Главная // Актуальные документы // Актуальные документы (обновление 2025.09.01-2025.09.27) // МетодикаСПРАВКА
Источник публикации
М.: Союздорнии, 2001
Примечание к документу
Название документа
"Методика определения коэффициента относительного уплотнения песков"
"Методика определения коэффициента относительного уплотнения песков"
ОПРЕДЕЛЕНИЯ КОЭФФИЦИЕНТА ОТНОСИТЕЛЬНОГО УПЛОТНЕНИЯ ПЕСКОВ
Посвящена определению коэффициента относительного уплотнения песков.
Разработана на основе теоретического анализа, обобщения опыта проектирования и строительства земляных сооружений, результатов полевых и лабораторных исследований.
Дан дифференцированный подход к расчету коэффициента относительного уплотнения в зависимости от различных факторов.
Приведены примеры определения этого показателя.
Настоящая работа посвящена проблеме, связанной с определением коэффициента относительного уплотнения песков и методикой его определения.
Методика разработана на основе теоретического анализа, обобщения имеющегося опыта проектирования и строительства земляных сооружений, результатов полевых и лабораторных исследований. В ней дан дифференцированный подход, учитывающий

характер источника получения песка;

транспортные схемы их доставки к месту укладки;

сезонные условия;

требования к уплотнению песчаного подстилающего слоя или земляного полотна на различных горизонтах от верха покрытия.
Изложены положения методики и даны соответствующие рекомендации, включающие (в том числе) примеры определения коэффициента относительного уплотнения.
Настоящую Методику разработали инженеры Ю.М. Львович, А.К. Мирошкин (ответственный исполнитель), канд. техн. наук Г.Б. Гершман при участии д-ра техн. наук Э.К. Кузахметовой.
В работе принимали участие инженеры Т.Н. Ибрагимова, В.Н. Губанова, Л.П. Андриенко, С.С. Марина, лаборанты Л.П. Горобец, Т.А. Морозова, В.Д. Полехина.
Пожелания и предложения по настоящей работе просьба направлять по адресу: 143900, Московская обл., г. Балашиха-6, ш. Энтузиастов, 79, Союздорнии.
Генеральный директор
ФГУП "Союздорнии"
В.М.Юмашев
1.1. Настоящая Методика по определению коэффициента относительного уплотнения песков разработана в лаборатории земляного полотна, геотехники и геосинтетики Союздорнии согласно договору N 70-00-ЗР от 1.03.2000 г.
1.2. Методика предназначена для определения или уточнения коэффициента относительного уплотнения строительных песков (
ГОСТ 8736-93 и
ГОСТ 25100-95) при проектировании и строительстве земляного полотна, подстилающих слоев дорожной одежды, конусов и обратных засыпок в котлованах, траншеях, дренажах и других сооружениях.
1.3. Коэффициент относительного уплотнения определяет соотношение объемов песков (в конкретном случае), разрабатываемых или получаемых в том или ином источнике, к объемам в соответствующих конструктивных элементах при требуемой для каждого из них плотности (коэффициент уплотнения согласно
табл. 22 СНиП 2.05.02-85). Значение коэффициента относительного уплотнения необходимо включать в проектную документацию и паспорт источника получения песков.
1.4. В общем виде коэффициент относительного уплотнения представляет собой отношение плотности (скелета) "сухого песка" при требуемом коэффициенте уплотнения (согласно
СНиП 2.05.02-85) к плотности (также скелета "сухого" материала) в соответствующем источнике его получения.
Примечание: в случаях исчисления объемов песка в транспортных средствах одним из компонентов для определения коэффициента относительного уплотнения песков является их насыпная плотность.
1.5. Коэффициент относительного уплотнения рассчитывается в зависимости от следующих факторов и условий, которые должны быть отражены в проектной документации (для плановых источников получения песка) или согласованы проектной организацией в случаях изменения паспортных данных источников или замены его на иные:

характеристики источника получения песка (карьер, штабель, гидронамыв и т.п.);

паспорта источника, в котором должны быть представлены следующие данные:

параметры стандартной максимальной плотности и оптимальной влажности в соответствии с
ГОСТ 22733-77;

плотность песка в естественном залегании;

естественная влажность;

изменение указанных параметров по мощности источника;

коэффициент относительного уплотнения с учетом требуемых коэффициентов уплотнения в устраиваемых конструктивных элементах (1,0; 0,98; 0,95);

коэффициенты относительного уплотнения при прямой транспортной схеме "источник - трасса";

