Главная // Актуальные документы // Актуальные документы (обновление 2024.11.04-2024.11.30) // ГОСТ (Государственный стандарт)СПРАВКА
Источник публикации
М.: Стандартинформ, 2017
Примечание к документу
Документ
введен в действие с 01.07.2018.
Взамен ГОСТ 16783-71.
Название документа
"ГОСТ 16783-2017. Межгосударственный стандарт. Пластмассы. Метод определения температуры хрупкости при сдавливании образца, сложенного петлей"
(введен в действие Приказом Росстандарта от 09.08.2017 N 852-ст)
"ГОСТ 16783-2017. Межгосударственный стандарт. Пластмассы. Метод определения температуры хрупкости при сдавливании образца, сложенного петлей"
(введен в действие Приказом Росстандарта от 09.08.2017 N 852-ст)
агентства по техническому
регулированию и метрологии
от 9 августа 2017 г. N 852-ст
МЕЖГОСУДАРСТВЕННЫЙ СТАНДАРТ
ПЛАСТМАССЫ
МЕТОД ОПРЕДЕЛЕНИЯ ТЕМПЕРАТУРЫ ХРУПКОСТИ
ПРИ СДАВЛИВАНИИ ОБРАЗЦА, СЛОЖЕННОГО ПЕТЛЕЙ
Plastics.
Method of determining the brittleness temperature
at squeezing the specimen folded up as a loop
ГОСТ 16783-2017
Дата введения
1 июля 2018 года
Цели, основные принципы и основной порядок проведения работ по межгосударственной стандартизации установлены в
ГОСТ 1.0-2015 "Межгосударственная система стандартизации. Основные положения" и
ГОСТ 1.2-2015 "Межгосударственная система стандартизации. Стандарты межгосударственные, правила, рекомендации по межгосударственной стандартизации. Правила разработки, принятия, обновления и отмены"
1 РАЗРАБОТАН Автономной некоммерческой организацией "Центр нормирования, стандартизации и классификации композитов (АНО "Стандарткомпозит"), АО "Институт пластмасс" и Объединением юридических лиц "Союз производителей композитов" ("Союзкомпозит")
2 ВНЕСЕН Техническим комитетом по стандартизации ТК 230 "Пластмассы, полимерные материалы, методы их испытаний"
3 ПРИНЯТ Межгосударственным советом по стандартизации, метрологии и сертификации (протокол от 1 июня 2017 г. N 51)
За принятие проголосовали:
Краткое наименование страны по МК (ИСО 3166) 004-97 | Код страны по МК (ИСО 3166) 004-97 | Сокращенное наименование национального органа по стандартизации |
Армения | AM | Минэкономики Республики Армения |
Беларусь | BY | Госстандарт Республики Беларусь |
Киргизия | KG | Кыргызстандарт |
Россия | RU | Росстандарт |
Таджикистан | TG | Таджикстандарт |
4
Приказом Федерального агентства по техническому регулированию и метрологии от 9 августа 2017 г. N 852-ст межгосударственный стандарт ГОСТ 16783-2017 введен в действие в качестве национального стандарта Российской Федерации с 1 июля 2018 г.
5 ВЗАМЕН ГОСТ 16783-71
Информация об изменениях к настоящему стандарту публикуется в ежегодном информационном указателе "Национальные стандарты", а текст изменений и поправок - в ежемесячном информационном указателе "Национальные стандарты". В случае пересмотра (замены) или отмены настоящего стандарта соответствующее уведомление будет опубликовано в ежемесячном информационном указателе "Национальные стандарты". Соответствующая информация, уведомление и тексты размещаются также в информационной системе общего пользования - на официальном сайте Федерального агентства по техническому регулированию и метрологии в сети Интернет (www.gost.ru)
Настоящий стандарт распространяется на пластмассы с температурой хрупкости ниже стандартной температуры по
ГОСТ 12423 и устанавливает метод определения температуры хрупкости при сдавливании сложенного петлей образца толщиной не более 0,5 мм.
Температура хрупкости служит для сравнительной характеристики пластмасс при заданных условиях испытания и не является нижним пределом рабочей температуры изделия, которая зависит от конкретных условий эксплуатации изделия.
