Главная // Актуальные документы // Актуальные документы (обновление с 03.11.2025 по 29.11.2025) // Методические рекомендацииСПРАВКА
Источник публикации
Ленинград: "Энергия", 1972
Примечание к документу
Документ
введен в действие с IV квартала 1972 года.
Название документа
"П 01-72. Методические рекомендации по определению динамических свойств грунтов, скальных пород и местных строительных материалов"
(утв. Минэнерго СССР 12.06.1972)
"П 01-72. Методические рекомендации по определению динамических свойств грунтов, скальных пород и местных строительных материалов"
(утв. Минэнерго СССР 12.06.1972)
дирекцией ВНИИГа
им. Б.Е. Веденеева
12 июня 1972 года
МЕТОДИЧЕСКИЕ РЕКОМЕНДАЦИИ
ПО ОПРЕДЕЛЕНИЮ ДИНАМИЧЕСКИХ СВОЙСТВ ГРУНТОВ,
СКАЛЬНЫХ ПОРОД И МЕСТНЫХ СТРОИТЕЛЬНЫХ МАТЕРИАЛОВ
П 01-72
Срок введения
IV квартал 1972 года
Внесены Всесоюзным научно-исследовательским институтом гидротехники им. Б.Е. Веденеева
Утверждены дирекцией ВНИИГа им. Б.Е. Веденеева 12 июня 1972 г.
В Методических рекомендациях приводится состав основных динамических характеристик грунтов, скальных пород и местных материалов, используемых в расчетах гидротехнических и других сооружений на динамические (в частности сейсмические) воздействия. Даются указания по определению и выбору расчетных характеристик упругих и поглощающих свойств; жесткости оснований и затуханиях колебаний; деформационных свойств при динамических нагрузках значительной интенсивности, превышающих предел упругости; прочностных свойств при совместном воздействии статических и динамических нагрузок; свойств водонасыщенных несвязных грунтов, используемых при оценке динамической устойчивости их структуры, возможности возникновения порового давления и перехода в разжиженное состояние.
Приводятся справочные таблицы с ориентировочными значениями некоторых расчетных характеристик, а также краткие сведения об основных методах и аппаратуре, используемых для их определения.
Рекомендации предназначаются для применения в проектно-изыскательских и научно-исследовательских организациях Минэнерго СССР при экспериментальном определении расчетных динамических характеристик грунтов, скальных пород и местных материалов.
Вопросы определения и учета динамических свойств грунтов, скальных пород и местных материалов приобретают важнейшее значение в связи с широким развитием гидротехнического, промышленного и гражданского строительства в сейсмических районах, возведением тепловых и атомных электростанций и других предприятий с оборудованием, передающим интенсивные динамические нагрузки на фундаменты и их основания, использованием в народно-хозяйственных целях промышленных взрывов и т.п.
Однако в настоящее время не имеется унифицированных методов и аппаратуры для соответствующих исследований, а также общепринятых указаний или других инструктивных материалов по их проведению. Это сильно усложняет задачи проектно-изыскательских и научно-исследовательских организаций, проводящих работы по определению динамических свойств грунтов, скальных пород и местных материалов, а в некоторых случаях ввиду применения разных методов и аппаратуры исключает возможность сопоставления между собою получаемых экспериментальных данных.
Особого внимания требует определение исходных данных для обоснования динамической прочности и устойчивости больших плотин и других гидросооружений, проектируемых и строящихся в сейсмических районах. В 1972 г. вводится в действие новый
раздел 5 "Гидротехнические сооружения" главы СНиП-II-А.12-69 "Строительство в сейсмических районах. Нормы проектирования", предусматривающий переход от статических к динамическим методам расчета сейсмостойкости этих сооружений.
В связи с этим во Всесоюзном ордена Трудового Красного Знамени научно-исследовательском институте гидротехники им. Б.Е. Веденеева и Ленинградском ордена Ленина Политехническом институте им. М.И. Калинина был подготовлен проект методических рекомендаций по определению динамических свойств грунтов, скальных пород и местных строительных материалов, необходимых для обоснования сейсмостойкости гидросооружений.
Затем проект Рекомендаций был разослан на отзыв в ордена Трудового Красного Знамени научно-исследовательский институт оснований и подземных сооружений Госстроя СССР, Институт физики земли АН СССР им. О.Ю. Шмидта, ВНИИ ВОДГЕО, Институт сейсмостойкого строительства и сейсмологии АН Таджикской ССР, ордена Ленина проектно-изыскательский и научно-исследовательский институт Гидропроект имени С.Я. Жука, НИС Гидропроекта, Институт Фундаментпроект, Харьковский промстройниипроект, Красноярский промстройниипроект, Московский автомобильно-дорожный институт, Харьковский институт инженеров коммунального хозяйства и в другие организации. С учетом замечаний, полученных от указанных организаций, была составлена новая редакция этого документа которая была обсуждена на заседании Комиссии Ученого Совета ВНИИГ им. Б.Е. Веденеева в составе П.П. Кульмача (председатель), О.А. Савинова, П.Л. Иванова, Л.Д. Аптекаря, Н.Д. Красникова, И.Е. Дубровского, Л.В. Горелика, Л.А. Эйслера, Г.С. Толкачева, Н.Г. Лобастовой.
Комиссией Ученого Совета ВНИИГ новая редакция была одобрена и рекомендована к изданию.
Рекомендации составлены Н.Д. Красниковым, О.А. Савиновым, Л.А. Эйслером (ВНИИГ) и П.Л. Ивановым (ЛПИ) при участии Л.В. Горелика, Г.С. Толкачева и А.П. Троицкого (ВНИИГ).
Все замечания и пожелания по настоящим Рекомендациям просьба направлять по адресу: 194220 Ленинград, Гжатская ул. 21, ВНИИГ им. Б.Е. Веденеева.
1.1. Настоящие методические рекомендации по определению динамических свойств грунтов, скальных пород и местных строительных материалов предназначаются для применения в проектно-изыскательских и научно-исследовательских организациях при экспериментальном определении динамических характеристик грунтов, скальных пород и местных строительных материалов, необходимых для обоснования сейсмостойкости гидротехнических сооружений.
1.2. Основными динамическими характеристиками грунтов, скальных пород и местных строительных материалов, необходимыми для расчета гидротехнических сооружений на сейсмические воздействия по
СНиП II-А.12-69 и подлежащими экспериментальному определению с помощью полевых и лабораторных исследований, являются:
1) характеристики упругих и поглощающих свойств при динамических нагрузках малой интенсивности, не превышающих предела упругости;
2) характеристики жесткости и поглощающих свойств оснований, используемые в расчетах колебаний фундаментов и сооружений на грунтовом основании;
3) характеристики сжимаемости при динамических нагрузках значительной интенсивности, превышающих предел упругости;
4) характеристики сопротивления сдвигу и предельного состояния (прочности) грунтов при интенсивных динамических нагрузках сейсмического характера;
5) характеристики свойств водонасыщенных несвязных грунтов, используемые при оценке изменения полных и эффективных напряжений, избыточного порового давления, прочности этих грунтов, устойчивости их структуры и возможности перехода в разжиженное состояние при динамических воздействиях сейсмического характера.
1.3. При экспериментальном определении динамических характеристик грунтов, скальных пород и местных строительных материалов должны учитываться степень сохранности их структуры, плотность, влажность и статическое напряженно-деформированное состояние в натурных условиях, т.е. в основании или в теле гидросооружения.
Испытания опытных образцов должны производиться при совместном воздействии заданных статических и динамических нагрузок, а выбор расчетных динамических характеристик должен осуществляться для наиболее неблагоприятного из возможных сочетаний указанных нагрузок.
1.4. Ориентировочные значения динамических характеристик грунтов и скальных пород для использования при разработке методики экспериментов или для расчетов сейсмостойкости гидросооружений на ранних стадиях проектирования приводятся в
разделе 7 Рекомендаций.
1.5. Ввиду отсутствия стандартных методов и аппаратуры для определения характеристик, входящих в состав настоящих Рекомендаций, в них приводятся только основные требования к постановке экспериментов и обработке их результатов, а также рекомендации по использованию существующей нестандартной аппаратуры со ссылками на соответствующие литературные источники.
По мере появления стандартных методов и аппаратуры соответствующие разделы Рекомендаций будут заменены новыми.
2. ХАРАКТЕРИСТИКИ УПРУГИХ И ПОГЛОЩАЮЩИХ СВОЙСТВ
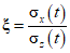
2.1. Основными характеристиками упругих и поглощающих свойств грунтов, скальных пород и местных строительных материалов при динамических нагрузках малой интенсивности, не превышающих предела упругости, являются модуль Юнга
E, коэффициент Пуассона

и коэффициент поглощения колебаний

.
В необходимых случаях могут использоваться также другие эквивалентные динамические характеристики (например, скорости распространения
V, амплитудные коэффициенты

или декременты

затухания упругих волн и др.).
Взаимосвязь между различными системами упругих характеристик, которые могут использоваться в расчетах и при экспериментальных исследованиях для обоснования сейсмостойкости гидросооружений, приведена в табл. 1.
Таблица 1
Взаимосвязь между различными системами упругих характеристик
Применяемые системы характеристик |
 , G | E,  | Vp, Vs |
| | |
G | | |
| E | |
| | |
| | Vp |
| | Vs |
| | |
Обозначения:

,
G - упругие постоянные Лямэ (
G - модуль сдвига);
E,

- модуль Юнга и коэффициент Пуассона;
Vp, Vs - скорости распространения упругих продольных и поперечных волн;

- массовая плотность,

- объемный вес среды;
g - ускорение силы тяжести.
2.2. Определение указанных в
табл. 1 характеристик может производиться как в лабораторных, так и в полевых условиях.
Лабораторное определение упругих и поглощающих характеристик производится на образцах грунтов:
1) ненарушенной структуры, залегающих в основании гидросооружений;
2) нарушенной структуры, используемых для возведения земляных сооружений.
Полевое определение указанных выше характеристик производится для грунтов и скальных пород оснований, находящихся в условиях естественного залегания, а также для каменных набросок в опытных отсыпках или в теле плотин.
2.3. Лабораторные исследования должны обеспечивать получение характеристик упругих и поглощающих свойств грунтов с учетом их статического напряженного состояния в основании или в теле сооружения.
Ввиду отсутствия необходимых приборов для таких исследований, разрешается определение характеристик упругих и поглощающих свойств производить на установках продольных и крутильных колебаний, не обеспечивающих возможности статического обжатия исследуемых образцов, а определение зависимости этих характеристик от статического напряженного состояния производить на ультразвуковых установках, оборудованных специальными устройствами для статического нагружения образцов грунта.
2.4. В состав экспериментальных установок для измерения продольных и крутильных колебаний образцов входят:
1) прибор для закрепления образцов, создания необходимой пригрузки и передачи образцу продольного или закручивающего усилия;
2) электродинамическое устройство для возбуждения свободных затухающих колебаний образца;
3) измерительная схема для записи колебаний образца на осциллографе. Описание различных установок и работы с ним и при определении упругих и поглощающих свойств грунтов приводится в работах [
2 -
4].
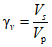
Опыты проводятся с образцами цилиндрической формы при соотношениях высоты h к диаметру d, равных h >= d для крутильных и h >= 2d для продольных колебаний.
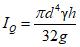
2.5. По полученным осциллограммам измеряются периоды собственных продольных Tп и крутильных Tк колебаний образцов и затем вычисляются значения модулей Юнга E и сдвига G с помощью формулы

