Главная // Актуальные документы // Актуальные документы (обновление 2025.04.26-2025.05.31) // ГОСТ (Государственный стандарт)СПРАВКА
Источник публикации
М.: ФГБУ "Институт стандартизации", 2024
Примечание к документу
Документ
вводится в действие с 01.12.2026.
Название документа
"ГОСТ 34516-2019. Межгосударственный стандарт. Специализированная пищевая продукция, биологически активные и пищевые добавки. Определение массовых долей сахаров"
(введен в действие Приказом Росстандарта от 06.03.2024 N 291-ст)
"ГОСТ 34516-2019. Межгосударственный стандарт. Специализированная пищевая продукция, биологически активные и пищевые добавки. Определение массовых долей сахаров"
(введен в действие Приказом Росстандарта от 06.03.2024 N 291-ст)
агентства по техническому
регулированию и метрологии
от 6 марта 2024 г. N 291-ст
МЕЖГОСУДАРСТВЕННЫЙ СТАНДАРТ
СПЕЦИАЛИЗИРОВАННАЯ ПИЩЕВАЯ ПРОДУКЦИЯ, БИОЛОГИЧЕСКИ АКТИВНЫЕ
И ПИЩЕВЫЕ ДОБАВКИ
ОПРЕДЕЛЕНИЕ МАССОВЫХ ДОЛЕЙ САХАРОВ
Specialized food products, biologically active additives
and food additives. Determination of sugar content
ГОСТ 34516-2019
Дата введения
1 декабря 2026 года
Цели, основные принципы и общие правила проведения работ по межгосударственной стандартизации установлены
ГОСТ 1.0 "Межгосударственная система стандартизации. Основные положения" и
ГОСТ 1.2 "Межгосударственная система стандартизации. Стандарты межгосударственные, правила и рекомендации по межгосударственной стандартизации. Правила разработки, принятия, обновления и отмены"
1 РАЗРАБОТАН Республиканским унитарным предприятием "Научно-практический центр гигиены"
2 ВНЕСЕН Госстандартом Республики Беларусь
3 ПРИНЯТ Межгосударственным советом по стандартизации, метрологии и сертификации (протокол от 30 января 2019 г. N 115-П)
За принятие стандарта проголосовали:
Краткое наименование страны по МК (ИСО 3166) 004-97 | Код страны по МК (ИСО 3166) 004-97 | Сокращенное наименование национального органа по стандартизации |
Армения | AM | Минэкономики Республики Армения |
Беларусь | BY | Госстандарт Республики Беларусь |
Казахстан | KZ | Госстандарт Республики Казахстан |
Кыргызстан | KG | Кыргызстандарт |
Россия | RU | Росстандарт |
Узбекистан | UZ | Узстандарт |
Украина | UA | Минэкономразвития Украины |
4
Приказом Федерального агентства по техническому регулированию и метрологии от 6 марта 2024 г. N 291-ст межгосударственный стандарт ГОСТ 34516-2019 введен в действие в качестве национального стандарта Российской Федерации с 1 декабря 2026 г.
5 Настоящий стандарт разработан на основе МВИ.МН 4475-2012 "Определение содержания сахаров (глюкоза, фруктоза, сахароза, лактоза, мальтоза и мальтодекстрин) в специализированных продуктах питания, биологически активных и пищевых добавках"
6 ВВЕДЕН ВПЕРВЫЕ
Информация о введении в действие (прекращении действия) настоящего стандарта и изменений к нему на территории указанных выше государств публикуется в указателях национальных стандартов, издаваемых в этих государствах, а также в сети Интернет на сайтах соответствующих национальных органов по стандартизации.
В случае пересмотра, изменения или отмены настоящего стандарта соответствующая информация будет опубликована на официальном интернет-сайте Межгосударственного совета по стандартизации, метрологии и сертификации в каталоге "Межгосударственные стандарты"
Настоящий стандарт распространяется на специализированную пищевую продукцию (к ним относятся пищевая продукция, предназначенная для детей всех возрастных групп, беременных и кормящих женщин, лиц пожилого возраста, диетического профилактического питания и т.п.), биологически активные и пищевые добавки и устанавливает метод высокоэффективной жидкостной хроматографии (далее - ВЭЖХ) для определения массовых долей сахаров (глюкозы, фруктозы, сахарозы, лактозы, мальтозы).
Диапазон измерений массовых долей глюкозы, фруктозы, сахарозы, лактозы, мальтозы - от 2,5 до 500,0 г/кг продукта.
Предел количественного определения (LOQ) для глюкозы, фруктозы, сахарозы, лактозы, мальтозы составляет 2,5 г/кг.