В настоящем стандарте использованы нормативные ссылки на следующие межгосударственные стандарты:
ГОСТ 12423-2013 (ISO 291:2008) Пластмассы. Условия кондиционирования и испытания образцов (проб)
Примечание - При пользовании настоящим стандартом целесообразно проверить действие ссылочных стандартов в информационной системе общего пользования - на официальном сайте Федерального агентства по техническому регулированию и метрологии в сети Интернет или по ежегодному информационному указателю "Национальные стандарты", который опубликован по состоянию на 1 января текущего года, и по выпускам ежемесячного информационного указателя "Национальные стандарты" за текущий год. Если ссылочный стандарт заменен (изменен), то при пользовании настоящим стандартом следует руководствоваться заменяющим (измененным) стандартом. Если ссылочный стандарт отменен без замены, то положение, в котором дана ссылка на него, применяется в части, не затрагивающей эту ссылку.
3.1 Настоящий стандарт предусматривает два режима испытания: статический и динамический и три варианта испытания: А, Б и В.
Статический и динамический режимы предусматривают различные скорости движения пуансона, который обеспечивает сдавливание образца. Выбирают режим и вариант испытания в соответствии с нормативными документами или технической документации на пластмассы.
3.2 Вариант испытания А (полный) предусматривает определение температуры, при которой 50% испытуемых образцов становятся хрупкими, разрушаясь в заданных условиях механического воздействия.
Испытание состоит из ряда измерений, которые проводят при различных температурах, применяя в каждом из них одинаковое количество образцов. После каждого измерения образцы осматривают и устанавливают относительное количество разрушившихся образцов.
Используя полученные данные, находят температуру хрупкости аналитическим или графическим способом.
3.3 Варианты испытаний Б и В (неполные) предусматривают проведение измерений при одной заданной температуре и устанавливают количество разрушившихся и неразрушившихся образцов. Варианты Б и В рекомендуют использовать для контроля качества.
4.1 Прибор для определения температуры хрупкости (см.
рисунок 1), который состоит из следующих основных частей:
- зажима для закрепления образцов;
- наковальни, на которую помещают рабочую часть образца;
- пуансона для сдавливания образца;
- криокамеры;
- термометра с ценой деления 0,5 °C или изолированной термопары (хромель-копель).
1 - зажим; 2 - пуансон; 3 - наковальня; 4 - образец
Рисунок 1 - Схема прибора для определения
температуры хрупкости
4.2 Скорость движения пуансона в процессе сдавливания образца:
- (0,75 +/- 0,10) см/с - в статическом режиме;
- (2,0 +/- 0,2) м/с - в динамическом режиме.
4.3 В качестве охлаждающей среды в криокамере применяют воздух или другие газы и жидкие смеси (например, этиловый спирт по нормативным документам или технической документации с твердой двуокисью углерода по
ГОСТ 12162). Охлаждающая среда не должна быть агрессивной по отношению к испытуемой пластмассе.
4.4 Температуру газовой охлаждающей среды поддерживают с точностью до +/- 1,5 °C при температурах до минус 80 °C и с точностью до +/- 3 °C - при более низких температурах, жидкой испытательной среды - с точностью до +/- 1 °C.
4.5 При измерении температуры охлаждающей среды шарик термометра или рабочая часть термопары должны находиться вблизи места расположения испытуемых образцов.
5 Подготовка к проведению испытания
5.1 Для испытания используют образцы в форме полоски длиной (40 +/- 1) мм, шириной (6,0 +/- 0,5) мм, толщиной (0,50 +/- 0,05) мм.
При испытании пленок толщина образца должна быть равна толщине пленки.
Результаты испытания сопоставляют только при одинаковой толщине образцов для испытания материала.
5.2 Поверхность образцов должна быть ровной и гладкой, без раковин, трещин, посторонних включений и других дефектов, видимых невооруженным глазом.
5.3 Образцы вырезают из предварительно изготовленных пластин толщиной (0,50 +/- 0,05) мм. Рекомендуется сначала отрезать от пластин заготовки шириной (40 +/- 1) мм, а затем из них нарезать образцы. Образцы вырезают ножом, бритвенным лезвием или другим острым режущим инструментом так, чтобы края образцов были ровными и гладкими.
