Главная // Актуальные документы // Актуальные документы (обновление 2025.03.03-2025.03.29) // ГОСТ (Государственный стандарт)СПРАВКА
Источник публикации
М.: ФГБУ "Институт стандартизации", 2025
Примечание к документу
Документ
вводится в действие с 01.06.2025.
Название документа
"ГОСТ 34227-2024. Межгосударственный стандарт. Соединения арматуры механические для железобетонных конструкций. Методы испытаний"
(введен в действие Приказом Росстандарта от 28.12.2024 N 2051-ст)
"ГОСТ 34227-2024. Межгосударственный стандарт. Соединения арматуры механические для железобетонных конструкций. Методы испытаний"
(введен в действие Приказом Росстандарта от 28.12.2024 N 2051-ст)
агентства по техническому
регулированию и метрологии
от 28 декабря 2024 г. N 2051-ст
МЕЖГОСУДАРСТВЕННЫЙ СТАНДАРТ
СОЕДИНЕНИЯ АРМАТУРЫ МЕХАНИЧЕСКИЕ
ДЛЯ ЖЕЛЕЗОБЕТОННЫХ КОНСТРУКЦИЙ
МЕТОДЫ ИСПЫТАНИЙ
Mechanical reinforcement splices for reinforced concrete.
Test methods
(ISO 15835-2:2018, NEQ)
ГОСТ 34227-2024
Дата введения
1 июня 2025 года
Цели, основные принципы и общие правила проведения работ по межгосударственной стандартизации установлены
ГОСТ 1.0 "Межгосударственная система стандартизации. Основные положения" и
ГОСТ 1.2 "Межгосударственная система стандартизации. Стандарты межгосударственные, правила и рекомендации по межгосударственной стандартизации. Правила разработки, принятия, обновления и отмены"
1 РАЗРАБОТАН Акционерным обществом "Научно-исследовательский центр "Строительство" (АО "НИЦ "Строительство") - Научно-исследовательским, проектно-конструкторским и технологическим институтом бетона и железобетона им. А.А. Гвоздева ("НИИЖБ им. А.А. Гвоздева)
2 ВНЕСЕН Техническим комитетом по стандартизации ТК 465 "Строительство"
3 ПРИНЯТ Межгосударственным советом по стандартизации, метрологии и сертификации (протокол от 27 декабря 2024 г. N 180-П)
За принятие проголосовали:
Краткое наименование страны по МК (ИСО 3166) 004-97 | Код страны по МК (ИСО 3166) 004-97 | Сокращенное наименование национального органа по стандартизации |
Армения | AM | ЗАО "Национальный орган по стандартизации и метрологии" Республики Армения |
Киргизия | KG | Кыргызстандарт |
Россия | RU | Росстандарт |
Таджикистан | TJ | Таджикстандарт |
Узбекистан | UZ | Узбекское агентство по техническому регулированию |
4
Приказом Федерального агентства по техническому регулированию и метрологии от 28 декабря 2024 г. N 2051-ст межгосударственный стандарт ГОСТ 34227-2024 введен в действие в качестве национального стандарта Российской Федерации с 1 июня 2025 г.
5 Настоящий стандарт разработан с учетом основных нормативных положений международного стандарта ISO 15835-2:2018 "Стали для армирования бетона - Арматурные муфты для механического соединения стержней - Часть 2. Методы испытания" ("Steels for reinforcement of concrete - Reinforcement couplers for mechanical splices of bars - Part 2: Test methods", NEQ)
Информация о введении в действие (прекращении действия) настоящего стандарта и изменений к нему на территории указанных выше государств публикуется в указателях национальных стандартов, издаваемых в этих государствах, а также в сети Интернет на сайтах соответствующих национальных органов по стандартизации.