В настоящем стандарте использованы нормативные ссылки на следующие межгосударственные стандарты:
ГОСТ 61-75 Реактивы. Кислота уксусная. Технические условия
ГОСТ OIML R 76-1-2011 Весы неавтоматического действия. Часть 1. Метрологические и технические требования. Испытания
ГОСТ 1770-74 (ИСО 1042-83, ИСО 4788-80) Посуда мерная лабораторная стеклянная. Цилиндры, мензурки, колбы, пробирки. Общие технические условия
ГОСТ 4207-75 Реактивы. Калий железистосинеродистый 3-водный. Технические условия
ГОСТ ИСО 5725-6-2003
<1> Точность (правильность и прецизионность) методов и результатов измерений. Часть 6. Использование значений точности на практике
--------------------------------
ГОСТ 5823-78 Реактивы. Цинк уксуснокислый 2-водный. Технические условия
--------------------------------
ГОСТ 25336-82 Посуда и оборудование лабораторные стеклянные. Типы, основные параметры и размеры
ГОСТ 29227-91 (ИСО 835-1-81) Посуда лабораторная стеклянная. Пипетки градуированные. Часть 1. Общие требования
Примечание - При пользовании настоящим стандартом целесообразно проверить действие ссылочных стандартов и классификаторов на официальном интернет-сайте Межгосударственного совета по стандартизации, метрологии и сертификации (www.easc.by) или по указателям национальных стандартов, издаваемым в государствах, указанных в предисловии, или на официальных сайтах соответствующих национальных органов по стандартизации. Если на документ дана недатированная ссылка, то следует использовать документ, действующий на текущий момент, с учетом всех внесенных в него изменений. Если заменен ссылочный документ, на который дана датированная ссылка, то следует использовать указанную версию этого документа. Если после принятия настоящего стандарта в ссылочный документ, на который дана датированная ссылка, внесено изменение, затрагивающее положение, на которое дана ссылка, то это положение применяется без учета данного изменения. Если ссылочный документ отменен без замены, то положение, в котором дана ссылка на него, применяется в части, не затрагивающей эту ссылку.
В настоящем стандарте применены следующие термины с соответствующими определениями:
3.1 предел количественного определения; LOQ: Наименьшее значение массовой концентрации определяемого соединения в анализируемой пробе, которое может быть измерено с установленной точностью в соответствии с настоящим стандартом.
3.2 диапазон измерений: Область значений массовой концентрации соединения в пробе, определяемая по настоящему стандарту.
Метод основан на экстракции углеводов смесью этанол-вода (1:1), очистке полученного экстракта с помощью реактивов Карреза I и II и определении их содержания с помощью ВЭЖХ.
Детектирование осуществляется с помощью рефрактометрического детектора.
5 Условия проведения испытаний
При проведении испытаний в лаборатории должны быть соблюдены следующие условия:
- температура окружающего воздуха 18 °C - 23 °C;
- относительная влажность воздуха 25% - 75%.
Приготовление градуировочных растворов и растворов проб проводят при температуре (20 +/- 2) °C.
6 Реактивы, оборудование и материалы
Для проведения испытаний используются следующие реактивы:
6.1.1 Ацетонитрил чистый для ВЭЖХ.
6.1.2 Калий железосинеродистый по
ГОСТ 4207, ч.д.а.
6.1.3 Цинк уксуснокислый по
ГОСТ 5823, ч.д.а.
6.1.4 Уксусная кислота по
ГОСТ 61, х.ч.
6.1.5 Глюкоза с содержанием основного вещества более 99,0% (массовая доля).
6.1.6 Фруктоза с содержанием основного вещества более 99,0% (массовая доля).
6.1.7 Сахароза с содержанием основного вещества более 99,0% (массовая доля).
6.1.8 Лактоза с содержанием основного вещества более 99,0% (массовая доля).
6.1.9 Мальтоза с содержанием основного вещества более 98,0% (массовая доля).
6.1.10 Спирт этиловый ректификованный.
Для проведения испытаний используется следующее оборудование:
6.2.1 Хроматограф жидкостный, снабженный программным обеспечением для сбора и обработки данных с рефрактометрическим детектором.