, (1)
где
h - высота образца;

- объемный вес грунта;
g - ускорение силы тяжести;

- коэффициент, представляющий собой наименьший положительный корень уравнения

. (2)
При продольных колебаниях

, где
Q - вес образца грунта и
P - вес груза с укрепленным на нем магнитом; при крутильных колебаниях

, где

- момент инерции массы образца и
Ip - момент инерции массы осциллятора относительно оси вращения. Величина момента инерции
Ip массы осциллятора обычно определяется опытным путем.
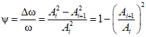
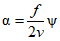
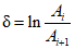
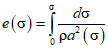
По результатам измерения значений двух смежных (за один период) амплитуд колебаний Ai и Ai+1 находится величина коэффициента поглощения колебаний

. (3)
Коэффициент

выражает собой отношение поглощенной энергии за один период

к упругой энергии

, накопленной образцом в момент наибольшей деформации.
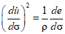
Примечание. Величина коэффициента поглощения

связана с амплитудным коэффициентом затухания упругих волн

и декрементом

колебаний следующими формулами

, (4)

, (5)
где f - частота колебаний; v - фазовая скорость волны.
При малом затухании

. (6)
2.6. Измерение скоростей распространения упругих волн в образцах грунтов, скальных пород и местных материалов и определение зависимости упругих характеристик от статического напряженного состояния производится [
3,
4,
17] ультразвуковым импульсным методом с помощью аппаратуры, в состав которой входят:
импульсный ультразвуковой сейсмоскоп (УЗС-2, ИПА-1, УКБ-1 и др.)
пьезодатчики и пьезоприемники;
прибор для закрепления исследуемого образца грунта, пьезодатчиков, пьезоприемников и для создания заданного напряженного состояния.
Измерения производятся в диапазоне частот от 20 кгц и выше по методике, указанной в описании приборов.
2.7. Измерение скоростей распространения упругих волн в образцах производится методами прозвучивания и продольного профилирования.
В первом случае образец грунта длиною l располагается между излучателем и сейсмоприемником и регистрируется время первого вступления t прямой упругой волны. Скорость распространения упругой волны V определяется из отношения V = l/t.
Во втором случае положение излучателя на образце остается фиксированным, а приемник перемещается по прямой вдоль профиля наблюдения с постоянным шагом

. Скорость распространения упругих волн определяется по годографам первых вступлений и характерных фаз колебаний таким же образом, как при использовании методов полевой сейсморазведки.
Величина базы измерения
l (длина образца) и шаг сейсмоприемников

выбираются в зависимости от скорости распространения упругих волн в грунте
V, исходя из условия получения допустимой погрешности измерений

.
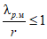
2.8. В образцах грунтов и скальных пород цилиндрической формы радиусом r и длиною l при соотношениях

, (7)
распространяются продольные волны с такой же скоростью, как в безграничном массиве

, (8)
где

- длина волны в "массиве".
А при соотношениях
 , | (9) |
|
в образцах распространяются продольные волны с такой же скоростью, как в стержне

, (10)
где

- длина волны в стержне;

- массовая плотность грунта.
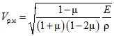
По измеренным значениям скоростей распространения упругих продольных волн в "стержне"
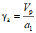
Vр.ст и в "массиве"
Vр.м определяются динамический модуль Юнга
E и коэффициент Пуассона

с помощью соотношений
 , | (11) |
 . |
2.9. При больших размерах образцов

и хорошо подготовленной их поверхности может быть произведено корреляционное прослеживание поперечной (
S) и поверхностной (
R) волн, построены годографы и определены скорости распространения (
Vs и
VR) этих волн аналогично тому, как это делается при полевой сейсморазведке. Соотношение между скоростями распространения поперечной
Vs и поверхностной
VR упругих волн может приниматься равным
Vs = 1,10VR. (12)
По известным значениям плотности грунта

и скорости распространения в нем упругих поперечных волн
Vs может быть найдено значение динамического модуля сдвига
G с помощью соотношения

. (13)
2.10. Определение упругих характеристик каменнонабросных и гравийных материалов, а также различных грунтовых смесей, содержащих крупную фракцию, для исследования которых в лабораторных условиях пока не имеется специальных крупномасштабных установок, рекомендуется производить с помощью полевых методов, основанных на измерении скоростей распространения релеевских VR и продольных Vp волн. Волна Релея возбуждается электромагнитным вибратором, установленным на поверхность исследуемого грунта. Напряжение переменного тока на вибратор подается от генератора. Колебания грунта принимаются двумя сейсмоприемниками, электрические сигналы которых усиливаются двухканальным усилителем и подаются на электронный осциллограф для определения сдвига фаз колебаний.
Один сейсмоприемник неподвижен и является "опорным", а второй передвигается по профилю для определения точек на поверхности грунта, где колебания находятся в фазе или противофазе с колебаниями в точке установки первого сейсмоприемника. Расстояние между такими соседними точками равно

, где

- длина релеевской волны. Скорость определяется по формуле

, (14)
где f - рабочая частота колебаний.
Описание блок-схемы установки для измерения фазовой скорости распространения волн Релея
VR и рекомендуемой методики исследований приводится в работе
[7].
Определение скоростей распространения упругих продольных волн Vp, возбуждаемых ударами или взрывами небольших зарядов ВВ, производится с помощью стандартной методики по годографам первых вступлений или характерных фаз колебаний.
2.11. По измеренным значениям скоростей распространения любой из трех пар упругих волн (
Vs и
Vp,
VR и
Vp,
VR и
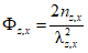
Vs) по номограмме Кнопова (рис. 1) может быть найден коэффициент Пуассона

, а по формулам
табл. 1 модуль упругости грунта
E.
Рис. 1. Номограмма Кнопова для отношений Vs/Vp, VR/Vp
и
VR/
Vs в зависимости от величины

По измеренным значениям скоростей распространения упругих волн определение модуля упругости
E и коэффициента Пуассона

может также производиться непосредственно по формулам
табл. 1.
2.12. Определение упругих и поглощающих свойств грунтов или их напластований в условиях естественного залегания, а также материалов в теле гидросооружений производится с помощью полевых методов сейсморазведки и сейсмокаротажа скважин [
4 -
7]. При этом используется стандартная сейсморазведочная аппаратура, включая многоканальные сейсмостанции (например, СС-24П и др.), комплекты сейсмоприемников (СП-16, СПЭД-56, СН-3), многоприборные зонды или одиночные скважинные сейсмоприемники и др. При разведке малых глубин (до 15
м) используются портативные одно- или двухканальные сейсмоустановки
[7].
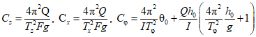
3. ОБОБЩЕННЫЕ ХАРАКТЕРИСТИКИ ЖЕСТКОСТИ ОСНОВАНИЙ
И ЗАТУХАНИЯ КОЛЕБАНИЙ
3.1. В состав характеристик, необходимых для расчетов колебаний фундаментов и сооружений на грунтовом основании, входят обобщенные коэффициенты жесткости оснований при равномерном (
Cz) и неравномерном

сжатии, равномерном (
Cx) и неравномерном

сдвиге, а также соответствующие коэффициенты затухания. Эти характеристики для естественных оснований устанавливаются по результатам испытаний грунтов.
3.2. Определение обобщенных характеристик жесткости и коэффициентов затухания производится с помощью полевых исследований свободных и вынужденных колебаний опытных бетонных блоков и сборных инвентарных штампов, расположенных на поверхности основания площадок строительства в идентичных условиях с проектируемыми фундаментами и сооружениями.
Возбуждение свободных колебаний блоков и штампов производится с помощью ударов, а вынужденных колебаний - с помощью жестко закрепленных на этих установках дебалансных вибраторов направленного действия. При опытах производится измерение колебаний блоков и штампов с помощью стандартной сейсмометрической аппаратуры (сейсмоприемников ВЭГИК, К-001 и др. в комплекте со шлейфными осциллографами).
3.3. По полученным записям определяются периоды свободных или вынужденных резонансных вертикальных
Tz, горизонтальных
Tx и вращательных

колебаний, а затем вычисляются значения
Cz,
Cx,

по формулам:

, (15)
где
Q - вес опытного блока или штампа;
F и
J - площадь и момент инерции площади их подошвы относительно главной оси, перпендикулярной плоскости колебаний;

- момент инерции массы блока или штампа относительно оси, проходящей через центр их тяжести и перпендикулярной плоскости колебаний;
h0 - расстояние от площади подошвы до центра тяжести опытного блока или штампа;
g - ускорение силы тяжести.
Значения обобщенных коэффициентов
Cz,

и
Cx, полученные путем испытаний опытных блоков или штампов с площадью подошвы
F < 10
м2 для фундаментов и сооружений с площадью подошвы 10 <=
F <= 100
м2 должны быть умножены на

.
3.4. В случае отсутствия экспериментальных данных при указанных в предыдущем пункте размерах подошвы фундаментов и сооружений для предварительных расчетов их колебаний значения коэффициентов
Cz принимаются по СНиП II-Б.7-70
табл. 1 в зависимости от величины нормативного давления
Rн на основание
[10].
Значения коэффициентов

,
Cx,

принимаются равными

. (16)
3.5. При размерах подошвы фундаментов и сооружений, меняющихся в более широких пределах (до 120 - 150
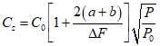
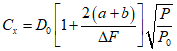
м2), определение обобщенных коэффициентов жесткости основания рекомендуется производить по методу О.А. Савинова
[9] с помощью изучения колебаний сборных инвентарных штампов с площадью основания
F = 0,5
м2 и статическими давлениями по их подошве
P0 = 0,2
кгс/см2.
По результатам этих испытаний определяются значения коэффициентов
C0 и
D0 (отвечающих давлениям по подошве штампа
P0 = 0,2
кгс/см2), а затем - значения обобщенных коэффициентов
Cz,

и
Cx по формулам

,

,

, (17)
где
a и
b - размеры подошвы фундамента или сооружения в направлении оси, лежащей в плоскости колебаний и перпендикулярной ей;
F - площадь основания;

- коэффициент, учитывающий распределительные способности грунта, для практических расчетов его величина может приниматься равной

;
P0 и
P - давления по подошве опытного штампа и фундамента или натурного сооружения.
Значения
C0 и
D0, входящие в
формулы (17) и представляющие собой коэффициенты жесткости основания для инвентарного штампа (с
F = 0,5
м2 и
P0 = 0,2
кгс/
см2), допускается также определять по полуэмпирическим формулам