В случае пересмотра, изменения или отмены настоящего стандарта соответствующая информация будет опубликована на официальном интернет-сайте Межгосударственного совета по стандартизации, метрологии и сертификации в каталоге "Межгосударственные стандарты"
1.1 Настоящий стандарт устанавливает методы испытаний механических соединений арматуры периодического профиля, выполняемых при изготовлении и монтаже сборных и возведении монолитных железобетонных конструкций.
1.2 Настоящий стандарт устанавливает следующие методы испытаний:
- на растяжение механических соединений арматуры;
- многоцикловую нагрузку (выносливость) механических соединений арматуры;
- малоцикловую нагрузку механических соединений арматуры.
В настоящем стандарте использованы нормативные ссылки на следующие межгосударственные стандарты:
ГОСТ 12004 Сталь арматурная. Методы испытания на растяжение
ГОСТ 34278-2024 Соединения арматуры механические для железобетонных конструкций. Технические условия
Примечание - При пользовании настоящим стандартом целесообразно проверить действие ссылочных стандартов и классификаторов на официальном интернет-сайте Межгосударственного совета по стандартизации, метрологии и сертификации (www.easc.by) или по указателям национальных стандартов, издаваемым в государствах, указанных в предисловии, или на официальных сайтах соответствующих национальных органов по стандартизации. Если на документ дана недатированная ссылка, то следует использовать документ, действующий на текущий момент, с учетом всех внесенных в него изменений. Если заменен ссылочный документ, на который дана датированная ссылка, то следует использовать указанную версию этого документа. Если после принятия настоящего стандарта в ссылочный документ, на который дана датированная ссылка, внесено изменение, затрагивающее положение, на которое дана ссылка, то это положение применяется без учета данного изменения. Если ссылочный документ отменен без замены, то положение, в котором дана ссылка на него, применяется в части, не затрагивающей эту ссылку.
В настоящем стандарте применены термины по
ГОСТ 34278, а также следующие термины с соответствующими определениями:
3.1
рабочая длина образца: Часть образца между зажимными устройствами испытательной машины. |
3.2 длина механического соединения: Длина соединительной муфты плюс участок арматуры с каждой стороны муфты, равный номинальному диаметру арматуры dн, мм.
Примечание - Данное определение учитывает длину, на которую влияет процесс обработки концов арматуры, и необходимо для определения рабочей длины образца.
В настоящем стандарте применены следующие обозначения:
As - номинальная площадь соединяемой арматуры, мм2;
dн - номинальный диаметр арматуры, мм;
Es - нормативный (начальный) модуль упругости арматуры, Н/мм2;
L - длина механического соединения арматуры, мм;
Lм - длина соединительной муфты, мм;
Lб - база измерения деформаций механического соединения арматуры, мм;
Lр - рабочая длина образца, мм;
L1 - минимальная свободная длина соединяемой арматуры для определения значения