6.2.2 Колонка хроматографическая, заполненная силикагелем с привитыми углеводородными радикалами, в которых атом водорода замещен аминогруппой
<1>.
--------------------------------
<1> Например, хроматографическая колонка Nucleodur 100-5 NH2-RP (4,6 x 250 мм) компании Macherey-Nagel, снабженная защитной колонкой (предколонкой) EC 4/3 Nucleodur 100-5 NH2-RP. Эта информация приведена для удобства пользователей настоящего стандарта и не является поддержкой указанного продукта.
6.2.3 Колонка защитная (предколонка), заполненная тем же сорбентом, что и колонка хроматографическая.
6.2.4 Весы лабораторные электронные специального класса точности по
ГОСТ OIML R 76-1, с пределом допускаемой погрешности не более 0,0005 г.
6.2.5 Термостат жидкостный, обеспечивающий поддержание заданного температурного режима от 20 °C с погрешностью +/- 1,0 °C.
6.2.6 Ультразвуковая баня емкостью 5,6 дм3, мощностью 240 Вт, частотой ультразвука 35 Гц.
6.2.7 Система фильтрации и дегазации жидкостей.
Для проведения испытаний используются следующие материалы:
6.3.1 Пипетки градуированные 1-1-2-1, 1-1-2-5, 1-1-2-10, 1-1-2-25 или других типов и исполнений по
ГОСТ 29227.
6.3.2 Цилиндры мерные 1-100-2 или других исполнений по
ГОСТ 1770.
6.3.3 Колбы мерные 2-25-2, 2-50-2, 2-100-2, 2-1000-2 по
ГОСТ 1770.
6.3.4 Колбы плоскодонные П-2-100-29 или других типов и исполнений по
ГОСТ 25336.
6.3.5 Виалы вместимостью от 1,0 до 2,0 см3.
6.3.6 Фильтры мембранные из регенерированной целлюлозы с размером пор 0,2 мкм, диаметром 25 мм.
6.3.7 Фильтры мембранные из регенерированной целлюлозы с размером пор 0,45 мкм, диаметром 47 мм.
6.3.8 Фильтр "синяя лента" диаметром 70 мм.
Допускается применение других средств испытаний с метрологическими характеристиками не хуже вышеуказанных и вспомогательного оборудования, реактивов и материалов с техническими характеристиками не хуже вышеуказанных.
7.1 Подготовка измерительной аппаратуры
Включают хроматограф согласно инструкции по эксплуатации. Устанавливают рабочие режимы для блока насосов и детектора. Проводят стабилизацию работы хроматографа на рабочих режимах в течение 40 - 60 мин.
7.2 Приготовление растворов
7.2.1 Приготовление растворов Карреза
7.2.1.1 Приготовление раствора Карреза I
Взвешивают (10,60 +/- 0,01) г калия железосинеродистого, растворяют в 20 - 30 см3 дистиллированной воды в мерной колбе вместимостью 100 см3 и доводят объем до метки дистиллированной водой. Раствор хранят в склянке из темного стекла не более 3 мес.
7.2.1.2 Приготовление раствора Карреза II
Взвешивают (22,00 +/- 0,01) г цинка уксуснокислого, растворяют в 20 - 30 см3 дистиллированной воды в мерной колбе вместимостью 100 см3, добавляют 3 см3 ледяной уксусной кислоты и доводят объем до метки дистиллированной водой. Раствор хранят в склянке из темного стекла не более 3 мес.
7.2.2 Приготовление смеси этанол-вода (1:1)
С помощью цилиндра отмеряют 50 см3 этанола, помещают в коническую колбу вместимостью 250 см3, прибавляют 50 см3 дистиллированной воды, перемешивают. Смесь хранят в колбе с притертой пробкой при комнатной температуре в течение 12 мес.
7.2.3 Приготовление подвижной фазы
С помощью цилиндра отмеряют 800 см3 ацетонитрила, добавляют 200 см3 дистиллированной воды, перемешивают и фильтруют через мембранный фильтр из регенерированной целлюлозы с размером пор 0,45 мкм, диаметром 47 мм. Раствор хранят в склянке из темного стекла при комнатной температуре в течение 12 мес.
7.2.4 Приготовление градуировочных растворов
7.2.4.1 Приготовление пятикомпонентного градуировочного раствора углеводов концентрацией 10 мг/см3 (раствор А)
Взвешивают по (1,00 +/- 0,01) г каждого углевода (глюкозы, фруктозы, сахарозы, лактозы и мальтозы) и растворяют в дистиллированной воде в мерной колбе объемом 100 см3. Раствор хранят в склянке с притертой пробкой в холодильнике в течение 14 дней.
7.2.4.2 Приготовление пятикомпонентных градуировочных растворов углеводов
Градуировочные растворы пяти углеводов концентрацией 0,5, 0,8, 1,0, 2,0, 5,0 мг/см
3 каждый готовят по схеме, представленной в
