Главная // Актуальные документы // Актуальные документы (обновление с 29.09.2025 по 01.11.2025) // ГОСТ (Государственный стандарт)СПРАВКА
Источник публикации
М.: Стандартинформ, 2014
Примечание к документу
Документ
введен в действие с 01.03.2015.
Название документа
"ГОСТ IEC 61188-1-2-2013. Межгосударственный стандарт. Печатные платы и печатные узлы. Проектирование и применение. Часть 1-2. Общие требования. Контролируемое волновое сопротивление"
(введен в действие Приказом Росстандарта от 16.09.2014 N 1105-ст)
"ГОСТ IEC 61188-1-2-2013. Межгосударственный стандарт. Печатные платы и печатные узлы. Проектирование и применение. Часть 1-2. Общие требования. Контролируемое волновое сопротивление"
(введен в действие Приказом Росстандарта от 16.09.2014 N 1105-ст)
агентства по техническому
регулированию и метрологии
от 16 сентября 2014 г. N 1105-ст
МЕЖГОСУДАРСТВЕННЫЙ СТАНДАРТ
ПЕЧАТНЫЕ ПЛАТЫ И ПЕЧАТНЫЕ УЗЛЫ
ПРОЕКТИРОВАНИЕ И ПРИМЕНЕНИЕ
ЧАСТЬ 1-2
ОБЩИЕ ТРЕБОВАНИЯ
КОНТРОЛИРУЕМОЕ ВОЛНОВОЕ СОПРОТИВЛЕНИЕ
Printed boards and printed board assemblies. Design and use.
Part 1-2. Generic requirements. Controlled impedance
(IEC 61188-1-2:1998, IDT)
ГОСТ IEC 61188-1-2-2013
Дата введения
1 марта 2015 года
Цели, основные принципы и основной порядок проведения работ по межгосударственной стандартизации установлены
ГОСТ 1.0-92 "Межгосударственная система стандартизации. Основные положения" и
ГОСТ 1.2-2009 "Межгосударственная система стандартизации. Стандарты межгосударственные, правила и рекомендации по межгосударственной стандартизации. Правила разработки, принятия, применения, обновления и отмены"
1 ПОДГОТОВЛЕН Некоммерческим образовательным частным учреждением "Новая инженерная школа" (НОЧУ "НИШ") на основе аутентичного перевода на русский язык, указанного в
пункте 5 стандарта, который выполнен Российской комиссией экспертов МЭК/ТК 91
2 ВНЕСЕН Техническим комитетом по стандартизации ТК 420 "Базовые несущие конструкции, печатные платы, сборка и монтаж электронных модулей"
3 ПРИНЯТ Межгосударственным советом по стандартизации, метрологии и сертификации (протокол от 14 ноября 2013 г. N 44)
За принятие стандарта проголосовали:
Краткое наименование страны по МК (ИСО 3166) 004-97 | Код страны по МК (ИСО 3166) 004-97 | Сокращенное наименование национального органа по стандартизации |
Беларусь | BY | Госстандарт Республики Беларусь |
Киргизия | KG | Кыргызстандарт |
Россия | RU | Росстандарт |
4
Приказом Федерального агентства по техническому регулированию и метрологии от 16 сентября 2014 года N 1105-ст межгосударственный стандарт ГОСТ IEC 61188-1-2-2014 введен в действие в качестве национального стандарта Российской Федерации с 1 марта 2015 года.
5 Настоящий стандарт идентичен международному стандарту IEC 61188-1-2:1998 Printed boards and printed boards assemblies - Design and use - Part 1-2: Generic requirements - Controlled impedance (Платы печатные и сборки печатных плат. Конструкция и назначение. Часть 1-2. Общие требования. Регулируемое полное сопротивление)
Перевод с английского языка (en).
Международный стандарт разработан Техническим комитетом по стандартизации IEC/TC 91 "Технология сборки электронного оборудования" международной электротехнической комиссии (IEC).
Наименование стандарта изменено относительно наименования указанного международного стандарта для приведения в соответствие с ГОСТ Р 1.5
(пункт 3.5).
Официальные экземпляры международного стандарта, на основе которого подготовлен настоящий межгосударственный стандарт, и международных стандартов, на которые даны ссылки, имеются в национальных органах по стандартизации.
В
разделе "Нормативные ссылки" и тексте стандарта ссылки на международные стандарты актуализированы.
Степень соответствия - идентичная (IDT).
6 ВВЕДЕН ВПЕРВЫЕ
Информация об изменениях к настоящему стандарту публикуется в ежегодном информационном указателе "Национальные стандарты", а текст изменений и поправок - в ежемесячном информационном указателе "Национальные стандарты". В случае пересмотра (замены) или отмены настоящего стандарта соответствующее уведомление будет опубликовано в ежемесячном информационном указателе "Национальные стандарты". Соответствующая информация, уведомление и тексты размещаются также в информационной системе общего пользования - на официальном сайте Федерального агентства по техническому регулированию и метрологии в сети Интернет
Компоновка электронных устройств всегда рассматривалась с механической точки зрения. Конструкция электронных компонентов усложняется, так как постоянно растут скорость переключения элементов и плотность их размещения на кристалле. Электронные элементы имеют большое количество связей даже при уменьшении размеров. Чтобы в максимальной степени использовать возможности высокой плотности и скорости переключения соединений внутри электронного элемента, проектирование и изготовление изделий необходимо вести с учетом электромагнитных явлений, сопровождающих прохождение сигнала. Печатные платы с контролируемым волновым сопротивлением - это составная часть указанной концепции.
Проектирование размещения и коммутации электронных компонентов осуществлялось с позиции механики, когда решались вопросы массы, объема, мощностей, формы, а также электрических цепей, в соответствии с таблицей соединений. При этом электрические проводники для передачи сигналов рассматривались только в отношении нескольких факторов, таких как обеспечение контакта между выводами элементов, необходимого сечения проводников, обеспечения зазоров для предотвращения короткого замыкания. Кроме обеспечения надежности контактов электрической цепи, электрические характеристики не являлись основным предметом рассмотрения.
Успехи полупроводниковых (интегральных) технологий привели к созданию интегральных схем с высокой скоростью нарастания сигнала, которые компонуются в электронных устройствах высокой плотности. Для достижения наибольшей эффективности работы таких устройств необходимо применять технологию, обеспечивающую создание межсоединений высокой плотности с улучшенными электрическими характеристиками.
Среди множества проблем систем, связанных с высокоскоростной цифровой обработкой, больше всего внимания приходиться уделять межсоединениям. Очевидно, что когда быстродействие системы возрастает, межсоединения, а следовательно, компоновка элементов и печатных плат становятся узким местом, замедляющим работу системы. В устройствах на 100 К эммитерно-связанной логике задержка в межсоединениях системы составляет почти 55%. КМОП-структура, считаясь медленной, используется в тактовом генераторе устройств на частоте свыше 100 МГц. В таких случаях проблемой является не только задержка, но и затухание сигнала при использовании биполярных КМОП-структур из-за низких уровней мощности, амплитуды (напряжения), помехоустойчивости.
Настоящий стандарт предназначен для использования разработчиками схем, конструкторами печатных узлов, изготовителями печатных плат и лицами, отвечающими за снабжение, для того чтобы они имели общее представление о каждом направлении деятельности. Цель создания печатного узла состоит в передаче сигнала от компонента к компоненту (одному или нескольким) посредством проводника. Быстродействующие разработки определяются как разработки, в которых свойства соединения заметно влияют на параметры схемы и требуют особенного рассмотрения.
Для применения настоящего стандарта необходимы следующие ссылочные документы. Для датированных ссылок применяют только указанное издание ссылочного документа. Для недатированных ссылок применяют последнее издание ссылочного документа (включая все его изменения).
IEC 61182 (все части) Printed boards - Electronic data description and transfer (Печатные платы. Описание и передача электронных данных)
IEC 61182-1:1994 Printed boards - Electronic data description and transfer - Part 1: Printed board description in digital form (Печатные платы. Описание и передача электронных данных. Часть 1. Описание печатной платы в цифровой форме)
IEC 61189-3:1997 Test methods for electrical materials, interconnection structures and assemblies - Part 3: Test methods for interconnection structures (printed boards) (Методы испытаний электрических материалов, печатных плат и других структур межсоединений и печатных узлов. Часть 3. Методы испытаний материалов для структур межсоединений (печатных плат))
3 Краткий обзор конструкций
Семейства компонентов создаются на основе разных схемотехнических решений таких как ТТЛ, ТТЛ с диодами Шотки, КМОП-структуры, эмиттерно-связанная логика, технология на основе арсенид галлия, в результате чего они обладают специфичным набором требований к мощности, диапазону рабочих температур, плотности упаковки элементов на кристалле, входным сопротивлением и выходным сопротивления, пороговым уровням сигнала, чувствительности к помехам, ко времени срабатывания, и крутизной переднего и спада. Во многих устройствах используют смешанную технологию, когда монтаж на поверхность платы и в отверстия осуществляется с использованием компонентов на основе ТТЛ, КМОП-структуры, эмиттерно-связанной логики. Это может потребовать разной ширины проводников (для обеспечения волнового сопротивления) на одном и том же слое платы или в качестве компромисса одной промежуточной ширины, обеспечивающей допустимое значение для различных семейств логических схем.
Полупроводниковые приборы допускается устанавливать непосредственно на плату или монтировать на промежуточной плате или иной подложке. Крупные изделия могут включать в себя узлы, состоящие из нескольких уровней соединений. Переход от одного уровня межсоединений к последующему будет сопровождаться ухудшением параметров, таких как помехи, временные характеристики, затухание.
При создании электрических соединений применяют широкий набор решений от использования двухрядного расположения штырьковых выводов, устанавливаемых в металлизированные отверстия печатной платы, до группового расположения выводов при поверхностном монтаже. Требования к монтажу компонента зависят от многих факторов, таких как назначение устройства, экономичность, электрические параметры и надежность, а также преобладающий метод монтажа. Компоненты должны быть подготовлены таким образом, чтобы они совмещались с технологиями монтажа, используемыми для изготовления печатного узла.
При проектировании высокочастотных устройств необходимо учитывать особенности монтажа компонентов. В пассивных компонентах главным фактором будет длина выводов, так как они обеспечивают дополнительную индуктивность и емкость, которые влияют на скорость распространения сигнала и нестационарные процессы. Чтобы минимизировать эти явления, выводы должны быть настолько короткие, насколько возможно или удалены вообще. Компоненты поверхностного монтажа имеют безвыводные корпуса, которые могут быть непосредственно установлены на подложку межсоединения.
При проектировании быстродействующих устройств конструкцию корпуса необходимо учитывать. У пассивных элементов доминирующим фактором является длина выводов, так как они вносят дополнительную индуктивность и емкость, которые влияют на скорость распространения и время переключения сигналов. Чтобы минимизировать эти эффекты, необходимо снизить длину выводов или вообще исключить их. Поверхностный монтаж позволяет использовать безвыводные корпуса, которые можно монтировать непосредственно на печатную плату.
Примечание - Технические требования компонента часто не содержат данных по высокочастотным шумам и скорости распространения.
Активные компоненты, такие как интегральные схемы, часто выпускаются в разных корпусах. В общем случае DIP-корпуса или пластмассовые, или керамические являются преобладающими. Они, как правило, наиболее габаритны и из-за конфигурации выводов не приспособлены для высокочастотных разработок. Лучший тип корпуса - корпус для поверхностного монтажа. Их выпускают во многих вариантах корпусов, таких как SOIC, PLCC, PFQP, TSOP, BGA. У этих корпусов, как правило, емкость и индуктивность ниже.
Для обеспечения наибольшего быстродействия бескорпусной полупроводниковый прибор может быть непосредственно установлен на подложке по схеме "чип на плате" или в перевернутом виде по схеме "флип-чип", или методом автоматизированной установки с ленты-носителя. Указанные методы рассматриваются как оптимальная технология, так как она минимизируют емкость и индуктивность вывода.
3.2 Межплатные соединения
3.2.1 Соединители
Межуровневые соединения часто создают проблемы в высокочастотных устройствах, так как не обеспечивается непрерывность среды распространения сигнала. Большинство межплатных соединителей (разъемов) были разработаны без учета высокого быстродействия, что приводит к искажению сигналов. Соединители плат часто рассогласованы с волновым сопротивлением линий на плате.
Существуют два основных подхода по уменьшению неоднородности, вызванной системами соединителей:
a) первый подход заключается в подключении соединителя таким образом, чтобы обеспечить рациональный путь прохождения сигнала. Для однополярных сигналов должна обеспечиваться электромагнитная связь между сигнальным проводником и ближайшей плоскостью опорной цепи (питания или земли). Качество не однополярного сигнала зависит от геометрии и расстояния проводника от опорной цепи, что тем самым определяет волновое сопротивление. Относительное расположение сигнальных и потенциальных контактов влияет на параметры сети. Чтобы оптимизировать эти характеристики, дополнительно к контактам соединителя подводят опорную цепь, тем самым снижая проблемы от перекрестных помех. Как правило, соотношение числа сигнальных выводов к числу выводов опорной цепи 3:1 (т.е. на три сигнальных - один вывод опорной цепи), является достаточным;
b) второй подход заключается в модификации соединителя так, чтобы минимизировать неоднородность. Это достигается сокращением длины штырьковых выводов, добавлением опорного слоя земли внутри соединителя или уменьшением расстояния между платами.
Коаксиальные соединители часто устанавливаются на платы, когда относительно немного линий связи соединены с печатной платой или там, где важны и гальваническая развязка, и стабильность сигнала.
3.2.2 Кабели
Коаксиальные соединители и кабели часто используются, потому что они могут обеспечивать высокую скорость и передачу высокочастотных сигналов на печатную плату с небольшим затуханием сигнала. Имеются четыре области применения, в которых использование кабелей обеспечивает положительный эффект:
- скорость распространения сигнала;
- перекрестные помехи;
- наведенные помехи;
- согласование волновых сопротивлений.
Для устройств, работающих на частоте до 18 ГГц, для объемного монтажа используют коаксиальные кабели. Оптический кабель также используют с платами объемного монтажа для высокочастотных сигналов.
3.3 Печатная плата и печатные узлы
Размещение компонентов - чрезвычайно важный фактор в разработке быстродействующих систем. Последствия неправильной компоновки могут быть существенными и создавать проблемы в следующих областях:
- обеспечение помехоустойчивости;
- обеспечение необходимого уровня волнового сопротивления;
- распределение питания.
3.3.1 Проектирование платы
Количество сигнальных слоев в многослойных платах зависит как от плотности трассировки проводников, так и от уровня перекрестных помех, а также связи между сигнальными линиями. Наличие перекрестной помехи может привести к необходимости добавления слоев или может требовать увеличения расстояния между проводниками, уменьшающее плотность трассировки.
Плотность проводного монтажа в пределах платы будет влиять на перекрестную помеху. Трассировка проводников по диагонали в слоях, где проводники проложены ортогонально (т.е. по направлениям X и Y), позволяет повышать плотность соединений и соответственно обеспечивать более плотное размещение компонентов, и снижать уровень перекрестных помех.
Тесная связь между разработкой и быстродействием существует в случае соединительных линий, предназначенных для передачи высокочастотных цифровых сигналов. Эта взаимозависимость не наблюдалась ранее или могла быть проигнорирована применительно к сигналам с малым быстродействием, однако, для высоких частот налагаются новые правила проектирования и контроля изготовления.
Чтобы соответствовать требованиям высокочастотной цифровой обработки, современная многослойная печатная плата должна:
- сокращать задержку распространения;
- снижать перекрестные помехи и другие вредные проявления;
- сокращать потери при распространении сигнала;
- обеспечивать высокую плотность соединения.
Достижение этих требований начинается с обеспечения конструктором нормированного волнового сопротивления.
Проводники с контролируемым волновым сопротивлением на платах можно использовать для соединения между компонентами. Для данной конструкции волновое сопротивление можно установить за счет толщины диэлектрического основания, толщины проводника, ширины проводника и относительной диэлектрической проницаемости.
Материал платы, следовательно, относительная диэлектрическая проницаемость