5.4 Температура хрупкости зависит от метода и режима формования образцов (пластин).
Метод и режим изготовления образцов (пластин) следует предусматривать в нормативных документах и технической документации на пластмассы.
6.1 Образцы перед испытанием кондиционируют по
ГОСТ 12423, если в нормативных документах или технической документации на пластмассы нет других указаний.
6.2 Вариант А (полный)
6.2.1 Начальную температуру испытания выбирают близкой к ожидаемой температуре хрупкости. Если в результате испытания одна часть образцов разрушилась, а другая не разрушилась, то проводят испытания новых образцов при температурах выше и ниже предыдущей. При этом должны быть достигнуты крайние температуры, при одной из которых не разрушится ни один образец, а при другой - разрушатся все образцы. Крайние и промежуточные температуры должны составить ряд с постоянным интервалом от 2 °C до 5 °C.
Нахождение крайних температур и соблюдение постоянного интервала не требуется, если результаты испытания обрабатывают графическим способом.
6.2.2 Если при выбранной начальной температуре ни один из испытанных образцов не разрушился, проводят испытания новых образцов при температурах, каждая из которых ниже предыдущей на 10 °C или менее, до тех пор, пока не будет достигнута температура, при которой часть образцов разрушится. После этого действуют в соответствии с
6.2.1.
6.2.3 Если при выбранной начальной температуре все испытанные образцы разрушились, проводят испытания новых образцов при температурах, каждая из которых выше предыдущей на 10 °C или менее, до тех пор, пока не будет достигнута температура, при которой часть образцов не разрушится. После этого действуют в соответствии с
6.2.1.
6.2.4 Температуру охлаждающей среды в криокамере доводят до значения, близкого к значению ожидаемой температуры хрупкости испытуемой пластмассы.
6.2.5 Образцы закрепляют в зажимах, помещают в охлаждающую среду и выдерживают их при заданной температуре.
Время выдержки образцов в газовой среде - (5 +/- 1) мин, в жидкой среде - (2 +/- 1) мин, считая от момента установления заданной температуры.
6.2.6 После выдержки образцов в охлаждающей среде их подвергают сдавливанию с помощью пуансона, а затем извлекают из охлаждающей среды и осматривают.
Если явные признаки разрушения образца (разделение на части, трещины) не обнаружены, то образец вручную сдавливают таким же образом, как и в процессе испытания, и невооруженным глазом осматривают поверхность образца в месте перегиба. При обнаружении на поверхности образца трещины или какого-либо другого повреждения образец считают разрушенным.
6.2.7 При каждой выбранной температуре испытывают 10 образцов. После их осмотра вычисляют долю разрушившихся образцов (%).
Допускается испытывать 5 или 20 образцов при каждой заданной температуре, если это указано в нормативном документе или технической документации на пластмассу.
Если в зажиме не помещается необходимое количество образцов, то испытание при одной и той же температуре проводят в несколько приемов.
6.3 Варианты Б и В (неполные)
6.3.1 Испытания проводят, как указано в
6.1,
6.2.5,
6.2.6, при температуре, установленной в нормативном документе или технической документации на пластмассу.
6.3.2 При испытании по варианту Б пластмассу считают выдержавшей испытание, если разрушилось не более 5 из 10 испытанных образцов.
6.3.3 При испытании по варианту В пластмассу считают выдержавшей испытание, если не разрушился ни один из 5 испытанных образцов.
7 Порядок установления норм для включения в нормативные документы или техническую документацию на пластмассу
7.1 Если в нормативном документе или технической документации на пластмассу предусматривают испытания в соответствии с вариантом Б, то в качестве нормы устанавливают температуру, близкую к температуре хрупкости, полученной при испытании по варианту А (полному). Режим испытания выбирают в соответствии с конструкцией прибора для определения температуры хрупкости.
7.2 Если в нормативном документе или технической документации на пластмассу предусматривают испытания в соответствии с вариантом В, то в качестве нормы устанавливают температуру, близкую к самой низкой температуре, при которой при испытании по варианту А (полному) не разрушился ни один образец.
8 Обработка результатов испытания
8.1 Вариант А (полный)
Результаты испытаний обрабатывают аналитическим или графическим способом.
В случае возникновения разногласий применяют аналитический способ.