, мм;
L0 - база измерения деформаций соединяемой арматуры, мм;
P - усилие, кН;

- деформативность механического соединения арматуры, мм;

- деформативность механического соединения арматуры после прохождения 20 циклов знакопеременной нагрузки (растяжение-сжатие) в зоне упругой работы соединяемой арматуры, мм;

- полная деформация механического соединения арматуры, мм;

- упругая деформация арматуры, мм;

- остаточные деформации механического соединения арматуры, мм;

- интервал изменения напряжений при испытании на многоцикловую нагрузку (выносливость), Н/мм
2;

- относительное равномерное удлинение арматуры после разрушения механического соединения,%;

- полное относительное удлинение арматуры механического соединения при максимальной нагрузке, %;

- относительная упругая деформация, соответствующая нормативному значению предела текучести соединяемой арматуры;

- нормативное значение физического или условного предела текучести соединяемой арматуры, Н/мм
2;

- нормативное значение временного сопротивления соединяемой арматуры, Н/мм
2;

- максимальное напряжение при испытаниях на многоцикловую нагрузку (выносливость), Н/мм
2;

- минимальное напряжение при испытаниях на многоцикловую нагрузку (выносливость), Н/мм
2.
5 Испытательное оборудование
5.1 Условия испытаний, применяемые испытательные машины и измерительные приборы должны соответствовать требованиям
ГОСТ 12004.
5.1.1 Деформации механического соединения арматуры в процессе испытаний следует определять путем применения устанавливаемых на образец измерительных приборов или экстензометров испытательной машины. Не допускается определение деформаций по перемещению траверсы испытательной машины.
5.1.2 Фиксация измерительных приборов на образце должна быть достаточно надежной, чтобы деформативность механического соединения могла быть измерена с точностью не ниже 0,01 мм.
5.2 Испытания на многоцикловое нагружение (выносливость) механических соединений арматуры категории D по
ГОСТ 34278 следует проводить в пульсаторах с контролем нагрузки и количества пройденных циклов.
5.3 Испытания на малоцикловое нагружение механических соединений арматуры категории S по
ГОСТ 34278 следует проводить на испытательных машинах с контролем нагрузки и деформаций.
6 Подготовка образцов для испытаний
6.1 Образцы механических соединений арматуры для испытаний следует подготавливать в соответствии с требованиями настоящего стандарта,
ГОСТ 34278, технических условий изготовителя (поставщика).
6.2 Муфты должны быть расположены по середине испытательных образцов.
6.3 Полная длина образца механического соединения арматуры для испытаний назначается в зависимости от рабочей длины образца Lр и конструкции (размеров) захватов испытательной машины.
Рабочую длину образца
Lр, мм, принимают в соответствии с приведенной на
рисунке 1 и вычисляют по формуле
Lр = L + 2L1, (1)
где L - длина механического соединения арматуры, мм;
L1 - минимальная свободная длина соединяемой арматуры для определения значения

, мм, равная 6
dн + 100.
Примечание - Рабочая длина образца
Lр должна обеспечивать возможность измерения относительного равномерного удлинения арматуры после разрушения механического соединения

с обеих сторон соединительной муфты независимо от места разрыва в соответствии с требованиями
ГОСТ 12004.
Рисунок 1 - Схема определения рабочей длины образцов
механических соединений арматуры
6.4 Длина испытуемого образца на многоцикловую нагрузку должна быть не менее, чем для испытаний на растяжение.
6.5 Длина образца для испытания на малоцикловую нагрузку должна учитывать размеры применяемых измерительных приборов и конструкцию приспособления для их фиксации на свободной длине
L1 для измерения деформаций арматуры и должна быть достаточной для установки измерительных приборов в соответствии с
7.3.4. Длину образца необходимо назначать минимально возможной, чтобы исключить потерю устойчивости образца при сжатии и при этом обеспечить установку измерительных приборов.
7 Проведение испытаний и обработка результатов
7.1 Испытание на растяжение
7.1.1 При испытании на растяжение определяют разрывное усилие и деформативность механических соединений арматуры, а также относительное равномерное удлинение арматуры после разрушения механических соединений.
7.1.2 Относительное равномерное удлинение арматуры

определяют на арматурных стержнях с обеих сторон соединительной муфты. Оба значения следует регистрировать, а наибольшее значение

- использовать для вычисления полного относительного удлинения арматуры

. Относительное равномерное удлинение арматуры

с металлоконструкцией определяют на единственном стержне, значение которого должно быть использовано для вычисления

.
Примечание - В случае невозможности определения в соответствии с методикой
ГОСТ 12004 относительного равномерного удлинения

на разрушенном арматурном стержне механического соединения для вычисления

допускается использовать единственное значение

, определенное на неразрушенном арматурном стержне.
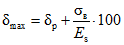
7.1.3 Полное относительное удлинение арматуры

, %, при максимальной нагрузке вычисляют суммированием относительного равномерного удлинения

арматуры после разрушения образца механического соединения с упругими деформациями арматуры по формуле

, (2)
где Es - нормативный (начальный) модуль упругости арматуры, равный 2·105 Н/мм2.
Примечание - Относительное равномерное удлинение

арматуры определяют по
ГОСТ 12004.
7.1.4 Для измерения деформаций механических соединений арматуры при растяжении необходимо применять два измерительных прибора, установленных на одной базе
Lб (см.
рисунок 2). Для регистрации деформаций используют значения показаний обоих измерительных приборов.
7.1.5 База измерения деформаций Lб при испытании образцов механических соединений должна быть равна длине соединительной муфты Lм плюс расстояние, равное не менее одного диаметра dн и не более 3dн соединяемых арматурных стержней, отложенных с каждой стороны муфты.
7.1.6 Положение измерительных приборов и схема испытаний образцов механических соединений арматуры с металлоконструкцией должны соответствовать приведенному на
рисунке 3. При испытании должен быть зазор между неподвижной опорой и образцом, обеспечивающий свободное перемещение соединительной муфты.
7.1.7 Перед установкой приборов для измерения деформации образец механического соединения необходимо предварительно нагрузить до напряжения в соединяемых арматурных стержнях не более