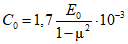
, (18)
где
E0 - величина модуля упругости (
кгс/см2), определяемая по результатам испытаний образцов грунта основания естественной структуры при малых статических давлениях (до 0,2
кгс/см2);

- коэффициент Пуассона грунта.
3.6. В случае отсутствия экспериментальных данных при указанных в предыдущем пункте размерах подошвы фундаментов и сооружений для предварительных расчетов значения характеристик C0 разрешается принимать по табл. 2.
Таблица 2
Расчетные значения характеристик
Категория грунтов как оснований фундаментов, испытывающих динамические нагрузки | Характеристики основания | Наименование грунтов | C0, кг/см3 при P = 0,2 кгс/см2 |
I | Нежесткие | Глины и суглинки текучепластичные (B > 0,75) | 0,6 |
Супеси пластичные (B > 1) |
II | Малой жесткости | Глины и суглинки мягкопластичные (0,5 < B <= 0,75) | 0,8 |
Супеси пластичные (0,5 < B <= 1) | 1,0 |
Пески пылеватые, водонасыщенные, рыхлые  | 1,2 |
III | Средней жесткости | Глины и суглинки тугопластичные (0,25 < B <= 0,5) | 2,0 |
Супеси пластичные (0 < B <= 0,5) | 1,6 |
Пески пылеватые средней плотности и плотные  | 1,4 |
Пески мелкие, средней крупности и крупные независимо от влажности и плотности | 1,8 |
IV | Жесткие | Глины и суглинки твердые (B <= 0) | 3,0 |
Супеси твердые (B < 0) | 2,2 |
Крупнообломочные грунты | 2,6 |
3.7. При больших размерах подошвы (
F >= 150
м2) массивных бетонных гидросооружений (типа водосливных бетонных плотин, молов и волноломов на нескальных грунтах) и высоких давлениях (>= 5
кгс/
см2), передаваемых ими на грунт основания, определение коэффициентов
Cz,

,
Cx рекомендуется производить с помощью полевых исследований свободных и вынужденных колебаний серии крупномасштабных (до

сооружения) бетонных блоков, геометрически подобных проектируемому сооружению или его частям и находящихся в идентичных с ними грунтовых условиях.
По данным этих испытаний определяется зависимость периодов собственных колебаний от размеров стороны подошвы опытных блоков T = T(L), которая при достаточном количестве опытных точек может быть проэкстраполирована на натурное сооружение или его отдельные части.
3.8. Для определения расчетных характеристик жесткости оснований могут быть использованы также данные измерения свободных и вынужденных колебаний натурных сооружений и их отдельных частей, сходных по конструкции, размерам и условиям возведения, включая грунтовые условия, с проектируемым сооружением и его составными частями.
С помощью этих данных и на основе их сопоставления с результатами исследований по методике, изложенной в предыдущем пункте, может быть произведен более обоснованный выбор расчетных коэффициентов жесткости основания для проектируемого сооружения.
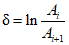
3.9. Определение характеристик затухания по результатам исследования свободных колебаний опытных блоков, штампов, натурных сооружений и их отдельных частей производится с помощью формул

,

, (19)
где

- декремент и
n - коэффициент затухания колебаний фундаментов или сооружений на нескальных основаниях;
Ai и
Ai+1 - значения двух смежных (за один период) амплитуд, снятых с записей свободных затухающих колебаний.
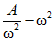
Определение характеристик затухания по результатам исследования вынужденных резонансных колебаний опытных блоков, штампов, а также фундаментов, сооружений или их отдельных частей может производиться:
1) по резонансным значениям частоты

и амплитуды
Aр колебаний с помощью формулы

, (20)
где m0 - масса вращающихся неуравновешенных частей вибратора; r - величина эксцентриситета.
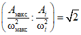
2) по экспериментальной кривой

, полученной при воздействии периодического инерционного усилия на опытные блоки и штампы, а также на фундаменты и натурные сооружения или их части, с помощью соотношения

, (21)
где

и

- частоты колебаний, отвечающие максимальным амплитудам
Aмакс и некоторым их значениям
Ai, выбранным для удобства вычислений таким образом, чтобы

, (22)
где

- частота собственных колебаний, за которую можно принимать резонансную частоту.
Коэффициент поглощения колебаний

при малом затухании связан с логарифмическим декрементом

зависимостью
[6].
3.10. В случае отсутствия экспериментальных данных на стадии предварительных расчетов допускается приближенно принимать значения модулей затухания

для естественных и насыпных грунтов оснований по табл. 3, составленной О.А. Савиновым
(9).
Таблица 3
Значения модулей затухания грунтов оснований
Наименование грунта | Состояние грунта | Модуль  , сек |
вертикальные колебания | горизонтальные колебания |
Песок крупнозернистый | В естественном залегании | 0,0013 | 0,0014 |
Рыхлая насыпь | 0,0022 | 0,0025 |
Супесь пылеватая | Слабовлажная, в естественном состоянии | 0,0012 | 0,0014 |
Свежая насыпь | 0,0018 | 0,0020 |
Глина | Слабовлажная, плотная в естественном состоянии | - | 0,0014 |
Свежая насыпь | 0,0017 | 0,0016 |
Значения амплитудных коэффициентов

[
м-1] и декрементов

затухания колебаний упругих продольных и поперечных волн для грунтов оснований и материалов сооружений разрешается принимать согласно справочной
табл. 7 раздела 7 настоящих Рекомендаций.
4. ХАРАКТЕРИСТИКИ СЖИМАЕМОСТИ ПРИ ДИНАМИЧЕСКИХ НАГРУЗКАХ
БОЛЬШОЙ ИНТЕНСИВНОСТИ, ПРЕВЫШАЮЩИХ ПРЕДЕЛ УПРУГОСТИ
4.1. Характеристики сжимаемости грунтов и местных материалов при динамических нагрузках большой интенсивности, превышающих предел упругости, используются при расчетах и экспериментальных модельных исследованиях сейсмостойкости плотин с целью более обоснованного определения сейсмических нагрузок, напряжений, полных и остаточных деформаций, возникающих в этих сооружениях и их основаниях при сильных землетрясениях.
4.2. Отличительной особенностью грунтов и местных материалов является их способность к проявлению пластических и вязких свойств при динамических нагрузках даже относительно небольшой интенсивности.
Для описания этих свойств применяются различные динамические модели (упруго-вязкой, упруго-пластической или упруго-вязко-пластической среды; многокомпонентной взаимопроникающей среды с деформируемым скелетом и др.).
Выбор соответствующих динамических моделей грунтов и местных материалов, установление пределов их применимости при решении конкретных задач и определение расчетных динамических характеристик сжимаемости (диаграмм

"напряжение-деформация", модулей деформации при нагружении
Eн и разгружении
Eр и др.) должны производиться с помощью специальных лабораторных и полевых исследований.
4.3. Лабораторное определение сопротивления грунтов и местных строительных материалов объемному сжатию при динамических нагрузках производится:
1) с помощью непосредственного испытания образцов грунтов с ненарушенной структурой, отобранных с разных глубин естественных оснований или образцов грунтов и местных материалов с нарушенной структурой, используемых для возведения гидросооружений, в условиях одноосного сжатия без возможности или с возможностью бокового расширения, в условиях всестороннего (гидростатического) сжатия и др.;
2) с помощью измерения параметров одномерных (преимущественно плоских) волн напряжений, возбуждаемых ударами или взрывами в образцах грунтов и местных материалов ненарушенной или нарушенной структуры, и использования для построения динамических диаграмм сжатия основных соотношений на фронте волны (ударной или с резким нарастанием давления).
4.4. Для грунтов и местных материалов, обладающих вязкими свойствами, характерно наличие двух предельных диаграмм объемного сжатия: "статической" и "предельной динамической". Статическая диаграмма отвечает малым скоростям изменения напряженного состояния

, при которых вязкие деформации исследуемого образца успевают полностью реализоваться в процессе испытаний, а "предельная динамическая" отвечает высоким скоростям изменения напряженного состояния

, при которых вязкие свойства исследуемых грунтов и местных материалов не успевают проявиться в процессе их нагружения и разгрузки.
При промежуточных значениях скоростей нагружения и разгружения деформационные свойства многих связных и водонасыщенных несвязных грунтов и материалов зависят от скорости изменения напряженного состояния (или от скорости относительной деформации).
Для оценки влияния вязких свойств на динамическую сжимаемость различных грунтов и местных материалов рекомендуется производить лабораторные испытания их идентичных образцов при медленном статическом и при быстром динамическом нагружении и разгружении. Если различие между полученными при этих опытах статической и предельной динамической диаграммами сжатия по величине общей деформации при одинаковых максимальных давлениях не превосходит 10 - 15%, то для практических расчетов можно пользоваться обычной статической диаграммой сжатия.
Во всех других случаях при обосновании сейсмостойкости гидросооружений должны использоваться динамические диаграммы сжатия, полученные путем испытаний в заданном диапазоне изменения скоростей нагружения, отвечающем условиям нагружения грунтов и местных материалов в основании или в теле натурного сооружения при землетрясениях.
Если в заданном диапазоне изменения скоростей нагружения вязкие свойства грунтов мало влияют на вид динамических диаграмм сжатия, то их определение может производиться без учета этих свойств. В противном случае необходимо проведение специальных исследований по установлению реологических моделей, наиболее близко и полно отражающих основные динамические свойства грунтов, и определению их расчетных характеристик.
4.5. Определение характеристик динамической сжимаемости грунтов и местных материалов производится по данным испытаний образцов ненарушенной или нарушенной структуры на одноосное сжатие без возможности бокового расширения с помощью различных (пневмодинамических или пневмогидравлических) установок, ударных копров и др. В приборах компрессионного сжатия исследуются образцы грунта с отношением
h/
d <= 1/4 (где
h - высота и
d - диаметр образца), при котором практически исключается влияние на результаты испытаний сил трения грунта о стенки прибора. При опытах с помощью тензометрических и индукционных датчиков измеряются во времени осевые

и боковые

напряжения в грунте и его относительные деформации
ez(
t). Динамические диаграммы одноосного

или всестороннего

сжатия определяются путем исключения из полученных записей времени, как параметра. При этом предполагается, что вид диаграмм объемного сжатия не зависит от девиаторных напряжений. Описание существующих экспериментальных установок и методики испытаний динамической сжимаемости грунтов приводится в [
12,
14,
15,
17].
4.6. Определение динамической сжимаемости грунтов и местных материалов в лабораторных и полевых условиях по данным исследования распространения в них волн напряжений, вызванных ударами и взрывами, производится с помощью измерений во времени тензометрическими или пьезоэлектрическими датчиками с записью на осциллографах осевых

и боковых

или радиальных

и тангенциальных

напряжений на различном удалении от источника возмущения

(
r - расстояние от источника возмущения до пункта наблюдения,
м;

- радиус,
м, тротилового заряда ВВ, приведенного к сферической форме;
C - вес заряда ВВ,
кг).
По данным измерений, с помощью использования основных соотношений на фронте ударной волны строятся зависимости

, (23)

,
или

, (24)
и

,
где

и

- гидростатические давления и средние относительные деформации грунта на расстоянии

