Главная // Актуальные документы // Актуальные документы (обновление с 29.09.2025 по 01.11.2025) // КлассификацияСПРАВКА
Источник публикации
М., 2024
Примечание к документу
Текст документа приведен в соответствии с публикацией на сайте https://t.me/BIMLibrary/1057 по состоянию на 16.09.2025.
Название документа
"Рекомендации по инженерной защите объектов МЧС России от беспилотных воздушных средств нападения"
"Рекомендации по инженерной защите объектов МЧС России от беспилотных воздушных средств нападения"
ПО ИНЖЕНЕРНОЙ ЗАЩИТЕ ОБЪЕКТОВ МЧС РОССИИ
ОТ БЕСПИЛОТНЫХ ВОЗДУШНЫХ СРЕДСТВ НАПАДЕНИЯ
1.1 Рекомендации по инженерной защиты объектов МЧС России от беспилотных воздушных средств нападения (далее - Рекомендации) предназначены для обеспечения защиты объектов МЧС России от поражающих факторов, возникающих в результате атаки с применением беспилотных воздушных средств нападения (далее - БВСН):
ударное воздействие БВСН;
воздушная ударная волна взрыва;
воздействие осколков.
1.2 Рекомендации предназначены для структурных подразделений МЧС России.
1.3 Технические решения разработаны для инженерной защиты от беспилотных летательных аппаратов (далее - БпЛА) "малого" класса
(Приложение А), применение которых наиболее вероятно (для расчета приняты российские ударные БпЛА типа "Ланцет-1" масса 5 кг, вес боевой части 1 кг и "Ланцет-3" масса 12 кг, вес боевой части 5 кг, при максимальной скорости пикирования 300 км/ч). Для защиты объектов от БпЛА более высокого класса требуется защита системами ПВО (Зенитно-ракетными комплексами и средствами РЭБ).
1.4 Рекомендации содержат:
- классификацию БпЛА;
- общие положения по расчетам;
- основные характеристики элементов защитных ограждающих конструкций прошедших испытания в МЧС России.
- основные характеристики элементов защитных ограждающих конструкций (далее - ЗОК) для инженерной защиты объектов МЧС России от беспилотных воздушных средств нападения прошедших испытания.
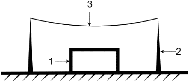
2 Техническое решение защитных ограждающих конструкций
2.1 ЗОК представляет собой сетчато-тросовую конструкцию, состоящую из металлического каркаса, тросов

и сетей.
2.2 При установке на крыше здания техническое решение представляет собой: металлический каркас в виде стоек с шагом три метра, приваренных к угловому основанию, основания в плане имеют формы: крестообразные, угловые, т-образные, в зависимости от мест их установки. Тросы прикреплены к оголовкам стоек омегообразными такелажными скобами

. Натяжение тросов производится талрепами до полного исключения провисов тросов. К тросам с шагом в 15 - 20 сантиметров омегообразными такелажными скобами

прикреплены сетки за перекрестье прутков с отступом от края сетки на две ячейки. Основания объединяются между собой, устанавливаются на кровлю здания в местах несущих конструкций. Ориентировочная нагрузка на кровлю от веса конструкций составит не более 150 кг на стойку.
2.3 При установке на землю техническое решение представляет собой: стойки с шагом 3 метра заглубленные в грунт, с анкеровкой тросов к винтовым сваям в уровне земли, с прикрепленными к ним омегообразными такелажными скобами

тросами, к которым с шагом в 15 - 20 сантиметров омегообразными такелажными скобами

прикреплены сетки за перекрестье прутков с отступом от края сетки на две ячейки.
2.4 При недостаточной ширине полотна сетки - полотна сеток скрепляются по центру омегообразными такелажными скобами

с шагом 15 - 20 см.
| | ИС МЕГАНОРМ: примечание. Нумерация пунктов дана в соответствии с официальным текстом документа. | |
2.1 Функциональные требования
к защитным ограждающим конструкциям
2.1.1 Защитные ограждающие конструкции от БПЛА должны обладать следующими функциональными способностями:
- ЗОК с использованием сетчатых конструкций должны обеспечить предотвращение подлета БПЛА к защищаемому объекту на расстояние, гарантирующее приемлемые нагрузки при взрыве заряда ВВ (обеспечить бесконтактный взрыв с заданной вероятностью разрушения здания или сооружения);
- ЗОК с использованием сетчатых конструкций и защитных противоосколочных экранов должны обеспечить предотвращение поражения защищаемого объекта и людей, находящихся внутри него, осколками или поражающими элементами заряда;
- ЗОК, рассчитанные на воздействие контактного взрыва ВВ должны обеспечить недопущение обратного откола элементов ЗОК (бетонных блоков, кирпичных стен).
2.1.2 ЗОК должны сохранять надежность и работоспособность на протяжении всего периода их эксплуатации.
2.1.3 ЗОК должны обеспечить безопасность персонала при ее обслуживании и эксплуатации.
2.1.4 ЗОК должна быть ремонтопригодна как при воздействии на нее эксплуатационных нагрузок, так и после воздействия особых нагрузок (попадание БПЛА, взрыв на поверхности ЗОК).
2.1.5 ЗОК должна быть обеспечена регулярным техническим контролем и обслуживанием.
3. Конструктивные решения защитных ограждающих конструкций
3.1 Конструктивные решения
3.1.1 Улавливающие сетчатые конструкции
3.1.1.1 Опорные сетки
Основной защитный элемент сетчатой ячеистой структуры, препятствующий пролету БПЛА.
3.1.2 Опоры
Пространственные конструкции, предназначенные для крепления основных элементов защиты, препятствующих пролету БПЛА и воспринимающие нагрузки от падения и взрывов БПЛА (рисунок 3.1).
Рисунок 3.1 - Схемы опор ЗОК
3.1.3 Растяжки
Пространственные конструкции из стальных тросов (канатов), обеспечивающие пространственную жесткость несущего каркаса конструкции.
3.1.4 Фундаменты
Конструкция, передающая нагрузки от каркасов ЗОК на грунтовое основание. Проектируются в соответствии
СП 22.13330.
3.1.5 Тюфяки, маты, противоосколочные стенки.
Дополнительная защитная ограждающая конструкция, улавливающая осколочные поражающие элементы боевой части БПЛА.
3.2 Требования к материалам ЗОК
3.2.1 Материалы защитных сеток и стальных канатов
Требования к материалам защитных сеток предъявляются в соответствии со следующими нормативными документами:
| | ИС МЕГАНОРМ: примечание. В официальном тексте документа, видимо, допущена опечатка: ГОСТ Р 58118-2018 имеет название "Стальная проволока и проволочные изделия для ограждений и сеток. Часть 6. Цепное ограждение из стальной проволоки". | |
| | ИС МЕГАНОРМ: примечание. В официальном тексте документа, видимо, допущена опечатка: ГОСТ Р 51285-99 имеет название "Сетки проволочные крученые с шестиугольными ячейками для габионных конструкций. Технические условия". | |
-
ГОСТ 5336-80 Сетки стальные плетеные одинарные. Технические условия (с Изменениями N 1, 2, 3);
| | ИС МЕГАНОРМ: примечание. В официальном тексте документа, видимо, допущена опечатка: ГОСТ 2172-80 имеет название "Канаты стальные авиационные. Технические условия". | |
3.2.2 Материалы опорных конструкций
Требования к материалам стальных опорных конструкции предъявляются в соответствии со следующими нормативными документами:
| | ИС МЕГАНОРМ: примечание. В официальном тексте документа, видимо, допущена опечатка: ГОСТ 23118-2019 имеет название "Конструкции стальные строительные. Общие технические условия". | |
-
СП 72.13330.2016 "Защита строительных конструкций и сооружений от коррозии. СНиП 3.04.03-85";
-
ГОСТ 9.402-2004 "Единая система защиты от коррозии и старения. Покрытия лакокрасочные. Подготовка металлических поверхностей к окрашиванию";
| | ИС МЕГАНОРМ: примечание. В официальном тексте документа, видимо, допущена опечатка: ГОСТ 9.032-74 имеет название "Единая система защиты от коррозии и старения. Покрытия лакокрасочные. Группы, технические требования и обозначения". | |
-
ГОСТ 9.032-74. "Единая система защиты от коррозии и старения. Покрытия лакокрасочные".
3.2.3 Материалы фундаментов опорных конструкций
Требования к материалам фундаментов стальных опорных конструкции предъявляются в соответствии со следующими нормативными документами:
| | ИС МЕГАНОРМ: примечание. В официальном тексте документа, видимо, допущена опечатка: СП 63.13330.2018 имеет название "Бетонные и железобетонные конструкции. Основные положения. СНиП 52-01-2003". | |
| | ИС МЕГАНОРМ: примечание. В официальном тексте документа, видимо, допущена опечатка: ГОСТ 26633-2015 имеет название "Бетоны тяжелые и мелкозернистые. Технические условия". | |
-
ГОСТ 8267-93 "Щебень и гравий из плотных горных пород для строительных работ. Технические условия";
| | ИС МЕГАНОРМ: примечание. В официальном тексте документа, видимо, допущена опечатка: ГОСТ 31384-2017 имеет название "Защита бетонных и железобетонных конструкций от коррозии. Общие технические требования". | |
-
ГОСТ 31384-2017 "Защита бетонных и железобетонных конструкций от коррозии".
3.3.1 На независимом каркасе
- на отдельно стоящих независимых конструкциях.
- нагрузки, воспринимаемые ЗОК, передаются на собственный несущий каркас, минуя защищаемое сооружение.
- применяются при пролетах конструкции менее 25 м.
- в качестве дополнительных поддерживающих элементов защитной сетки допускается использование аэростатов.
Рисунок 3.2 - Схема ЗОК на независимом каркасе
1 - Защищаемое сооружение;
2 - Опора;
3 - Защитная сетка.
Рисунок 3.3 - Визуализация ЗОК на независимом каркасе
3.3.2 На зависимом каркасе
- располагаются, в том числе, на конструкциях защищаемых объектов.
- нагрузки, воспринимаемые ЗОК, передаются на защищаемое сооружение.
Рисунок 3.4 - Схема ЗОК на зависимом каркасе
1 - Защищаемое сооружение;
2 - Опора;
3 - Защитная сетка;
4 - Растяжка.
Рисунок 3.5 - Визуализация ЗОК на зависимом каркасе
Рис. 3.6 - Визуализация комбинированной защиты
4.1 Нагрузки и их сочетания
4.1.1 Классификация нагрузок принимается в соответствии с
п. 5 СП 20.13330.2016.
4.1.2 Нагрузки, воздействующие на ЗОК принимаемые в расчет:
- постоянные нагрузки в виде собственного веса улавливающих и опорных элементов ЗОК;
- кратковременные нагрузки от веса монтажников;
- кратковременные климатические нагрузки (гололедные и ветровые);
- особые климатические нагрузки (экстремальные гололедные);
- особые нагрузки от падения БПЛА.
4.1.3 Сочетание нагрузок определяется в соответствии с
п. 6 СП 20.13330.2016 Нагрузки и воздействия
4.2 Динамические нагрузки от воздействия ВУВ
4.2.1 Динамические нагрузки от воздействия ВУВ должны учитывать следующие параметры:
- избыточное давление и импульс давления в положительной фазе ВУВ;
- избыточное давление и импульс давления в отрицательной фазе ВУВ;
- избыточное давление и импульс давления в положительной фазе ВУВ с учетом отражения от ограждающей конструкции здания, строения или сооружения;
- избыточное давление и импульс давления в отрицательной фазе ВУВ с учетом ее отражения от ограждающей конструкции здания, строения или сооружения.
4.2.2 Динамические нагрузки на ограждающие конструкции зданий, строений и сооружений рассчитываются в соответствии с методикой, приведенной в
Приложении В.
4.3 Эквивалентные статические нагрузки от воздействия ВУВ
Расстояния от защитных ограждающих конструкций в зависимости от массы заряда ВВ и допустимого избыточного давления взрыва
(Приложение Г).
4.3.1 При расчетах последствий динамического воздействия на строительные конструкции защищаемых зданий, строений или сооружений динамическая нагрузка заменяется эквивалентной ей по действию статической нагрузкой, которая определяется по формуле:
Pэ = Pмакс·КД, (4.3.1)
где Pмакс - максимальное значение динамической нагрузки; КД - коэффициент динамичности.
4.3.2 Коэффициент динамичности КД для нагрузки треугольной формы определяют по графикам
(рисунок 4.1), где