. После установки приборов для измерения деформаций показания приборов обнуляют.
7.1.8 Фактическое значение приложенной нагрузки при измерении деформаций не должно иметь отклонения более чем +/- 3% от расчетного.
7.1.9 Деформативность механического соединения арматуры

при растяжении допускается определять двумя способами.
7.1.9.1 Первый способ предназначен для определения деформативности механических соединений арматуры, длина муфты которых не более 5dн.
Рисунок 2 - Схема установки измерительных приборов
при испытаниях образцов механических соединений
арматуры на растяжение
Рисунок 3 - Схема установки измерительных приборов
при испытаниях на растяжение образцов механических
соединений арматуры с металлоконструкцией
Усилие

, соответствующее напряжениям в соединяемой арматуре, равным

, вычисляют по формуле

. (3)
Образец нагружается до усилия

(точка 1 на
рисунке 4), при котором по показаниям измерительных приборов определяют полную деформацию соединения

на фактической базе измерения
Lб как среднее значение показаний приборов при усилии

.
Упругую деформацию

на фактической базе измерения
Lб при усилии

вычисляют по формуле

. (4)
Деформативность соединения

определяют как разность между полной деформацией механического соединения арматуры

и упругой деформацией арматуры

по формуле

. (5)
Примечание - Полученный по данному способу результат деформативности со знаком "минус" означает, что механическое соединение является более жестким по отношению к соединяемой арматуре. В данном случае в протоколе испытаний регистрируют нулевое значение деформативности.
7.1.9.2 Второй способ предназначен для определения деформативности механических соединений арматуры с муфтой любой длины, а также механических соединений арматуры с металлоконструкциями и концевых анкеров.
Образец соединения нагружают до усилия

(точка 1 на
рисунке 4), после чего проводят его разгрузку до усилия от предварительной нагрузки, заданной в соответствии с
7.1.7 (точка 2 на
рисунке 4), и по показаниям измерительных приборов определяют значения остаточных деформаций механических соединений арматуры

. Деформативность механического соединения

определяют как среднее значение остаточных деформаций.
7.1.10 Схема нагружения образцов механических соединений арматуры для определения деформативности показана на рисунке 4.
Рисунок 4 - Схема нагружения образцов для определения
деформативности первым и вторым способами
7.1.11 По результатам испытаний оформляют протокол в соответствии с
приложением А.
7.2 Испытания на многоцикловую нагрузку (выносливость)
7.2.1 Целью испытаний механических соединений категории D является проверка усталостной прочности (предела выносливости) при многоцикловом нагружении.
7.2.2 Испытания на многоцикловую нагрузку (выносливость) образцов механических соединений арматуры проводят при нормальной температуре и влажности при осевом растяжении на действие повторяющейся (пульсирующей) нагрузки, характеризуемой следующими параметрами в соответствии с
рисунком 5:
- максимальное усилие цикла, вычисляемое по формуле

; (6)
- минимальное усилие цикла, вычисляемое по формуле

; (7)
- интервал изменения усилий, вычисляемый по формуле

. (8)
Значения

и

принимают согласно ГОСТ 34278-2024
(4.4).
7.2.3 Испытания проводят на испытательном оборудовании (пульсаторах) с контролем усилий при частоте приложения нагрузки f от 1 до 30 Гц.
7.2.4 Испытания каждого образца продолжают до установленного количества циклов нагрузки или до обрыва образца, который должен быть расположен в пределах длины механического соединения.
Если опытный образец разрушается в захвате испытательной машины или на расстоянии не более 2dн от захвата и механическое соединение арматуры еще не повреждено, то испытания могут быть продолжены после перезахвата опытного образца, если оставшаяся длина образца это позволяет. Если разрушение опытного образца произошло в результате обрыва арматуры на расстоянии более 2dн от захвата и вне длины механического соединения, то результат не регистрируют, так как применяемый арматурный прокат не обеспечивает необходимые требования по выносливости механических соединений. В этом случае необходимо заменить образцы механических соединений на изготовленные с применением арматурного проката, обеспечивающего необходимые требования по выносливости.
Рисунок 5 - Характеристика цикла нагрузки
при многоцикловом нагружении
7.2.5 По результатам испытаний оформляют протокол в соответствии с
приложением Б.
7.2.6 Предел выносливости различных типов механических соединений арматуры при других значениях коэффициента асимметрии цикла