от источника возмущения;

и

- плотность грунта, начальная и за фронтом ударной волны или максимума давления;
aф - скорость распространения фронта волны или максимума давления.
Исключая из
соотношений (23) или
(24) значение
r как параметра, получают зависимость

. Этот метод, описание которого приведено в работах [
13,
17], применим при близких расстояниях от места взрыва (
r < 20 - 30
r0); когда в грунте существует ударная волна или волна с резким фронтом нарастания давления.
4.7. На больших расстояниях от места взрыва (
r >= 20 - 30
r0) в грунтах и местных материалах наблюдаются непрерывные волны сжатия (ударная волна отсутствует). При этом определение динамических диаграмм сжатия производится по записям на разных удалениях от источника возмущения давлений

в плоской волне сжатия, возбуждаемой в грунте взрывами накладных или воздушных зарядов ВВ. С помощью полученных записей определяются скорости распространения давлений заданной интенсивности (по годографам "расстояние-давление заданной интенсивности"). Затем строятся зависимости скорости распространения

и соотношения

в функции давления. Путем графического интегрирования этой кривой в заданном интервале изменения давлений (например от 0 до

) определяется ветвь нагружения диаграмм "напряжение-деформация" для исследуемого грунта

. (25)
Ветвь разгрузки динамической диаграммы сжатия принимается параллельной оси давления (если деформации грунта являются полностью необратимыми) или параллельной касательной к начальному участку диаграммы (если деформации грунта являются частично обратимыми).
Приближенность этого метода, описание которого приведено в работе
[17], заключается в том, что при графическом интегрировании кривой

не учитывается изменение плотности грунта с изменением давления.
4.8. При более обоснованном способе определение начального (до точки перегиба) участка ветви нагружения динамической диаграммы сжатия производится по одновременным записям на разных расстояниях от источника возмущения давлений

и скоростей смещений частиц

при распространении по грунту плоской волны напряжений, возбуждаемой взрывами накладных или воздушных зарядов BB. По полученным в каждой из точек наблюдений записям

и

путем исключения из них параметра
t строится зависимость

. В тех случаях, когда определение промежуточных амплитуд между началом записи и максимумом давления или скорости (например, при их резком нарастании) вызывает затруднения, зависимость

строится по максимальным значениям давления и скорости частиц, полученным в нескольких точках исследуемого грунта. Затем по экспериментальной зависимости

на основании использования решения задачи о распространении упруго-пластических волн в стержне, находится ветвь нагружения диаграмм

. Например, если связь

представлена в виде

, (26)
то зависимость

отыскивается в виде

, (27)
где

,

,
k - некоторые постоянные величины, известные из опытов;
A,
B,
C,
m и
n - постоянные, подлежащие определению.
Подставляя в уравнение

, (28)
вытекающее из решения задачи о распространении упруго-пластических волн в стержне, значения

и

, найденные из
соотношений (26) и
(27), и приравнивая показатели, а также коэффициенты при значениях

, входящих соответственно в правую и левую часть
выражения (28) можно определить искомые значения
A,
B,
C,
n и
m.
В частном случае при
x = 2 получается

,

(29)
Проверкой правильности определения коэффициента
A является выполнение равенства

, где
Vр - скорость распространения упругих волн в грунте.
После подстановки коэффициентов
A,
B,
C,
n и
m в
выражение (27) может быть построена ветвь нагружения диаграммы

. Ветвь разгрузки динамической диаграммы сжатия, как и в предыдущем случае, принимается параллельной оси давлений (если деформации являются необратимыми) или параллельной касательной к начальному участку диаграммы (если деформации грунта являются частично обратимыми).
4.9. При динамических нагрузках относительно небольшой интенсивности (до 10 - 15
кгс/
см2) диаграммы

грунтов и местных материалов имеют вид, показанный на
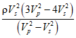
рис. 2. Они состоят из ветви нагружения OAB и разгрузки BC, имеющих нелинейный характер и не совпадающих между собой.
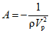
В средах с такими диаграммами скорости распространения упруго-пластических волн сжатия являются переменными, зависящими от интенсивности передаваемого давления

. (30)
При узком интервале изменения давлений

(в пределах 3 - 4
кгс/
см2) за величину скорости распространения упруго-пластических волн нагружения
aн может быть принято среднее значение между скоростями распространения упруго-пластических волн, отвечающих указанным давлениям

и

. Скорость распространения волны разгрузки
aр определяется по наклону к оси деформаций прямой, соединяющей точки
B и
C ветви разгрузки, а скорость распространения упругих продольных волн
Vр может быть приближенно найдена по углу наклона касательной к начальному участку диаграммы.
4.10. Значения модулей упругости
E и упруго-пластических деформаций грунтов и местных материалов при их нагружении

и разгрузке
Eр могут быть найдены по формулам:

(31)
4.11. При практических расчетах во многих случаях непрерывные нелинейные динамические диаграммы сжатия аппроксимируются в виде ломаных, состоящих из двух-трех и более отрезков прямых (пунктирные линии на рис. 2), отвечающих разным стадиям нагружения и разгрузки грунтов и местных материалов.
Рис. 2. Динамическая диаграмма сжатия
По величине наклона этих прямых к оси деформаций определяются динамические модули упругости

, а также упруго-пластических деформаций при нагружении

и разгрузке

.
Соотношения между напряжениями

и деформациями
e для разных участков диаграммы сжатия
(рис. 2) могут быть представлены в виде следующих зависимостей:
1) для начального участка


, (32)
где

- предел упругости;
2) для участка упрочнения ветви нагружения (

и

)

; (33)
3) для участка разгрузки (при

)

, (34)
где

- предел упругой деформации;
eмакс - максимальная деформация, достигнутая в процессе нагружения (до разгрузки).
Скорости распространения упругих и упруго-пластических волн в грунтах и местных материалах определяются в соответствии с
формулами (31).
4.12. Исследования деформационных свойств грунтов и местных материалов при воздействии повторных динамических нагрузок показывают, что при малом количестве циклов "нагружение-разгрузка" их деформации являются преимущественно остаточными. По мере увеличения числа циклов "нагружение-разгрузка" приращения остаточных деформаций образцов, испытываемых в условиях постоянной величины максимального давления, с каждым новым циклом уменьшаются. При достаточно большом количестве циклов "нагружение-разгрузка" деформации грунтов и местных материалов становятся практически упругими.
Исследования деформационных свойств грунтов и местных материалов для оценки сейсмостойкости гидросооружений должны проводиться при количестве, интенсивности, продолжительности и последовательности приложения импульсов, соответствующих тем, которые могут наблюдаться в натурных условиях при воздействии расчетного землетрясения на проектируемое сооружение.
4.13. По имеющимся экспериментальным данным сжимаемость грунтов и местных материалов при сложных напряженных состояниях зависит как от нормальных, так и от девиаторных напряжений.
Из-за отсутствия на современном этапе разработанной методики и аппаратуры для проведения соответствующих динамических исследований приближенная оценка влияния девиаторных напряжений на сжимаемость грунтов и местных материалов при динамических нагрузках в условиях сложных напряженных состояний может производиться по результатам их статических испытаний, методика которых приводится в работе
[18].
4.14. Лабораторное определение коэффициента бокового давления производится с помощью компрессионных приборов с горизонтальной и вертикальной прорезью, через которые протаскивается стальная лента. Замеряя вертикальное

и боковое

напряжения при протаскивании ленты, по их соотношению находят значение

.
При другом способе определение

производится с помощью приборов трехосного сжатия (стабилометров). Прикладывая к исследуемому образцу продольное

и боковое

давления, подбирают их соотношение таким образом, чтобы боковые деформации образца равнялись нулю
ex =
ey = 0. При этом, величина коэффициента бокового давления определяется из соотношения

. (35)
Определение коэффициента

по результатам лабораторных и полевых испытаний, основанных на измерении динамических давлений

и

в грунтах и местных материалах, вызванных ударами и взрывами (
п.п. 4.5 -
4.7), производится с помощью соотношения

, (36)
в котором значения напряжений

и

в данной точке принимаются по записям давлений для одинаковых моментов времени.
4.15. Величина коэффициента

грунтов и местных материалов при малых давлениях (< 1,0
кгс/
см2) зависит от интенсивности давлений. С их увеличением

возрастает, стремясь в пределе к некоторому постоянному значению, характерному для данного грунта или материала, что должно учитываться при испытаниях и выборе расчетных значений этого коэффициента.
4.16. Коэффициент Пуассона

грунтов и местных материалов определяется в зависимости от коэффициента бокового давления

с помощью соотношения

. (37)
Коэффициент Пуассона

для скальных грунтов обычно определяется путем непосредственного замера относительных деформаций образцов

, (38)
при их одноосном сжатии с возможностью бокового расширения или по скоростям распространения упругих волн.
4.17. В случае отсутствия данных динамических испытаний для приближенной оценки деформационных свойств грунтов и местных материалов при сейсмических воздействиях на ранних стадиях проектирования разрешается пользоваться данными статических испытаний и приведенными в
разделе 7 настоящих Рекомендаций справочными таблицами, содержащими расчетные динамические характеристики грунтов.
5. ХАРАКТЕРИСТИКИ СОПРОТИВЛЕНИЯ ДЕФОРМАЦИЯМ СДВИГА
И ПРЕДЕЛЬНОГО СОСТОЯНИЯ (ПРОЧНОСТИ)
ПРИ ДИНАМИЧЕСКИХ НАГРУЗКАХ
5.1. Основными показателями сопротивления сдвигу и предельного состояния (прочности) грунтов, скальных пород и местных материалов, используемыми при оценке сейсмостойкости гидросооружений, являются:
1) сопротивление скальных пород и связных грунтов ненарушенной структуры одноосному динамическому сжатию Rсж и растяжению Rр при возможности бокового расширения;
2) сопротивление сдвигу

других разновидностей грунтов, местных материалов и трещиноватых скальных пород при динамических нагрузках, характеризуемое в предельном состоянии общим коэффициентом сдвига
f или углом внутреннего трения

и сцеплением
c;
3) условие предельного состояния (прочности или пластичности) грунтов и местных материалов при динамических нагрузках.
5.2. Сопротивление сдвигу и прочностные свойства грунтов и местных материалов при динамических нагрузках определяются [
17 -
20,
23 -
26] с помощью лабораторных испытаний на рычажных прессах, сдвижных, крутильных или скашивающих приборах, стабилометрах и других установках, оборудованных специальным устройством для приложения к исследуемому образцу статической и динамической составляющей нагрузки, изменяющейся во времени по заданному закону.
При опытах с помощью специальной аппаратуры производится регистрация во времени сдвигающей нагрузки
T(
t) и сдвиговых деформаций

. Путем исключения из них времени
t как параметра определяется зависимость

деформации сдвига

от величины касательного усилия

(где
F - площадь поперечного сечения образца). При заданном характере изменения и времени действия динамической сдвигающей нагрузки путем постепенного увеличения ее интенсивности образец доводится до разрушения, определяемого по величине его предельной, наперед заданной, необратимой деформации сдвига.
По данным серии опытов с образцами одного и того же грунта при разных сочетаниях статических и динамических нагрузок находится зависимость