, а также ширина проводника определяют условия распространения сигнала и его длительность при данном волновом сопротивлении. Уменьшение

приводит к более быстрому распространению сигнала, но увеличивает ширину проводника для данного значения волнового сопротивления.
При объемном монтаже толщину и ширину проводника определяют проводом. Изоляционный материал провода может обеспечить снижение эффективной диэлектрической проницаемости данной структуры, что приведет к более высокой скорости распространения сигнала на платах объемного монтажа. Проектирование должно быть направлено на определение волнового сопротивления (как линии передачи) и должно установить емкость между проводами и материалом. Путь распространения сигнала должен быть коротким, чтобы минимизировать временные задержки. Даже если бы было возможно сделать схему, способной к переключению на бесконечную скорость, материал межсоединения диктовал бы работу систем.
На рисунке 1 представлен параметр скорости переключения компонента в зависимости от временной задержки в типичном стеклотекстолите, как правило, используемом в изготовлении печатных плат.
Рисунок 1 - Зависимость скорости переключения
от временной задержки
Пространственные ограничения, количество и степень интеграции соединений, распределение питания и стоимость производства - некоторые факторы для рассмотрения. Определяя требования к числу слоев, учитывают толщину диэлектрических слоев, состав, толщину слоев земли и питания, состав диэлектрика, ширину/толщину проводника и полную длину проводника. Ширина и толщина проводника определяют производственные затраты.
3.4 Требования к рабочим характеристикам
Анализ работы соединений следует проводить с позиции теории электромагнитного поля. Высокочастотные компоненты характеризуются коротким временем нарастания импульсов, вид волны которых подобен синусоидальному сигналу при переменном токе. Если время нарастания импульсов уменьшается, частота волны увеличивается, и печатная плата все больше выглядит как высокочастотная схема при переменном токе.
3.4.1 Распределение питания
Для высокочастотных компонентов коммутирующая активность сопровождается соответствующими высокоскоростными требованиями на изменения параметров электрического тока от электропитания. Система питания должна обеспечивать стабильность напряжения при пиковых нагрузках, возникающих при переключении компонентов. Это требование распространяется на разные уровни напряжения системы и обеспечивается низкой индуктивностью и высокой емкостью.
3.4.2 Относительная диэлектрическая проницаемость (диэлектрическая постоянная)
Относительную диэлектрическую проницаемость вещества

определяют как соотношение диэлектрической проницаемости материала к диэлектрической проницаемости свободного пространства, значение которой принимается равным 1,00. Относительную диэлектрическую проницаемость широко используют в технике, несмотря на то, что она меняется в зависимости от нескольких параметров: частоты, на которой проводят измерения, температуры, количества влаги в материале. Кроме того, если материал композитный, например армированный слоистый диэлектрик, значение

может значительно меняться в зависимости от долевого содержания каждой компоненты.
Относительная диэлектрическая проницаемость

диэлектрика структуры межсоединения будет влиять на электрические характеристики. При разработке выбирают значение

, при котором выполняются системные требования к волновому сопротивлению, емкости и времени распространения. При постоянной геометрии проводника время распространения пропорционально

, полное сопротивление - обратно пропорционально

, емкость находится в прямой зависимости от

.
Эффективная относительная диэлектрическая проницаемость

- относительная диэлектрическая проницаемость по длине проводника при передаче сигнала. Значение

может быть получено экспериментально, используя рефлектометрию во временной области - РВО (TDR).
3.4.3 Относительная диэлектрическая проницаемость и ее зависимость от частоты
Значения

и

зависят от количественного соотношения смолы армирующего материала, температуры, содержания влаги и частоты, на которой выполнено измерение. Рекомендуется предпринимать меры для гарантии того, что электрические измерения выполняются при условиях, близких к условиям эксплуатации.
Некоторые материалы, такие как стеклотекстолиты, проявляют зависимость диэлектрических свойств от частоты, на которой проводят измерение. Частоту выбирают таким образом, чтобы полученные результаты в виде диэлектрических параметров можно было использовать для точного прогнозирования электрических характеристик изготовленной печатной платы.
Так как большинство характеристик распространения сигнала на печатной плате определяют измерениями РВО, целесообразно использовать частоту, соответствующую этим измерениям, как частоту для сравнения диэлектрических свойств.
Самую высокую рассматриваемую частоту или ширину полосы BW в ГГц для цифрового импульса вычисляют по формуле:
BW = 0,35/tr,
где tr - время нарастания импульса от 10% до 90% его максимального значения, нс. Таким образом, у импульса РВО (TDR) со временем нарастания 100 нс существует ширина полосы 3,5 ГГц (при прохождении сигнала через адаптер измерителя происходит его некоторое ухудшение, в результате чего получают результаты, заниженные по ширине полосы). Это говорит о том, что те измерения диэлектрических свойств, которые выполняют методами, отличными от РВО (TDR), следует проводить при более высоких частотах.
Уравнение для прогнозирования среднего значения

:
Погрешность три сигмы - +/- 0,35 (8%).
"Три сигмы" на печатной плате при измерении между проводниками составили +/- 0,26 (6%).
Как было ранее заявлено, значение

связано с соотношением смолы и стекла. На рисунке 2 представлено ее усредненное значение.
Рисунок 2 - Зависимость

от частоты
(слоистый материал эпоксидная смола/стекло)
Прогнозирование
Z0 лучше согласуется с измерениями РВО (TDR), если будет использовано значение

равное 4,1, так как испытания РВО (TDR) проводят при очень высоких частотах.
Z0 увеличивается на частотах ниже 1 МГц интенсивнее ожидаемого. Это происходит из-за распространения тока на плоскости опорной цепи.
На
рисунке 2 представлены кривые

, полученные в частотном диапазоне от 100 кГц до 10 ГГц, для слоистого материала типа эпоксидная смола/стекло с соотношением по массе стекла к смоле приблизительно 40:60. Значение

для такого слоистого материала изменяется в указанном частотном диапазоне приблизительно от 4,7 до 4,0. Изменение

происходит преимущественно из-за частотной характеристики смолы; она уменьшается, если доля стекла в составе увеличивается. Кроме того, частотная характеристика изменится при изменении состава смолы. Поставщики материала, как правило, указывают значения диэлектрических свойств, определенных на частоте 1 МГц.
3.4.4 Критическая скорость сигнала
Как правило, свойства линии передачи следует учитывать, когда длина проводника составляет 1/7 длины волны сигнала. Если частота синхроимпульсов системы составляет 300 МГц, длина волны в воздухе составляет приблизительно 1 м. Вообще синхроимпульсы системы - это набор повторяющихся прямоугольных импульсов. Большинство систем связано с цифровой обработкой, когда данные передаются в виде импульсов с крутым фронтом. Поэтому необходимо обеспечивать условия быстрого повышения (или падения) напряжения. Частота и время нарастания сигнала связаны соотношением tr = 0,35/f (tr - время нарастания, нс и f - частота, ГГц).
Таблица 1 показывает времена нарастания сигнала для некоторых семейств интегральных схем.
Таблица 1
Время нарастания сигнала компонента
Семейство компонентов | Время нарастания, нс |
TTL | От 6 до 9 |
Schottky TTL | " 2 " 3 |
ECL | " 0,45 " 0,75 |
GaAs | " 0,05 " 0,20 |
Например, у эмиттерно-связанной логики время нарастания 0,45 нс с соответствующей частотой 0,35/0,45 ГГц или 777 МГц. Используя формулу