и

- время действия динамической нагрузки и время ее нарастания до максимальной величины;

- круговая частота основного тона собственных колебаний конструкций, которая определяется методами строительной механики.
Из приведенного графика следует, что, если

стремится к нулю (нагрузка пилообразной формы), тогда численное значение коэффициента динамичности приближается к двум.
4.3.3 Коэффициент динамичности для кратковременных нагрузок (TНАГРУЗКИ/T0<0.5) допускается определять по формуле:

(4.3.3)
где I - импульс давления, Па x с; TНАГРУЗКИ - время воздействия нагрузки, с; T0 - период собственных колебаний конструкции, который вычисляется численными методами.
для определения коэффициента динамичности КД
4.3.4 Для нагрузки треугольной формы (I = 0.5·PМАКС·TНАГРУЗКИ) коэффициент динамичности допускается определять по формуле:

(4.3.4)
4.3.5 Для нагрузки прямоугольной формы (I = PМАКС·TНАГРУЗКИ) коэффициент динамичности определяют по формуле:

(4.3.5)
4.3.6 При расчетах последствий динамического воздействия ВУВ на строительные конструкции ЗОК принимается, что значение коэффициента динамичности КД равно единице.
4.4 Нагрузки от осколочных воздействий
4.4.1 При оценке зон поражения от взрыва, кроме распространения взрывной волны необходимо также учитывать разлетающиеся осколки.
4.4.2 При расчетах параметров движения осколков исходят из аэродинамических свойств предметов и из газодинамических характеристик воздушного потока, создаваемого взрывом.
4.4.3 Приведенную скорость осколков от приведенного давления определяют по рисунку 4.2
Рисунок 4.2 - Зависимость приведенной скорости осколков

от приведенного давления

при различном числе осколков n
4.4.4 Методика расчета нагрузок от осколочных воздействий приведена в
Приложении Д.
5 Расчет и конструирование ЗОК
5.1 Расчет ЗОК на нагрузки основного эксплуатационного периода
5.1.1 Основные положения расчета ЗОК на основе тросов и сетей представлены в
Приложении Е.
5.1.2 При проектировании ЗОК следует учитывать воздействие на сооружения динамических ударных нагрузок от соударяющихся с ЗОК БПЛА.
5.1.3 Для смягчения динамического удара следует использовать в верхних и нижних продольных тросах, а также и продольных растяжках (в узлах их присоединения к анкерам) энергопоглощающие устройства (тормоза, демпферы), тарированные заводом-изготовителем на расчетную величину (рисунок 5.1).
Рисунок 5.1 - Схема конструктивного выполнения тормозов
5.1.4 Во всех случаях необходимо выполнять расчеты узлов соединения как продольных тросов, так и продольных растяжек с анкерами, прочность которых должна быть не менее определенных в
Приложении Ж нагрузок, поскольку эти элементы также являются неотъемлемой частью обеспечения надежности ЗОК в целом.
5.1.5 Опорные конструкции ЗОК должны быть рассчитаны на нагрузки от основных защитных элементов в виде сетей и тросов.
5.2 Расчет улавливающих (несущих и ненесущих) конструкций на воздействие нагрузки при падении БПЛА
5.2.1 Нагрузки, воздействующие на конструкции ЗОК от падения БПЛА, рассчитываются в соответствии с
Приложением Е.
5.2.2 Расчетные нагрузки, воздействующие на конструкции ЗОК от падения БПЛА, должны быть проверены путем испытаний.
6 Требования к проектированию
6.1 Требования к проектированию несущих конструкций ЗОК
6.1.1 Основные требования к конструкциям
- Защита конструкций от воздействия огня для обеспечения пожарной безопасности и огнестойкости строительных конструкций при проектировании должна соответствовать с требованиям
СП 2.13130.
6.1.2 Основные расчетные требования к конструкциям
- При расчете конструкций из стальных профилей следует соблюдать требования, изложенные в
СП 16.13330.2017.
- При расчете конструкций из железобетона следует соблюдать требования
СП 63.13330.2018.
- При необходимости допускается подтверждать расчеты экспериментальными исследованиями.
- Учет коэффициентов надежности по нагрузкам и сопротивлению материала
- При расчете конструкций следует учитывать коэффициенты надежности по нагрузкам и материалу, а также коэффициенты условий работы и коэффициент надежности по ответственности сооружения (элемента сооружения).
- Для обеспечения надежности несущих конструкций следует использовать нормативные и расчетные значения нагрузок и сопротивления. Коэффициенты надежности по нагрузкам и материалу представляют собой отношения:

(6.1.2)
P, R - расчетная нагрузка и расчетное сопротивление, представляющие собой максимальную нагрузку и минимальное сопротивление (в статистически-вероятностном смысле) за срок службы сооружения.
6.2 Требования к проектированию улавливающих сетчатых конструкций (УСК) защитных ограждающих конструкций (ЗОК)
При проектировании улавливающих сетчатых конструкций (УСК) защитных ограждающих конструкций следует соблюдать требования следующих нормативных документов:
| | ИС МЕГАНОРМ: примечание. В официальном тексте документа, видимо, допущена опечатка: ГОСТ Р 51285-99 имеет название "Сетки проволочные крученые с шестиугольными ячейками для габионных конструкций. Технические условия". | |
-
ГОСТ 5336-80 Сетки стальные плетеные одинарные. Технические условия (с Изменениями N 1, 2, 3).
6.3 Требования к проектированию улавливающих конструкций из стальных канатов
При проектировании улавливающих конструкций из стальных канатов следует соблюдать требования следующих нормативных документов:
- ЦНИИПРОЕКТСТАЛЬКОНСТРУКЦИЯ, "Рекомендации по выбору типов и расчету прочности стальных канатов, применяемых в строительных металлических конструкциях", М.: 1991 г.
6.4 Требования к проектированию противоосколочных конструкций
6.4.1 Защита жизненно важных агрегатов объекта от осколочного воздействия заряда БПЛА может быть обеспечена за счет установки по периметру и покрытию защитных конструкций из сборных каменных или бетонных блоков, с прочностью на сжатие не менее 100 кг с/см2, а также различного вида тюфяков или матов, заполненных песком или глиной, габионов расчетной толщины.
6.4.2 В качестве защиты людей, находящихся внутри зданий и сооружений, от осколков оконных стекол следует использовать взрывозащитные пленки и/или взрывозащитные и противоосколочные шторы, располагаемые с внутренней стороны светопрозрачных конструкций.
6.4.3 Защитные противоосколочные конструкции снаружи зданий и сооружений должны устанавливаться с таким расчетом, чтобы расстояние между отдельными агрегатами и защитными конструкциями могло обеспечивать беспрепятственное их обслуживание и при необходимости проведение ремонтных работ. При этом каменные и бетонные блоки монтируются на цементно-песчаном растворе марки на ниже M75.
6.4.4 Входы в здания допускается защищать с помощью защитных экранов, устанавливаемых на расстоянии не более чем 3 м от здания, с высотой на 1 - 2 м превышающем высоту двери.
7 Требования к строительству ЗОК
7.1 ЗОК должны быть установлены таким образом, чтобы расстояние по высоте между поверхностью УСК и защищаемым объектом с учетом прогиба сеток при падении БПЛА обеспечивало неразрушающие нагрузки от ВУВ на его ограждающие конструкции.
7.2 Устройство ЗОК должно осуществляться в соответствии с проектом организации строительства (ПОС) в целом для конкретного возводимого здания и ППР на установку ЗОК.
При разработке проекта организации строительства следует руководствоваться положениями "
СП 48.13330.2019. Свод правил. Организация строительства. СНиП 12-01-2004.
7.3 Правила приемки
7.3.1 При постановке на производство изготовитель должен испытать ЗОК динамической нагрузкой для проверки ее соответствия требованиям технической документации.
7.3.2 На защищаемом объекте организация, эксплуатирующая ЗОК, должна провести приемо-сдаточную проверку комплектности ЗОК и состояния ее компонентов в соответствии с ведомостью, приведенной в ППР.
7.3.3 В процессе эксплуатации ЗОК организация, эксплуатирующая ЗОК, должна осуществлять ежемесячный контроль за состоянием компонентов ЗОК.
8 Рекомендации по выбору оптимального полотна защитной сетки, тросов и креплений по результатам испытаний МЧС России
Основные характеристики элементов ЗОК для инженерной защиты объектов МЧС России от беспилотных воздушных средств нападения представлены в
Приложении И.
8.1. Сеть высокопрочная 60 x 60 x 4.6
Использовать данную сетку для инженерной защиты объектов МЧС России, подвергающихся воздействию беспилотных воздушных средств нападения с ударной энергией не выше 47,9 кДж.
8.2. Сетка "рабица" оцинкованная
Использовать данную сетку для инженерной защиты объектов МЧС России, подвергающихся воздействию беспилотных воздушных средств нападения с ударной энергией не выше 4,99 кДж.
8.3. Сетки проволочные крученые с шестиугольными ячейками для габионных конструкций, 2,4 мм
Использовать данную сетку для инженерной защиты объектов МЧС России, подвергающихся воздействию беспилотных воздушных средств нападения с ударной энергией не выше 19,96 кДж.
8.4. Сетки проволочные крученые с шестиугольными ячейками для габионных конструкций 2,7 мм
Использовать данную сетку для инженерной защиты объектов МЧС России, подвергающихся воздействию беспилотных воздушных средств нападения с ударной энергией не выше 19,96 кДж.
КЛАССИФИКАЦИЯ БЕСПИЛОТНЫХ ЛЕТАТЕЛЬНЫХ АППАРАТОВ
А.1 По основным поражающим факторам, которым способна противостоять ЗОК (удар аппарата, воздушная ударная волна), беспилотные летательные аппараты в зависимости от взлетной массы, максимальной скорости полета и массы переносимого заряда взрывчатого вещества классифицируются по следующим основным типам (таблица А.1).
Таблица А.1
Классификация беспилотных летательных аппаратов,
рекомендованная Министерством обороны Российской Федерации
Класс | Наименование | Взлетный вес, кг | Радиус действия, км |
Малые | Нано | < 0,025 | < 1 |
Микро | < 5 | < 10 |
Мини | < 25 | 10 - 40 |
Легкие | Ближнего действия 1 класса | 25 - 50 | 25 - 70 |
Ближнего действия 2 класса | 50 - 150 | 50 - 100 |
Средние | Малой дальности | <= 200 | <= 150 |
Средней дальности | <= 500 | 200 |
Средней дальности с большой продолжительностью полета | 500 | 500 |
Маловысотный большой дальности | >= 250 | > 250 |
Тяжелые | Маловысотный большой продолжительности полета | >= 250 | >= 250 |
Средне высотный большой продолжительностью полета | >= 1000 | > 1000 |
Высотный большой продолжительностью полета | >= 2500 | > 4000 |
А.2 По характеру воздействия на атакуемый объект выделяют следующие типа БПЛА:
- контактного типа ("камикадзе"): таран атакуемого объекта, подрыв заряда ВВ при контакте с объектом;
- бесконтактного типа: сброс боеприпаса на атакуемый объект.
А.3 При разработке проекта защитных ограждающих конструкций следует учитывать наиболее вероятный тип БПЛА в районе расположения защищаемого объекта.
КЛАССИФИКАЦИЯ ТИПОВ ЗАЩИТНЫХ ОГРАЖДАЮЩИХ КОНСТРУКЦИЙ
Б.1 По расположению относительно защищаемого объекта ЗОК классифицируются по следующим типам:
- на независимом каркасе;
- на зависимом каркасе.
Б.2 По типу инженерных сооружений:
- капитальные сооружения;
- быстровозводимые сооружения (временные конструкции).
Б.3 По типу элементов, препятствующих контакту БПЛА с защищаемым объектом:
- на основе стальных канатов;
- металлических сеток;
- полимерных сеток;
- ж/б и габионных конструкций;
- комбинированные.
Б.4 По типу противоосколочных элементов:
- без противоосколочных элементов;
- с противоосколочными элементами на базе ж/б и габионных конструкций;
- с противоосколочными элементами на базе тюфяков, матрасов, противоосколочных стенок;
- с противоосколочными элементами (шторами, завесами) на базе тканей из композитных материалов.
Б.5 Типовые решения ЗОК различного типа приведены на рисунках Б.1 -
Б.6.
Б.1 - защита окон и ворот
Б.2 - полная защита пожарной части
Б.3 - локальная усиленная защита пожарной части
Б.4 - комбинированная защита пожарной части
Б.5 - защита цистерны (5 тонн)
Б.6 - защита транспортного средства
МЕТОДИКА РАСЧЕТА ВЗРЫВНЫХ НАГРУЗОК
НА ЗДАНИЯ, СТРОЕНИЯ И СООРУЖЕНИЯ
В.1 Основным поражающим фактором при взрыве ВВ является воздушная ударная волна (ВУВ). Избыточное давление во фронте ВУВ определяется по эмпирической формуле:

(В.1)
где
A, B и D - эмпирические коэффициенты;

- приведенное расстояние до центра взрыва, определяемое по формуле:

(В.2)
где
C - масса заряда, кг;
z - коэффициент, учитывающий отношение теплоты взрывчатого превращения ВВ к теплоте взрывчатого превращения тротила (ТНТ);
Кef - коэффициент эффективности заряда ВВ по образованию ВУВ.
Рисунок В.1 - Типичный вид ударной волны при подрыве ВВ
где

- избыточное давление ВУВ для данного момента времени;

- длительность фазы сжатия;

- длительность фазы разрежения;
I+ - импульс положительной фазы ВУВ;
I- - импульс отрицательной фазы ВУВ
В.2 До выполнения расчетов должны быть подготовлены следующие исходные данные:
C - масса ВВ в кг и вид его упаковки; вид ВВ и его теплота взрывчатого превращения
Q, либо должно быть известно отношение

теплоты взрыва ВВ к теплоте взрыва тротила (теплота взрыва тротила принимается равной 4520 кДж/кг).
В.3 Избыточное давление во фронте ВУВ определяется по формуле:

(В.3)
или для определения

при заданном значении

в виде:

(В.4)
где

- приведенное расстояние до центра взрыва, определяемое по зависимости:

(В.5)
где
C - масса заряда в кг;
Кef - коэффициент эффективности заряда ВВ по образованию ВУВ:

(В.6)
Кh - коэффициент вида взрыва, учитывает высоту расположения заряда ВВ относительно поверхности земли, равный 1 - для воздушных взрывов;
КSD - коэффициент плотности укладки ВВ в заряде;

- коэффициент, учитывающий отношение теплоты взрывчатого превращения ВВ к теплоте взрыва тротила. Значения

приведены в таблице В.1.
Таблица В.1
Значение

для ряда ВВ
Виды ВВ | | Виды ВВ | |
Тротил | 1 | Тринитроанилин | 0,981 |
Динитробензол | 0,86 | Пикрат аммония | 0,792 |
Тринитробензол | 1,066 | Аммонийная селитра | 0,396 |
Октоген | 1,278 | Аммотол 80/20 | 0,991 |
Тэн | 1,378 | Пироксилин | 1,03 |
Дымный порох | 0,658 | Гексоген | 1,306 |
Тринитрохлорбензол | 1 | Оксиликвиты (поглотители) | 0,991 |
В.4 Закон изменения избыточного давления во времени определяется по зависимости:

(В.7)
где

- длительность положительной фазы, определяемая по зависимости:

, (В.8)
где

- приведенное время длительности положительной фазы ВУВ, определяемое по формуле:

(В.9)
где n - показатель спада избыточного давления, вычисляемый по зависимости:

(В.10)
где

- показатель степени, равный при

:

(В.11)
где p0 - атмосферное давление (101,3 кПа).
В.5 При взрывах ВВ имеет место подобие явлений, которое выражается в следующем. При двух геометрически подобных взрывах зарядов ВВ различной энергии на одинаковых приведенных расстояниях от центра взрыва равны: значения избыточных давлений

; значения скоростных напоров; значения массовых скоростей; приведенные времена положительной фазы сжатия

; приведенные удельные импульсы положительной фазы сжатия

; показатели спада избыточного давления n и т.д.
Это позволяет создавать универсальные таблицы значений параметров ВУВ, независимо от их энергии взрыва (см. таблицу В.2).
Таблица В.2
Параметры ВУВ при взрывах ВВ
на различных приведенных расстояниях
Приведенное расстояние до центра взрыва | Величина избыточного давления | Приведенное время положительной фазы сжатия | Показатель спада избыточного давления | Приведенный удельный импульс положительной фазы сжатия | Скоростной напор |
 , м/кг1/3 |  , кПа |  , мс/кг1/3 | n |  , Па·с/кг1/3 | qf, кПа |
1 | 1034 | 1,5 | 5,02 | 258 | 1534 |
1,5 | 376 | 1,84 | 3,20 | 165 | 324 |
2 | 193 | 2,12 | 2,47 | 117 | 103 |
2,5 | 119 | 2,37 | 2,40 | 90,9 | 42,9 |
3 | 82 | 2,59 | 1,92 | 72,7 | 21,4 |
3,5 | 64 | 2,80 | 1,81 | 60,6 | 12,15 |
4 | 47,9 | 3,00 | 1,74 | 52,4 | 7,57 |
4,5 | 38,9 | 3,18 | 1,68 | 46 | 5,06 |
5 | 32,5 | 3,35 | 1,63 | 41,3 | 3,57 |
5,5 | 27,8 | 3,52 | 1,59 | 37,7 | 2,63 |
6 | 24,3 | 3,67 | 1,56 | 34,7 | 2,00 |
6,5 | 21,5 | 3,82 | 1,54 | 32,4 | 1,57 |
7 | 19,2 | 3,97 | 1,31 | 30,3 | 1,26 |
7,5 | 17,3 | 4,11 | 1,49 | 28,5 | 1,03 |
8 | 15,8 | 4,24 | 1,48 | 27,0 | 0,86 |
8,5 | 14,5 | 4,37 | 1,46 | 25,7 | 0,72 |
9 | 13,4 | 4,5 | 1,44 | 24,6 | 0,62 |
9,5 | 12,4 | 4,62 | 1,43 | 23,5 | 0,53 |
10 | 11,6 | 4,74 | 1,42 | 22,7 | 0,46 |
10,5 | 10,8 | 4,86 | 1,41 | 21,8 | 0,41 |
11 | 10,2 | 4,97 | 1,40 | 21,7 | 0,36 |
11,5 | 9,6 | 5,09 | 1,39 | 20,4 | 0,32 |
12 | 9,1 | 5,19 | 1,38 | 19,8 | 0,29 |
В.6 Приведенный удельный импульс положительной фазы избыточного давления определяется по выражению:

. (В.12)
В.7 Для перехода к размерным значениям приведенные величины нужно умножить на

.
В.8 Значение скоростного напора во фронте ВУВ вычисляется по формуле:

(В.13)
В.9 При нормальном отражении от плоской преграды возникающее отраженное давление определяется по зависимости:

(В.14)
В.10 Параметры ВУВ на ее фронте связаны между собой соотношениями адиабаты Гюгонио, а за фронтом волны - соотношениями адиабаты Пуассона. Это позволяет по известным значениям одних параметров находить другие.
В.11 Скорость распространения фронта ВУВ:

, (В.15)
где
p0 - атмосферное давление;
a0 - скорость звука (340 м/с при T = 288,15 К).
В.12 Скорость потока частиц на фронте ВУВ:

. (В.16)
В.13 Плотность воздуха на фронте ВУВ:

. (В.17)
В.14 Температура воздуха на фронте ВУВ:

(В.18)
где

- полное давление (кПа) на фронте ВУВ;
Rv - удельная газовая постоянная для воздуха, равная 287 Дж/(кг К).
В.15 Скорость звука на фронте ВУВ:

, (В.19)
где
k - показатель адиабаты для воздуха, равный 1,4 при T = 288,150 К.
В.16 Параметры за фронтом ВУВ определяются при помощи зависимостей изменения избыточного давления
(В.7) и скоростного напора
(В.13) во времени на заданном расстоянии:
В.17 Плотность воздуха за фронтом ВУВ -

:

. (В.20)
В.18 Скорость потока воздуха за фронтом ВУВ - u(t):

. (В.21)
В.19 Скорость звука за фронтом ВУВ - a(t):

. (В.22)
В.20 В таблице В.3 приведены значения параметров ВУВ на ее фронте.
Таблица В.3
Значения параметров на фронте воздушной ударной волны
Величина избыточного давления | Скорость распространения фронта ВУВ | Скорость потока частиц на фронте ВУВ | Плотность воздуха на фронте ВУВ | Скоростной напор | Температура воздуха на фронте ВУВ | Коэффициент отражения от вертикальной стенки | Приведенное расстояние до центра взрыва |
,кПа | Df м/с | uf, м/с | ,кг/м3 | qf, кПа | Tf, К | | ,м/кг1/3 |
10 | 354 | 23,0 | 1,31 | 0,347 | 296 | 2,08 | 11,16 |
12 | 357 | 27,4 | 1,33 | 0,499 | 297 | 2,10 | 9,74 |
14 | 359 | 32,0 | 1,34 | 0,677 | 299 | 2,11 | 8,71 |
16 | 363 | 36,4 | 1,36 | 0,882 | 301 | 2,13 | 7,92 |
18 | 364 | 40,2 | 1,38 | 1,114 | 302 | 2,15 | 7,31 |
20 | 368 | 44,4 | 1,39 | 1,371 | 303 | 2,16 | 6,81 |
22 | 370 | 48,5 | 1,41 | 1,65 | 304 | 2,18 | 6,39 |
24 | 373 | 52,5 | 1,43 | 1,96 | 306 | 2,19 | 6,04 |
26 | 375 | 56,5 | 1,44 | 2,30 | 308 | 2,21 | 5,74 |
28 | 378 | 60,4 | 1,46 | 2,66 | 309 | 2,23 | 5,48 |
30 | 381 | 64,3 | 1,47 | 3,04 | 310 | 2,24 | 5,26 |
35 | 387 | 73,8 | 1,51 | 4,11 | 314 | 2,28 | 4,79 |
40 | 393 | 83,0 | 1,55 | 5,34 | 317 | 2,32 | 4,43 |
45 | 399 | 91,9 | 1,59 | 6,71 | 320 | 2,36 | 4,14 |
50 | 406 | 100 | 1,63 | 8,23 | 323 | 2,39 | 3,90 |
60 | 417 | 117 | 1,70 | 11,7 | 330 | 2,47 | 3,54 |
70 | 429 | 133 | 1,78 | 15,7 | 336 | 2,54 | 3,26 |
80 | 440 | 148 | 1,85 | 20,3 | 342 | 2,61 | 3,04 |
90 | 451 | 163 | 1,92 | 25,3 | 348 | 2,68 | 2,87 |
100 | 462 | 177 | 1,98 | 30,9 | 354 | 2,74 | 2,72 |
200 | 556 | 299 | 2,58 | 110 | 407 | 3,32 | 1,96 |
300 | 639 | 383 | 3,05 | 223 | 458 | 3,73 | 1,65 |
400 | 712 | 459 | 3,44 | 364 | 507 | 4,16 | 1,46 |
500 | 776 | 525 | 3,77 | 517 | 556 | 4,48 | 1,33 |
600 | 838 | 584 | 4,05 | 687 | 604 | 4,75 | 1,24 |
700 | 894 | 639 | 4,28 | 869 | 651 | 4,98 | 1,16 |
800 | 948 | 736 | 4,67 | 1258 | 747 | 5,36 | 1,06 |
В.21 Параметры ВУВ в фазе разрежения определяются:
максимальное значение давления разрежения:

;
длительность фазы разрежения:

;
закон изменения давления разрежения во времени:
где t - отсчитывается от конца положительной фазы.
РАССТОЯНИЯ ОТ ЗАЩИТНЫХ ОГРАЖДАЮЩИХ КОНСТРУКЦИЙ В ЗАВИСИМОСТИ
ОТ МАССЫ ЗАРЯДА ВВ И ДОПУСТИМОГО ИЗБЫТОЧНОГО ДАВЛЕНИЯ ВЗРЫВА
Г.1 Заряды с массой от 0.1 кг до 1 кг. Расстояния, на которых определялись параметры ВУВ и ее поражающие способности, изменялись от 0.5 м до 2.0 м.
- В
таблице Г.1 приведены значения максимального давления и импульса фазы сжатия в воздушной ударной волне на расстояниях R при взрыве заряда ТНТ с массой M. Значения максимального давления приведены в кПа.
- В
таблице Г.2 приведены значения условной вероятности полных и средних разрушений типовых зданий воздушной ударной волной на расстояниях R при взрыве заряда ТНТ с массой M. Значения условной вероятности приведены в %.
Таблица Г.1
Максимальное давление и импульс фазы сжатия в ВУВ
на расстоянии R при взрыве заряда ТНТ с массой M
| Максимальное давление, кПа | Импульс фазы сжатия, Па*с |
R, м | 0.5 | 1.0 | 1.5 | 2.0 | 0.5 | 1.0 | 1.5 | 2.0 |
M, кг | | | | | | | | |
0.10 | 8.54x102 | 1.64x102 | 7.12x101 | 4.20x101 | 1.10x102 | 5.03*101 | 3.11*101 | 2.24*101 |
0.15 | 1.21x103 | 2.22x102 | 9.30x101 | 5.35x101 | 1.46*102 | 6.73*101 | 4.20*101 | 2.98*101 |
0.20 | 1.56*103 | 2.76*102 | 1.13*102 | 6.39*101 | 1.77*102 | 8.28*101 | 5.18*101 | 3.66*101 |
0.25 | 1.90*103 | 3.29*102 | 1.32*102 | 7.37*101 | 2.05*102 | 9.72*101 | 6.08*101 | 4.31*101 |
0.30 | 2.23*103 | 3.80*102 | 1.51*102 | 8.30*101 | 2.31*102 | 1.11*102 | 6.93*101 | 4.93*101 |
0.35 | 2.57*103 | 4.30*102 | 1.68*102 | 9.20*101 | 2.55*102 | 1.24*102 | 7.74*101 | 5.53*101 |
0.40 | 2.90*103 | 4.79*102 | 1.86*102 | 1.01*102 | 2.78*102 | 1.36*102 | 8.52*101 | 6.12*101 |
0.45 | 3.22*103 | 5.28*102 | 2.03*102 | 1.09*102 | 3.00*102 | 1.48*102 | 9.28*101 | 6.65*101 |
0.50 | 3.55*103 | 5.76*102 | 2.20*102 | 1.17*102 | 3.21*102 | 1.59*102 | 1.00*102 | 7.17*101 |
0.55 | 3.87*103 | 6.23*102 | 2.36*102 | 1.25*102 | 3.41*102 | 1.70*102 | 1.07*102 | 7.68*101 |
0.60 | 4.19*103 | 6.70*102 | 2.52*102 | 1.33*102 | 3.60*102 | 1.81*102 | 1.14*102 | 8.17*101 |
0.65 | 4.51*103 | 7.17*102 | 2.68*102 | 1.41*102 | 3.79*102 | 1.91*102 | 1.21*102 | 8.66*101 |
0.70 | 4.83*103 | 7.63*102 | 2.84*102 | 1.49*102 | 3.97*102 | 2.01*102 | 1.28*102 | 9.13*101 |
0.75 | 5.15*103 | 8.09*102 | 3.00*102 | 1.57*102 | 4.14*102 | 2.11*102 | 1.34*102 | 9.60*101 |
0.80 | 5.46*103 | 8.54*102 | 3.15*102 | 1.64*102 | 4.31*102 | 2.21*102 | 1.40*102 | 1.01*102 |
0.85 | 5.78*103 | 9.00*102 | 3.31*102 | 1.71*102 | 4.48*102 | 2.30*102 | 1.47*102 | 1.05*102 |
0.90 | 6.09*103 | 9.45*102 | 3.46*102 | 1.79*102 | 4.64*102 | 2.39*102 | 1.53*102 | 1.09*102 |
0.95 | 6.41*103 | 9.90*102 | 3.61*102 | 1.86*102 | 4.80*102 | 2.48*102 | 1.59*102 | 1.14*102 |
1.0 | 6.72*103 | 1.03*103 | 3.76*102 | 1.93*102 | 4.95*102 | 2.57*102 | 1.65*102 | 1.18*102 |
Таблица Г.2
Условные вероятности полных и средних разрушений
типовых зданий и сооружений при воздействии ВУВ
массы M на расстоянии R
| средние разрушения (гибель людей), V2% | полные разрушения, V1% |
R, м | 0.5 | 1.0 | 1.5 | 2.0 | 0.5 | 1.0 | 1.5 | 2.0 |
M, кг | | | | | | | | |
0.10 | 0 | 0 | 0 | 0 | 0 | 0 | 0 | 0 |
0.15 | 4.75 | 0 | 0 | 0 | 0 | 0 | 0 | 0 |
0.20 | 11.40 | 0 | 0 | 0 | 0 | 0 | 0 | 0 |
0.25 | 20.10 | 0 | 0 | 0 | 2.35 | 0 | 0 | 0 |
0.30 | 29.20 | 1.08 | 0 | 0 | 4.32 | 0 | 0 | 0 |
0.35 | 38.00 | 2.11 | 0 | 0 | 7.05 | 0 | 0 | 0 |
0.40 | 46.00 | 3.40 | 0 | 0 | 10.50 | 0 | 0 | 0 |
0.45 | 53.20 | 5.09 | 0 | 0 | 14.40 | 0 | 0 | 0 |
0.50 | 59.60 | 7.23 | 0 | 0 | 18.60 | 0 | 0 | 0 |
0.55 | 65.10 | 9.75 | 0 | 0 | 22.90 | 0 | 0 | 0 |
0.60 | 69.90 | 12.60 | 1.34 | 0 | 27.30 | 1.10 | 0 | 0 |
0.65 | 74.00 | 15.60 | 1.87 | 0 | 31.60 | 1.60 | 0 | 0 |
0.70 | 77.60 | 18.90 | 2.47 | 0 | 35.80 | 2.14 | 0 | 0 |
0.75 | 80.60 | 22.20 | 3.17 | 0 | 39.80 | 2.75 | 0 | 0 |
0.80 | 83.20 | 25.60 | 3.98 | 0 | 43.70 | 3.45 | 0 | 0 |
0.85 | 85.50 | 28.90 | 4.91 | 0 | 47.40 | 4.25 | 0 | 0 |
0.90 | 87.40 | 32.30 | 5.97 | 0 | 50.90 | 5.17 | 0 | 0 |
0.95 | 89.00 | 35.50 | 7.15 | 1.31 | 54.20 | 6.19 | 0 | 0 |
1.00 | 90.40 | 38.70 | 8.45 | 1.64 | 57.20 | 7.32 | 0 | 0 |
Г.2 Заряды с массой от 1 кг до 15 кг. Расстояния, на которых определялись параметры ВУВ и ее поражающие способности, изменялись от 1.0 м до 10.0 м.
- В
таблице Г.3 приведены значения максимального давления в воздушной ударной волне на расстояниях R при взрыве заряда ТНТ с массой M. Значения максимального давления приведены в кПа.
- В
таблице Г.4 приведены значения импульса фазы сжатия в ВУВ на расстояниях R при взрыве заряда ТНТ с массой M. Значения импульса фазы сжатия приведены в Па*с.
- В
таблицах Г.5 и
Г.6 приведены значения условной вероятности полных и средних разрушений типовых зданий воздушной ударной волной на расстояниях R при взрыве заряда ТНТ с массой M. Значения условной вероятности приведены в %.
Таблица Г.3
Максимальное давление в ВУВ на расстоянии R
при взрыве заряда ТНТ с массой M, кПа
R, м | M, кг |
1.00 | 2.00 | 3.00 | 4.00 | 5.00 | 6.00 | 7.00 | 8.00 | 9.00 | 10.00 | 11.00 | 12.00 | 13.00 | 14.00 | 15.00 |
1.00 | 1.03·103 | 1.90·103 | 2.73·103 | 3.55·103 | 4.35·103 | 5.15*103 | 5.94*103 | 6.72*103 | 7.50*103 | 8.28*103 | 9.05*103 | 9.82*103 | 1.06*104 | 1.14*104 | 1.21*104 |
1.50 | 3.76·102 | 6.63·102 | 9.35·102 | 1.20·103 | 1.46·103 | 1.71*103 | 1.96*103 | 2.21*103 | 2.46*103 | 2.70*103 | 2.94*103 | 3.19*103 | 3.43*103 | 3.67*103 | 3.91*103 |
2.00 | 1.93·102 | 3.29·102 | 4.55·102 | 5.76·102 | 6.94·102 | 8.09*102 | 9.22*102 | 1.03*103 | 1.15*103 | 1.25*103 | 1.36*103 | 1.47*103 | 1.58*103 | 1.69*103 | 1.79*103 |
2.50 | 1.19·102 | 1.97·102 | 2.68·102 | 3.35·102 | 4.00·102 | 4.64*102 | 5.26*102 | 5.87*102 | 6.48*102 | 7.07*102 | 7.67*102 | 8.25*102 | 8.83*102 | 9.41*102 | 9.99*102 |
3.00 | 8.24·101 | 1.32·102 | 1.77·102 | 2.20·102 | 2.60·102 | 3.00*102 | 3.38*102 | 3.76*102 | 4.14*102 | 4.50*102 | 4.87*102 | 5.23*102 | 5.58*102 | 5.93*102 | 6.28*102 |
3.50 | 6.12·101 | 9.60·101 | 1.27·102 | 1.56·102 | 1.84·102 | 2.10*102 | 2.36*102 | 2.62*102 | 2.87*102 | 3.11*102 | 3.36*102 | 3.60*102 | 3.83*102 | 4.07*102 | 4.30*102 |
4.00 | 4.79·101 | 7.37·101 | 9.64·101 | 1.17·102 | 1.37·102 | 1.57*102 | 1.75*102 | 1.93*102 | 2.11*102 | 2.29*102 | 2.46*102 | 2.63*102 | 2.80*102 | 2.96*102 | 3.13*102 |
4.50 | 3.89·101 | 5.89·101 | 7.62·101 | 9.22·101 | 1.07·102 | 1.22*102 | 1.36*102 | 1.49*102 | 1.63*102 | 1.76*102 | 1.88*102 | 2.01*102 | 2.13*102 | 2.26*102 | 2.38*102 |
5.00 | 3.26·101 | 4.86·101 | 6.23·101 | 7.49·101 | 8.67·101 | 9.79*101 | 1.09*102 | 1.19*102 | 1.30*102 | 1.40*102 | 1.50*102 | 1.59*102 | 1.69*102 | 1.78*102 | 1.88*102 |
5.50 | 2.79·101 | 4.10·101 | 5.22·101 | 6.24·101 | 7.19·101 | 8.09*101 | 8.96*101 | 9.80*101 | 1.06*102 | 1.14*102 | 1.22*102 | 1.30*102 | 1.37*102 | 1.45*102 | 1.52*102 |
6.00 | 2.43·101 | 3.53·101 | 4.47·101 | 5.31·101 | 6.09·101 | 6.83*101 | 7.55*101 | 8.24*101 | 8.90*101 | 9.56*101 | 1.02*102 | 1.08*102 | 1.14*102 | 1.20*102 | 1.26*102 |
6.50 | 2.15·101 | 3.09·101 | 3.88·101 | 4.59·101 | 5.25·101 | 5.88*101 | 6.47*101 | 7.05*101 | 7.60*101 | 8.14*101 | 8.67*101 | 9.19*101 | 9.70*101 | 1.02*102 | 1.07*102 |
7.00 | 1.92·101 | 2.74·101 | 3.42·101 | 4.03·101 | 4.60·101 | 5.13*101 | 5.63*101 | 6.12*101 | 6.59*101 | 7.05*101 | 7.50*101 | 7.93*101 | 8.36*101 | 8.78*101 | 9.20*101 |
7.50 | 1.73·101 | 2.46·101 | 3.05·101 | 3.58·101 | 4.07·101 | 4.53*101 | 4.97*101 | 5.38*101 | 5.79*101 | 6.18*101 | 6.56*101 | 6.94*101 | 7.30*101 | 7.66*101 | 8.02*101 |
8.00 | 1.58·101 | 2.22·101 | 2.75·101 | 3.22·101 | 3.64·101 | 4.04*101 | 4.42*101 | 4.79*101 | 5.14*101 | 5.48*101 | 5.81*101 | 6.14*101 | 6.46*101 | 6.77*101 | 7.07*101 |
8.50 | 1.45·101 | 2.03·101 | 2.50·101 | 2.91·101 | 3.29·101 | 3.64*101 | 3.98*101 | 4.30*101 | 4.61*101 | 4.91*101 | 5.20*101 | 5.48*101 | 5.76*101 | 6.03*101 | 6.30*101 |
9.00 | 1.34·101 | 1.86·101 | 2.28·101 | 2.65·101 | 2.99·101 | 3.31*101 | 3.61*101 | 3.89*101 | 4.17*101 | 4.43*101 | 4.69*101 | 4.94*101 | 5.19*101 | 5.43*101 | 5.66*101 |
9.50 | 1.24·101 | 1.72·101 | 2.10·101 | 2.44·101 | 2.74·101 | 3.03*101 | 3.29*101 | 3.55*101 | 3.80*101 | 4.03*101 | 4.26*101 | 4.49*101 | 4.70*101 | 4.92*101 | 5.13*101 |
10.0 | 1.16·101 | 1.60·101 | 1.95·101 | 2.25·101 | 2.53·101 | 2.78*101 | 3.03*101 | 3.26*101 | 3.48*101 | 3.69*101 | 3.90*101 | 4.10*101 | 4.30*101 | 4.49*101 | 4.67*101 |
Таблица Г.4
Импульс фазы сжатия в ВУВ на расстоянии R