определяют с помощью построения кривой зависимости напряжений от числа циклов. Методика построения кривой и определения предела выносливости механического соединения арматуры представлена в
приложении В.
7.3 Испытания на знакопеременную малоцикловую нагрузку
7.3.1 Целью данного испытания является оценка характеристик механических соединений категории S в условиях знакопеременного (растяжение-сжатие) нагружения в зонах упругой и упруго-пластической работы соединяемой арматуры.
7.3.2 При выполнении испытания на малоцикловую нагрузку необходимо использовать измерительные приборы для измерения деформаций механического соединения на базе Lб и соединяемой арматуры на базе L0. Для контроля деформаций соединяемой арматуры необходимо использовать либо два измерительных прибора, либо экстензометр испытательной машины, установленные на свободной длине L1 соединяемой арматуры. Положение измерительных приборов при малоцикловом нагружении должно соответствовать приведенному на рисунке 6 а).
Рисунок 6 - Схема установки измерительных приборов
в общем случае [а)] и на этапах 2 и 3 [б)] малоциклового
нагружения образцов механических соединений арматуры
7.3.3 При проведении испытания допускается выполнять раздельное измерение деформаций механического соединения на базе
Lб на этапе 1 и соединяемой арматуры на этапах 2 и 3. Для этого на этапе нагружения 1 положение измерительных приборов следует принимать в соответствии с приведенным на
рисунке 2, а на этапах 2 и 3 - на
рисунке 6 б).
7.3.4 На этапах 2, 3 испытания для контроля деформаций соединяемой арматуры на базе измерений
L0 необходимо использовать два измерительных прибора или экстензометр, установленные на минимальной свободной длине соединяемой арматуры
L1. Положение измерительных приборов должно соответствовать представленному на
рисунке 6. Для определения деформаций

и

используют средние значения показаний измерительных приборов.
7.3.5 Испытание на малоцикловое знакопеременное нагружение состоит из трех этапов и выполняется по нижеприведенной программе нагружения.
7.3.5.1 Этап 1. Начиная от предварительного напряжения не более 0,01 нормативного предела текучести соединяемой арматуры

, образец нагружают до растягивающего усилия

, затем образец разгружают и нагружают до сжимающего усилия

. Количество указанных циклов приложения нагрузки (растяжение-сжатие) - 20. После прохождения 20 циклов нагружения показание усилия испытательной машины выставляют в ноль. Остаточное удлинение

в качестве максимальной деформации механического соединения арматуры при нулевой нагрузке на последнем цикле определяют по показаниям измерительных приборов. Деформативность механического соединения при 20 циклах нагружения

устанавливают как среднее значение остаточного удлинения

обоих приборов.
7.3.5.2 Этап 2. Начиная от нулевого усилия образец нагружают до абсолютной деформации при растяжении

, вычисленной как удвоенное значение относительной упругой деформации

, соответствующей нормативному пределу текучести соединяемой арматуры

на базе измерения
L0. Вычисленную абсолютную деформацию контролируют по показаниям измерительных приборов, установленных на арматурном стержне на базе
L0, затем разгрузку и нагрузку до сжимающего усилия

, повторяя весь цикл растяжение-сжатие четыре раза. После прохождения четырех циклов нагружения на растяжение-сжатие показание усилия испытательной машины выставляют в ноль.
Примечание - Относительную упругую деформацию арматуры

вычисляют по формуле

. (9)
7.3.5.3 Этап 3. Начиная от нулевого усилия образец нагружают до абсолютной деформации при растяжении, равной

, вычисленной как пятикратное значение относительной упругой деформации

, соответствующей нормативному пределу текучести от

соединяемой арматуры на базе измерений
L0. Вычисленную деформацию контролируют по показаниям измерительных приборов, установленных на арматурном стержне на базе
L0, затем выполняют разгрузку и нагрузку до сжимающего усилия