таблице 1. Аликвотные части раствора А переносят в мерные колбы соответствующего объема и доводят дистиллированной водой до метки.
Таблица 1
Схема приготовления градуировочных растворов углеводов
(фруктозы, глюкозы, сахарозы, мальтозы, лактозы)
N градуировочного раствора | Концентрация углевода в градуировочном растворе, мг/см3 | Аликвотная часть раствора А, см3 | Объем мерной колбы, см3 |
1 | 0,5 | 5,0 | 100 |
2 | 0,8 | 4,0 | 50 |
3 | 1,0 | 5,0 | 50 |
4 | 2,0 | 10,0 | 50 |
5 | 5,0 | 25,0 | 50 |
Растворы готовят непосредственно перед применением. Хранению не подлежат.
7.3 Установление градуировочной характеристики
Полученные по
7.2.4.2 градуировочные растворы хроматографируют, начиная с самой низкой концентрации. Каждый градуировочный раствор хроматографируют не менее двух раз, принимая за результат измерения среднее арифметическое параллельных измерений.
Условия хроматографирования:
Объем вводимой пробы | 20 мкл |
Скорость подачи подвижной фазы | 2,0 см3/мин |
Температура термостата колонки | 35 °C |
Температура аналитической ячейки детектора | 35 °C |
Ширина пика | > 0,2 мин |
Время очистки ячейки детектора | 10 мин |
Время удерживания фруктозы | (5,1 +/- 0,8) мин |
Время удерживания глюкозы | (6,1 +/- 0,8) мин |
Время удерживания сахарозы | (9,8 +/- 0,8) мин |
Время удерживания мальтозы | (12,0 +/- 0,8) мин |
Время удерживания лактозы | (14,2 +/- 0,8) мин |
7.3.1 Построение градуировочного графика
Для каждого углевода (фруктозы, глюкозы, сахарозы, мальтозы, лактозы) строят отдельный градуировочный график, устанавливая зависимость площади пиков от соответствующей концентрации углевода в градуировочном растворе. По полученным данным рассчитывают коэффициенты регрессии методом наименьших квадратов.
Градуировочный график строится с учетом вычисленных значений уравнения
y = a + bx, (1)
где y - площадь пика углевода;
x - концентрация углевода в градуировочном растворе (мг/см3);
a и b - коэффициенты регрессии.
7.3.2 Контроль градуировочного графика
Контроль градуировочного графика каждого углевода осуществляют перед началом испытаний по второй точке градуировочного графика. Расхождение между измеренной концентрацией углевода и его фактической концентрацией, выраженное в процентах, не должно превышать норматива контроля К:
- Кфруктозы = 9,8%;
- Кглюкозы = 10,1%;
- Ксахарозы = 4,4%;
- Кмальтозы = 18,8%,
- Клактозы = 8,9%.
В случае превышения норматива контроля К необходимо провести построение нового градуировочного графика.
Отбор проб осуществляется согласно ТНПА на продукцию.
Отобранные пробы хранят в холодильнике. Перед началом проведения подготовки среднюю пробу образца предварительно выдерживают при температуре окружающей среды не менее 30 мин.
7.5.1 Проведение подготовки проб для испытаний на содержание фруктозы, глюкозы, сахарозы, мальтозы, лактозы
Взвешивают навеску образца массой 0,3 - 5,0 г, помещают в мерную колбу вместимостью 25 см3, добавляют 15 см3 смеси этанол-вода (1:1) и экстрагируют углеводы в ультразвуковой бане 15 мин при температуре 40 °C - 60 °C. После этого содержимое колбы охлаждают до комнатной температуры и добавляют 0,25 см3 реактива Карреза I, встряхивают в течение 1 мин, затем добавляют 0,25 см3 реактива Карреза II, встряхивают в течение 1 мин. Затем к экстракту добавляют 5 см3 ацетонитрила и доводят объем до метки смесью этанол-вода (1:1), содержимое колбы тщательно перемешивают.
На следующем этапе смесь фильтруют через бумажный фильтр, при необходимости (наличие мути) отбирают 3 см3 полученного фильтрата и фильтруют его через мембранный фильтр из регенерированной целлюлозы с размером пор 0,2 мкм, диаметром 25 мм.
Испытание полученного по
7.5.1 фильтрата проводят на жидкостном хроматографе. Условия хроматографирования такие же, как и при построении градуировочного графика по
7.3. Определяют площади пиков, используя компьютерную систему обработки сигналов. Проводят испытание двух параллельных проб.
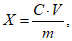
Вычисляют массовую долю углевода X, г/кг, по формуле