(
tpd - временная задержка распространения,
c - скорость света), соотносим результат с длиной волны в воздухе, равной приблизительно 375 мм, в слоистом материале эпоксидная смола/стекло - 190 мм или меньше 100 мм в керамике. Это означает что для печатных плат, изготовленных из слоистого материала эпоксидная смола/стекло, если длина соединения составляет более 250 мм, следует учитывать электромагнитные свойства сигнала и особенности длинных электрических цепей.
Поэтому критическая скорость изменения сигнала - это время фронта/спада сигнала компонента вместо частоты синхроимпульсов.
3.4.5 Емкостная цепь и линия передачи с контролируемым волновым сопротивлением
Проводник может быть представлен как линия передачи или как "емкостная" цепь. Концепция разработки для линий передачи должна обеспечивать известное волновое сопротивление, согласованное с полным сопротивлением нагрузки, чтобы минимизировать отраженные сигналы, вызванные малым временем нарастания импульсов. Концепция для емкостной модели цепи показывает, что цепь требует определенного количества электрического тока, чтобы создавать необходимое изменение напряжения. Критические параметры разработки и требования будут зависеть от того, какая концепция является подходящей.
3.4.5.1 Емкостная цепь
Когда соединение рассматривается как емкостная цепь, время распространения вычисляют из того, что цепь и нагрузки, связанные с ней, являются полностью емкостными. Поскольку отражения на емкостных цепях короткого соединения встречаются несколько раз за время нарастания импульса, чистый результат - это деградация фронта, т.е. его затягивание, что противоположно отчетливым ступенчатым переходам, появляющимся в длинных линиях передачи. Вообще использование уравнения линии передачи дает очень малое время распространения, приводя к неточному результату.
3.4.5.2 Линия передачи с контролируемым волновым сопротивлением
Волновое сопротивление проводника Z0 аналогично сопротивлению постоянного тока (представленному законом Ома как R = U/I). Для быстродействующих цепей волновое сопротивление также рассчитывают, как отношение напряжения к току, который течет по проводнику при заряде элементарных емкостей при распространении фронта волны. Основное различие состоит в том, что в случае высокой частоты, отношение связано с электрическим током за период времени до момента, когда фронт импульса напряжения достигнет следующего компонента.
Волновое сопротивление важно для разработки платы по нескольким причинам.
Согласно представленному выше количество тока, которое нужно элементу схемы (передатчику) для передачи сигнала вдоль пути его распространения, зависит от Z0. Это учитывают в разработке интегральных схем и определяют правила размещения приемников вдоль цепи.
В быстродействующих системах с неоднородностью вдоль пути сигнала возникают отражения.
Отражения не только снижают напряжение сигнала, достигающего приемника, но могут генерировать вдоль линии помехи (шум). Эти отклонения могут вызывать сбой системы из-за отсутствия сигнала (снижение напряжения) или ложные сигналы (помехи).
Поскольку время измерения очень мало, режим переключения не соответствует волновому сопротивлению. Также сопротивление проводника, как правило медного, значительно не влияет на волновое сопротивление. Оба этих эффекта происходят из-за того, что отношение управляющего напряжения к току (U/I = волновое сопротивление) определяется до того, как сигнал достигнет конца цепи.
3.4.6 Полоса пропускания
Из формулы Максвелла можно отметить, что время распространения сигнала, проходящего через проводник в платах дискретного проводного и печатного монтажа, вычисляют по формуле

.
При низких частотах схема распространения сигнала на печатной плате может быть, как правило, представлена в виде емкости параллельно с сопротивлением. Однако с ростом частоты, этот подход моделирования сосредоточенными компонентами не подходит, путь распространения сигнала следует рассматривать как электрическую цепь с распределенными параметрами.
Для межсоединений с контролируемым волновым сопротивлением электрические и диэлектрические свойства материалов платы имеют серьезное значение, большое внимание должно быть уделено разработке конструкции и выбору оконечных нагрузок. Необходимо установить точку, начиная с которой проводники действуют как линии передачи. Анализ должен быть выполнен либо на основе частоты, либо временных факторов. Критической точкой цифровых сигналов является не тактовая частота компонента, а время нарастания импульса, что является ключевым фактором. Тактовая частота - зависимый параметр, так как чем короче время нарастания, тем быстрее компонент может переключаться.
Таблица 2
Типичные данные для некоторых логических семейств
Система логических схем | Время нарастания, нс | Полоса пропускания, МГц | Длина волны |
в вакууме, м | в материале эпоксид/стеклоткань <*>, м | Половина амплитуды импульса в материале эпоксид/стеклоткань <*>, м |
Транзисторно-транзисторная логика (ТТЛ) | 8,0 | 44 | 6,800 | 3,100 | 0,5500 |
Schottky ТТЛ | 3,0 | 120 | 2,500 | 1,200 | 0,2100 |
эмиттерно-связанная логика (ЭСЛ) | 0,6 | 580 | 0,520 | 0,240 | 0,0410 |
GaAs | 0,1 | 3 500 | 0,086 | 0,040 | 0,0069 |
<*> Относительная диэлектрическая проницаемость материала эпоксид/стеклоткань - 4,7. |
Точка, в которой параметры печатной платы значительно затрагивают характеристики передачи распространяющегося импульса, широко известна в пределах сообщества проектировщиков печатных плат как точка сравнения времени нарастания с длиной пути. Для передаваемого импульса предварительно следует определять длину проводника, на которой наступает существенное различие напряжения. Проводники, длиннее этого критического значения расценивают как линии передачи. Если импульс уменьшается на более чем половина своей амплитуды, схему рассматривают как линию передачи. Эта длина важна и для других практических соображений.
Для более длинных линий передачи отражения от несогласованного сопротивления нагрузки могут возвращаться назад к источнику, после того как импульс достигает своего максимального значения и выйдет на плато; суммирование импульсов может привести к ложному срабатыванию компонента. Для более коротких путей отраженные импульсы приходят назад к источнику, прежде чем импульс достигнет значения плато. Поэтому любая модификация формы импульса будет относиться только к фронту импульса, что вряд ли вызовет ложное срабатывание компонента. Значения критической длины приведены в последней колонке
таблицы 2. Следует полагать, что проводники схемы длиннее 60% длины, указанной в последней колонке
таблицы 2, будут расцениваться как линии передачи, что обеспечивает запас работоспособности.
3.4.7 Время распространения сигнала
В быстродействующих системах тактовый цикл, как правило короче времени распространения сигнала от одного компонента до другого. Для обеспечения работоспособности быстродействующей системы приходится учитывать время распространения сигнала. В некоторых случаях ограничение времени распространения может потребовать учета общей длины проводника от источника к нагрузке.
3.4.7.1 Время задержки распространения сигнала
Скорость распространения электромагнитной волны связана с диэлектрической проницаемостью изолирующей среды соотношением

,
где c - скорость света (3·108 м/с);

- относительная диэлектрическая проницаемость изоляционного материала.
Диэлектрическая проницаемость неармированного полиимида равна приблизительно 3,5, стеклотекстолита для печатных плат на основе эпоксидной или полиимидной смолы 4 - 5, композиционной керамики 9 - 10 и кремниевых полупроводниковых пластин приблизительно 15. Чтобы обеспечить скорость переключения быстродействующих компонентов необходимо рассматривать совокупность длинных межслойных соединений.
Вообще для схем ЭСЛ с согласованными линиями передачи скорость распространения изменяется обратно пропорционально квадратному корню емкости линии передачи. Для схем КМОП скорость изменяется обратно пропорционально емкости, когда задержка вызвана сдвигом фазы.
Можно заметить, что время задержки прямо пропорционально квадратному корню из эффективной относительной диэлектрической проницаемости. Чтобы вычислить время распространения сигнала, переданного по определенному проводнику, надо использовать вышеупомянутую формулу и обратиться к
3.4.2, если нужно получить значение для