транспортной схемы доставки песка к месту укладки; если в процессе работ происходит изменение транспортной схемы по сравнению с проектом (ПОС, ППР), то она должна быть согласована с проектной организацией и Заказчиком на период времени ее действия;

климатических условий (отрицательные и положительные температуры); при работах в зимний период необходимо учитывать количество мерзлых комьев, допускаемых и не допускаемых в соответствующем конструктивном элементе.
1.6. Перечень нормативных документов приведен в
прил. 1 настоящей Методики.
2. Методика определения коэффициента
относительного уплотнения
2.1. Понятия и определения
2.1.1. Требуемый объем песка природного сложения в сосредоточенных резервах или карьерах в (Vp1), когда он согласно транспортной схеме используется непосредственно для устройства конструктивных элементов земляного полотна (насыпь или дополнительные подстилающие слои дорожной одежды), следует определять по формуле

,
где V2 - геометрический объем грунта устраиваемого конструктивного элемента (земляное полотно, дополнительный подстилающий слой) в уплотненном состоянии;

- коэффициент относительного уплотнения (отношение требуемой плотности (скелета) сухого грунта в конструктивном элементе к плотности (скелета) сухого грунта в источнике получения.
Требуемый объем песка, исчисляемого в транспортных средствах (автомобили-самосвалы, железнодорожные полувагоны и т.п.), когда он находится в разрыхленном состоянии, следует рассчитывать по формуле

,
где V2 - объем грунта устраиваемого конструктивного элемента земляного полотна в уплотненном состоянии (при требуемой плотности);
K1 - коэффициент относительного уплотнения (отношение требуемой плотности сухого (скелета) песка в конструктивном элементе к насыпной плотности сухого грунта, определяемой при естественной влажности в стандартной 10-литровой емкости по
ГОСТ 8736-93.
2.1.2. Требуемое количество песка можно рассчитывать по объему или по массе. В первом случае обмер производят либо путем регулярной геодезической съемки вырабатываемого источника получения материала, либо непосредственно в транспортных средствах (железнодорожных вагонах, автомобилях, баржах и т.п.).
При расчете по массе отгружаемый материал в вагонах или автомобилях взвешивают на железнодорожных или автомобильных весах. В соответствии с
ГОСТ 11830-66 массу указывают в транспортной накладной.
Количество песка, поставляемого на баржах или судах, определяют по осадке последних.
2.1.3. Количество песка пересчитывают из единиц массы в единицы объема и наоборот по значению насыпной плотности песка, определяемой при влажности материала во время отгрузки, в соответствии с
ГОСТ 8735-88. Насыпная плотность и влажность строительного песка указываются в паспортах на каждую отгружаемую партию.
2.1.4. Для приведения объема песка, поставляемого в вагоне или автомобиле, к объему в уплотненном состоянии, т.е. в конструктивном элементе, полученный исходный объем умножают на коэффициент относительного уплотнения. Последний зависит от зернового состава и влажности материала, способа погрузки и дальности возки.
2.1.5. При разработке проектных решений коэффициент относительного уплотнения следует назначать в зависимости от требуемой плотности материала в конструктивном элементе или его соответствующем горизонте (СНиП 2.05.02-85,
табл. 22)
ориентировочно:

при исчислении объемов, поставляемых из промышленных карьеров в транспортных средствах, - согласно
СНиП 4.02-91; 4.05-91;

при использовании песков естественной плотности в источнике получения - по
СНиП 2.05.02-85.
2.1.6. В тех случаях, когда ПОС и ППР предусматривают отсыпку элементов земляного полотна, дополнительных подстилающих слоев в зимний период (непосредственно или через промежуточные накопленные объемы - штабели) объемы песков, исчисляемые в транспортных средствах, необходимо увеличивать на соответствующие коэффициенты, приведенные в настоящей Методике.
2.1.7. Дополнительные объемы грунта, связанные с потерями при транспортировке, в зависимости от способа и дальности возки в соответствии со
СНиП 3.02.01-87 следует принимать равными

0,5% - при дальности возки до 1 км;

1% - при большей дальности.
Допускается принимать больший процент потерь при достаточном обосновании и совместном решении заказчика и подрядчика, потребителя и владельца карьера.
2.1.8. Для определения коэффициента относительного уплотнения необходимы следующие исходные данные:

коэффициент уплотнения и плотность грунта конструктивного элемента;

стандартная максимальная плотность и оптимальная влажность материала;