, характеризующая соотношение между касательными и нормальными напряжениями по плоскости сдвига при достижении предельного состояния. Обычно эта зависимость представляется в виде закона Кулона-Мора для несвязных грунтов

, (39)
и для связных грунтов

, (40)
где

и
c - параметры экспериментальной зависимости, называемые углом внутреннего трения и сцепления.
5.3. Определение влияния параметров динамического воздействия (амплитуд смещений, скоростей и ускорений; частоты и общей длительности процесса колебаний) на сопротивляемость сдвигу грунтов и местных материалов производится с помощью различных вибростендов, динамических приборов трехосного сжатия, сдвига по поверхности основания вибрирующих штампов и других методов.
5.4. Опыты с неводонасыщенными песчаными грунтами [
8,
9,
20,
23,
26] показывают:
1) при вибрационных воздействиях наблюдается значительное уменьшение их эффективного сопротивления сдвигу, зависящее от величины ускорения колебаний [
8,
9];
2) при небольших значениях ускорений (измеряемых долями
g), не приводящих к разрушению структуры грунта, уменьшение эффективного сопротивления сдвигу определяется кратковременными изменениями напряженного состояния образца, а характеристики сопротивления сдвигу (угол внутреннего трения и сцепление) остаются постоянными
[20];
3) при интенсивных вибрациях (с ускорениями, близкими к
g или большими этой величины), приводящих к нарушению структуры и взаимному смещению твердых частиц, песчаный грунт приобретает свойства вязкой среды, сопротивление которой сдвигу определяется силами вязкого трения, зависящими от параметров вибрационной нагрузки
[23].
Сопротивление сдвигу водонасыщенных несвязных грунтов при вибрационных воздействиях характеризуется более сложными зависимостями, определяемыми влиянием виброползучести, явлениями разрушения структуры и возможности перехода этих грунтов в разжиженное состояние [
20,
24]. Рекомендуемые методы оценки динамической устойчивости структуры водонасыщенных грунтов и условий их перехода в разжиженное состояние приводятся ниже в
разделе 6 настоящих Рекомендаций.
5.5. Экспериментальные исследования прочности на сжатие грунтов и местных материалов при динамических нагрузках различного характера и интенсивности (типа одиночного импульса, серии повторяющихся импульсов, гармонических колебаний или нестационарных нагрузок) проводятся путем испытаний их образцов в стабилометрах, на рычажных и копровых установках с записью во времени напряжений, деформаций, порового давления и других параметров.
5.6. Сопротивление сжатию многих грунтов и местных материалов (пластичных суглинков, глин, водонасыщенных песков и др.) при прочих одинаковых условиях зависит от скорости нарастания и длительности действия динамической нагрузки. С увеличением скорости нарастания и уменьшением длительности действия динамической нагрузки типа одиночного импульса сопротивление сжатию этих грунтов вследствие проявления их вязких свойств, резко возрастает. Например, динамическая прочность слабой илистой глины при времени нагружения 0,02
сек вдвое превышала статическую при времени нагружения 10
мин [17].
С уменьшением влажности и возрастанием прочности грунтов это отношение уменьшается. Влияние скорости нагружения на прочность (сопротивление сжатию) сухих и маловлажных песков незначительно.
5.7. Из приведенных данных видно, что оценка прочностных свойств грунтов и местных материалов для двух указанных выше условий динамического нагружения дает прямо противоположные результаты: при длительных вибрационных воздействиях наблюдается значительное (в несколько раз) уменьшение их сопротивления сдвигу, а при нагрузках типа одиночного импульса с возрастанием скорости нагружения (темпа деформации) и уменьшением продолжительности кратковременного воздействия наблюдается не менее значительное (также в несколько раз) увеличение их максимальной прочности на сжатие по сравнению с результатами соответствующих статических испытаний.
В случае сейсмических воздействий, отличающихся по характеру и по длительности как от установившегося вибрационного режима, так и от одиночного импульсного воздействия, будет наблюдаться промежуточная картина.
5.8. Определение прочностных свойств грунтов и местных материалов при совместном воздействии различных сочетаний постоянных (статических) и кратковременных импульсных нагрузок проводится с помощью специальных динамических стабилометров по методике, изложенной в работах [
17,
25,
26] Вначале производится определение прочности исследуемого грунта при воздействии статических нагрузок За величину разрушающей нагрузки принимается такая ее величина, при которой относительная осевая деформация образца достигает 20 - 25% от его длины. Затем к идентичным образцам того же грунта прикладывается статическое давление, составляющее определенную долю (30, 40, 50 и 60%) от разрушающего. После стабилизации деформаций образца от статической нагрузки он подвергается воздействию заданного количества кратковременных импульсов и доводится до разрушения (определяемого также по указанному выше критерию). По результатам серии таких опытов строятся графики неблагоприятных сочетаний постоянной (статической) составляющей нагрузки с различным количеством кратковременных импульсов нагружения, приводящих к разрушению исследуемого образца.
Полученные графики используются для оценки прочностных свойств грунтов и местных материалов при совместном действии наиболее неблагоприятных сочетаний постоянного (статического) и кратковременных импульсных напряжений. Аналогичная методика может применяться также для случаев изменения динамического воздействия во времени по любому другому закону (гармоническому, полигармоническому, задаваемому в виде акселерограммы реального землетрясения и т.п.).
5.9. Определяемые с помощью указанных выше опытов прочностные характеристики и условие предельного состояния (пластичности) в форме Кулона-Мора отвечают случаям преимущественно одноосного или плоского деформированного состояния исследуемых грунтов и местных материалов, осуществляемого в условиях простого нагружения.
Методика исследования деформационных и прочностных свойств грунтов и местных материалов для общих случаев их пространственного напряженно-деформированного состояния при сложных траекториях нагружения к настоящему времени практически не разработана.
Данные статических испытаний в условиях пространственного напряженно-деформированного состояния при простом нагружении показывают
[18], что в этом случае объемная деформация грунтов зависит не только от гидростатического, но и от девиаторных напряжений.
Ввиду отсутствия в настоящее время разработанной методики и аппаратуры, а также результатов исследований деформационных и прочностных свойств грунтов и местных материалов при динамических нагрузках в общем случае их сложного напряженно-деформированного состояния, для приближенной оценки этих свойств в указанных выше условиях могут использоваться данные соответствующих статических испытаний
Одновременно с этим необходимо проведение исследований по разработке методики и техники экспериментального определения деформационных и прочностных свойств грунтов и местных материалов при интенсивных динамических нагрузках сейсмического характера для общих случаев пространственного напряженно-деформированного состояния и сложных траекторий нагружения.
5.10. Определение влияния динамических (сейсмических) нагрузок на сопротивление сдвигу трещиноватых скальных пород оснований гидросооружений и сдвига бетона по скале должно производиться в лабораторных условиях - на виброплатформах или специальных экспериментальных установках, а в полевых условиях - с помощью сдвига целиков и опытных штампов при наложении заданной динамической нагрузки на статическую.
При отсутствии данных таких исследований, которые в настоящее время находятся в стадии разработки и развития, разрешается в порядке первого приближения использовать соответствующие статические характеристики, полученные с помощью сдвига целиков и опытных штампов
[19].
5.11. Для приближенной оценки сопротивления сдвигу при динамических нагрузках каменнонабросных и крупнообломочных материалов, применяемых для возведения упорных призм высоких плотин, на предварительных стадиях проектирования также могут быть использованы результаты их статических лабораторных и полевых исследований на крупномасштабных установках и опытных отсыпках
В дальнейшем необходимо развитие и практическое внедрение динамических методов испытаний деформационных и прочностных свойств таких материалов на крупномасштабных виброплатформах, специальных динамических установках и на опытных отсыпках.
6. ХАРАКТЕРИСТИКИ СВОЙСТВ ВОДОНАСЫЩЕННЫХ НЕСВЯЗНЫХ ГРУНТОВ
И МАТЕРИАЛОВ, ИСПОЛЬЗУЕМЫЕ ПРИ ОЦЕНКЕ УСТОЙЧИВОСТИ
ИХ СТРУКТУРЫ И ВОЗМОЖНОСТИ ПЕРЕХОДА В РАЗЖИЖЕННОЕ СОСТОЯНИЕ
6.1. Основными признаками разжижения несвязного грунта при разрушении его структуры является временное повышение давлений в поровой воде, уменьшение сжимающих напряжений в скелете грунта и временное уменьшение сопротивления грунта сдвигу, определяемое с помощью зависимости:

, (41)
где Pt - избыточное давление в воде при разжижении.
При

и

возникает "полное разжижение", а во всех остальных случаях

имеет место "частичное разжижение" несвязного грунта.
6.2. Необходимыми условиями возникновения явлений разжижения являются разрушение структуры и возможность уплотнения водонасыщенных несвязных грунтов.
Возможность разрушения структуры в основном определяется плотностью укладки несвязного грунта, его начальным напряженным состоянием, интенсивностью и характером динамического воздействия.
6.3. Весь процесс разжижения состоит из разрушения структуры, собственно разжижения несвязного грунта и последующего его уплотнения.
Одним из основных факторов, определяющих устойчивость грунтовых массивов и возможность смещения сооружений при разжижении, является время пребывания грунта в разжиженном состоянии, зависящее от времени его уплотнения (консолидации).
Время консолидации существенно увеличивается при уменьшении водопроницаемости несвязного грунта, при увеличении его уплотняемости, а также при увеличении зоны разрушения структуры и размеров уплотняемой толщи. Уменьшение времени пребывания грунта в разжиженном (полностью или частично) состоянии имеет место при наличии в массиве дренажей и дренирующих пригрузок.
На величину возможных смещений разжиженных масс грунта влияет их вязкость, увеличивающаяся с увеличением начальной плотности грунта.
6.4. В общем случае оценка возможности возникновения и степени разжижения водонасыщенного несвязного грунта (характеризуемая изменением соотношения между напряжениями в скелете и давлениями в воде) должна производиться на основе решения динамических задач о распространении волн возмущений в грунте с определением относительных движений его компонент и деформаций скелета.
В этих задачах для описания свойств водонасыщенных грунтов при динамических нагрузках должна применяться модель многокомпонентной взаимопроникающей среды со скелетом
[22], деформационные и прочностные свойства которого, а также законы взаимодействия компонент должны определяться с помощью специальных экспериментальных исследований.
Используемые в настоящее время практические критерии и методы оценки возможности перехода несвязных грунтов в разжиженное состояние, определения смещений земляных масс и возведенных на них сооружений основываются на ряде предпосылок и допущений и имеют различную область применимости. Исследование устойчивости структуры водонасыщенных грунтов при лабораторных испытаниях должно производиться в условиях, отражающих состояние грунта (плотность, влажность, характер и уровень статических напряжений), а также особенности и интенсивность динамических нагрузок, наблюдающихся в естественных условиях в основании или в теле сооружения. Единой общей методики оценки возможности разжижения несвязных грунтов не имеется.
Поэтому ниже приводятся наиболее разработанные в практическом отношении методы, которые нельзя рассматривать как взаимозаменяемые.
6.5. Критерием невозможности возникновения явлений разжижения водонасыщенных несвязных грунтов при динамических нагрузках в условиях их естественного залегания или в теле гидросооружений является выполнение требования, предложенного в работе
[9]:
где D0 - определяемая из опытов максимальная степень структурной плотности песка данного сложения; D - степень плотности песка в условиях естественного залегания или в теле гидросооружений.
Значения
D0 определяются в виброкомпрессионных приборах при нормальных давлениях порядка 0,5
кгс/
см2 и интенсивных вибрациях (ускорения ~ 2,0
g). В большинстве случаев (