из известных значений

для окружающих диэлектриков. Для нескольких конфигураций схем приведены формулы в
4.2.
3.4.8 Эффекты нагрузки сигнала
Если проводник соединен с несколькими нагрузками (компонентами), следует рассматривать проблему нагрузки сигнала. Если проводник соединяет несколько нагрузок (компонентов), необходимо рассматривать проблему прохождения сигнала.
При последовательном соединении компонентов и полном сопротивлении нагрузки, близком к волновому или менее, амплитуда сигнала уменьшается соответственно, на каждой нагрузке. Нагрузки с высоким полным сопротивлением по сравнению с волновым сопротивлением линии передачи приведут к меньшему сокращению амплитуды. Согласованная нагрузка в конце линии может потребоваться для предотвращения отражения, способного вызывать ложный импульс (ложное срабатывание). Как правило, подходящей для данного случая является концепция линии передачи (контролируемого волнового сопротивления).
В радиальной схеме каждая ветвь обладает своим волновым сопротивлением и пониженной амплитудой. Как правило, подходящей для данного случая является концепция емкостной линии (управляемой емкости).
3.4.9 Перекрестная помеха
Перекрестная помеха - передача энергии (связность) между проводниками за счет индуктивно-емкостной связи. Энергия от цепи "источника" накладывается на цепь "рецептора" (линия "жертва"), приводя к случайному переключению и сбою. Сигнал при распространении своими электромагнитными полями индуцирует наводки в пассивных проводниках. Ближний конец линии передачи в ссылках относится к источнику сигнала, а дальний конец - к приемнику.
Наведенные сигналы, идущие к дальнему концу, называют передней перекрестной помехой, а наведенные сигналы в пассивной линии, возвращающиеся к ближнему концу, называют "обратной перекрестной помехой".
Емкостная связь формирует сигнал низкого уровня той же полярности и формы, что и активный сигнал, при этом наведенный сигнал может распространяться как от источника к нагрузке, так и от нагрузки к источнику.
Индуктивная связь также вызывает сигналы, направленные в оба конца. Однако сигнал, направленный к нагрузке, инвертирован (противоположная полярность) относительно активного сигнала. Таким образом, составляющая обратной перекрестной помехи индуктивно-емкостной связи - это сумма сигналов, а передней перекрестной помехи - их разность. В результате уровень перекрестной помехи снижается.
Коэффициенты связи перекрестной помехи, приводимые в ссылках различны для передней и обратной помех.
Уровень наведенного сигнала уменьшается при уменьшении длины участков параллельно идущих проводников, увеличении расстояния между проводниками, уменьшении волнового сопротивления линии и увеличении времени нарастания импульса. Параллельная прокладка проводников на значительной длине, размещение их на одном или смежных слоях способствуют перекрестной помехе. Линия "жертва" может также идти параллельно другим линиям передачи на малых расстояниях. Определенная комбинация импульсов и их соотношение во времени на разных линиях могут вызывать сигнал на линии "жертве". Таким образом, требуется, чтобы перекрестная помеха между линиями передачи была ниже определенного уровня.
3.4.9.1 Управление перекрестной помехой
Как правило, перекрестная помеха является проблемой, когда используются быстродействующие компоненты, из-за наличия высокочастотных гармоник. Совместное применение разных семейств логических схем вызывает проблемы из-за наличия разных уровней напряжения, помехоустойчивости и логических уровней. Примером может послужить совместное применение семейств логических схем Schottky ТТЛ и ЭСЛ.
Проблема заключается во взаимодействии сигналов ТТЛ с элементами ЭСЛ. Вследствие того, что диапазон амплитуды семейства ТТЛ составляет 3 В, а у приборов ЭСЛ запас помехоустойчивости только 100 мВ, могут происходить паразитные взаимодействия.
Если используют слои меди, чтобы разделить логические уровни, перекрестная помеха (связь) может возникнуть в цепи земли при возвращении сигнала. Указанное явление называется прямой связью через волновое сопротивление. По существу возвратный сигнал вызывает повышение потенциала земли из-за сопротивления слоя при постоянном токе. Эта проблема может оказаться очень существенной особенно в аналоговой цепи, когда присутствует цифровая логика.
3.4.10 Затухание (ослабление) сигнала
Быстродействующие системы вырабатывают импульс с малым времени нарастания и могут неоднозначно реагировать на импульсы, превышающие максимальное время нарастания. Затухание сигнала увеличивает время нарастания фронта импульса и снижает амплитуду. Ослабление сигнала лучше всего объясняется на примере модели импульса как суммы сигналов разных частот. Высокочастотные составляющие импульса затухают быстрее, чем низкочастотные. Затухание происходит из-за поверхностного эффекта в проводнике (скин-эффекта), а также из-за эффекта рассеяния в диэлектрике.
Сигналы ослабляются сопротивлением меди, используемой для проводников, и потерями в результате скин-эффекта в поверхностном слое меди.
Сопротивление меди может уменьшить устойчивые уровни напряжения до уровня, ниже необходимого для адекватной помехоустойчивости. Это особенно верно для схем ЭСЛ, в которых делитель напряжения формируется согласующим резистором и сопротивлением линии.
Сопротивление постоянному току может быть вычислено, используя удельное сопротивление меди и геометрию проводников. Влияние качества поверхности (скин-эффекта) может быть определено экспериментально или по формуле. При высоком быстродействии ток не проникает в проводник, следовательно, потребность в толстой меди, возможно, не обязательна.
3.4.11 Согласование нагрузки цепей соединений
Согласование нагрузки цепей соединений необходимо для обеспечения целостности сигнала, его синхронизации, величины напряжения источника и приемника сигналов, а также волнового сопротивления. Общие типы согласования нагрузок детализированы в следующих разделах и представлены на рисунке 3.
Рисунок 3 - Согласование нагрузок
При последовательном согласовании в цепь последовательно между источником и нагрузкой включается резистор, чаще всего, чтобы согласовать цепь с источником. Последовательное согласование управляет выбросами, требует только одного компонента и потребляет немного энергии, но может повлиять на время нарастания и спада. Для большего эффекта резистор следует размещать как можно ближе к источнику.
При параллельном согласовании цепь через резистор (шунт) соединяется с землей. Это обычная схема при последовательной коммутации компонентов. Согласующий резистор, как правило, соответствует значению волнового сопротивления цепи соединения и обеспечивает меньшие отражения. Эта конфигурация облегчает трассировку распределенных нагрузок и не ухудшает задержки.
Согласование с применением резистивного делителя (фиксированный уровень) (см.
рисунок 3), который подключают между потенциалом питания и земли в конце цепи. Нет ухудшения задержки, и заданный уровень смещения устанавливается выбором значений резисторов, а переключение происходит в нагрузке. Такое согласование нагрузки потребляет больше энергии, требует для реализации два компонента и смещает уровень переключения для высокого и низкого логического состояний.
Резистивно-емкостное RC согласование нагрузки, называемое сглаживающим RC фильтром, подключают последовательно к источнику напряжения и, как правило, заземляют. Данное согласование нагрузки управляют выбросами и короткими бросками напряжения, не потребляют энергии при постоянном токе, и сглаживают края формы волны. В согласовании участвуют два компонента. Значения резистора и конденсатора должны быть подобраны для каждой цепи согласования.
Диодное согласование нагрузки может быть выведено на питающее напряжение Vcc, на землю, или могут быть использованы оба варианта. К использованию обоих вариантов прибегают в большей степени на нагруженных шинах обмена или чувствительных входах компонента. Основная задача - погасить запредельные отклонения импульсов. Недостаток в том, что оказывается слабое влияние на нормализацию остальных параметров целостности сигнала.
3.4.12 Другие проблемы целостности сигнала
При анализе быстродействующих или высокочастотных схем дополнительно с проблемой целостности сигнала приходится учитывать другие параметры. Некоторые из них - сдвиг фазы, положительный и отрицательный выбросы, эхо-сигнал, запредельный порог срабатывания, наводки с сопутствующим переключением.
Сдвиг фазы - это последствия задержки сигнала, которые могут приводить к нарушению синхронизации работы схемы. Например, в ходе взаимодействия с элементами схемы синхроимпульсы, вырабатываемые генератором тактовой частоты, могут быть сдвинуты во времени. Сдвиг фазы может быть вызван волновым сопротивлением линии, связью проводника с заземлением, изменением электропитания, допусками компонента и емкостью нагрузки входов.
Выброс - результат превышения напряжения свыше Vcc или, если посмотреть с обратной стороны, превышение напряжения в отрицательную сторону ниже потенциала земли. Выброс может быть отрегулирован (учтен) особенностями применения элементной базы, размещения и известных методов согласования.
Эхо сигнал - это эффект роста фронта отраженного сигнала до уровня переключения (порога) логики или выше. Это может быть вызвано несоответствием логических источников и приемников, недостаточных методов согласования и рассогласованием волнового сопротивления цепи соединений с компонентами.
Сбои срабатывания возникают, когда возрастающий фронт импульса не достигает порога напряжения на входе компонента. Маломощные источники или недостаточное согласование нагрузок часто являются причиной, хотя они могут быть вызваны сигналами с большим временем нарастания относительно ширины импульса.
Одновременно переключающиеся выходы могут быть индуктивно соединены между цепью питания Vcc и землей. Это задерживает переключение и может изменить время нарастания и спада. Без точной модели цепи питания Vcc, земли и модели соединений, точное моделирование системы является затруднительным. Организация соединений с низкой индуктивностью посредством использования широких проводников снижает взаимоиндуктивное влияние.
3.4.13 Помехи коммутации
При переключении устройства ток втекает либо вытекает из источника питания по цепям питания или земли. Если у этого тока есть высокочастотные составляющие, индуктивность выводов и соединений становится существенной, приводя к временным или коммутационным помехам.
Эти переходные процессы вызваны индуктивностью контура земля/питание и, следовательно, его рисунок должен быть спроектирован для уменьшения этой индуктивности в максимально возможной степени.
Общая методика по сокращению помех коммутации - это использование конденсаторов развязки, которые обеспечивают питание в точке более близкой к ИС, чем источник тока. Даже когда это условие выполнено, расположение конденсатора является важным фактором. Если выводы конденсаторов излишне длинные, собственная индуктивность становится слишком большой, возникает нежелательное переключение смежных схем.
Развязка на платах, как правило, достигается отдельными конденсаторами, которые могут быть помещены близко к точкам подключения питания и земли компонента.
3.4.14 Другие помехи
У многослойных плат есть преимущества перед двухсторонними платами в том, что слои питания и земли могут быть сплошными слоями металлизации. Следовательно, они предлагают более низкое волновое сопротивление ВЧ паразитным токам и улучшенное распределение тока. Токовая петля значительно сокращается, так как путь ограничен длиной сигнального проводника и слоями питания. Для дальнейшего улучшения многослойных разработок, смежные слои (сигнальные) могут трассироваться ортогонально, таким образом, сокращая перекрестную помеху из-за маленькой области пересечения между проводниками. Слои питания и слои земли будут также служить для изоляции шумов, возникающих от сигнальных проводников, экранируя излучение сплошным слоем металла.
3.4.15 Уровень помехоустойчивости
Уровень помехоустойчивости определяется допустимыми перепадами напряжения переменной и постоянной составляющих тока, при которых еще обеспечивается функционирование устройства в определенных границах. Существует два вида источника помех. Первый вид - помехи уровня питания постоянным током для каждой интегральной схемы. Второй вид - взаимодействия помех логического сигнала компонента, передаваемых переменным током. Каждый логический компонент связан с напряжением и возвратным током по земле. Система распределение мощности имеет конечные перепады напряжения постоянного и переменного токов между электропитанием и компонентом. Также у электропитания есть определенный рабочий допуск. Основные параметры, включенные в запас помехоустойчивости:
a) допуск электропитания;
b) перепады напряжения постоянного тока;
c) групповые скачки переходных процессов;
d) скачок переходных процессов ИС;
e) допуск напряжения входа компонента;
f) заданное напряжение электропитания.
3.5 Распределение мощности
Распределение мощности характеризуется двумя типами проводимости, что определяет и виды потерь: активные (на постоянном токе) и диэлектрические (на переменном).
3.5.1 Распределение мощности при постоянном токе
Система распределения мощности при постоянном токе соединяет выход электропитания с входом каждого компонента. Для систем с большим количеством печатных плат и подводов питания желательно моделирование взаимодействия каждого компонента для того, чтобы проверить работоспособность и оказать помощь при проектировании. Падение напряжения между любыми двумя точками на медном слое определяют произведением значения максимального значения тока нагрузки на сопротивление слоя. При необходимости анализ модели проводят для определения падения напряжения между каждой интегральной схемой.
3.5.2 Распределение мощности при переменном токе
Распределение мощности при переменном токе делится на три основных составляющих. Концепция переменного тока рассматривает распределение электроэнергии по цепям через полное сопротивление.
Первая составляющая - полное сопротивление при переключении. Это полное сопротивление между конденсатором развязки и выводом компонента. Ток при этом имеет самую высокую частотную составляющую.
Вторая составляющая - полное сопротивление при зарядке отдельных конденсаторов развязки интегральных схем. Ток в этом сопротивлении обладает более низкой частотой и более высокой амплитудой, чем ток первой составляющей. Перепад напряжения будет меньше, чем в случае, упомянутом выше, из-за более низкого полного сопротивления, что приводит к более низкой частоте.
Третья составляющая - полное сопротивление повторной зарядки конденсаторов развязки. Ток поступает от источника питания и, как правило, имеет самую низкую частотную составляющую.
Развязка должна обеспечивать достаточное количество электроэнергии для компонентов, поэтому возникают высокие требования к амплитуде тока во время переключения компонента. Система электропитания печатной платы должна обеспечивать ее током, не допуская снижения на входе ИС входного тока ниже необходимого уровня. Если запасенной в блоке питания платы энергии недостаточно, вблизи интегральной схемы (ИС) для ее подпитки током размещаются конденсаторы, подсоединяемые между слоем питания и землей. Конденсаторы обеспечивают зарядный ток компонентам вместо слоев питания. После передачи энергии компонентам, они быстро, до следующего разряда, заряжаются энергией, сохраненной в более медленных конденсаторах.
4 Проектирование цепей с контролируемым волновым сопротивлением
В случаях обработки сигналов на высоких скоростях сигнальные проводники, возможно, придется рассматривать как линии передачи. Это как, минимум, означает определение характеристик волнового сопротивления этих линий. Так как линии передачи должны нагружаться на их собственное волновое сопротивление, проектировщик должен предусматривать согласующие резисторы.
Допуск и значение согласующих резисторов должны быть выбраны так, чтобы соответствовать требованиям производства продукции и проекта. Должны быть учтены следующие факторы:
a) согласующие резисторы (для каждой линии передачи) увеличивают плотность и сложность печатной схемы;
b) размещение должно быть сделано так, чтобы сигналы проходили самый короткий путь от передатчика (источника) до нагрузки (согласование нагрузок);
c) конструкцией печатной платы должен быть предусмотрен контроль волнового сопротивления;
d) минимальное расстояние между компонентами может исключать необходимость контроля волнового сопротивления линий, но, при этом увеличивать плотность проводников.
Размещение быстродействующих компонентов близко друг к другу может сокращать потребность в линиях передачи и уменьшать проблему перекрестных помех. Однако это может привести к проблемам теплового режима и увеличению количества слоев в печатной плате из-за возрастания плотности проводников. Увеличение расстояния сокращает количество возникновения тепловых проблем, но может способствовать возникновению перекрестной помехи и проблемы волнового сопротивления. В быстродействующих конструкциях существует много проблем. Разработчик схемы должен понимать требования системы и оценивать альтернативные варианты, чтобы обеспечивать самое простое, выгодное, надежное решение для удовлетворения этих требований, включая выбор лучшего варианта проводящего рисунка или возможностей платы проводного монтажа (см. также
3.4.5.2 и
3.4.8).
4.1 Обзор схем соединений
Микрополосковая линия передачи состоит из проводника, отделенного от "бесконечной" опорной цепи слоем диэлектрика. В самом простом случае проводник находится на поверхности внешнего слоя, где он окружен воздухом