насыпная плотность.
2.1.9. В
прил. 2 приведен более полный перечень терминов и определений.
2.2. Определение и назначение коэффициента относительного
уплотнения для песков карьеров природного сложения
2.2.1. Коэффициент относительного уплотнения

для карьеров или других источников песка природного сложения устанавливается проектной организацией по материалам инженерно-геологических изысканий.
2.2.2. При отсутствии или недостаточном количестве данных инженерно-геологических изысканий на природные карьеры из песка коэффициент относительного уплотнения для определения объема грунта в карьере принимается ориентировочно согласно
СНиП 2.05.02-85. По согласованию с заказчиком, проектной организацией и производителем работ значения коэффициента относительного уплотнения при наличии существенных расхождений должны быть откорректированы в процессе разработки карьера.
2.2.3. Чтобы установить фактическое значение коэффициента относительного уплотнения или уточнить его проектные значения, следует выполнить выборочное обследование карьера в пределах характерных геологических элементов по всей полезной мощности карьера с отбором проб грунта как ненарушенного (для установления природной плотности и влажности), так и нарушенного (для определения в лабораторных условиях классификационных и физических показателей песка в карьере) сложения.
2.2.4. Пробы песков должны отбираться в соответствии с
ГОСТ 12071-84 и каждая из них снабжаться сопроводительной этикеткой с указанием необходимых данных
2.2.5. Для отбора проб песков ненарушенного сложения в карьерах и штабелях с устойчивыми откосами следует использовать режущие кольца объемом не менее 500 см3. Допускается отбирать пробы грунта непосредственно из вертикальных стенок шурфа или в забое.
Перед отбором в обязательном порядке следует зачистить обнаженные рыхлые поверхности до достижения природной структуры.
2.2.6. Из каждого однородного горизонта следует отбирать не менее трех проб ненарушенного сложения и одну пробу массой около 5 кг нарушенного сложения.
2.2.7. Пробы грунта ненарушенного сложения тщательно упаковываются в полиэтиленовые пакеты для сохранения естественной влажности.
2.2.8. Пробы грунта ненарушенного сложения в карьерах и штабелях с неустойчивыми откосами следует отбирать с горизонтальных площадок путем устройства шурфов или приямков.
2.2.9. Пробы грунта нарушенного сложения в карьерах и штабелях отбирают совком или лопаткой снизу вверх из разных мест в пределах мощности каждого однородного слоя.
2.2.10. Однородные горизонты песков выделяют визуально по крупности частиц, цвету и т.п. Толщину каждого однородного горизонта мощностью не менее 1 м замеряют рулеткой.
2.2.11. Пробы грунта ненарушенного сложения обрабатывают в лаборатории согласно
ГОСТ 5180-84.
В лаборатории для каждого однородного горизонта устанавливают средние значения плотности грунта

, плотности (скелета) сухого грунта

и влажности (
W).
Расхождения между результатами определений для каждого однородного горизонта не должно превышать:

+/- 0,6% - для W.
2.2.12. По результатам лабораторных определений плотности (скелета) сухого грунта и выявленной в процессе обследования мощности каждого однородного горизонта рассчитывают средневзвешенную плотность (скелета) сухого грунта в карьере или резерве по формуле

,
где

- среднее значение плотности сухого (скелета) грунта для каждого однородного горизонта песчаного грунта, выделенного визуально;
h1 - мощность каждого однородного отдельно выделенного горизонта песка, см.
2.2.13. Пробу песка нарушенного сложения в лаборатории высушивают до воздушно-сухого состояния, а затем методом квартования из нее последовательно выделяют две отдельные пробы массой 2000 и 2500 г для определения соответственно зернового состава по
ГОСТ 8735-88 или
ГОСТ 12536-79, максимальной плотности и оптимальной влажности по
ГОСТ 22733-77. Испытание по определению зернового состава песка должно предшествовать испытанию для установления максимальной плотности и оптимальной влажности.
2.2.14. По данным зернового состава определяют модуль крупности и группу песка по крупности согласно
ГОСТ 8736-93 или его тип согласно
ГОСТ 25100-95.
2.2.15. Стандартную максимальную плотность песка при уплотнении следует принимать в зависимости от формы кривой стандартного уплотнения и крупности песка:

если кривая зависимости

от влажности (W) выражена горизонтальной линией без заметного пика, то максимальной плотности будет соответствовать первая наивысшая точка на горизонтальном участке кривой, а оптимальной влажности - влажность, соответствующая данной точке,

