Главная // Актуальные документы // Актуальные документы (обновление 2024.12.02-2025.01.05) // Рекомендация / РекомендацииСПРАВКА
Источник публикации
М.: Стройиздат, 1976
Примечание к документу
Название документа
"Рекомендации по проектированию предварительно-напряженных ригелей с внешним армированием для гражданских каркасных зданий с укрупненной сеткой колонн"
"Рекомендации по проектированию предварительно-напряженных ригелей с внешним армированием для гражданских каркасных зданий с укрупненной сеткой колонн"
ПО ПРОЕКТИРОВАНИЮ ПРЕДВАРИТЕЛЬНО-НАПРЯЖЕННЫХ РИГЕЛЕЙ
С ВНЕШНИМ АРМИРОВАНИЕМ ДЛЯ ГРАЖДАНСКИХ КАРКАСНЫХ ЗДАНИЙ
С УКРУПНЕННОЙ СЕТКОЙ КОЛОНН
Печатается по решению секции конструкций НТС ЦНИИЭП учебных зданий (протокол N 2 от 15 мая 1975 г.)
В Рекомендациях приведены основные положения проектирования балок и ригелей с внешним армированием. Дана характеристика конструктивных особенностей таких конструкций и изложена методика их расчета по прочности, образованию и раскрытию трещин и деформациям.
Книга предназначена для проектировщиков и инженерно-технических работников.
В зданиях различного назначения с укрупненными пролетами и, в частности, в общественных зданиях массового типа с преимущественной высотой этажей 3,3 м по функциональным, экономическим или эстетическим требованиям поперечные сечения балок и ригелей необходимо во многих случаях принимать ограниченных размеров и в первую очередь пониженной высоты, составляющей 1/20 - 1/40 пролета.
Опыт проектирования предварительно-напряженных железобетонных изгибаемых элементов пониженной высоты показал, что требуемая по расчету стержневая арматура, в том числе из стали повышенной прочности, зачастую не может быть размещена в пределах сечения.
Замена железобетонных конструкций стальными, как известно, неэффективна и приводит к значительному расходу стали.
Одним из способов расширения возможностей железобетона, получившим распространение в отечественной и зарубежной практике, является применение внешнего армирования элементов, при котором в качестве арматуры применяется, как правило, листовая, а иногда и профильная сталь, располагаемая на внешних поверхностях балок и ригелей.
Внешняя арматура, в основном, используется для продольного армирования, однако в ряде случаев она может служить и поперечной арматурой.
Анкеровка внешней арматуры в бетоне обеспечивается связями, которые должны воспринять сдвигающие усилия, возникающие при изгибе элемента на внутренней поверхности листа или профиля.
Определенные зоны балок и ригелей с внешним армированием в зависимости от конструктивных, технологических или экономических требований могут иметь только внешнее, только внутреннее (стержневое) или смешанное армирование.
Как показало опытное проектирование, применение внешнего армирования является эффективным средством повышения прочности и жесткости железобетонных изгибаемых элементов пониженной высоты.
По совокупности различных показателей - расходу и степени использования прочности стали, заводской готовности, площади антикоррозионной и огнезащитной изоляции - они более эффективны, чем стальные конструкции аналогичной высоты, прочности и жесткости.
В целом применение балок и ригелей пониженной высоты с внешним армированием позволяет:
более эффективно использовать высокопрочные материалы и в первую очередь цемент, бетон, сталь;
снизить или сохранить типовую высоту помещений при укрупнении сеток колонн;
применить для различных сеток колонн единую высоту балок и ригелей и создать унифицированную каркасную систему, обеспечивающую возможность органического сочетания укрупненных и типовых сеток колонн в зданиях различного назначения при минимальном сортаменте индустриальных изделий;
повысить технический уровень предприятий строительной индустрии в результате перехода на производство однотипных конструкций большой тиражности при значительном сокращении номенклатуры выпускаемых изделий.
Настоящие Рекомендации разработаны с учетом главы
СНиП по проектированию бетонных и железобетонных конструкций ЦНИИЭП учебных зданий Госгражданстроя (инж. Д.М. Лаковский), Проектным институтом N 3 Министерства промышленного строительства СССР (инж. И.Я. Подольский) под руководством д-ра техн. наук проф. Г.И. Бердичевского.
При составлении Рекомендаций использованы также материалы конструкторских разработок, опытного проектирования и лабораторных исследований, выполненных НИИпромстроем Минпромстроя СССР (кандидаты техн. наук Б.Я. Мартьянов и А.Д. Назаров), НИИ бетона и железобетона и ЦНИИпромзданий Госстроя СССР (д-р техн. наук проф. Г.И. Бердичевский, кандидаты техн. наук Ю.В. Дмитриев и А.М. Манькин), Львовским политехническим институтом (канд. техн. наук Ф.Е. Клименко, инж. А.Д. Шеховцев).
1.1. Настоящие Рекомендации распространяются на сборные, сборно-монолитные и монолитные ригели и балки с внешним армированием, применяемые в перекрытиях и покрытиях гражданских зданий при нормальном и сухом температурно-влажностных режимах, неагрессивных средах и отсутствии динамических нагрузок.