снаружи, а на основании - твердым диэлектриком.
Плата проводного монтажа - другой пример встроенной микрополосковой конструкции. Объемный проводник встроен в диэлектрик и покрыт более твердым диэлектриком.
Особый случай микрополосковой линии - заглубленная микрополосковая линия, где проводник расположен несколько ниже поверхности платы, и оказывается окруженным твердым диэлектриком. Заглубленная микрополосковая линия имеет единственную опорную цепь, отделенную слоем диэлектрика. Частный вариант заглубленной микрополосковой линии - это когда внешний проводник покрыт материалом паяльной маски на слое 1.
Платы проводного монтажа часто проектируются в виде полосковой линии, у которой один или больше сигнальных слоев проводов запрессованы в твердый диэлектрик между двумя "бесконечными" опорными цепями. Полосковая линия - это проводник, который расположен в твердом диэлектрике между двумя "бесконечными" опорными цепями.
Используют два варианта этого решения: первый, когда линия расположена на равных расстояниях между плоскостями опорных цепей и второй, когда она смещена и влияния базовых плоскостей не равны, а пропорциональны расстояниям.
При проектировании аппаратуры с контролируемой емкостью и волновым сопротивлением используют расчеты, позволяющие прогнозировать емкость проводника и волновое сопротивление. Формулы основаны на эмпирических зависимостях и уникальны для различных конфигураций.
Z0 - волновое сопротивление, Ом;
C0 - емкость на единицу длины, пФ/мм. Конфигурации показаны на
рисунке 4.
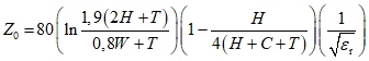
4.2.1 Поверхностная микрополосковая линия
Рисунок 4 - Поверхностная микрополосковая линия

,
где W - ширина проводника, мм;
T - толщина проводника, мм;
H - диэлектрический слой между плоскостью опорной цепи и проводником;

- относительная диэлектрическая проницаемость
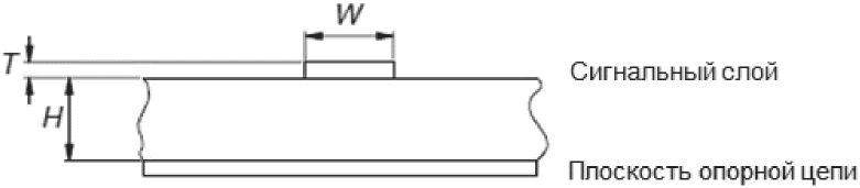
4.2.2 Заглубленная микрополосковая линия
Рисунок 5 - Встроенная микрополосковая линия

;

,
где W - ширина проводника, мм;
T - толщина проводника, мм;
H - диэлектрический слой между плоскостью опорной цепи и проводником;

- относительная диэлектрическая проницаемость (диэлектрическая постоянная).
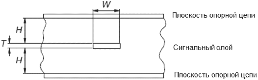
4.2.3 Симметричная полосковая линия
Рисунок 6 - Симметричная полосковая линия

;
где W - ширина проводника, мм;
T - толщина проводника, мм;
H - диэлектрический слой между плоскостью опорной цепи и проводником;

- относительная диэлектрическая проницаемость.
4.2.4 Двойная (асимметричная) полосковая линия
Рисунок 7 - Двойная (асимметричная) полосковая линия

;
где W - ширина проводника, мм;
T - толщина проводника, мм;
C - диэлектрический слой между сигнальными слоями;
H - диэлектрический слой между плоскостью опорной цепи и проводником;

- относительная диэлектрическая проницаемость.
4.2.5 Полосковая проводная линия платы
Рисунок 8 - Полосковая проводная линия

,
где d - диаметр провода, мм;
H - диэлектрический слой между плоскостью опорной цепи и проводником;

- относительная диэлектрическая проницаемость.
4.2.6 Микрополосковая проводная линия платы
Рисунок 9 - Микрополосковая проводная линия

,
где d - диаметр провода, мм;
H - диэлектрический слой между плоскостью опорной цепи и проводником;

- относительная диэлектрическая проницаемость.
4.3 Правила проектирования линий с контролируемым волновым сопротивлением
При проектировании линий с контролируемым волновым сопротивлением учитывают время задержки распространения сигнала, помехи переключения и перекрестные помехи. Часто используют волновое сопротивление в диапазонах 50 - 70 Ом, так как более низкие значения волнового сопротивления могут вызывать чрезмерную перекрестную помеху и увеличивать потребляемую мощность из-за рассогласования нагрузки. Волновые сопротивления в пределах 50 - 70 Ом не только позволяют работать с большими значениями перекрестной помехи, но обеспечивают для схемы более высокую устойчивость к электромагнитным (ЭМ) возмущениям, имеют меньший уровень ЭМ излучений. Полупроводниковые приборы, как правило, имеют значения волнового сопротивления ниже тех, которые требуются для создания рациональных межсоединений платы.
Большие значения волнового сопротивления на плате требуют узких проводников и/или толстого диэлектрика, и для печатных плат быстро достигаются технологические пределы (ширина проводника 0,1 мм, толщина диэлектрика 0,5 мм, и т.д.). Технология проводного монтажа для достижения плотности соединений в пределах физического объема плат является альтернативой. Равномерное (+/- 2,5 мкм) размещение с определенным шагом проводов также обеспечивает постоянное по всей длине волновое сопротивление на всей площади платы.
Необходимое волновое сопротивление линии может быть получено, как функция нескольких параметров:
a) поперечное сечение проводника - уменьшение волнового сопротивления с увеличением ширины линии, более тонкие проводники, в частности на внешних слоях чувствительны к изменениям ширины из-за металлизации и травления, используемых в методе металлизации сквозных отверстий (МСО) двухсторонних и многослойных платах;
b) тип линии - для данной диэлектрической проницаемости

, зазора и ширины проводника волновое сопротивление микрополосковой линии больше, чем полосковой;
c) проницаемость