(2)
где C - концентрация углевода, найденная по градуировочному графику, мг/см3;
m - масса навески, г;
V - общий объем экстракта, 25 см3.
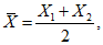
За окончательный результат испытания принимают среднее арифметическое значение результатов двух параллельных определений
. Вычисления проводят до третьего знака после запятой и округляют до второго.
Допустимые расхождения между параллельными определениями по отношению к величине среднего арифметического значения не должны превышать
r (см.
таблицу 2).
Вычисляют

по формуле

(3)
где X1 - результат первого параллельного определения;
X2 - результат второго параллельного определения.
Гарантированный результат испытаний, выдаваемый лабораторией, может быть представлен в виде

г/кг, (4)
где

- среднее арифметическое из результатов испытаний двух параллельных проб;
U(X) - абсолютное максимальное значение расширенной неопределенности. Вычисляют U(X) по формуле

(5)
где U - максимальное относительное значение расширенной неопределенности.
Если
X1 или
X2 оказывается меньше предела количественного определения методики
CLOQ, то вычисления по
формуле (2) не производят, а дают одностороннюю оценку массовой концентрации углевода в пробе в виде
X <
CLOQ, где
CLOQ - нижний предел количественного определения методики.
CLOQ для глюкозы, фруктозы, сахарозы, лактозы, мальтозы составляет 2,5 г/кг.
8.1 Проверка приемлемости результатов испытаний, полученных в условиях повторяемости
Проверку приемлемости результатов испытаний, полученных в условиях повторяемости, осуществляют согласно ГОСТ ИСО 5725-6 (пункт 5.2.2.1). Два результата испытаний должны быть получены в условиях повторяемости.
Рассчитывают абсолютное расхождение между результатами единичных наблюдений |X1 - X2|, значение которого сравнивают с абсолютным значением предела повторяемости rабс. Абсолютное значение предела повторяемости rабс, г/кг, рассчитывают по формуле

(6)
где 0,01 - коэффициент пересчета из процентов;

- среднее арифметическое значение двух результатов единичных наблюдений, г/кг;
r - относительное значение предела повторяемости, %, указанное в
таблице 2.
Если для значения абсолютного расхождения между двумя результатами единичных наблюдений выполняется условие
|X1 - X2| <= rабс, (7)
то оба результата считают приемлемыми и в качестве результата измерений указывают среднее арифметическое значение

, рассчитанное по
формуле (3).
Если абсолютное значение разности превышает значение
rабс, то следует получить еще два результата. Если размах четырех результатов испытаний (см.
формулу (8)) равен или меньше критического размаха (см.
формулу (9)), то среднее арифметическое четырех результатов (см.
формулу (10)) должно указываться как конечный заявляемый результат:
|
Xmax -
Xmin| <=
CRабс, (8)

(9)
где 0,01 - коэффициент пересчета из процентов;
sr - относительное значение повторяемости, %, указанное в
таблице 2.

