33 кПа (760 мм рт. ст.):
|
|
Vt - объем воздуха, отобранный для анализа, дм3;
Р - барометрическое давление, кПа (101,33 кПа = 760 мм рт. ст.);
t - температура воздуха в месте отбора пробы, °С.
Для удобства расчета V20 следует пользоваться таблицей коэффициентов (прилож. 2). Для приведения воздуха к стандартным условиям надо умножить Vt на соответствующий коэффициент.
Коэффициенты для приведения
объема воздуха
к стандартным условиям
|
Давление Р, кПа/мм рт. ст. |
||||||||||
|
t °C |
97,33/730 |
97,86/734 |
98,4/738 |
98,93/742 |
99,46/746 |
100/750 |
100,53/754 |
101,06/758 |
101,33/760 |
101,86/764 |
|
-30 |
1,1582 |
1,1646 |
1,1709 |
1,1772 |
1,1836 |
1,1899 |
1,1963 |
1,2026 |
1,2058 |
1,2122 |
|
-26 |
1,1393 |
1,1456 |
1,1519 |
1,1581 |
1,1644 |
1,1705 |
1,1768 |
1,1831 |
1,1862 |
1,1925 |
|
-22 |
1,1212 |
1,1274 |
1,1336 |
1,1396 |
1,1458 |
1,1519 |
1,1581 |
1,1643 |
1,1673 |
1,1735 |
|
-18 |
1,1036 |
1,1097 |
1,1158 |
1,1218 |
1,1278 |
1,1338 |
1,1399 |
1,1460 |
1,1490 |
1,1551 |
|
-14 |
1,0866 |
1,0926 |
1,0986 |
1,1045 |
1,1105 |
1,1164 |
1,1224 |
1,1284 |
1,1313 |
1,1373 |
|
-10 |
1,0701 |
1,0760 |
1,0819 |
1,0877 |
1,0986 |
1,0994 |
1,1053 |
1,1112 |
1,1141 |
1,1200 |
|
-6 |
1,0540 |
1,0599 |
1,0657 |
1,0714 |
1,0772 |
1,0829 |
1,0887 |
1,0945 |
1,0974 |
1,1032 |
|
-2 |
1,0385 |
1,0442 |
1,0499 |
1,0556 |
1,0613 |
1,0669 |
1,0726 |
1,0784 |
1,0812 |
1,0869 |
|
0 |
1,0309 |
1,0366 |
1,0423 |
1,0477 |
1,0535 |
1,0591 |
1,0648 |
1,0705 |
1,0733 |
1,0789 |
|
+2 |
1,0234 |
1,0291 |
1,0347 |
1,0402 |
1,0459 |
1,0514 |
1,0571 |
1,0627 |
1,0655 |
1,0712 |
|
+6 |
1,0087 |
1,0143 |
1,0198 |
1,0253 |
1,0309 |
1,0363 |
1,0419 |
1,0475 |
1,0502 |
1,0557 |
|
+10 |
0,9944 |
0,9999 |
0,0054 |
1,0108 |
1,0162 |
1,0216 |
1,0272 |
1,0326 |
1,0353 |
1,0407 |
|
+14 |
0,9806 |
0,9860 |
0,9914 |
0,9967 |
1,0027 |
1,0074 |
1,0128 |
1,0183 |
1,0209 |
1,0263 |
|
+18 |
0,9671 |
0,9725 |
0,9778 |
0,9830 |
0,9884 |
0,9936 |
0,9989 |
1,0043 |
1,0069 |
1,0122 |
|
+20 |
0,9605 |
0,9658 |
0,9711 |
0,9783 |
0,9816 |
0,9868 |
0,9921 |
0,9974 |
1,0000 |
1,0053 |
|
+22 |
0,9539 |
0,9592 |
0,9645 |
0,9696 |
0,9749 |
0,9800 |
0,9853 |
0,9906 |
0,9932 |
0,9985 |
|
+24 |
0,9475 |
0,9527 |
0,9579 |
0,9631 |
0,9683 |
0,9735 |
0,9787 |
0,9839 |
0,9865 |
0,9917 |
|
+26 |
0,9412 |
0,9464 |
0,9516 |
0,9566 |
0,9618 |
0,9669 |
0,9721 |
0,9773 |
0,9799 |
0,9851 |
|
+28 |
0,9349 |
0,9401 |
0,9453 |
0,9503 |
0,9555 |
0,9605 |
0,9657 |
0,9708 |
0,9734 |
0,9785 |
|
+30 |
0,9288 |
0,9339 |
0,9391 |
0,9440 |
0,9432 |
0,9542 |
0,9594 |
0,9645 |
0,9670 |
0,9723 |
|
+34 |
0,9167 |
0,9218 |
0,9268 |
0,9318 |
0,9368 |
0,9418 |
0,9468 |
0,9519 |
0,9544 |
0,9595 |
|
+38 |
0,9049 |
0,9099 |
0,9149 |
0,9199 |
0,9248 |
0,9297 |
0,9347 |
0,9397 |
0,9421 |
0,9471 |
Указатель основных
синонимов, технических, торговых и
фирменных названий веществ
|
1. Анастрозол |
119 |
|
2. Бусерелина ацетат |
38 |
|
3. Ионозин пранобекс |
72 |
|
4. Кандесартан |
130 |
|
5. Кандесартана цилексетил |
130 |
|
6. Кветиапина фумарат |
50 |
|
7. Метопролола тартрат |
107 |
|
8. Натрий лаурилсульфат |
82 |
|
9. Натрий лимоннокислый трехзамещенный дигидрат |
28 |
|
10. Тикагрелор |
60 |
|
11. Транексамовая кислота |
6 |
|
12. Тринатрия цитрат дигидрат |
28 |