если кривая зависимости

грунта от влажности W имеет характерный пик (причем в небольшом диапазоне влажности), предшествующий началу отжатия воды, что характерно для испытания однородных по зерновому составу песков (степень неоднородности по
ГОСТ 25100-95 менее 3), то за максимальную плотность следует принимать не наивысшую точку графика, а точку слева от максимума, соответствующую значению влажности, уменьшенной на 1% для крупных, средних и мелких песков и на 1,5% - для очень мелких и остальных типов песков
2.2.16. Коэффициент относительного уплотнения песка в зависимости от требуемой плотности грунта в конструктивном элементе определяют по формуле

,
где

- требуемая плотность (скелета) сухого грунта в конструктивном элементе; устанавливается на основе лабораторных определений максимальной плотности по
ГОСТ 22733-77 
и требуемого коэффициента уплотнения по
СНиП 2.05.02-85;

- средневзвешенная плотность (скелета) сухого грунта в карьере (резерве) природного сложения.
С учетом требуемого коэффициента уплотнения песка Kтр в конструктивном элементе земляного полотна или подстилающем слое основания дорожной одежды значение требуемой плотности (скелета) определяется по формуле

.
2.3. Определение и назначение коэффициента
относительного уплотнения для объемов песка,
исчисляемых в транспортных средствах
2.3.1. За коэффициент относительного уплотнения песка K1 при исчислении его объемов в транспортных средствах (автомобили-самосвалы, железнодорожные вагоны, баржи и т.п.) следует принимать соотношение между требуемой плотностью песка в конструктивном элементе земляного полотна и подстилающем слое и плотностью сухого (скелета) песка в транспортном средстве.
2.3.2. Требуемая плотность песка в конструкции земляного полотна (насыпь или подстилающий слой дорожной одежды) автомобильных дорог определяется в соответствии со
СНиП 2.05.02-85 и
ГОСТ 22733-77.
2.3.3. Плотность песка в транспортном средстве рекомендуется определять либо путем непосредственного ее измерения в кузове автомобиля или железнодорожном вагоне
объемно-весовым методом с использованием режущих колец объемом 500 см
3 и более, или через
насыпную плотность при естественной влажности
(ГОСТ 8735-88).
2.3.4. При определении плотности песка объемно-весовым методом пробы грунта следует отбирать на глубине 20 - 25 см от поверхности песка в транспортном средстве из углов на удалении от стенок не менее чем на 0,5 м, а также в центре кузова или вагона. Отбор проб осуществляется по схеме "конверт".
2.3.5. Отобранные пробы упаковывают в полиэтиленовые пакеты с этикетками. В лабораторных условиях определяют плотность песка, плотность (скелета) сухого песка и естественную влажность.
2.3.6. Расхождение в результатах параллельного определения плотности и плотности (скелета) сухого песка

по величине не должно превышать 0,04 г/см
3. Влажность песка определяют, округляя результаты до 0,1%.
2.3.7. Стандартную максимальную плотность и оптимальную влажность определяют на средней пробе песка, выделяемой методом квартования из нескольких единичных проб одной партии песка.
2.3.8. Коэффициент относительного уплотнения рассчитывают по формуле

.
2.3.9. При определении коэффициента относительного уплотнения песка через насыпную плотность значение последней устанавливают в соответствии с
ГОСТ 8735-88 при естественной влажности песка путем заполнения стандартной 10-литровой емкости с высоты 1 м.
2.3.10. Заполнение следует выполнять за 2 - 3 приема, засыпая песок из мерного ведра или какого-либо другого сосуда непрерывным потоком Данная процедура должна проводиться не менее 3 раз.
2.3.11. После каждого испытания емкость с песком взвешивают на весах, отбирают пробы для определения влажности и расчетом устанавливают насыпную плотность песка в сухом состоянии. Результаты округляют до 10 кг/м3.
2.3.12. Расхождение параллельных определений насыпной плотности не должно превышать +/- 10 кг/м3.
2.3.13. Коэффициент относительного уплотнения определяется по формуле