, повторяя весь цикл растяжение-сжатие четыре раза.
После прохождения всех этапов нагружения проводят испытания образца механического соединения арматуры на растяжение до разрушения с определением разрывного усилия Pр.
Последовательность этапов малоциклового знакопеременного нагружения образцов механических соединений арматуры показана на
рисунке 7.
Примечание - Испытания по этапам 2 и 3 по
7.3.5.2 и
7.3.5.3 предназначены для оценки свойств механического соединения в условиях знакопеременного нагружения в упруго-пластической зоне работы арматуры. Так как существует вероятность повреждения или разрушения испытуемого образца при таком знакопеременном нагружении, в том числе выпучивание образца во время этапов сжатия с возможным повреждением измерительных приборов, то следует соблюдать осторожность при проведении испытания на этих этапах.
7.3.6 Скорость малоцикловых нагружений следует принимать не более 0,1 Гц (не менее 10 с на один цикл).
7.3.7 По результатам испытаний оформляют протокол в соответствии с
приложением Г.
7.4 Место разрушения образцов механических соединений арматуры при растяжении и малоцикловой нагрузке следует фиксировать и отражать в протоколах испытаний. Если разрушение образца происходит в захватах испытательной машины, то результаты испытания принимают, если они удовлетворяют требованиям
ГОСТ 34278.
Рисунок 7 - Диаграмма деформирования механических соединений
арматуры при малоцикловой знакопеременной нагрузке
Место разрушения указывается в качестве одного из следующих мест:
- в пределах длины механического соединения арматуры;
- за пределами длины механического соединения арматуры.
(рекомендуемое)
ФОРМА ПРОТОКОЛА ИСПЫТАНИЙ МЕХАНИЧЕСКИХ СОЕДИНЕНИЙ
АРМАТУРЫ НА РАСТЯЖЕНИЕ
Форма протокола испытаний механических соединений на растяжение
___________________________________________________________________________
Наименование и аккредитация ПРОТОКОЛ N _________
контролирующей
организации
испытаний на растяжение по ГОСТ.......
_________________ механических соединений
"__" ___________ 20__ г.
___________________________________________________________________________
Данные о месте выполнения соединений ______________________________________
Тип соединений, маркировка, N партии, документ на производство ____________
Наименование организации/ФИО монтажника ___________________________________
Условия сборки, дата ______________________________________________________
Объем партии, шт., изделий ________________________________________________
Диаметр(ы) и класс соединяемой арматуры, документ на производство арматуры
___________________________________________________________________________
Номинальная площадь соединяемой арматуры

, мм2 __________________________
Усилие для определение деформативности

____________________________
Результаты испытаний
Номер образца | Разрывное усилие Pр, кН | Деформативность  , мм | Среднее значение деформативности в серии  , мм | Полное относительное удлинение арматуры  после разрушения соединения, % | Место разрушения |
1 | | | | | |
2 | | | | |
3 | | | | |
ЗАКЛЮЧЕНИЕ
Испытанные __________________ механические соединения _____________________
___________________________________________________________________________
требованиям _______________________________________________________________
Начальник контролирующего подразделения ___________________________________
(подпись, инициалы, фамилия)
Испытания проводил ________________________________________________________
(подпись, инициалы, фамилия)
___________________________________________________________________________
(подпись, инициалы, фамилия)
(рекомендуемое)
ФОРМА ПРОТОКОЛА ИСПЫТАНИЙ МЕХАНИЧЕСКИХ СОЕДИНЕНИЙ АРМАТУРЫ
НА МНОГОЦИКЛОВУЮ НАГРУЗКУ (ВЫНОСЛИВОСТЬ)
Форма протокола испытаний механических соединений
на многоцикловую нагрузку
___________________________________________________________________________
Наименование и аккредитация ПРОТОКОЛ N __________
контролирующей
организации испытаний на многоцикловую нагрузку
(выносливость) по ГОСТ.....______________
механических соединений
"__" ___________ 20__ г.
___________________________________________________________________________
Данные о месте выполнения соединений ______________________________________
Тип соединений, маркировка, N партии, документ на производство ____________
Наименование организации/ФИО монтажника ___________________________________
Условия сборки, дата ______________________________________________________
Объем партии, шт., изделий ________________________________________________
Диаметр(ы) и класс соединяемой арматуры, документ на производство арматуры
___________________________________________________________________________
Номинальная площадь соединяемой арматуры