, относительная диэлектрическая проницаемость - высокое значение проницаемости

, приводит к более низкому значению волнового сопротивления, увеличивая время распространения;
d) толщина диэлектрика между сигналом и землей - волновое сопротивление уменьшается с уменьшением толщины;
e) толщина медного слоя - волновое сопротивление уменьшается при увеличении толщины меди; рекомендуется использование тонкой меди приемлемой для других конструкций;
f) рекомендуется располагать проводники с контролируемым волновым сопротивлением на расстоянии не менее 2,5 мм от края опорной плоскости цепи;
g) рекомендуется избегать размещения контролируемых проводников над пробельными местами в медном слое, если площадь пробелов имеют более 5,0 мм2;
h) рекомендуется критические проводники располагать на внутренних слоях между опорными цепями или в заглубленных внешних слоях;
i) рекомендуется избегать крайностей в конструкции, таких как тонкие проводники или толстая конструкция платы;
j) рекомендуется помещать тест-купоны контроля в область схемы или использовать активные проводники со смежными контрольными точками;
k) рекомендуется обеспечивать данные для технологического оборудования в цифровой форме, а не на пленке;
l) рекомендуется использовать различные коды проводника для каждого значения контролируемого волнового сопротивления на каждом сигнальном слое;
m) рекомендуется учитывать защитные покрытия (т.е. паяльную маску) в конструкции при расчете поверхностной микрополосковой линии;
n) рекомендуется учитывать самые широкие допуски для каждого размера и параметра;
o) рекомендуется предоставлять производителю свободу действий для изменения параметров, чтобы удовлетворить требования определенных допусков.
4.4 Правила контроля перекрестной помехи
Допускается использовать несколько правил для контроля перекрестной помехи. Общие методы сокращения эффектов перекрестной помехи в схемах с высокой плотностью представлены ниже:
a) группировка семейств логических схем зонально. Ограничивать сигнальные проводники для других семейств к этим областям;
b) обеспечивать отдельные пути возвратного тока каждого семейства логических схем, разделять слои питания;
c) размещать компоненты от разъема ввода/вывода в порядке убывания скорости, использовать короткий проводник для высокочастотного ввода/вывода, размещать компоненты в направлении от соединителя в убывающем порядке по быстродействию, для высокочастотных соединителей использовать короткие проводники;
d) согласовывать линии контролируемого волнового сопротивления для уменьшения эффекта отражения;
e) ограничивать использование и длину участков с параллельными проводниками;
f) определять и контролировать зазор между проводниками;
g) размещать компоненты близко друг к другу для минимизации длины проводников и их параллельности;
h) снижать относительную диэлектрическую проницаемость;
i) уменьшать расстояние между сигнальным проводником и землей;
j) изолировать сигнальные слои друг от друга, помещая между ними слои опорных цепей;
k) трассировать смежные сигнальные слои ортогонально;
l) изолировать источники помех, такие как синхрогенераторы, быстродействующие коммуникаторы и быстродействующие шины обмена данными за счет расположения проводников на разных слоях, разделяя слоями питания и/или земли или располагая их в изолированной области платы;
m) увеличивать расстояние между проводниками;
n) уменьшать волновое сопротивление линии;
o) уменьшать уровень сигнала;
p) экранировать сигнальные проводники за счет заполнения зазоров проводниками земли.
4.4.1 Реализация правил контроля перекрестной помехи
Реализация правил контроля перекрестной помехи потребует выполнения следующих условий:
a) увеличение слоев питания и земли;
b) увеличение сложности из-за дополнительных согласующих компонентов и плотного размещения компонентов;
c) выбор критериев трассировки сигнальных проводников.
Эти факторы могут существенно увеличивать сложность и сужать круг доступных технологий печатных плат.
В общем случае плата заполняется компонентами настолько плотно, насколько это возможно, чтобы минимизировать размер платы и сократить время распространения сигнала. В результате проводники располагают близко друг к другу, и, как правило, разработчик вынужден прибегать к использованию многослойных плат, чтобы работать с высокой плотностью межсоединений и пересечений при создании рисунка соединений.
4.5 Правила проектирования купона
Ниже представлены правила проектирования тест-купонов:
a) использовать одну и ту же ширину проводника, толщину меди, толщину диэлектрика и тип диэлектрика, соответствующие плате;
b) в области купона опорные цепи должны быть непрерывны без разрывов, пустот, трещин или прерываний;
c) располагать купоны в зоне средних условий металлизации, прессования и травления;
d) на слое использовать единый номинал контролируемого волнового сопротивления линии передачи;
e) для вытравленного проводника допускается только одно значение контролируемого волнового сопротивления;
f) использовать одни и те же требования к паяльной маске для платы и купона;
g) не допускается наличия никакого проводящего материала в пределах 2,5 мм от купона (другие проводники, заполнение пустот медью, и т.д.);
h) опорные цепи должны быть соединены в области купона и изолированы от остальной области схемы (отделены от питания);
i) все слои должны быть идентифицированы на слое 1 в каждом конце вытравленного проводника;
j) Проводящий рисунок должен находиться на расстоянии более 2,5 мм от испытуемых проводников. Допускается расположение непроводящего рисунка внутри области купона;
k) допускается идентифицировать контрольные точки питания/земли квадратными контактными площадками;
l) тест-купоны контролируемого волнового сопротивления, которые не могут быть разработаны в пределах законченной области схемы, должны иметь достаточную область для нанесения кода изготовителя, даты, серийного номера и номера партии;
m) проводники контролируемого волнового сопротивления в тест-купоне должны быть прямыми, кроме зоны 12,5 мм в области точки тестирования, в которой могут требоваться изгибы;
n) в области купона не допускаются соединения вспомогательных тепловых контактных площадок со слоями питания/земли;
o) если проводники на соседних слоях расположены перпендикулярно друг к другу, рисунок должен быть добавлен к купону, моделирующему пересечения в проводном монтаже. Рисунок проводников должен быть таким же, что и разработанная топология и должен включать пересечения токопроводящих цепей;
p) свободная зона вокруг линии контролируемого волнового сопротивления должна быть 0,25 мм и по длине - 2,5 мм;
q) минимальная длина линии контролируемого волнового сопротивления между двумя точками тестирования должна быть 150 мм;
r) если два проводника параллельны на одном и том же слое тест-купона, минимальное расстояние между их осями симметрии должно составлять 2,5 мм;
s) на каждом конце испытательной линии должны быть точки тестирования и контрольные точки (сквозные металлизированные отверстия (СМО) и контактные площадки).
Пример отдельного теста-купона, выполненного по правилам, указанным выше приведен на рисунке 10.
Рисунок 10 - Тест-купон контролируемого
волнового сопротивления
Рекомендуемый рисунок для испытания линии контролируемого волнового сопротивления приведен на рисунке 11.
Единичный тест-купон волнового сопротивления Схема образца 1A Сигнальная контактная площадка диаметром 2 мм Контактная площадка опорной цепи - квадрат со сторонами 2 мм Освобождение контактной площадки диаметром 2,5 мм Отверстие после покрытия диаметром 1,5 мм | Единичный тест-купон волнового сопротивления Схема образца 2 Сигнальная контактная площадка диаметром 1,5 мм Контактная площадка опорной цепи - квадрат со сторонами 1,5 мм Освобождение контактной площадки диаметром 2 мм Отверстие после покрытия диаметром 1 мм |
Стандартный высокочастотный пробник (пять выводов) | Двухвыводной пробник с шагом 2,5 мм (заказной) |
Единичный тест-купон волнового сопротивления Схема образца 1B Сигнальная контактная площадка диаметром 2 мм Контактная площадка опорной цепи - квадрат со сторонами 2 мм Освобождение контактной площадки диаметром 2,5 мм Отверстие после покрытия диаметром: 1,5 мм | Единичный тест-купон волнового сопротивления Схема образца 3 Сигнальная контактная площадка диаметром 1,5 мм Контактная площадка опорной цепи - квадрат со сторонами 1,5 мм Освобождение контактной площадки диаметром 2 мм Отверстие после покрытия диаметром 1 мм |
Модифицированный высокочастотный пробник (два или три вывода) | Двухвыводной пробник с шагом 2,5 мм (заказной) |
Примечание - Диаметр отверстия после покрытия может отличаться в зависимости от пробника изготовителя. |
| |
Рисунок 11 - Контактные площадки и пробник
для контроля волнового сопротивления на купоне
4.6 Правила конденсаторной развязки
4.6.1 Емкость развязки
Конденсаторы развязки обеспечивают ток компонентам в момент, когда электропитание не успевает отследить изменение тока потребления. Высокочастотное переключение может состоять из широкого спектра частот тока на одном и том же печатном узле, что может потребовать комбинации типов конденсаторов. Единственный номинал конденсатора не может в общем случае обеспечивать такую широкую частоту.
4.6.2 Анализ перезаряда емкости
Перезаряд емкости при переключении обеспечивает очень быструю подачу энергии для заряда выходного каскада компонента во время переключения на выходе. Это, как правило, самая высокочастотная составляющая формы волны, и она требует наименьшего количества энергии. В очень быстродействующих компонентах емкость развязки может быть встроена в корпус, чтобы минимизировать индуктивность выводов между емкостью и компонентом, или расположена поблизости. Если энергии будет недостаточно, время передачи сигнала сократится еще до его выхода из корпуса компонента.
4.6.3 Емкость заряда линии
Емкость заряда линии обеспечивает переключение тока, чтобы зарядить линию передачи после того, как сигнал достигнет линии. Зарядный ток требуется до тех пор, пока линия не достигнет своего статического состояния. Если не обеспечивается достаточно емкости или тока, форма спада ухудшается.
Требуются два типа емкости заряда линии: один для емкостных линий и один для линий передачи. Заряд емкостной линии требует относительно медленного процесса заряда, чем для линии передачи, но при этом должен обеспечивать большую силу электрического тока. Линия передачи требует более медленного, но, как правило, более длинного импульса, чтобы держать линию заряженной, пока закончатся все отражения.
4.6.4 Низкочастотная (сосредоточенная) емкость
Низкочастотную емкость часто называют сосредоточенной емкостью. Эту емкость используют для перезарядки слоев питания и более высокочастотных конденсаторов, а также она обеспечивает переключение тока при низкочастотных требованиях.
4.6.5 Конденсаторная модель
Конденсаторы с более короткими выводами обеспечивают отдачу тока быстрее, потому что индуктивность их выводов гораздо ниже. В высокочастотных проектах замена выводных конденсаторов развязки на безвыводные конденсаторы технологии поверхностного монтажа может значительно улучшить работу схемы.
4.6.6 Правила проектирования конденсаторных развязок:
a) обеспечивать высокую и низкую параллельные двойные конденсаторные схемы для платы, как правило, - электролитический конденсатор с высокой емкостью и керамический или танталовый конденсатор для высокой частоты, расположив их у выводов питания;
b) обеспечивать каждый компонент конденсатором развязки емкостью не менее 0,1 мкФ. Для больших компонентов, требующих повышенного уровня тока, может потребоваться более одного конденсатора;
c) использовать более широкие проводники для соединения с опорными цепями, укорачивая высокочастотную связь. Для развязки при технологии поверхностного монтажа соединять компонент с конденсатором широкими проводниками;
d) использовать короткие или широкие соединения для выводов питания и земли, сокращая индуктивные эффекты;
e) использовать большую площадь поверхности фольги с многократными переходными отверстиями для опорных цепей, уменьшая индуктивные эффекты и обеспечивая большую площадь поверхности, нежели через соединения по краю;
f) разделять использование развязок пропорционально току, поставляемому к компонентам;
g) разделять семейства логических схем по используемым развязкам и слоям питания.
5 Проектирование с учетом технологических требований
5.1 Правила работы в системах автоматизированного проектирования
Проектирование быстродействующих, высокочастотных схем, используя САПР, не отличается значительно от обычного проектирования за исключением того, что ширина проводников, зазор между проводниками, автоматическое заполнение пустот медью, дополнительные внутрисхемные экраны или экраны для улучшения распределения тока при гальванической металлизации могут быть добавлены к базе данных. Ширина проводников определяется для отдельных цепей, чтобы гарантировать, что у этих цепей необходимое волновое сопротивление или емкость.
САПР проводного монтажа обеспечивает трассировку проводов с зазором между проводами, управляемую длину проводов (как узла соединений цепи, так и полной длины соединений цепи), подобранную длину соединений цепи, минимальную общую длину соединений цепи, ортогональную и диагональную трассировки и другие правила, определяемые специальными требованиями к трассировке.
Зазоры между проводниками по всем осям определяют для гарантии того, что цепи соединений имеют необходимый зазор относительно других цепей соединения для минимальных помех и перекрестной помехи.
Автоматический выравниватель металлизации, особенно на внешних слоях, обеспечивает однородную медную топологию так, чтобы травление меди и металлизация равномерно распределялись по длине и ширине проводника.
5.2 Сложность проекта и соотношение со стоимостью
Проектирование быстродействующих или высокочастотных плат может быть очень простым как в отношении полосковой или микрополосковой линии, так и очень сложным в высокоэффективных, многослойных печатных платах.
Относительно источников затрат для плат с контролируемыми волновым сопротивлением и емкостью можно выделить следующее:
a) более жесткий производственный допуск волнового сопротивления/емкости приведет к увеличению стоимости на 10% - 15%;
b) определение параметров, которые вынуждают поставщиков проводить механические и электрические измерения, т.е. толщину диэлектрических слоев и значение волнового сопротивления для этого слоя;
c) обеспечение различных значений волнового сопротивления или емкости для одного и того же слоя. Увеличенное отклонение от нормы и брак будут иметь место, потому что одно и то же значение может быть как приемлемо, так и неприемлемо;
d) запрет изготовителю вносить изменения, которые удовлетворяют технологии изготовителя, но при этом ухудшают характеристики высокочастотных плат, например изменять ширину проводника, диэлектрический слой или выбор материала основания.
Данные должны включать а себя детали конструкции относительно всех слоев, а также данные проектирования САПР. Полная документация на изготовление платы должна включать в себя как номинальные значения, так и допустимые отклонения. Физические параметры так же, как и свойства материала должны быть включены в описание.
6.1 Детали конструкции
Полное описание должно содержать следующие данные, включая как справочные, так и с измеряемыми допусками:
a) ширина проводника со значениями волнового сопротивления и/или емкости линии передачи;
b) толщина проводника;
c) относительная диэлектрическая проницаемость;
d) толщина диэлектрического основания;
e) тип паяльной маски и ее толщина;
f) временная задержка;
g) рисунок слоев (т.е. контрольный чертеж) послойные чертежи (оригинал рисунка печатной платы).
6.1.1 Контролируемая конструкция
Когда физические параметры определены, они управляют структурой платы. Значения наряду с допусками должны включать:
a) послойную толщину диэлектрика;
b) окончательную послойную толщину меди;
c) относительную диэлектрическую проницаемость;
d) тип паяльной маски и ее толщину;
e) ширину проводника и зазор;
f) рисунок слоев (т.е. контрольный чертеж).
Определяя эти параметры, можно управлять параметрами платы и ее работы, что зависит от номинальных параметров и их допусков. Благодаря определению и исполнению приведенных выше параметров, совместно с обычными конструктивными параметрами обеспечиваются допустимые отклонения. Соответствие проверяют статистическим процессом или оценкой физических измерений, а не измерениями электрических показателей. Значения контролируемого волнового сопротивления или значения емкости не являются критериями приемки.
6.1.2 Контролируемые емкость или волновое сопротивление в качестве контроля работоспособности
Контролируемое волновое сопротивление или емкость - это обратная сторона управляемой конструкции, физические значения являются справочными (номинальными), в то время как полученные значения с их допусками измеряются:
a) контролируемое волновое сопротивление в омах или контролируемая емкость в пикофарадах;
b) временная задержка в пикосекундах;
c) рисунок слоев (т.е. контрольный чертеж).
6.2 Разделение данных по классам цепей (помехи, время срабатывания, емкость и волновое сопротивление)
Разделение цепей соединений по классу в списке соединений или в базе данных САПР, может позволить рассматривать определенные проводники независимо от других. Например, к двум проводникам, которые являются "восприимчивыми к помехам" или проводникам, "создающим помехи", могут применяться особенные правила задания зазора. Цепи соединений, используемые для определенного класса логики, например ЭСЛ, могут быть отнесены в определенный сигнальный слой. Для проводников контролируемого волнового сопротивления должен быть определен свой код (ширина проводника), чтобы им могли назначаться определенные значения ширины и они могли бы рассматриваться независимо от других.
Различные САПР и их трассировщики позволяют кодировать или метить цепи соединений, чтобы достигнуть необходимой стратегии трассировки и разделения слоев. Используя особенности системы САПР, проектирование быстродействующих схем может быть улучшено для обеспечения требований проекта.
6.3 Электрические характеристики
Кроме обеспечения эксплуатационных характеристик, конструкции печатных плат должны быть технологичны. Затраты производства гораздо больше, чем очевидные затраты на сырье и монтаж. Поэтому проектировщики должны знать о доступных материалах, их возможностях, характеристиках и допусках и хорошо понимать возможности и допуски технологического процесса, которые влияют на работу и производственную эффективность.
Развитие тесного делового сотрудничества команды конструкторов с изготовителями платы является выгодным, так как позволяет избегать дорогостоящих изменений. Проектирование, основанное на имеющемся опыте, конечно применимо, но оно может исключить некоторые достижения, касающиеся новых материалов и технологий. Рекомендуется развивать сотрудничество между группами, занимающимися материалами и технологиями как внутри, так и вне предприятия.
Электрические параметры должны быть установлены на таком уровне, чтобы достигнутые измеренные значения соответствовали требованиям эксплуатационных характеристик. Так как