при взрыве заряда ТНТ с массой M, Па*с
R, м | M, кг |
1.00 | 2.00 | 3.00 | 4.00 | 5.00 | 6.00 | 7.00 | 8.00 | 9.00 | 10.00 | 11.00 | 12.00 | 13.00 | 14.00 | 15.00 |
1.00 | 2.57*102 | 4.10*102 | 5.34*102 | 6.42*102 | 7.39*102 | 8.29*102 | 9.12*102 | 9.91*102 | 1.07*103 | 1.14*103 | 1.20*103 | 1.27*103 | 1.33*103 | 1.39*103 | 1.45*103 |
1.50 | 1.65*102 | 2.69*102 | 3.56*102 | 4.33*102 | 5.03*102 | 5.68*102 | 6.29*102 | 6.87*102 | 7.42*102 | 7.94*102 | 8.45*102 | 8.93*102 | 9.40*102 | 9.85*102 | 1.03*103 |
2.00 | 1.18*102 | 1.94*102 | 2.60*102 | 3.18*102 | 3.72*102 | 4.22*102 | 4.70*102 | 5.15*102 | 5.58*102 | 5.99*102 | 6.38*102 | 6.77*102 | 7.14*102 | 7.50*102 | 7.85*102 |
2.50 | 9.12*101 | 1.50*102 | 2.01*102 | 2.47*102 | 2.90*102 | 3.30*102 | 3.68*102 | 4.04*102 | 4.39*102 | 4.73*102 | 5.05*102 | 5.37*102 | 5.67*102 | 5.97*102 | 6.25*102 |
3.00 | 7.33*101 | 1.22*102 | 1.63*102 | 2.00*102 | 2.35*102 | 2.68*102 | 2.99*102 | 3.29*102 | 3.58*102 | 3.86*102 | 4.13*102 | 4.39*102 | 4.65*102 | 4.90*102 | 5.14*102 |
3.50 | 6.10*101 | 1.02*102 | 1.36*102 | 1.67*102 | 1.97*102 | 2.24*102 | 2.50*102 | 2.76*102 | 3.00*102 | 3.24*102 | 3.47*102 | 3.69*102 | 3.91*102 | 4.12*102 | 4.33*102 |
4.00 | 5.24*101 | 8.62*101 | 1.16*102 | 1.43*102 | 1.68*102 | 1.92*102 | 2.14*102 | 2.36*102 | 2.57*102 | 2.77*102 | 2.97*102 | 3.16*102 | 3.35*102 | 3.53*102 | 3.71*102 |
4.50 | 4.62*101 | 7.50*101 | 1.01*102 | 1.25*102 | 1.47*102 | 1.68*102 | 1.87*102 | 2.06*102 | 2.24*102 | 2.42*102 | 2.59*102 | 2.76*102 | 2.92*102 | 3.08*102 | 3.24*102 |
5.00 | 4.15*101 | 6.66*101 | 8.89*101 | 1.10*102 | 1.29*102 | 1.48*102 | 1.66*102 | 1.82*102 | 1.98*102 | 2.14*102 | 2.29*102 | 2.44*102 | 2.59*102 | 2.73*102 | 2.87*102 |
5.50 | 3.78*101 | 6.01*101 | 7.97*101 | 9.79*101 | 1.15*102 | 1.32*102 | 1.48*102 | 1.63*102 | 1.78*102 | 1.92*102 | 2.05*102 | 2.19*102 | 2.31*102 | 2.44*102 | 2.57*102 |
6.00 | 3.48*101 | 5.49*101 | 7.24*101 | 8.86*101 | 1.04*102 | 1.19*102 | 1.33*102 | 1.47*102 | 1.60*102 | 1.73*102 | 1.86*102 | 1.98*102 | 2.09*102 | 2.21*102 | 2.32*102 |
6.50 | 3.23*101 | 5.06*101 | 6.65*101 | 8.11*101 | 9.49*101 | 1.08*102 | 1.21*102 | 1.33*102 | 1.45*102 | 1.57*102 | 1.68*102 | 1.80*102 | 1.91*102 | 2.02*102 | 2.12*102 |
7.00 | 3.03*101 | 4.71*101 | 6.16*101 | 7.49*101 | 8.74*101 | 9.93*101 | 1.11*102 | 1.22*102 | 1.33*102 | 1.43*102 | 1.54*102 | 1.64*102 | 1.74*102 | 1.84*102 | 1.94*102 |
7.50 | 2.85*101 | 4.41*101 | 5.75*101 | 6.97*101 | 8.12*101 | 9.20*101 | 1.03*102 | 1.13*102 | 1.23*102 | 1.32*102 | 1.42*102 | 1.51*102 | 1.60*102 | 1.69*102 | 1.78*102 |
8.00 | 2.71*101 | 4.16*101 | 5.40*101 | 6.53*101 | 7.59*101 | 8.59*101 | 9.55*101 | 1.05*102 | 1.14*102 | 1.23*102 | 1.31*102 | 1.40*102 | 1.48*102 | 1.56*102 | 1.64*102 |
8.50 | 2.58*101 | 3.94*101 | 5.10*101 | 6.15*101 | 7.13*101 | 8.06*101 | 8.95*101 | 9.82*101 | 1.07*102 | 1.15*102 | 1.23*102 | 1.30*102 | 1.38*102 | 1.46*102 | 1.53*102 |
9.00 | 2.46*101 | 3.75*101 | 4.84*101 | 5.82*101 | 6.74*101 | 7.61*101 | 8.44*101 | 9.24*101 | 1.00*102 | 1.08*102 | 1.15*102 | 1.22*102 | 1.29*102 | 1.36*102 | 1.43*102 |
9.50 | 2.36*101 | 3.58*101 | 4.61*101 | 5.53*101 | 6.39*101 | 7.21*101 | 7.99*101 | 8.74*101 | 9.46*101 | 1.02*102 | 1.09*102 | 1.15*102 | 1.22*102 | 1.28*102 | 1.35*102 |
10.0 | 2.27*101 | 3.43*101 | 4.40*101 | 5.28*101 | 6.09*101 | 6.86*101 | 7.59*101 | 8.29*101 | 8.97*101 | 9.64*101 | 1.03*102 | 1.09*102 | 1.15*102 | 1.21*102 | 1.27*102 |
Таблица Г.5
Условные вероятности полных (сильных)
разрушений типовых зданий, V1%
R, м | M, кг |
1.00 | 2.00 | 3.00 | 4.00 | 5.00 | 6.00 | 7.00 | 8.00 | 9.00 | 10.00 | 11.00 | 12.00 | 13.00 | 14.00 | 15.00 |
1.00 | 7.32 | 38.80 | 64.30 | 79.60 | 88.20 | 93.00 | 95.60 | 97.10 | 97.90 | 98.50 | 99.00 | 99.40 | 99.70 | 100.0 | 100.0 |
1.50 | 0 | 8.98 | 26.30 | 44.10 | 58.80 | 70.00 | 78.20 | 84.10 | 88.40 | 91.40 | 93.60 | 95.10 | 96.20 | 97.00 | 97.50 |
2.00 | 0 | 1.77 | 7.65 | 18.00 | 30.00 | 41.60 | 52.00 | 60.90 | 68.20 | 74.30 | 79.20 | 83.20 | 86.40 | 89.00 | 91.00 |
2.50 | 0 | 0 | 2.13 | 6.05 | 12.50 | 20.50 | 29.10 | 37.50 | 45.50 | 52.70 | 59.10 | 64.80 | 69.70 | 74.00 | 77.70 |
3.00 | 0 | 0 | 0 | 2.08 | 4.73 | 8.85 | 14.20 | 20.40 | 26.80 | 33.30 | 39.50 | 45.50 | 51.00 | 56.10 | 60.80 |
3.50 | 0 | 0 | 0 | 0 | 1.88 | 3.72 | 6.44 | 10.10 | 14.40 | 19.10 | 24.20 | 29.30 | 34.30 | 39.30 | 44.00 |
4.00 | 0 | 0 | 0 | 0 | 0 | 1.64 | 2.98 | 4.83 | 7.29 | 10.30 | 13.80 | 17.60 | 21.60 | 25.70 | 29.80 |
4.50 | 0 | 0 | 0 | 0 | 0 | 0 | 1.40 | 2.42 | 3.72 | 5.43 | 7.56 | 10.10 | 12.90 | 16.00 | 19.20 |
5.00 | 0 | 0 | 0 | 0 | 0 | 0 | 0 | 1.18 | 1.98 | 2.95 | 4.16 | 5.68 | 7.49 | 9.57 | 11.90 |
5.50 | 0 | 0 | 0 | 0 | 0 | 0 | 0 | 0 | 0 | 1.64 | 2.38 | 3.28 | 4.38 | 5.69 | 7.23 |
6.00 | 0 | 0 | 0 | 0 | 0 | 0 | 0 | 0 | 0 | 0 | 1.35 | 1.95 | 2.64 | 3.46 | 4.43 |
6.50 | 0 | 0 | 0 | 0 | 0 | 0 | 0 | 0 | 0 | 0 | 0 | 0 | 1.58 | 2.16 | 2.79 |
7.00 | 0 | 0 | 0 | 0 | 0 | 0 | 0 | 0 | 0 | 0 | 0 | 0 | 0 | 1.24 | 1.72 |
7.50 | 0 | 0 | 0 | 0 | 0 | 0 | 0 | 0 | 0 | 0 | 0 | 0 | 0 | 0 | 0 |
8.00 | 0 | 0 | 0 | 0 | 0 | 0 | 0 | 0 | 0 | 0 | 0 | 0 | 0 | 0 | 0 |
8.50 | 0 | 0 | 0 | 0 | 0 | 0 | 0 | 0 | 0 | 0 | 0 | 0 | 0 | 0 | 0 |
9.00 | 0 | 0 | 0 | 0 | 0 | 0 | 0 | 0 | 0 | 0 | 0 | 0 | 0 | 0 | 0 |
9.50 | 0 | 0 | 0 | 0 | 0 | 0 | 0 | 0 | 0 | 0 | 0 | 0 | 0 | 0 | 0 |
10.0 | 0 | 0 | 0 | 0 | 0 | 0 | 0 | 0 | 0 | 0 | 0 | 0 | 0 | 0 | 0 |
Таблица Г.6
Условные вероятности средних разрушений
типовых зданий (гибели людей), V2%
R, м | M, кг |
1.00 | 2.00 | 3.00 | 4.00 | 5.00 | 6.00 | 7.00 | 8.00 | 9.00 | 10.00 | 11.00 | 12.00 | 13.00 | 14.00 | 15.00 |
1.00 | 38.70 | 79.80 | 93.10 | 97.10 | 98.60 | 99.40 | 100.0 | 100.0 | 100.0 | 100.0 | 100.0 | 100.0 | 100.0 | 100.0 | 100.0 |
1.50 | 8.45 | 42.80 | 68.90 | 83.50 | 91.10 | 94.90 | 96.90 | 97.90 | 98.60 | 99.10 | 99.50 | 99.90 | 100.0 | 100.0 | 100.0 |
2.00 | 1.64 | 16.70 | 39.60 | 58.80 | 72.60 | 81.90 | 88.00 | 91.90 | 94.40 | 96.00 | 97.10 | 97.80 | 98.30 | 98.70 | 99.00 |
2.50 | 0 | 5.50 | 18.80 | 35.10 | 50.00 | 62.20 | 71.70 | 78.90 | 84.30 | 88.30 | 91.20 | 93.30 | 94.80 | 96.00 | 96.80 |
3.00 | 0 | 1.93 | 7.99 | 18.50 | 30.70 | 42.50 | 53.00 | 62.00 | 69.40 | 75.50 | 80.40 | 84.30 | 87.40 | 89.90 | 91.90 |
3.50 | 0 | 0 | 3.42 | 9.07 | 17.30 | 26.80 | 36.30 | 45.20 | 53.30 | 60.40 | 66.60 | 71.90 | 76.40 | 80.20 | 83.40 |
4.00 | 0 | 0 | 1.52 | 4.42 | 9.31 | 15.90 | 23.40 | 31.10 | 38.60 | 45.70 | 52.30 | 58.20 | 63.50 | 68.20 | 72.40 |
4.50 | 0 | 0 | 0 | 2.21 | 4.99 | 9.11 | 14.40 | 20.40 | 26.80 | 33.10 | 39.30 | 45.20 | 50.70 | 55.80 | 60.50 |
5.00 | 0 | 0 | 0 | 0 | 2.65 | 5.18 | 8.71 | 13.00 | 18.00 | 23.20 | 28.60 | 33.90 | 39.10 | 44.10 | 48.90 |
5.50 | 0 | 0 | 0 | 0 | 1.41 | 2.91 | 5.09 | 8.13 | 11.80 | 15.90 | 20.20 | 24.80 | 29.40 | 34.00 | 38.40 |
6.00 | 0 | 0 | 0 | 0 | 0 | 1.68 | 3.02 | 4.90 | 7.40 | 10.50 | 14.10 | 17.80 | 21.60 | 25.60 | 29.60 |
6.50 | 0 | 0 | 0 | 0 | 0 | 0 | 1.86 | 3.05 | 4.66 | 6.74 | 9.29 | 12.20 | 15.50 | 19.00 | 22.40 |
7.00 | 0 | 0 | 0 | 0 | 0 | 0 | 1.08 | 1.96 | 3.02 | 4.40 | 6.15 | 8.26 | 10.70 | 13.40 | 16.40 |
7.50 | 0 | 0 | 0 | 0 | 0 | 0 | 0 | 1.22 | 2.01 | 2.96 | 4.15 | 5.62 | 7.39 | 9.44 | 11.70 |
8.00 | 0 | 0 | 0 | 0 | 0 | 0 | 0 | 0 | 1.32 | 2.03 | 2.87 | 3.90 | 5.16 | 6.66 | 8.38 |
8.50 | 0 | 0 | 0 | 0 | 0 | 0 | 0 | 0 | 0 | 1.37 | 2.02 | 2.77 | 3.67 | 4.75 | 6.03 |
9.00 | 0 | 0 | 0 | 0 | 0 | 0 | 0 | 0 | 0 | 0 | 1.41 | 2.00 | 2.67 | 3.46 | 4.39 |
9.50 | 0 | 0 | 0 | 0 | 0 | 0 | 0 | 0 | 0 | 0 | 0 | 1.42 | 1.96 | 2.56 | 3.26 |
10.0 | 0 | 0 | 0 | 0 | 0 | 0 | 0 | 0 | 0 | 0 | 0 | 0 | 1.42 | 1.91 | 2.46 |
МЕТОДИКА РАСЧЕТА НАГРУЗОК ОТ ОСКОЛОЧНЫХ ВОЗДЕЙСТВИЙ
Д.1 При обтекании тела происходит дифракция волны. При прохождении волны давление на тыльную (заднюю) поверхность тела меньше, чем на фронтальную (переднюю), что равносильно приложению с фронтальной стороны избыточного давления p(t).
Д.2 Характер изменения избыточного давления показан на рисунке Д.1. Сначала оно за время t1 возрастает до максимума pr. Если тело имеет плоскую переднюю грань, то t1 = 0. Затем давление убывает, пока не сравняется с функцией падения давления q(t), после чего убывает до нуля, подчиняясь этому закону. Отметим, что максимальный импульс получается при t1 = 0, и в запас можно всегда принимать это значение.
Рисунок Д.1 - Суммарное давление на тело
при его обтекании взрывной волной
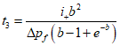
Д.3 Продолжительность действия давления определяется как:

, (Д.1)
где
i+ - импульс фазы сжатия;

- избыточное давление проходящей волны;
b - константа времени, которую следует определять по графику, приведенному на рисунке Д.2.
Рисунок Д.2 - Зависимость константы времени b
от безразмерного давления

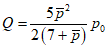
Д.4 Падение давления определяется на основании закона:

, (Д.2)
где
Q - максимальный динамический напор; при

;
CD - коэффициент сопротивления тела при стационарном обтекании потоком воздуха:

. (Д.3)
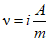
Д.5 Скорость движения вторичных осколков определяется как:

, (Д.4)
где
i - импульс суммарного избыточного давления;
A - площадь проекции тела на плоскость, перпендикулярную направлению распространения ВУВ.
Д.6 При определении дальности полета осколков используется следующая эмпирическая методология.
Д.7 Для определения максимальной дальности разлета осколков вычисляется отношение подъемной силы к силе лобового сопротивления:

, (Д.5)
где
FL и FD - суммарная подъемная сила и суммарное лобовое сопротивление;
A1, CL1 и CD1 - площадь наибольшей несущей поверхности осколка, эмпирические коэффициенты подъемной силы и лобового сопротивления;
A2, CL2 и CD1 - площадь наименьшей несущей поверхности осколка, эмпирические коэффициенты подъемной силы и лобового сопротивления.
Д.8 Затем находится безразмерная скорость осколка с учетом действия силы сопротивления:

, (Д.6)
где

- плотность воздуха;

- начальная скорость осколка;
m - масса осколка;
g - ускорение свободного падения;
Д.9 По номограмме, приведенной на
рисунке Д.3, в зависимости от безразмерной скорости находится безразмерная дальность полета

, и затем действительная дальность полета осколка:

, (Д.7)
Рисунок Д.3 - Номограмма для определения дальности полета
осколка при различных соотношениях подъемной силы к силе
лобового сопротивления CLD
Д.10 Приведенные выше эмпирические методики расчета позволяют оценивать основные параметры разлета осколков, сопровождающих взрывные явления: начальную скорость осколков и максимальную дальность их разлета.
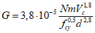
Д.11 Глубина проникания летящего тела в преграду вычисляется по формуле:

, (Д.8)
где
Vc - критическая скорость летящего тела, при которой происходит пробивание, м/с;
m - масса тела, кг;
fcy - цилиндрическая прочность бетона, Па

, (Д.9)
где

- отношение глубины проникания к диаметру тела.
25 < Vc < 300 м/с;
22·106 < fcy < 44·106 Па;
5000 < m/d3 < 200000 кг/м3
Д.13 При аварийных взрывах летящие тела имеют разнообразную форму и соударяются об ограждающие конструкции под разными углами, Поэтому приведенные формулы имеют ограничения и не всегда могут быть использованы для расчета. В этом случае для решения задач оценки повреждения конструкций необходимо использование численных методов.
РАСЧЕТ УЛАВЛИВАЮЩИХ КОНСТРУКЦИЙ ЗОК
НА НАГРУЗКИ ПРИ ПАДЕНИИ БПЛА
Е.1 Расчет улавливающих конструкций ЗОК на нагрузки при падении БПЛА выполняется методами численного-математического моделирования методом конечных элементов (МКЭ). Основные неизвестные при таком подходе являются перемещения и повороты узлов расчетной схемы.
Е.2 При расчете модель (система) представляется в виде набора тел стандартного типа (стержней, пластин, оболочек и т.д.), называемых конечными элементами и присоединенных к узлам.
Е.3 При моделировании и расчетах канатов, а также сеток тип конечного элемента принимается КЭ-304 (геометрический нелинейный КЭ "Нить") Представленный КЭ обеспечивает расчет вантовых систем с учетом геометрической нелинейности. Работает во всех признаках схемы, кроме плоских плит и ростверков. На каждом шаге нагружения производится учет нормальных напряжений и изменения геометрий при построении матрицы жесткости.
Е.4 При необходимости применяются иные типы конечных элементов, обусловленные их геометрической формой, правилами, определяющими зависимость между перемещениями узлов конечного элемента и узлов системы, физическим законом, определяющим зависимость между внутренними усилиями и внутренними перемещениями, и набором параметров (жесткостей), входящих в описание этого закона.
Е.5 Основная система метода перемещений выбирается путем наложения в каждом узле всех связей, запрещающих любые узловые перемещения. Условия равенства нулю усилий в этих связях представляют собой разрешающие уравнения равновесия, а смещения указанных связей - основные неизвестные метода перемещений.
Е.6 Узел в расчетной схеме метода перемещений представляется в виде абсолютно жесткого тела исчезающе малых размеров. Положение узла в пространстве при деформациях системы определяется координатами центра и углами поворота трех осей, жестко связанных с узлом. Узел представлен как объект, обладающий шестью степенями свободы - тремя линейными смещениями и тремя углами поворота.
Е.7 Загружения и их характеристики задаются в виде сил приложенных к узлам либо к конечным элементам в соответствии с
разделом 7 настоящего СП.
Е.8 Расчеты выполняются в динамической постановке задачи.
Е.9 Верификация расчетов и прогиб сеток УСК ЗОК допускается определять по
таблицам Е.1 -
Е.3.
Е.10 Для определения прогиба сетки по формуле Е.1 определяется ее погонная жесткость:

, (Е.1)
где
L - размер свободной грани сетки, м,
d - диаметр проволоки сетки, мм, имеет шаг H - размер ячейки сетки, мм,
E - модуль жесткости сетки на растяжение, Па.
Е.11 Для значения
N сетки находится отношение
N/
N0, где

. Зная размер сетки
L, по таблице Е.1 находится значение максимального прогиба сетки при воздействии на нее тела, имеющего массу
M = 100 кг и двигающегося со скоростью
V = 120 км/час.
Таблица Е.1
Максимальный прогиб сетчатого ограждения
при падении на него тела массой M = 100 кг, двигающегося
со скоростью V = 120 км/час, м
N/N0 | 100.00 | 50.00 | 10.00 | 5.00 | 1.00 | 0.50 | 0.10 | 0.05 |
L, м | | | | | | | | |
0.50 | 0.9790 | 0.8230 | 0.5500 | 0.4630 | 0.3090 | 0.2600 | 0.1740 | 0.1460 |
1.00 | 1.2300 | 1.0400 | 0.6930 | 0.5830 | 0.3900 | 0.3280 | 0.2190 | 0.1840 |
1.50 | 1.4100 | 1.1900 | 0.7940 | 0.6670 | 0.4460 | 0.3750 | 0.2510 | 0.2110 |
2.00 | 1.5500 | 1.3100 | 0.8740 | 0.7350 | 0.4910 | 0.4130 | 0.2760 | 0.2320 |
2.50 | 1.6700 | 1.4100 | 0.9410 | 0.7910 | 0.5290 | 0.4450 | 0.2980 | 0.2500 |
3.00 | 1.7800 | 1.5000 | 1.0000 | 0.8410 | 0.5620 | 0.4730 | 0.3160 | 0.2660 |
3.50 | 1.8700 | 1.5700 | 1.0500 | 0.8850 | 0.5920 | 0.4980 | 0.3330 | 0.2800 |
4.00 | 1.9600 | 1.6500 | 1.1000 | 0.9260 | 0.6190 | 0.5200 | 0.3480 | 0.2930 |
4.50 | 2.0400 | 1.7100 | 1.1400 | 0.9630 | 0.6440 | 0.5410 | 0.3620 | 0.3040 |
5.00 | 2.1100 | 1.7700 | 1.1900 | 0.9970 | 0.6670 | 0.5610 | 0.3750 | 0.3150 |
5.50 | 2.1800 | 1.8300 | 1.2200 | 1.0300 | 0.6880 | 0.5790 | 0.3870 | 0.3250 |
6.00 | 2.2400 | 1.8800 | 1.2600 | 1.0600 | 0.7080 | 0.5960 | 0.3980 | 0.3350 |
Е.12 По таблице Е.2, определяется значение максимального прогиба для сетки при воздействии на нее тела, имеющего массу M = 30 кг и двигающегося со скоростью V = 60 км/час.
Таблица Е.2
Максимальный прогиб сетчатого ограждения
при падении на него тела массой M = 30 кг, двигающегося
со скоростью V = 60 км/час, м
N/N0 | 100.00 | 50.00 | 10.00 | 5.00 | 1.00 | 0.50 | 0.10 | 0.05 |
L, м | | | | | | | | |
0.50 | 0.4820 | 0.4050 | 0.2710 | 0.2280 | 0.1520 | 0.1280 | 0.0857 | 0.0721 |
1.00 | 0.6070 | 0.5110 | 0.3420 | 0.2870 | 0.1920 | 0.1620 | 0.1080 | 0.0908 |
1.50 | 0.6950 | 0.5850 | 0.3910 | 0.3290 | 0.2200 | 0.1850 | 0.1240 | 0.1040 |
2.00 | 0.7650 | 0.6440 | 0.4300 | 0.3620 | 0.2420 | 0.2040 | 0.1360 | 0.1140 |
2.50 | 0.8240 | 0.6930 | 0.4640 | 0.3900 | 0.2610 | 0.2190 | 0.1470 | 0.1230 |
3.00 | 0.8760 | 0.7370 | 0.4930 | 0.4140 | 0.2770 | 0.2330 | 0.1560 | 0.1310 |
3.50 | 0.9220 | 0.7760 | 0.5190 | 0.4360 | 0.2920 | 0.2450 | 0.1640 | 0.1380 |
4.00 | 0.9640 | 0.8110 | 0.5420 | 0.4560 | 0.3050 | 0.2560 | 0.1710 | 0.1440 |
4.50 | 1.0000 | 0.8430 | 0.5640 | 0.4740 | 0.3170 | 0.2670 | 0.1780 | 0.1500 |
5.00 | 1.0400 | 0.8730 | 0.5840 | 0.4910 | 0.3280 | 0.2760 | 0.1850 | 0.1550 |
5.50 | 1.0700 | 0.9020 | 0.6030 | 0.5070 | 0.3390 | 0.2850 | 0.1910 | 0.1600 |
6.00 | 1.1000 | 0.9280 | 0.6210 | 0.5220 | 0.3490 | 0.2940 | 0.1960 | 0.1650 |
Е.13 По таблице Е.3, определяется значение максимального прогиба для сетки при воздействии на нее тела, имеющего массу M = 250 кг и двигающегося со скоростью V = 200 км/час.
Таблица Е.3
Максимальный прогиб сетчатого ограждения
при падении на него тела массой M = 250 кг,
двигающегося со скоростью V = 200 км/час, м
N/N0 | 100.00 | 50.00 | 10.00 | 5.00 | 1.00 | 0.50 | 0.10 | 0.05 |
L, м | | | | | | | | |
0.50 | 1.5000 | 1.2600 | 0.8460 | 0.7110 | 0.4750 | 0.4000 | 0.2670 | 0.2250 |
1.00 | 1.8900 | 1.5900 | 1.0700 | 0.8960 | 0.5990 | 0.5040 | 0.3370 | 0.2830 |
1.50 | 2.1700 | 1.8200 | 1.2200 | 1.0300 | 0.6860 | 0.5770 | 0.3860 | 0.3240 |
2.00 | 2.3900 | 2.0100 | 1.3400 | 1.1300 | 0.7550 | 0.6350 | 0.4240 | 0.3570 |
2.50 | 2.5700 | 2.1600 | 1.4500 | 1.2200 | 0.8130 | 0.6840 | 0.4570 | 0.3840 |
3.00 | 2.7300 | 2.3000 | 1.5400 | 1.2900 | 0.8640 | 0.7270 | 0.4860 | 0.4090 |
3.50 | 2.8800 | 2.4200 | 1.6200 | 1.3600 | 0.9100 | 0.7650 | 0.5110 | 0.4300 |
4.00 | 3.0100 | 2.5300 | 1.6900 | 1.4200 | 0.9510 | 0.8000 | 0.5350 | 0.4500 |
4.50 | 3.1300 | 2.6300 | 1.7600 | 1.4800 | 0.9890 | 0.8320 | 0.5560 | 0.4680 |
5.00 | 3.2400 | 2.7200 | 1.8200 | 1.5300 | 1.0200 | 0.8610 | 0.5760 | 0.4840 |
5.50 | 3.3400 | 2.8100 | 1.8800 | 1.5800 | 1.0600 | 0.8890 | 0.5950 | 0.5000 |
6.00 | 3.4400 | 2.8900 | 1.9400 | 1.6300 | 1.0900 | 0.9150 | 0.6120 | 0.5150 |
ОБЩИЕ ПРИНЦИПЫ ПОДБОРА АНКЕРНЫХ КРЕПЛЕНИЙ
Ж.2 Нагрузки на анкерные крепления принимаются на оснований экстремальных узловых реакций закрепляемых элементов при численно-математическом моделировании.
ХАРАКТЕРИСТИКИ ЭЛЕМЕНТОВ ПРОШЕДШИХ ИСПЫТАНИЯ В МЧС РОССИИ
И.1. Сеть высокопрочная 60 x 60 x 4.6:
Сопротивление проволоки на разрыв - 840 - 990 Н/мм2
Диаметр прутка - 4,6 мм
Размер ячеек - 60 x 60 мм
И.2. Сетка "рабица" оцинкованная
Стандарт - ТУ 14-178-287-2003 или аналог.
Сопротивление проволоки на разрыв - 340 - 540 Н/мм2
Диаметр прутка - 2.0 мм
Размер ячейки - 50 x 50 мм
И.3. Сетки проволочные крученые с шестиугольными ячейками для габионных конструкций, 2,4 мм
Сопротивление проволоки на разрыв - 575 Н/мм2
Диаметр проволоки 2,4 мм.
Размер ячейки 60 x 80 мм
И.4. Сетки проволочные крученые с шестиугольными ячейками для габионных конструкций 2,7 мм
Сопротивление проволоки на разрыв - 475 Н/мм2
Диаметр проволоки 2,7 мм
Размер ячейки 80 x 100 мм
И.5. Тросы
Стандарт - DIN 3055
Структура - 6 x 7 со стальным сердечником.
Диаметр - 10 мм
Материал - оцинкованная сталь
И.6. Тросовые зажимы
Стандарт - DIN 741
Диаметр - 10 мм
Покрытие - Цинк
И.7. Скобы такелажные, омегообразные
Стандарт - G 209
Размер -

;

Покрытие - Цинк
И.8. Талрепы
Стандарт - DIN 1480
Резьба - M16
Покрытие - Цинк