,
2.4. Определение коэффициента относительного
уплотнения песка с учетом зимних условий
2.4.1. В зимний период отгружаемый песок находится в сыпучемерзлом состоянии, поэтому коэффициент относительного уплотнения должен устанавливаться через насыпную плотность, определяемую по
ГОСТ 8735-88 при естественном состоянии песка.
2.4.2. Температура стандартной емкости для определения насыпной плотности должна соответствовать температуре окружающего воздуха.
2.4.3. Процедура определения насыпной плотности и расчет коэффициента относительного уплотнения аналогичны указанным в
п.п. 2.3.8 -
2.3.13 и
прил. 4.
НОРМАТИВНЫХ ДОКУМЕНТОВ И СТАНДАРТОВ
5.
ГОСТ 11830-66 "Строительные материалы. Норма точности взвешивания".
6.
ГОСТ 8735-88 (СТСЭВ 5446-85) "Песок для строительных работ. Методы испытаний".
7.
ГОСТ 8736-93 "Песок для строительных работ. Технические условия".
8.
ГОСТ 12536-79 "Грунты. Методы лабораторного определения гранулометрического (зернового) и микроагрегатного состава".
9.
ГОСТ 22733-77 "Грунты. Метод лабораторного определения максимальной плотности".
10.
ГОСТ 5180-84 "Грунты. Метод лабораторного определения физических характеристик".
11.
ГОСТ 30416-96 "Грунты. Лабораторные испытания. Общие положения".
12.
ГОСТ 12071-84 "Грунты. Отбор, упаковка, транспортирование и хранение образцов".
Коэффициент уплотнения (Kу) - отношение плотности (скелета) сухого грунта в конструктиве земляного полотна к стандартной максимальной плотности (скелета) сухого грунта, определяемой прибором Союздорнии
(ГОСТ 22733-77).
Требуемый коэффициент уплотнения грунта (Kтр) - коэффициент уплотнения (доли стандартной плотности), предусмотренный проекте работ или установленный в
СНиП 2.05.02-85 для конкретного горизонта от верха покрытия.
Коэффициент относительного уплотнения (K1) - отношение требуемой плотности (скелета) сухого грунта в насыпи

, установленной с учетом коэффициента уплотнения по
табл. 22 СНиП 2.05.02-85, к его плотности, принятой при исчислении объемов грунта.
Ориентировочно
K1 допускается принимать по
табл. 14 обязательного прил. 2 СНиП 2.05.02-85.
Требуемый объем земляных работ (Vp1) - произведение проектного геометрического объема грунта в насыпи или в ином конструктивном элементе дорожной конструкции (V2) и значения коэффициента относительного уплотнения (K1).
Проектный геометрический объем грунта (V2) - объем грунта, определенный расчетом в проекте для соответствующего конструктивного элемента земляного полотна или подстилающего слоя дорожной одежды с учетом требуемого коэффициента уплотнения.
Средняя взвешенная плотность сухого грунта в карьере (резерве) 
- отношение суммы плотностей сухого грунта отдельных слоев

, умноженных на мощность слоев (
hi), к общей мощности слоев

представленных в паспорте карьера
Насыпная плотность песка 
- отношение массы песка, высушенного до постоянной массы, к объему, засыпанному в стандартную емкость вместимостью 10 л при естественной влажности
(ГОСТ 8735-88).
ТЕХНИЧЕСКИЕ ХАРАКТЕРИСТИКИ АВТОМОБИЛЕЙ
Показатель | Значение показателя для автомобиля марки |
ММЗ-585 | МАЗ-503, МАЗ-5035 | КрАЗ 256Б | КамАЗ 5511 | КамАЗ с боковой погрузкой | МАЗ 5516 | МД 290, Магирус 380-30 | Татра 815, 815C1 | Volvo FH 420 |
Грузоподъемность, т | 4,5 | 7 | | 10 | 7 | 16,1 | 14,5 | 15,3 | 27 |
Вместимость, м3 | 3 | 3,8 | 6 | 7,2 | 7,9 | 11 | 14 | 9 | 17 |
Габариты кузова, мм | |
длина | 2595 | 3280 | 4585 | 4525 | 5000 | 4450 | 5400 | 4300 | 6500 |
ширина | 2210 | 2284 | 2430 | 2310 | 2320 | 2300 | 2650 | 2290 | 2500 |
высота | 650 | 676 | 650 | 816 | 635 | 1080 | 1200 | 970 | 1700 |
То же, самосвала, мм | |
длина | 5475 | 5970 | 8190 | 7140 | 7570 | 7530 | 8400 | 7190 | 9900 |
ширина | 2415 | 2600 | 2650 | 2500 | 2320 | 2500 | 2800 | 2500 | 2500 |
высота | 2510 | 2700 | 2780 | 2700 | 2900 | 3160 | 3530 | 2900 | 3200 |
Масса, кг | 4570 | 6750 | 1140 | 9000 | 8480 | 12400 | 15500 | 11300 | 16000 |
--------------------------------
<*>
12 - для работы в карьере
ВАРИАНТОВ ОПРЕДЕЛЕНИЯ ВЕЛИЧИНЫ КОЭФФИЦИЕНТА
ОТНОСИТЕЛЬНОГО УПЛОТНЕНИЯ И ИСЧИСЛЕНИЯ ОБЪЕМОВ ГРУНТА
Определить потребный объем грунта в сосредоточенном резерве, расположенном на расстоянии 4 км, для устройства насыпи высотой до 6 м. Проектный объем грунта насыпи V2 = 1850 м3
Исходные данные: грунт карьера - песок средний; плотность грунта в карьере