меняется в зависимости от частоты, измеренные значения

должны отражать частоту схемы или время нарастания компонентов. Критическая линия синхросигнала должна иметь ограничение длины, совместимое с допустимым искажением. Значения волнового сопротивления должны отражать волновое сопротивление компонентов (микропроцессорный набор), и линии ввода/вывода должны соответствовать волновому сопротивлению системы разъема/кабеля. Уровни помех должны также быть в пределах допустимого запаса помехоустойчивости компонентов.
7.1 Смолы, используемые в конструкции
Смолы, применяемые для слоистых материалов печатных плат, делятся на две основные категории: термореактивную смолу и термопластик. Термореактивные смолы - это поперечно связанные матрицы меньших, полимерных частиц. Полярный характер материалов способствует более высокой относительной диэлектрической проницаемости, тангенсу угла потерь (фактор потерь) и водопоглощению. Поперечная связанная структура термореактивных пластмасс обеспечивает лучшие размерные характеристики и характеристики теплового расширения.
Влагопоглощение является проблемой, потому что относительная диэлектрическая проницаемость воды очень высока (приблизительно 75) по сравнению со свойствами смолы. Относительно небольшие изменения во влажности в окружающей среде могут серьезно повлиять на работу (т.е. емкость) и потребовать строгого контроля над состоянием окружающей среды.
Кроме того, каждая смола имеет свою зависимость относительной диэлектрической проницаемости и потерь от температуры и частоты.
7.2 Армирование
Для улучшения механических и электрических свойств в состав слоистого композиционного материала включают смолы в качестве армирования или наполнителя. Обычный пример - соединение стеклоткани типа E со смолой, чтобы увеличивать стабильность размеров и снижать коэффициент теплового линейного расширения (КТР) по осям X-Y, который может быть недопустимым или нежелательным в неармированной смоле. Наполнители могут быть добавлены, чтобы изменить относительную диэлектрическую проницаемость и/или уменьшить содержание смолы и таким образом сократить полный КТР по осям X, Y и Z.
Толщина армированных стеклотканей, как правило, определяется толщиной слоя армирования плюс смола.
7.3 Препреги, клеящие слои и адгезивы
Имеются термореактивные и термопластичные материалы для многослойных печатных плат. Препреги содержат смолу в стадии B (частично отверделое состояние). Они используются для создания диэлектрической прослойки между слоями и становятся твердыми или отверделыми в процессе прессования. Это обычный метод изготовления многослойных плат.
В других методах диэлектрические прослойки образуются в процессе прессования (наслаивания), когда термопластичный слой, достигая точки расплавления, становится текучим, объединяя (склеивая) слои. В случае технологии гибких печатных плат термопластичная адгезионная пленка и/или адгезионная термореактивная неотверделая пленка формируются на твердом базовом материале.
7.4 Частотная зависимость
Влияние относительной диэлектрической проницаемости на свойства материалов и волновое сопротивление представлено в
3.4.3 и на
рисунке 2. Выводы, представленные в
3.4.3: смола и армирование, используемые для слоистого материала, являются основными факторами в итоговой относительной диэлектрической проницаемости материала. Знание производителя применяемых материалов и допустимые отклонения их основных свойств уже на раннем этапе проектирования позволяют прогнозировать, насколько данная конструкция будет соответствовать требуемым характеристикам.
Общее понимание возможностей технологий изготовления платы и реалистичные достижимые допуски важны для успешного выполнения проектов. Особый интерес представляет влияние процессов и производственных условий на особенности конструкции.
Знание производственных технологий, их возможностей позволяет прогнозировать, насколько данная конструкция будет соответствовать требуемым характеристикам.
В общем случае печатные платы являются компонентами, изготовляемыми на заказ, и не могут рассматриваться как обычные компоненты из каталога. Точно так же и процесс изготовления печатной платы индивидуален для каждого производителя. Поэтому любые комментарии или советы, предоставленные в настоящем стандарте, должны быть изменены, чтобы удовлетворять конкретным условиям.
Необходимо рассмотреть следующие факторы для того, чтобы принять эти данные во внимание:
a) относительная диэлектрическая проницаемость