и

) это условие полностью обеспечивает устойчивость структуры грунта, но является слишком "жестким" (оно не учитывает напряженное состояние грунта и интенсивность динамических воздействий в реальных условиях). При вибрационных воздействиях критерий
D >
D0 является исчерпывающим и в случае его выполнения дальнейших исследований устойчивости структуры грунта не требуется.
При отсутствии опытных данных величина D0 может приниматься равной для мелкозернистых песков - 0,7, для среднезернистых - 0,65, для крупнозернистых песков и гравийно-галечных материалов - 0,6.
6.6. Метод критических ускорений колебаний [
9,
24] основан на выполнении требования

, (43)
где

- максимальное ускорение колебаний, действующее в земляной среде;

- критическое ускорение колебаний.
Критическое ускорение колебаний определяется по результатам виброкомпрессионных испытаний грунтов как ускорение, при котором не возникает объемных деформаций скелета несвязного грунта.
Величина критического ускорения колебаний уменьшается с уменьшением начальной плотности грунта, уменьшением сжимающих и увеличением касательных (сдвигающих) напряжений в скелете.
Этот критерий является менее "жестким", чем критерий максимальной степени структурной плотности D0.
Вместе с тем
условие (43) определяет отсутствие каких-либо деформаций несвязного грунта при воздействии вибрационных нагрузок и при его выполнении дальнейшие исследования динамической устойчивости структуры несвязных грунтов не требуются.
6.7. Оценка устойчивости структуры водонасыщенных несвязных грунтов в условиях развития деформаций сдвига при воздействии статических нагрузок производится с помощью метода "критической пористости", основанного на выполнении условия:

, (44)
где
n и

- пористость и объемный вес скелета грунта в условиях естественного залегания в основании или в теле сооружения;
nкр и

- критическая пористость и соответствующий ей объемный вес скелета грунта.
Критическая пористость определяется на приборах плоского сдвига или трехосного сжатия (с измерением объема образца грунта до и после испытаний) при статических нагрузках и соответствует начальной пористости грунта, при которой его конечная пористость после сдвига оказывается равной начальной. При пористости, меньшей критической, в результате сдвига грунта возникает его разрыхление. Критическая пористость уменьшается с увеличением сжимающих напряжений в скелете грунта.
Метод критической пористости неприменим для оценки возможности разжижения при действии динамических нагрузок.
При пористости, меньшей критической, последующие смещения разжиженных земляных масс под действием динамических нагрузок могут приводить к разрыхлению грунта и прекращению явлений разжижения.
Поэтому при динамических воздействиях критическая пористость может приниматься в качестве дополнительного параметра, определяющего меньшее (затухающее) или большее (прогрессирующее) смещение разжиженных грунтов. Дальнейший процесс смещения или растекания разжиженных масс грунта в значительной мере зависит от характера изменения пористости при сдвиге.
6.8. Для оценки динамической устойчивости структуры водонасыщенных грунтов в полевых условиях может быть использован метод "взрывного зондирования"
[21], основанный на применении взрывов камуфлетного типа (приближающихся к максимальному камуфлету) в исследуемой толще грунта, замере возникающих при этом осадок поверхности и наблюдений за внешними проявлениями процесса разжижения грунта (погружения тяжелых "марок" и др.).
Условием отсутствия развития значительных областей разжижения грунта являются:

, (45)
где
Sвз и

- соответственно осадка и относительная осадка слоя грунта по результатам взрывного зондирования;
Sпр и

- осадка и относительная осадка слоя грунта, при которой не развиваются значительные области разжижения.
Величина

определяется по табл. 4 составленной
[21] на основании обобщения результатов полевых испытаний несвязных грунтов различной начальной плотности, структурной прочности, гранулометрического состава и др.
Таблица 4
Характеристика плотности песков и возможности их разжижения | Средняя относительная осадка  , поверхности в радиусе R, % | Средняя осадка поверхности в радиусе R при весе заряда C = 5 кг, см |
Пески очень рыхлые (большая вероятность возникновения явлений разжижения) | > 3 | > 20 |
Пески рыхлые и средней плотности (возможно возникновение явлений разжижения) | 3 - 1,5 | 10 - 20 |
Пески средней плотности и рыхлые со структурными связями (возникновение явлений разжижения маловероятно) | 1,5 - 0,5 | 4 - 10 |
Пески средней плотности и плотные или имеющие прочные структурные связи (возникновение явлений разжижения практически невозможно) | < 0,5 | < 4 |
При использовании зарядов различного веса возможны послойные испытания напластований грунтов с выделением наименее динамически устойчивых слоев грунтовой толщи. Для сопоставительной оценки различных участков может приниматься метод "стандартных взрывов" (постоянный вес заряда, например, 5 кг). При значительных глубинах воды в качестве зондировочных могут применяться подводные взрывы зарядов над поверхностью слоя грунта.
Метод взрывного зондирования особенно эффективен при оценке возможности перехода в разжиженное состояние грунтов, постоянно находящихся ниже горизонта воды, для которых точное определение их плотности представляет большие трудности.
6.9. При использовании метода, основанного на определении напряжений в скелете и давлений в поровой воде в процессе разгрузки грунта, вызванных приложением импульсного воздействия, учитывается обратимость деформаций поровой воды и защемленного газа и неполная обратимость деформаций скелета грунта
[22]. Исходя из этого оценивается "расклинивающее" действие поровой воды и газообразной фазы. Кроме того, учитывается увеличение водосодержания грунта в результате относительных смещений, скелета и поровой воды в период действия импульсной нагрузки.
Критерием полного разжижения является

, (46)
где
p - расчетное давление в воде;
pпр - поровое давление при полном разжижении грунта;

- расчетное напряжение в скелете.
Для выполнения расчетов и оценки возможности разжижения необходимо определение характеристик деформируемости скелета грунта, содержания защемленного газа и водопроницаемости грунта.
6.10. При использовании методов [
20,
24], основанных на расчетном определении напряжений в скелете грунта в процессе его консолидации при действии вибрационных нагрузок (учет виброползучести грунта), критерием полного разжижения является
условие (46). Кроме того, по полученным расчетным путем значениям порового давления производится оценка устойчивости массива грунта в рассматриваемый момент времени с помощью
зависимости (41).
Характеристики ползучести скелета
[20] определяются по данным виброкомпрессионных испытаний образцов грунта. Кроме того, необходима дополнительная оценка фильтрационных свойств грунта и содержания компонент.
При использовании зависимостей для определения давлений в поровой воде, приведенных в работе
[24], по данным виброкомпрессионных испытаний определяется коэффициент динамического уплотнения (характеристика изменения пористости грунта во времени на начальном участке кривой виброползучести скелета грунта).
Использование методов теории консолидации позволяет учесть наличие дренирующих и противофильтрационных устройств, а также постепенное распространение зоны разрушения структуры вглубь толщи грунта. Учет постепенности развития объемных деформаций грунта позволяет в каждом конкретном случае провести анализ влияния мощности слоя грунта с разрушенной структурой под воздействия динамических нагрузок. С увеличением мощности слоя и уменьшением водопроницаемости грунта возможности образования зон полного разжижения или нарушения устойчивости откосов увеличиваются.
Методы, основанные на использовании коэффициента динамического уплотнения
[24] и параметров виброползучести
[20], дают практически совпадающие результаты в случае двухфазного грунта и малых избыточных давлений в поровой воде. При развитии давлений в поровой воде использование коэффициента динамического уплотнения приводит к занижению избыточных давлений и мощности толщи с разрушенной структурой.
6.11. В последнее время разрабатываются методы, основанные на оценке предельных смещений массивов грунта при допущении возникновения их разжижения. Определение величин смещений земляных масс и сооружений производится с учетом времени действия динамических нагрузок, времени пребывания грунта в разжиженном состоянии и других факторов. Основным критерием устойчивости земляных масс и сооружений является условие

, (47)
где

- смещение или деформация за период существования состояния полного или частичного разжижения;

- предельная допускаемая величина смещения или деформации для данного сооружения.
6.12. В общем случае оценка динамической устойчивости структуры водонасыщенных несвязных грунтов и возможности их перехода в разжиженное состояние должна производиться на основе комплексного применения перечисленных выше методов.
При сейсмических воздействиях выполнение
условий (42) или
(43) обеспечивает практическое отсутствие явлений разжижения.
При невыполнении этих условий, необходимо проведение исследований процессов консолидации грунтов при вибрационных (сейсмических) воздействиях
(п. 6.10) с последующей расчетной оценкой возможности образования зон полного разжижения или нарушения устойчивости сооружений.
Критерии (45) -
(47) следует использовать только при допущении временного нарушения устойчивости и смещений земляных масс.
7. НЕКОТОРЫЕ ДАННЫЕ О СОСТАВЕ, МЕТОДАХ ОПРЕДЕЛЕНИЯ
И ОРИЕНТИРОВОЧНЫХ ЗНАЧЕНИЯХ РАСЧЕТНЫХ ДИНАМИЧЕСКИХ
ХАРАКТЕРИСТИК ГРУНТОВ, СКАЛЬНЫХ ПОРОД И МЕСТНЫХ МАТЕРИАЛОВ
7.1. В общем случае при расчете и проектировании гидросооружений, их оснований и береговых склонов на сейсмические воздействия определение динамических характеристик грунтов, скальных пород и местных материалов должно производиться с помощью специальных лабораторных и полевых экспериментальных исследований согласно
разделам 2 -
6 настоящих Рекомендаций.
Состав определяемых расчетных динамических характеристик грунтов, скальных пород и местных материалов, методы их определения и перечень используемого при этом экспериментального оборудования и аппаратуры приведены в
табл. 5.
7.2. При отсутствии необходимых экспериментальных данных выбор ориентировочных значений динамических характеристик грунтов и местных материалов для приближенных расчетов сейсмостойкости гидросооружений, их оснований и береговых склонов на ранних стадиях проектирования может приближенно производиться по приведенным сводным
таблицам 6 -
9, в которых даны примерные значения скоростей распространения упругих продольных
vp и поперечных
vs волн; упруго-пластических волн
a1 при максимальных давлениях в волне сжатия до 10 - 15
кгс/
см2 (табл. 6); амплитудных коэффициентов

и декрементов

затухания колебаний
(табл. 7); статических и динамических модулей упругости
(табл. 8); а также коэффициентов Пуассона