(10)
Если
условие (8) не выполняется, то следует отказаться от полученных данных, выяснить и устранить причины, приводящие к неудовлетворительным результатам. Провести повторное выполнение испытаний после устранения причин несоответствия.
8.2 Проверка приемлемости результатов испытаний, полученных в условиях промежуточной прецизионности
Проверку приемлемости результатов испытаний, полученных в условиях промежуточной прецизионности, осуществляют согласно ГОСТ ИСО 5725-6 (пункт 5.3.2.2).
После проверки полученных результатов параллельных определений по критерию повторяемости по
7.1 рассчитывают среднее арифметическое

двух результатов испытаний

и

соответственно, г/кг:

(11)
где

и

- средние значения, рассчитанные на основании двух параллельных испытаний, вычисленные по
формуле (3) в условиях промежуточной прецизионности.
Рассчитывают абсолютную разность результатов

и

и сравнивают с абсолютным значением критической разности
CDабс.

(12)
где 0,01 - коэффициент для пересчета процентов;

(13)
где
r и
rI(TO) - относительные значения пределов повторяемости и промежуточной прецизионности, указанные в
таблице 2.
Таблица 2
Относительные значения показателей повторяемости,
промежуточной прецизионности, пределов повторяемости
и промежуточной прецизионности, максимальной относительной
расширенной неопределенности методики при уровне доверия
P = 0,95 и коэффициенте охвата К = 2
Наименование углевода | Показатель повторяемости sr, % | Показатель промежуточной прецизионности sI(TO), % | Предел повторяемости r, % | Предел промежуточной прецизионности rI(TO), % | Максимальная относительная расширенная неопределенность измерения U, %, К = 2 |
Фруктоза | 4,2 | 5,7 | 11,8 | 16,0 | 16,2 |
Глюкоза | 3,9 | 4,4 | 10,9 | 12,3 | 16,8 |
Сахароза | 4,1 | 4,8 | 11,5 | 13,4 | 9,7 |
Мальтоза | 3,8 | 4,9 | 10,6 | 13,7 | 20,9 |
Лактоза | 4,1 | 4,9 | 11,5 | 13,7 | 14,9 |
Если для значения абсолютного расхождения между результатами выполняется условие

(14)
то оба конечных результата, полученные в условиях промежуточной прецизионности, считаются приемлемыми и среднее значение

, рассчитанное по
формуле (11), может быть использовано в качестве заявляемого результата.
Если
условие (14) не выполняется, то следует отказаться от полученных данных, выяснить и устранить причины, приводящие к неудовлетворительным результатам. Следует провести повторное выполнение измерений после устранения причин несоответствия.
Относительные значения показателей прецизионности (повторяемости, промежуточной прецизионности, пределов повторяемости и промежуточной прецизионности) и максимальной относительной расширенной стандартной неопределенности при уровне доверия
P = 0,95 представлены в
таблице 2.
(обязательное)
ПРИМЕРЫ ХРОМАТОГРАММ СТАНДАРТНЫХ РАСТВОРОВ УГЛЕВОДОВ
Рисунок 1 - Хроматограмма стандартного раствора углеводов
(фруктозы, глюкозы, сахарозы, мальтозы, лактозы)
концентрацией 5 мг/см3
УДК 664.022.3:547.458.1(083.74)(476):006.354 | |
Ключевые слова: специализированная пищевая продукция, биологически активные пищевые добавки, пищевые добавки, глюкоза, фруктоза, сахароза, лактоза, мальтоза, определение, высокоэффективная жидкостная хроматография, рефрактометрическое детектирование |