, естественная влажность
Wест = 8,2%, максимальная стандартная плотность

1. Объем грунта резерва для устройства насыпи следует определять по выражению
V1 = K1V2,
где K1 - коэффициент относительного уплотнения, определяемый отношением требуемой плотности (скелета) сухого грунта в насыпи к плотности (скелета) сухого грунта в карьере
2. Требуемую плотность (скелета) сухого грунта в насыпи следует определять по формуле

,
где K
у - коэффициент уплотнения, определяемый по
табл. 22 СНиП 2.05.02-85 в зависимости от высоты земляного полотна (при высоте насыпи до 6 м K
у = 0,95)
Отсюда

.
3. Коэффициент относительного уплотнения следует рассчитывать по выражению

,
где

- плотность (скелета) сухого грунта в резерве:
Отсюда
и
K1 = 1,73/1,62 = 1,07.
4. Геометрический требуемый объем грунта в резерве составит:
Vрг = 1850 x 1,07 = 1979,5 м3.
5. Требуемый общий объем грунта резерва с учетом потерь при транспортировании равен
V1 = 1979,5 x 1,01 = 1999,2 м3.
Определить требуемый объем грунта, исчисляемого в автомобилях-самосвалах для устройства подстилающего слоя. Проектный объем грунта подстилающего слоя V2 = 1,750 т/м3.
Исходные данные: грунт из штабеля гидронамыва, песок мелкий; насыпная плотность

; естественная влажность
W = 4,2%; максимальная стандартная плотность

.
1. Требуемый объем песка, исчисляемый в транспортных средствах, определяем как
Vтр = K1V2.
2. Требуемую плотность (скелета) сухого грунта в подстилающем слое следует определять по формуле:

,
где K
у - коэффициент уплотнения, определяемый по
табл. 22 СНиП 2.05.02-85; в зависимости от типа основания

.
Произведем расчет для Kу = 1,0.
В этом случае

.
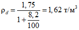
3. Насыпную плотность отгружаемого песка в сухом состоянии определяем по выражению:
Отсюда

.
4. Требуемый объем песка в разрыхленном состоянии в транспортных средствах составит:
Vтр = 1750 x 1,28 = 2240 м3.
Вариант 3.
Определить требуемый объем грунта, исчисляемого в автомобилях-самосвалах, для устройства насыпи на горизонте ниже 6 м в зимний период. Проектный объем грунта насыпи Vп = 7000 м3.
Исходные данные: грунт из штабеля гидронамыва - песок мелкий; насыпная плотность

; в сыпучемерзлом состоянии естественная влажность
Wест = 2,8%; максимальная стандартная плотность

.
1. Требуемый объем песка, исчисляемый в транспортных средствах, определяем по выражению
Vтр = K1Vн,
где K1 - коэффициент относительного уплотнения, определяемый отношением требуемой плотности (скелета) сухого грунта в насыпи к величине насыпной плотности (скелета) сухого грунта в сыпучемерзлом состоянии.
2. Требуемую плотность (скелета) сухого грунта в насыпи следует определять по аналогии с предыдущими вариантами:
и при K
у = 0,98 (см.
табл. 22 СНиП 2.05.02-85)

.
3. Насыпную плотность отгружаемого песка в сухом состоянии определяем аналогично
варианту 2:
В зимних условиях, когда песок отгружается в сыпучемерзлом состоянии, полученное значение насыпной плотности должно быть уменьшено с учетом увеличения объема песка на 10 - 12%, т.е.
4. Отсюда фактическая величина коэффициента относительного уплотнения для зимних условий

.
5. Требуемый объем песка в транспортных средствах составит:
Vтр = 7000 x 1,36 = 9520 м3.
Дополнительные объемы песка, связанные с потерями на транспортирование, учитываются по аналогии с
вариантом 1.