. Армированные и наполненные материалы являются комбинациями материалов с различной относительной диэлектрической проницаемостью и демонстрируют различные значения, если пропорции комбинации не будут строго контролироваться. Относительная диэлектрическая проницаемость неармированных материалов должна быть инвариантной, поскольку они в общем случае однородные изотропные материалы;
b) диэлектрический слой (толщина). Изменения в проценте содержания смолы будут воздействовать как на толщину, так и на относительную диэлектрическую проницаемость. Однородность толщины среди материалов будет меняться в зависимости от технологии и уровня контроля производственным процессом, используемым изготовителем слоистого материала. На толщину диэлектрика влияет выбор препрега, контактных слоев, пленки, и условий прессования;
c) препрег. Толщина препрега, а следовательно, относительная диэлектрическая проницаемость могут меняться в зависимости от условий прессования. Для вычисления разработчик должен рассмотреть эффективную относительную диэлектрическую проницаемость и толщину препрега после цикла прессования и учесть любые несоответствия относительной диэлектрической проницаемости, которые могут существовать между препрегом и другими слоями;
d) ширина проводника и зазор. Ширина проводника и зазор могут зависеть от проводящего рисунка, метода получения изображения, толщины медной фольги, технологии травления и металлизации;
e) геометрия проводника. На геометрию проводника будут воздействовать техника отображения, очистка, травление и металлизация особенно на внешних слоях, на которых подтрав в толстой фольге с узкими линиями создаст трапециевидные формы сечения.
8.2 Процессы подготовки производства
Основные процессы подготовки производства представлены в следующей блок-схеме:
8.2.1 Проверка проводящего рисунка
Изготовитель может получить проводящий рисунок в одной или двух формах:
a) электронные данные;
b) фотошаблоны, фотоинструменты.
8.2.1.1 Электронные данные
Этот вид данных является предпочтительным; данные могут быть введены с гибкого диска или магнитной ленты, или через модем. Чтобы улучшить качество разработки, правила проектирования, используемые во время разработки проводящего рисунка, могут сравниваться с соответствующими правилами проектирования в основной электронной библиотеке базы данных. Каждый слой будет иметь уникальное обозначение (см. серию IEC 61182).
8.2.1.2 Фотошаблоны
Фотошаблоны, поставляемые как позитивные и/или негативные, сопровождаются соответствующей документацией, т.е. таблицей сверления отверстий и/или лентой, механическими чертежами. Используемый гироскопический материал следует правильно хранить при температуре (23 +/- 2) °C и влажности (45 +/- 5)%.
8.2.2 Формирование панели
На данной стадии располагается и мультиплицируется проводящий рисунок, а также добавляется технологическая рамка (выравниватели металлизации) и тест-купоны.
Электронные данные позволяют манипулировать рисунком, поворачивать и/или зеркально отражать, чтобы улучшить распределение тока, обеспечить связи края с границей панели для обеспечения контакта с рамкой, необходимого для золочения.
8.2.3 Технологическое обеспечение
Технологическая оснастка может включать в себя ленты сверления/трассировки, трафареты и фотошаблоны. Информация может также быть получена из библиотеки электронных файлов данных или может поставляться на магнитных лентах/дисках. Площадь металлизации может быть определена по фотошаблонам или из базы данных.
8.2.4 Рисование
Перед использованием пленка должна быть стабилизирована. Электронные данные панели загружаются в лазерный плоттер, где светочувствительная пленка подвергается световой обработке. Затем пленка проявляется. Эти системы, как правило, автоматизируются при использовании загрузочной кассеты для пленки, которая затем перемещается к автоматическому питателю проявочной машины. Отрисовку на плоттере и обработку, как правило, проводят в контролируемой чистой окружающей среде. Некоторые проводники, находящиеся в критической области, могут потребовать векторного вычерчивания на плоттере вместо использования растровой системы.
8.2.5 Контроль фотошаблона
Все фотошаблоны должны быть проверены до использования. За выполнение этого требования несет ответственность изготовитель для гарантии того, что фотошаблоны производства являются годными для получения конечного продукта. Следующий список определяет некоторые из критериев/параметров, которые должны быть проверены:
a) все слои в наличии;
b) каждый слой уникально идентифицирован;
c) оптическая плотность прозрачных и непрозрачных областей;
d) совмещение и масштаб;
e) четкость рисунка;
f) наличие включений и проколов;
g) соотношение контактной площадки и отверстия;
h) расстояния между проводником и контактной площадкой (ширина промежутка);
i) расстояния между слоями земли и питания.
Вышеупомянутый список не является исчерпывающим, но должен использоваться вместе с техническими требованиями соответствующего клиента.
8.3 Процессы производства
Блок-схема изготовления многослойной печатной платы представлена ниже.
Основные процессы:
8.3.1 Анализ процесса
Использование статистического управления процессом (СУП) выгодно в изготовлении печатных плат. Статистическое управление процессом становится абсолютной потребностью последовательного контроля волнового сопротивления. Индексация возможностей технологического процесса должна быть установлена для всех основных процессов.
8.3.2 Слоистый материал основания, экспонирование и обработка внутренних слоев
Профиль края проводника важен для контроля волнового сопротивления. Остаточный фоторезист недопустим.
8.3.3 Предварительное травление
Влияние на волновое сопротивление подтравливания или недотравливания проводника может отразиться изменением ширины в одной из многих формул расчета волнового сопротивления. Возможности процесса должны быть известны, и определен фактор травления. Изготовитель должен определить пределы своих возможностей, а также конечные пределы ширины проводников для разных номиналов ширины и толщины фольги. Они должны быть установлены для внутренних и внешних слоев.
8.3.4 Автоматизированный оптический контроль
Для печатных плат преимущества автоматического оптического контроля (АОК) являются очевидными. Дефект (сужение) размером 50 мкм в проводнике приемлем для работы на постоянном токе, но может оказаться недопустимым в схеме, работающей при 2 ГГц.
8.3.5 Прессование
Конечная толщина спрессованного основания, содержание смолы и относительная диэлектрическая проницаемость находятся в зависимости от технологии прессования и применяемого оборудования. Изготовитель печатных плат должен подтвердить, что вычисления волнового сопротивления действительны для выбранной технологии прессования и используемых материалов.
8.3.6 Структура отверстия
Диаметр просверленного отверстия и отношение диаметра контактной площадки к диаметру отверстия влияют на волновое сопротивление. Если высокочастотные сигналы проходят через два или больше элемента волнового сопротивления, внутренняя емкость сквозного отверстия будет негативно влиять на измеренное волновое сопротивление. Чтобы уменьшить этот эффект, сквозные отверстия и их контактные площадки должны иметь минимально возможные диаметры, предпочтительно применять несквозные (слепые) отверстия или заполненные смолой. Хотя эти условия, главным образом, являются проблемами конструирования, необходимо установить способность изготовителя их обеспечивать.
8.3.7 Экспонирование и проявление
Хорошая печать и разрешающая способность проявления - очевидная потребность. Может потребоваться использование "точки останова".
8.3.8 Электролитическая металлизация (основной рисунок)
Влияние металлизации на контроль волнового сопротивления всегда зависит от конструкции. Хорошее конструирование должно привести к сбалансированной конструкции с равномерным заполнением проводящим рисунком всей платы. Если конструкция позволяет, необходимо разрешить изготовителю добавить выравниватели металлизации (в пределах области платы). Дополнительная металлизация, приводящая к расширению проводников, является более вредоносной, чем фактическое увеличение толщины проводника, которое становится проблемой только, если ширина проводников уменьшается. Использование металлизации панели или комбинации металлизации панели и рисунка может обеспечить хороший компромисс для некоторых конструкций.
8.3.9 Раздубливание и травление
Дифференциальное травление должно быть ограничено 35 мкм различием толщины меди. Требования определены в
8.3.3.
8.3.10 Паяльная маска
На поверхностных структурах микрополосковой линии с определенным волновым сопротивлением паяльный резист может рассматриваться как граница слоя. Изготовитель печатной платы должен определить и заранее учесть определенные коэффициенты влияния для каждого типа паяльного резиста и предлагаемой толщины. Эти факторы будут зависеть от толщины и диэлектрической проницаемости паяльного резиста.
Конформные покрытия также должны быть учтены.
8.4 Влияние дефектов при высоких частотах
Печатные платы, которые выполняются с контролируемым волновым сопротивлением, должны быть абсолютно без дефектов. Использование статистического управления процессом - это экономическое средство обеспечения слаженного соответствующего продукта.
8.4.1 Медь
8.4.1.1 Общее
Природа и состояние меди (осажденная, прокатанная, отожженная) оказывают влияние на волновое сопротивление. Учитывая "скин-эффект" при более высоких частотах, важна проводимость любого слоя. Относительно гладкая поверхность протянутого провода может обеспечивать более высокое качество работы при более высоких частотах.
8.4.1.2 Конфигурация проводника
Поверхность медного проводника со стороны изоляционной подложки напротив опорной цепи - очень важный параметр. Профиль поперечного сечения (например, трапециевидный для внутренних слоев, подтравленный для внешних слоев) проводника будет влиять на распределение электрического поля вокруг проводника. Изготовители пытаются обеспечить профили как можно ближе к прямоугольному, чтобы улучшить работу.
8.4.1.3 Проколы
Проколы в меди вызовут нетипичные и непредсказуемые отражения. Должны применяться требования
8.4.
8.4.1.4 Нежелательная медь
Включения меди воздействуют на распределение электрического поля проявляясь изменением электрической длины.
8.4.1.5 Толщина меди
Изменение в толщине проводника будет источником нетипичных отражений и изменит волновое сопротивление.
8.4.1.6 Подготовка поверхности
Отклонение от существующей технологии обработки фольги может уменьшить прочность на отрыв, и любое изменение потребует внимательного анализа. Использование фольги с высоким HTE (относительным удлинением при разрыве при высокой температуре) для толстой многослойной платы имеет преимущество по сравнению с малым HTE.
8.4.2 Подложка
8.4.2.1 Общее
Местные и общие дефекты и их влияние должны быть идентифицированы, а в отношении их предпринято действие по устранению дефектов.
8.4.2.2 Относительная диэлектрическая проницаемость
Как правило, определяется при 1 МГц, и твердый основной слоистый материал полностью зависит от отношения армирования к смоле для конкретного состава слоистого материала. Доступны графики, которые экстраполируют относительную диэлектрическую проницаемость по частоте и температуре до 1 ГГц.
Следует отметить, что влияние относительной диэлектрической проницаемости на волновое сопротивление часто завышается. Функция этого параметра во многих доступных математических формулах ограничивает его влияние.
8.4.2.3 Тангенс угла потерь
Диэлектрические потери подложки влияют на ее применение при высоких частотах. Керамический материал имеет высокую относительную диэлектрическую проницаемость, но малые потери делают его пригодным для отдельных применений.
8.4.2.4 Поставка слоистого материала
Поставщики слоистого материала будут постоянно прессовать свою продукцию по одному и тому же стандарту. Любые изменения в типах стеклоткани или системах или типах смолы должны предварительно обсуждаться с изготовителем печатной платы и проектировщиком.
Допуск относительной диэлектрической проницаемости, как правило, находится в пределах +/- 0,15. Допуск по толщине материала - +/- 10%, но повторяемость согласованной структуры может потребовать намного более узких допусков.
8.4.2.5 Препрег
Чтобы управлять расстоянием по оси Z между проводниками, тонкий слоистый материал должен использоваться в предпочтении к препрегу. Там, где используется препрег, нужно отметить, что вытравленные медные проводники впечатаются в препрег во время прессования изготовителем печатной платы.
Это уменьшение толщины спрессованного основания должно быть учтено при вычислении расстояния между проводниками и будет зависеть:
- от ширины проводника;
- от толщины меди;
- от содержания смолы в препреге;
- от типа слоя.
8.4.2.6 Включения
Проводящие включения в слоистом материале нужно рассматривать как "нежелательную" медь.
Непроводящие включения изменят относительную диэлектрическую проницаемость подложки, и их эффект будет зависеть от расположения, размера и протяженности.
8.4.2.7 Пустоты
Этот тип дефекта вместе с расслоением и трещинами изменит относительную диэлектрическую проницаемость в степени, определенной расположением, размером и протяженностью. Этот тип дефекта не будет таким же серьезным как дефект меди подобного размера.
8.4.2.8 Пластичность и содержание смолы
Свойства смолы будут иметь влияние на работу печатной платы. Однажды охарактеризовав, возможно учесть эти свойства. Изготовители материалов подложки испытывают небольшую трудность в производстве однослойной стеклоткани. Более жесткий контроль толщины (10%) может быть достигнут, используя отдельные слои с меньшим количеством смолы в структуре, без ухудшения качества продукта. Хотя не требуется никаких затрат, более высокое соотношение стекло/смола обеспечивает более высокую относительную диэлектрическую проницаемость.
8.5.1 Тип данных САПР
Все данные для проектов плат с контролируемым волновым сопротивлением должны поставляться в цифровой форме. Требуются, как минимум, файлы в формате "Gerber", но файлы в формате IEC 61182-1 являются предпочтительными.
8.5.2 Интерфейс заказчика
Чтобы гарантировать технологичный проект, проектировщики должны с самого начала сотрудничать с изготовителем печатных плат и поставщиком материалов. Все проводники контролируемого волнового сопротивления должны быть идентифицированы, используя отдельные коды апертуры. Параметры и их допустимая степень изменения должны быть определены и согласованы.
8.5.3 Пределы модификации САМ
На рассмотрении.
9 Испытание методом рефлектометрии во временной области (TDR)
Используемый метод испытаний 3E17 - в соответствии с IEC 61189-3.
9.1 Обоснование
9.1.1 Метод выбора TDR
Метод тестирования при помощи рефлектометрии во временной области (TDR) это рекомендуемый метод тестирования печатных плат с контролируемым волновым сопротивлением. Это позволяет измерять изменения волнового сопротивления вдоль линии при тестировании. Импульс с малым временем нарастания моделирует рабочие импульсы быстрой логики в функциональном испытании. Любое отраженное напряжение указывает изменение в волновом сопротивлении и может использоваться для вычисления волнового сопротивления линий.
Анализаторы сети, которые используют при тестирование в частотной области, могут также показать изменения волнового сопротивления вдоль линии, используя методы обработки цифрового сигнала (обратное преобразование Фурье). Эти инструменты являются приемлемой альтернативой TDR, но, как правило, они стоят дороже.
Другие используемые методы, такие как подготовка микрошлифов и тестирование емкости плат, измеряют только некоторые параметры, влияющие на волновое сопротивление платы. Они также не могут показать локальное изменение в волновом сопротивлении длине.
(справочное)
ЕДИНИЦЫ, СИМВОЛЫ И ТЕРМИНОЛОГИЯ
КМП (CMOS) | - | комплементарный металлооксидный полупроводник; |
DIP | - | DIP-корпус; |
ЭСЛ (ECL) | - | эмиттерно-связанная логика; |
ЭМИ (EMI) | - | электромагнитное возмущение; |
FR-4 | - | стеклотекстолит на основе эпоксидной смолы; |
ИС (IC) | - | интегральная схема; |
ТПМ (SMT) | - | технология поверхностного монтажа; |
Tan (~) | - | тангенс угла потерь; |
РВР (TDR): | - | рефлектометрия во временной области; |
Tp | - | полное время задержки распространения линии передачи; |
Tpd | - | время задержки распространения на единицу длины; |
TR | - | 10 - 90% время перехода напряжения (фронт или спад); |
ТТЛ (TTL) | - | транзисторно-транзисторная логика; |
Z0 | - | волновое сопротивление линии (ненагруженной); |
Z0' | - | волновое сопротивление линии (нагруженной); |
| - | относительная диэлектрическая проницаемость; |
| - | эффективная относительная диэлектрическая проницаемость; |
HASL | - | нанесение припоя с применением горячего воздуха; |
(справочное)
СВЕДЕНИЕ О СООТВЕТСТВИИ МЕЖГОСУДАРСТВЕННОГО СТАНДАРТА
ССЫЛОЧНОМУ МЕЖДУНАРОДНОМУ СТАНДАРТУ
Таблица ДА.1
Обозначение и наименование ссылочного международного стандарта | Степень соответствия | Обозначение и наименование соответствующего межгосударственного стандарта |
IEC 61189-3:1997 Методы испытаний электрических материалов, печатных плат и других структур межсоединений и печатных узлов. Часть 3. Методы испытаний материалов для структур межсоединений (печатных плат) | IDT | ГОСТ IEC 61189-3-2013 Методы испытаний электрических материалов, печатных плат и других структур межсоединений и печатных узлов. Часть 3. Методы испытаний материалов для структур межсоединений (печатных плат) |
УДК 621.3.049.75:006.354 | | IDT |
Ключевые слова: волновое сопротивление, печатные платы, перекрестные помехи, уровень помехоустойчивости, травление, тест-купон, эффективная относительная диэлектрическая проницаемость. |