и бокового давления
(табл. 9).
7.3. При использовании таблиц необходимо иметь в виду, что динамические характеристики грунтов, скальных пород и местных материалов зависят от целого ряда факторов (сохранности естественной структуры, плотности, влажности, статического обжатия и условий напряженно-деформированного состояния; характера и параметров действующей динамической нагрузки и др.). Поэтому выбор расчетных динамических характеристик должен производиться с учетом указанных выше факторов.
7.4. В частности необходимо учитывать, что значения скоростей распространения и характеристик поглощения упругих продольных
P и поперечных
S волн (
табл. 6 -
7) отвечают очень небольшим по интенсивности напряжениям (сотые доли
кгс/
см2) и сравнительно высоким частотам, меняющимся в пределах примерно 30 - 100
гц. Значения скоростей распространения упруго-пластических волн
(табл. 6) получены в основном путем испытаний с помощью взрывов при интенсивности максимальных давлений до ~ 15
кгс/
см2 и весьма высоких скоростях нагружения

. Динамические модули упругости
Eд (табл. 8) определялись путем полевых испытаний со штампами и лабораторных исследований, основанных на изучении продольных колебаний образцов при малых давлениях (до 0,1 - 0,2
кгс/
см2) и довольно высоких частотах (~ 100
гц). Коэффициенты Пуассона