Пример обработки результатов испытаний приведен в
приложении А.
8.1.1 При аналитическом способе обработки результатов испытаний температуру хрупкости
Tx, °C, вычисляют по формуле

, (1)
где T' - самая высокая температура, взятая с соответствующим знаком, при которой разрушаются все образцы, °C;

- выбранный температурный интервал для последовательного ряда измерений, °C;
S - сумма долей разрушившихся образцов при всех температурах измерений, начиная от температуры, при которой не разрушился ни один образец, и до температуры T' включительно, %.
Полученное значение температуры хрупкости округляют до целого числа.
8.1.2 При графическом способе обработки результатов испытания строят график зависимости доли разрушившихся образцов от температуры измерения.
График строят на координатной сетке (см.
рисунок 2), ось абсцисс которой имеет неравномерную шкалу, что дает возможность представить график в виде прямой линии.
По оси ординат откладывают температуру, при которой проводили испытания, а по оси абсцисс - долю разрушившихся образцов. Наносят не менее четырех точек, через которые проводят прямую линию так, чтобы по обе стороны от нее было приблизительно одинаковое число точек, а суммы расстояний от прямой до точек, расположенных по одну ее сторону, и до точек, находящихся по другую ее сторону, были приблизительно равны.
На полученной прямой находят точку, абсцисса которой равна 50%; ордината этой точки, значение которой округляют до целого числа, является искомой температурой хрупкости (°C).
Рисунок 2 - Пример координатной сетки
Протокол испытания должен содержать:
- ссылку на настоящий стандарт;
- наименование и марку материала с указанием обозначения нормативного документа или технической документации;
- сведения о способе и режиме изготовления пластин и образцов, включая термообработку;
- толщину образцов;
- сведения о кондиционировании образцов;
- наименование используемой охлаждающей среды;
- наименование режима испытания (статический или динамический) и вариант испытаний (А, Б или В);
- перечень данных о температурах измерений, о количестве испытанных и разрушившихся образцов при каждой из этих температур;
- значение температуры хрупкости - только для варианта А;
- наименование способа обработки результатов испытаний (аналитический или графический) - только для варианта А;
- дату проведения испытаний.
(справочное)
ПРИМЕР ОБРАБОТКИ ЭКСПЕРИМЕНТАЛЬНЫХ ДАННЫХ
ПРИ ИСПЫТАНИИ ПО ВАРИАНТУ А (ПОЛНОМУ)
А.1 Аналитический способ обработки результатов испытания (см. таблицу А.1)
Таблица А.1
Результаты, полученные при испытании образцов пластмассы
Температура испытания, °C | Количество разрушившихся образцов, шт. | Доля разрушившихся образцов, % | Количество неразрушившихся образцов, шт. |
Минус 6 | 0 | 0 | 10 |
Минус 8 | 3 | 30 | 7 |
Минус 10 | 4 | 40 | 6 |
Минус 12 | 8 | 80 | 2 |
Минус 14 | 9 | 90 | 1 |
Минус 16 | 10 | 100 | 0 |
Минус 18 | 10 | 100 | 0 |
- самая высокая температура, взятая с соответствующим знаком, при которой разрушаются все образцы, T' равна минус 16 °C;
- выбранный температурный интервал для последовательных измерений

равен 2 °C;
- сумма долей разрушившихся образцов при всех температурах измерений, начиная от температуры, при которой не разрушился ни один образец, и до температуры T' включительно, равна:
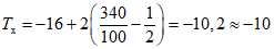
S = 30 + 40 + 80 + 90 + 100 = 340%. (А.1)

. (А.2)
Полученное значение температуры округляют до целого числа и получают значение температуры хрупкости, равное минус 10 °C.
А.2 Графический способ обработки результатов испытания
По данным
таблицы А.1 строят график (см.
рисунок А.1). В соответствии с
8.1.2 настоящего стандарта находят температуру, соответствующую разрушению 50% образцов, - минус 9,9 °C.
Полученное значение температуры округляют до целого числа и получают значение температуры хрупкости, равное минус 10 °C.
УДК 678.017:006.354 | |
Ключевые слова: пластмассы, метод испытания, температура хрупкости, сдавливание, образец, сложенный петлей |