, мм2 __________________________
Размах цикла

, кН __________________ в соответствии с __________________
Частота приложения нагрузки, Гц ___________________________________________
Результаты испытаний механических соединений категории D
Номер образца | Максимальное усилие цикла Pmax, кН | Минимальное усилие цикла Pmin, кН | Пройденное количество циклов | Отметка о разрушении (да/нет) |
1 | | | | |
2 | | | | |
3 | | | | |
ЗАКЛЮЧЕНИЕ
Испытанные __________________ механические соединения _____________________
___________________________________________________________________________
требованиям _______________________________________________________________
Начальник контролирующего подразделения ___________________________________
(подпись, инициалы, фамилия)
Испытания проводил ________________________________________________________
(подпись, инициалы, фамилия)
___________________________________________________________________________
(подпись, инициалы, фамилия)
(рекомендуемое)
МЕТОДИКА ПОСТРОЕНИЯ КРИВОЙ ЗАВИСИМОСТИ НАПРЯЖЕНИЙ
ОТ ЧИСЛА ЦИКЛОВ И ОПРЕДЕЛЕНИЯ ПРЕДЕЛА
ВЫНОСЛИВОСТИ МЕХАНИЧЕСКИХ СОЕДИНЕНИЙ АРМАТУРЫ
В.1 Целью данного испытания является определение значения максимального напряжения цикла (предела выносливости), при котором не происходит усталостного разрушения механических соединений арматуры при повторении заданного числа циклов нагружения при постоянном коэффициенте асимметрии цикла

.
В.2 Кривую зависимости напряжений от количества циклов для механических соединений арматуры определяют путем проведения методом нисходящих нагрузок (усилий) испытаний не менее четырех серий образцов на выносливость - по три образца в каждой серии.
В.3 Заданные параметры повторяющейся нагрузки должны обеспечивать возможность определения явного перехода от нисходящего участка кривой к участку, близкому к горизонтальному. Данный переход, определяемый графическим способом, является пределом выносливости механических соединений арматуры при заданных параметрах повторяющейся нагрузки (см. рисунок В.1). За предел выносливости образцов принимают не менее 2 млн циклов нагружения без разрушения.
Рисунок В.1 - Кривая зависимости напряжений от числа циклов
В.4 Результаты испытаний должны быть оформлены в виде протокола (заключения).
(рекомендуемое)
ФОРМА ПРОТОКОЛА ИСПЫТАНИЙ МЕХАНИЧЕСКИХ СОЕДИНЕНИЙ АРМАТУРЫ
НА ЗНАКОПЕРЕМЕННУЮ МАЛОЦИКЛОВУЮ НАГРУЗКУ
Форма протокола испытаний механических соединений
на знакопеременную малоцикловую нагрузку
___________________________________________________________________________
Наименование и аккредитация ПРОТОКОЛ N ________
контролирующей
организации испытаний на малоцикловую нагрузку
по ГОСТ......
__________________ механических соединений
"__" ___________ 20__ г.
___________________________________________________________________________
Данные о месте выполнения соединений ______________________________________
Тип соединений, маркировка, N партии, документ на производство ____________
Наименование организации/ФИО монтажника ___________________________________
Условия сборки, дата ______________________________________________________
Объем партии, шт., изделий ________________________________________________
Диаметр(ы) и класс соединяемой арматуры, документ на производство арматуры
___________________________________________________________________________
Номинальная площадь поперечного сечения арматурных стержней

, мм2 _______
Значение

, мм ________________________________________________________
Значение

, мм ________________________________________________________
Растягивающее усилие цикла

, кН _____________________________________
Сжимающее усилие цикла

, кН _________________________________________
Результаты испытаний механических соединений категории S
Номер образца | Максимальное усилие цикла Pmax, кН | Минимальное усилие цикла Pmin, кН | Деформативность после 20 циклов  , мм | Разрывное усилие Pв, кН | Место разрушения |
1 | | | | | |
2 | | | | | |
3 | | | | | |
ЗАКЛЮЧЕНИЕ
Испытанные __________________ механические соединения _____________________
___________________________________________________________________________
требованиям _______________________________________________________________
Начальник контролирующего подразделения ___________________________________
(подпись, инициалы, фамилия)
Испытания проводил ________________________________________________________
(подпись, инициалы, фамилия)
___________________________________________________________________________
(подпись, инициалы, фамилия)
УДК 691.87-427.5:691.714:006.354 | |
Ключевые слова: механические соединения арматуры, деформативность, среднее значение деформативности, полные деформации механического соединения, многоцикловая нагрузка, малоцикловая нагрузка, протокол испытаний |