и бокового давления

отвечают небольшим нагрузкам (до 1
кгс/
см2) и медленным (близким по режиму к статическим) нагружениям. Как известно, с увеличением интенсивности давлений и скоростей нагружения значения этих коэффициентов сильно возрастают.
7.5. Существенное влияние на деформационные и прочностные свойства грунтов, скальных пород и местных материалов оказывают следующие параметры динамической нагрузки:
1) интенсивность действующих давлений, влияние которой является наиболее значительным для слабоуплотненных неводонасыщенных грунтов, проявляющих упруго-пластические свойства;
2) скорость нагружения и разгрузки, влияние которой является наиболее значительным для пластичных связных и водонасыщенных несвязных грунтов, проявляющих при динамических воздействиях вязкие свойства;
3) общая длительность действия динамической нагрузки, определяющая затраты энергии на деформирование грунта, накапливание остаточных деформаций, нарушение устойчивости структуры и т.п.
Поэтому выбор расчетных динамических характеристик грунтов, скальных пород и местных материалов должен осуществляться с учетом всех отмеченных выше факторов.
Таблица 5
Динамические характеристики, методы и аппаратура
для их определения
Определяемые характеристики | Методы определения | Применяемые оборудование и аппаратура | Исследуемые грунты и материалы |
I. Характеристики упругих и поглощающих свойств |
Модули Юнга E и сдвига G, коэффициент Пуассона  , коэффициент поглощения  и декремент  колебаний | Лабораторные исследования крутильных и продольных колебаний образцов. Лабораторные исследования колебаний крупных образцов | Приборы для изучения крутильных (ВНИИГ); продольных и крутильных (НИИОСП) колебаний образцов. | Грунты |
Виброплатформы и крупномасштабные стенды | Каменнонабросные и крупнообломочные материалы |
Скорости распространения V, коэффициенты  и декременты  затухания упругих волн (продольных Vp, поперечных Vs и поверхностных VR) | Лабораторные ультразвуковые испытания образцов. | Ультразвуковая аппаратура (УЗС-2, ИПА-1, УДК-1 и др.). | Грунты и скальные породы |
Полевые измерения поверхностных волн, возбуждаемых источником гармонических колебаний. | Вибратор для возбуждения колебаний, сейсмоприемники и осциллограф. | Грунты и местные материалы |
Сейсморазведка и сейсмокаротаж скважин | Сейсморазведочная и сейсмометрическая аппаратура | Грунты, скальные породы и местные строительные материалы |
Коэффициенты жесткости оснований при упругом равномерном Cz и неравномерном  сжатии; упругом равномерном сдвиге Cx. Коэффициенты  и декременты  затухания колебаний | Полевые исследования свободных и вынужденных колебаний опытных блоков и штампов, а также жестких массивных фундаментов на мягких основаниях | Опытные блоки и штампы, фундаменты машин и сооружений; оборудование для возбуждения свободных и вынужденных колебаний; аппаратура для записи колебаний | Грунты и местные строительные материалы |
II. Характеристики сжимаемости при интенсивных динамических нагрузках |
Динамические диаграммы сжатия  , модули упругости E0 и деформации при нагружении Eн и разгрузке Eр | Лабораторные исследования при одноосном сжатии без возможности бокового расширения. Лабораторные исследования образцов при всестороннем сжатии. | Пневмодинамические, копровые и ударные установки, аппаратура для записи во времени напряжений и деформаций, а также других параметров. Приборы всестороннего сжатия, аппаратура для записи изменения во времени напряжений, деформаций и других параметров. | Грунты и местные строительные материалы (исключая каменнонабросные и крупнообломочные материалы, приборы и аппаратура для исследования которых подлежат разработке) |
Лабораторные исследования при трехосных испытаниях (в условиях сложного напряженно-деформированного состояния) | Стабилометры, приборы трехосного сжатия с возможностью независимого изменения значений всех трех главных нормальных напряжений; аппаратура для регистрации динамических напряжений, деформаций и других параметров |
Скорости распространения упругих V и упруго-пластических волн при нагружении Vн и разгрузке Vр | Лабораторные и полевые исследования динамической сжимаемости по данным измерения волн напряжений, возбуждаемых ударами и взрывами | Взрывы или устройства для возбуждения интенсивных волн напряжений; аппаратура для регистрации напряжений, деформаций и скоростей смещений частиц грунта | Те же |
Характеристики уплотняемости при вибрационных и сейсмических нагрузках (виброкомпрессионные кривые, коэффициенты вибровязкости и др.) | Лабораторные виброкомпрессионные испытания, опыты по изучению вибровязкости | Вибростенды и виброкомпрессионные установки, аппаратура для регистрации колебаний и деформаций образца | Несвязные грунты и материалы |
III. Характеристики сопротивления сдвигу и предельного состояния (прочности) при динамических нагрузках |
Динамические диаграммы сдвига  при работе грунта в упругой стадии, в предельном состоянии и в стадии течения | Лабораторные исследования сопротивления сдвигу при динамических нагрузках (вибрационных, импульсных и типа сейсмических) | Динамические сдвижные, скашивающие и крутильные приборы; аппаратура для регистрации во времени напряжений, деформаций и других параметров. | Грунты и местные строительные материалы |
Условия предельного состояния (прочности) и его характеристики (в частности, угол внутреннего трения  и сцепление C или другие параметры) | Лабораторные исследования сопротивления сдвигу и прочности в условиях сложного напряженно-деформированного состояния при динамических нагрузках | Приборы типа крутильных, установки с возможностью независимого изменения всех трех нормальных напряжений (подлежат разработке); аппаратура для измерения во времени напряжений, деформаций и других параметров |
Сопротивление сдвигу жестких фундаментов на грунтовом или на скальном основании | Лабораторные и полевые исследования сопротивления сдвигу штампов на грунтовом или на скальном основаниях при вибрационных, импульсных и других видах динамических нагрузок | Опытные штампы, установки для создания вибрационных, импульсных и других видов динамических нагрузок; аппаратура для измерения колебаний, динамических напряжений и деформаций | Грунты и скальные породы |
Сопротивление одноосному сжатию с возможностью бокового расширения (прочность при сжатии Rсж) | Лабораторные испытания образцов на одноосное сжатие с возможностью бокового расширения при динамических нагрузках | Приборы для испытаний образцов при одноосном сжатии с возможностью бокового расширения; устройства для возбуждения и передачи динамической нагрузки; измерительная аппаратура для регистрации напряжений, деформаций и других параметров | Грунты, скальные породы и местные строительные материалы |
IV. Характеристики свойств водонасыщенных несвязных грунтов, используемые при оценке устойчивости их структуры, изменении порового давления и возможности перехода в разжиженное состояние |
Характеристики связи объемных деформаций и напряженного состояния, начальной плотности и структурных особенностей грунтов | Испытания по определению виброкомпрессионных свойств, виброуплотнения, вибровязкости и др. Исследования связи объемных деформаций и напряженного состояния, начальной плотности и структурных особенностей грунтов | Виброкомпрессионные приборы, виброударные площадки и сейсмоплатформы, аппаратура для регистрации колебаний, напряжений, деформаций, порового давления и других параметров | Водонасыщенные несвязные грунты |
Критические значения динамических воздействий и параметров состояния грунтов | Исследования критических интенсивностей динамических воздействий и критических параметров состояния грунтов |
Характеристики деформируемости грунтов и местных материалов во времени при динамических нагрузках | Исследования деформируемости грунтов и местных материалов во времени при динамических нагрузках | Компрессионные приборы, стабилометры, сдвижные, скашивающие и крутильные приборы, штампы, устройства для возбуждения динамической нагрузки, аппаратура для записи напряжений, деформаций и других параметров | Грунты и местные материалы |
Таблица 6
Ориентировочные значения скоростей распространения упругих
и упруго-пластических волн в грунтах и скальных породах
Наименование грунтов | Объемный вес  , т/ м3 | Скорости распространения упругих волн, км/сек | Отношение скоростей  | Скорости распространения упруго-пластических волн a1 = км/сек | Отношение скоростей  |
продольных Vp | поперечных Vs |
Мягкие грунты |
Насыпные грунты рыхлые (пески, супеси суглинки и др.), неводонасыщенные | 1,40 - 1,70 | 0,1 - 0,3 | 0,07 - 0,15 | 0,62 - 0,40 | 0,05 - 0,10 | 2,0 - 5,0 |
Гравелисто-песчаные грунты | 1,60 - 1,90 | 0,2 - 0,5 | 0,10 - 0,25 | 0,62 - 0,40 | 0,07 - 0,20 | 1,5 - 3,0 |
Песчаные грунты маловлажные (сухие) | 1,40 - 1,70 | 0,15 - 0,9 | 0,13 - 0,50 | 0,62 - 0,55 | 0,10 - 0,30 | 2,0 - 4,0 |
Песчаные грунты средней влажности | 1,60 - 1,90 | 0,25 - 1,3 | 0,16 - 0,60 | 0,55 - 0,40 | 0,12 - 0,50 | 1,5 - 3,0 |
Песчаные грунты водонасыщенные | 1,70 - 2,20 | 0,3* - 1,6 | 0,20 - 0,80 | 0,40 - 0,10 | 0,15* - 0,70 | 1,2 - 1,5 |
Супеси | 1,60 - 2,00 | 0,3 - 1,2 | 0,12 - 0,60 | 0,58 - 0,40 | 0,10 - 0,45 | 2,0 - 4,0 |
Суглинки | 1,60 - 2,10 | 0,3 - 1,4 | 0,14 - 0,70 | 0,58 - 0,30 | 0,12 - 0,60 | 1,5 - 3,0 |
Глинистые грунты влажные, пластичные | 1,70 - 2,20 | 0,5 - 2,8 | 0,13 - 1,20 | 0,40 - 0,10 | 0,16 - 1,50 | 1,5 - 3,0 |
Глинистые грунты плотные, полутвердые и твердые | 1,90 - 2,60 | 2,0 - 3,5 | 1,10 - 2,0 | 0,62 - 0,40 | 1,20 - 2,50 | 1,3 - 2,0 |
Лесс и лессовидные грунты | 1,30 - 1,60 | 0,38 - 0,40 | 0,13 - 0,14 | 0,35 | - | - |
Полускальные и скальные породы |
Мергель | 1,80 - 2,60 | 1,4 - 3,5 | 0,8 - 2,0 | 0,62 - 0,40 | 0,8 - 2,5 | 1,4 - 2,5 |
Песчаник рыхлый | 1,80 - 2,20 | 1,5 - 2,5 | 0,8 - 1,7 | 0,58 - 0,30 | 0,8 - 1,5 | 1,4 - 2,5 |
Песчаник плотный | 2,00 - 2,60 | 2,0 - 4,3 | 1,1 - 2,5 | 0,62 - 0,55 | 1,5 - 3,6 | 1,2 - 1,5 |
Песчаник сильно выветрелый | 1,70 - 2,20 | 1,0 - 3,0 | 0,6 - 1,8 | 0,55 - 0,30 | 0,6 - 2,1 | 1,4 - 2,5 |
Известняк прочный | 2,00 - 3,00 | 3,0 - 6,5 | 1,5 - 3,7 | 0,62 - 0,55 | 2,2 - 5,4 | 1,2 - 1,4 |
Глинистые сланцы | 2,00 - 2,80 | 2,0 - 5,0 | 1,2 - 3,0 | 0,62 - 0,20 | 1,7 - 4,0 | 1,2 - 1,5 |
Изверженные и метаморфические породы (гранит, гнейс, базальт, диабаз и др.) трещиноватые | 2,40 - 3,00 | 3,0 - 5,0 | 1,7 - 3,0 | 0,58 - 0,48 | 2,3 - 4,0 | 1,1 - 1,3 |
Изверженные и метаморфические породы (гранит, гнейс и пр.) нетрещиноватые | 2,70 - 3,30 | 4,0 - 6,5 | 2,7 - 4,3 | 0,65 - 0,58 | 3,5 - 6,0 | 1,0 - 1,2 |
Примечание. 1. В таблице нижний предел скоростей распространения упругих и упруго-пластических волн относится к грунтам и скальным породам с минимальным объемным весом, а верхний предел - с максимальным объемным весом. 2. Знаком * отмечены скорости распространения упругих и упруго-пластических волн в песках со значительным содержанием в порах защемленного воздуха. |
Таблица 7
Экспериментальные значения амплитудных коэффициентов
и декрементов затухания колебаний
Наименование грунтов | Глубина залегания, м | Тип волн | Скорость распространения V, м/сек | Частота f, гц | Амплитудный коэффициент затухания  [ м-1] | Декремент колебаний  |
Гравийно-галечные и песчаные | - | - | - | 5 - 35 | - | |
грунты, суглинки, рыхлые глины | < 0,5 | - | - | 30 - 120 | | |
Песчано-глинистые породы | 0,1 - 10,0 | - | - | 20 - 100 | | - |
Известняки, мергели, ангидриды и другие осадочные плотные породы | 0,5 - 10,0 | - | - | 50 - 100 | | (5 - 6)·10-2 |
Гранит, базальт, гнейс, кварцит и другие изверженные и метаморфические породы | 0,1 - 0,5 | - | - | 50 | | 2·10-2 |
То же | > 1,0 | - | - | 50 | | - |
Сухая твердая глина | - | P | 950 | 70 | 7·10-3 | 9,5·10-2 |
Влажная пластичная глина | - | P | 1600 | 80 - 140 | | |
Влажная пластичная глина | - | SV | 290 - 600 | 20 - 40 | - | 3,5·10-1 |
Влажная пластичная кембрийская глина | - | SH | 220 - 280 | 30 | | |
Рыхлые водонасыщенные песчаники | - | SV | 900 | 30 - 70 | 3·10-2 | |
Глинистые сланцы | - | P | 2800 | - | | - |
Глинистые сланцы | - | SH | 1000 | - | 1,3·10-1 | - |
Примечание: индексы P обозначают продольные упругие волны: SV и SH - поперечные упругие волны, полярированные соответственно в вертикальной и горизонтальной плоскостях. |
Таблица 8
Значения модулей упругости грунтов
по данным различных авторов
Наименование грунтов | Статические испытания Eст, [кгс/см2] | Автор | Динамические испытания Eд, [кгс/см2] | Автор |
Песок крупнозернистый, независимо от влажности | 450 - 620 | Д.Д. Баркан | 600 - 700 | О.А. Савинов |
Песок среднезернистый, независимо от влажности | 450 - 830 | " | - | - |
Песок мелкозернистый, насыщенный водой | до 850 | " | 450 - 500 | О.А. Савинов |
Песок пылеватый, насыщенный водой | 145 - 510 | П.Л. Иванов | - | - |
Супеси | 400 | О.А. Савинов | 800 - 1500 | Р.З. Ляндрес |
Суглинки | 310 - 2950 | Д.Д. Баркан | 165 - 5100 | " |
Глины | до 2000 | " | 480 - 1630 | " |
Лессы и лессовые грунты | 1000 - 1300 | " | - | " |
Примечание. Значения Eдин получены по данным полевых испытаний со штампами (О.А. Савинов) и лабораторных исследований продольных колебаний образцов (Р.З. Ляндрес). |
Таблица 9
Ориентировочные значения коэффициентов Пуассона
и бокового давления
Наименование грунтов | Коэффициент Пуассона  | Коэффициент бокового давления  |
Гравийно-галечные грунты | 0,25 - 0,35 | 0,30 - 0,55 |
Песчаные грунты естественной влажности | 0,25 - 0,35 | 0,30 - 0,55 |
Песчаные грунты водонасыщенные | 0,30 - 0,40 | 0,45 - 0,65 |
Супеси | 0,25 - 0,40 | 0,30 - 0,65 |
Суглинки | 0,30 - 0,45 | 0,45 - 0,80 |
Глинистые грунты плотные, полутвердые и твердые | 0,20 - 0,40 | 0,25 - 0,60 |
Глинистые грунты влажные, пластичные | 0,35 - 0,50 | 0,55 - 1,00 |
Сцементированные осадочные породы (известняки, песчаники, мергель и др.) | 0,15 - 0,30 | 0,20 - 0,40 |
Кристаллические изверженные и метаморфические породы (граниты, гнейсы, базальты и др.) трещиноватые | 0,15 - 0,30 | 0,20 - 0,40 |
Кристаллические изверженные и метаморфические породы (граниты, гнейсы, базальты и др.) прочные нетрещиноватые | 0,13 - 0,25 | 0,15 - 0,30 |
Примечание. Меньшие значения  и  относятся к более плотным грунтам данного вида. |
1. Руководство по лабораторному определению физико-механических характеристик грунтов при устройстве оснований сооружений. М., 1965.
2. Шехтер О.Я., Минеев Л.Н., Левшинский Д.С., Иванов А.И. Лабораторная установка для определения упругих и диссипативных свойств грунтов динамическим методом. Сб. трудов НИИОСП, вып. 51. Применение вибрации в строительстве. М., Госстройиздат, 1962.
3. Методическое руководство по определению физических свойств горных пород и полезных ископаемых. Под ред. Дортман Н.Б. и Озерской М.Л. Государственное научно-техническое издательство литературы по геологии и охране недр. М., 1962.
4. Справочник геофизика, т. IV. М., "Недра", 1966.
5. Гурвич И.И. Сейсмическая разведка. М., Гостоптехиздат, 1960.
6. Пузырев Н.Н. Измерение сейсмических скоростей в скважинах. М., Гостоптехиздат, 1957.
7. Инструкция по применению сейсмической установки малых глубин (СУМГ-1) в инженерных целях. Институт мерзлотоведения им. В.А. Обручева. М., АСиА СССР, 1963.
8. Баркан Д.Д. Динамика оснований и фундаментов. М., Стройвоенмориздат, 1948.
9. Савинов О.А. Современные конструкции фундаментов под машины и их расчет. Л.-М., Стройиздат, 1964.
10.
СНиП II-Б.7-70 "Фундаменты под машины с динамическими нагрузками. Нормы проектирования". М., Стройиздат, 1971.
11. СНиП-II-А.12-69 "Строительство в сейсмических районах. Нормы проектирования",
раздел 5. "Гидротехнические сооружения", М., 1972.
12. Рахматуллин Х.А., Сагоманян А.Я., Алексеев Н.А. Вопросы динамики грунтов. М., МГУ, 1964.
13. Мельников В.В., Рыков Г.В. О влиянии скорости деформирования на сжимаемость лессовых грунтов. ПМТФ, 1965, N 2.
14. Руководство по расчету остаточных деформаций грунтов при динамических нагрузках. М., НИИОСП, 1967.
15. Алексеенко В.Д., Григорян С.С., Новгородов А.Ф., Рыков Г.В. Некоторые экспериментальные исследования по динамике мягких грунтов, ДАН, т. 113, N 6. М., 1960.
16. Ляхов Г.М., Полякова Н.И. Волны в плотных средах и нагрузки на сооружения. М., "Недра", 1967.
17. Красников Н.Д. Динамические свойства грунтов и методы их определения. Л., Стройиздат., 1970.
18. Вопросы прочности и деформируемости грунтов (материалы научного семинара 3 - 5 ноября 1965 г.). Баку, Азербайджанское государственное издательство, 1966.
19. Евдокимов П.Д., Сапегин Д.Д. Прочность, сопротивляемость сдвигу и деформируемость оснований сооружений на скальных породах. М.-Л., "Энергия", 1964.
20. Иванов П.Л. Разжижение песчаных грунтов. Л., Госэнергоиздат, 1962.
21. Иванов П.Л. Уплотнение несвязных грунтов взрывами. Л., Стройиздат, 1967.
22. Эйслер Л.А. К вопросу явления разжижения водонасыщенных грунтов. Известия ВНИИГ, т. 83. Л., "Энергия", 1967.
К вопросу о построении системы уравнений движения водонасыщенного несвязного грунта, как многокомпонентной среды. Известия ВНИИГ. т. 86, Л., "Энергия". 1968.
23. Перлей Е.М. Об изменении истинных характеристик внешнего и внутреннего трения движения грунтов под воздействием вибрации. Труды ВНИИГС, вып. 17. М.-Л., Стройиздат, 1964.
24. Маслов Н.Н. Условия устойчивости водонасыщенных песков. М., Госэнергоиздат, 1959.
25. R.E. Olson, H. Kane. Proc. of the Sixth International Conference on Soil Mechanics and Foundation Engineering. Montreal, vol. 1, 1965.
26. H.B. Seed. Proc. 2nd World Conference Earthquake Engng. Tokyo-Kyoto, vol. 1, 1960.