1.2. Проектирование конструкций с внешним армированием должно производиться в соответствии с
разделом 1 главы СНиП по проектированию бетонных и железобетонных конструкций, а также с учетом настоящих Рекомендаций.
1.3. Расчет балок и ригелей с внешним армированием должен производиться по несущей способности и деформативности. Расчет по раскрытию трещин производится только для элементов с внутренним или со смешанным армированием растянутой зоны.
Расчетные значения ширины раскрытия трещин и прогибов не должны превышать их предельных величин, приведенных в
табл. 1 и
2 главы СНиП по проектированию бетонных и железобетонных конструкций.
Примечание. Расчет по предельным состояниям второй группы не производится, если на основании опытных данных установлена эксплуатационная пригодность конструкции.
1.4. Расчет статически неопределимых балок и ригелей с внешним армированием рекомендуется производить с учетом перераспределения усилий в соответствии с "
Руководством по расчету статически неопределимых железобетонных конструкций" (НИИЖБ, М., Стройиздат, 1975).
1.5. В конструкциях с внешним армированием должны применяться тяжелые бетоны и бетоны на пористых заполнителях, проектная марка и передаточная прочность которых принимаются не ниже указанных в
разделе 2 главы СНиП по проектированию бетонных и железобетонных конструкций.
1.6. В качестве напрягаемой листовой арматуры рекомендуется преимущественно применять сталь классов С60/45 и С70/60; допускается также использование стали классов С52/40, С46/23, С44/29 и С38/23, если применение более прочных сталей приводит к недоиспользованию их прочностных свойств.
В качестве ненапрягаемой листовой арматуры рекомендуется применять преимущественно сталь классов С46/33 и С52/40; допускается также использование стали классов С38/23 и С44/29.
1.7. Выбор видов и классов стали для внутреннего армирования следует производить в соответствии с
разделом 2 главы СНиП по проектированию бетонных и железобетонных конструкций.
2. КОНСТРУКТИВНЫЕ ОСОБЕННОСТИ БАЛОК И РИГЕЛЕЙ
2.1. В настоящем разделе приводятся рекомендации по выбору вида продольного и поперечного армирования и типа связей.
Продольное и поперечное армирование
2.2. Выбор вида продольного армирования (внешнего, внутреннего или смешанного) для растянутой и сжатой зон
(рис. 1) и расположение арматуры по длине балок и ригелей
(рис. 2) зависит от возможности размещения в пределах бетонного сечения требуемой по расчету стержневой арматуры и производится преимущественно из условия минимального расхода стали.
Рис. 1. Виды продольного армирования элементов с внешней
арматурой (прямоугольное сечение показано условно)
1 - листовая арматура; 2 - стержневая арматура
Рис. 2. Расположение листовой арматуры по длине
балок и ригелей
а - в шарнирно-опертых балках; б - в ригелях рам и балках
с консолями
2.3. Если требуемая по расчету стержневая арматура не может быть размещена в пределах сечения рассматриваемой зоны, рекомендуется применять:
а) в растянутой зоне сборных предварительно-напряженных конструкций - преимущественно смешанное армирование согласно
пп. 2.4 и
2.5; только внешнее армирование в этом случае допускается, если достигается снижение расхода стали по сравнению со смешанным армированием;
б) в сжатой зоне сборных конструкций, в растянутой зоне сборных конструкций без предварительного напряжения и монолитных конструкций - внешнее армирование; допускается также смешанное армирование в соответствии с
п. 2.8.
2.4. В предварительно-напряженных балках и ригелях со смешанным армированием растянутой зоны внутреннюю арматуру рекомендуется принимать из высокопрочной арматурной стали, а внешнюю - из листовой стали, класс которой назначается исходя из полного использования прочности ее сечения, требуемого по условию жесткости.
Во избежание снижения жесткости и трещиностойкости элемента следует, как правило, исключать сопротивление листовой арматуры, расположенной в одной зоне с напрягаемой стержневой арматурой, обжатию бетона. Влияние сжатой (при эксплуатации) листовой арматуры допускается при этом не учитывать. Проектирование таких элементов должно производиться в соответствии с
п. 2.5.
2.5. Сопротивление листовой арматуры обжатию бетона рекомендуется исключать одним из следующих способов изготовления:
а)
одностадийным, при котором листовая арматура подвергается предварительному напряжению усилием, определенным по
формуле (25), и присоединяется к бетону непосредственно в процессе формования
(рис. 3). При отпуске натяжения всей напрягаемой арматуры (стержневой и листовой) листовая укорачивается, не препятствуя обжатию бетона, а после упругого обжатия препятствует деформации ползучести и усадки бетона, тем самым способствуя снижению потерь предварительного напряжения в стержневой арматуре;
б)
двухстадийным, при котором листовая арматура, применяемая как ненапрягаемая, присоединяется к бетону после его обжатия усилием предварительного напряжения в стержневой арматуре
(рис. 4).
Рис. 3. Изготовление элемента одностадийным способом
а - натяжение стержневой и листовой арматуры; б - элемент
после обжатия
Рис. 4. Последовательность изготовления элемента
двухстадийным способом
а - при отпуске натяжения; б - после присоединения
листовой арматуры
2.6. В элементах, спроектированных с соблюдением всех требований по жесткости и трещиностойкости и изготовляемых одностадийным способом, допускается применять ненапрягаемую листовую арматуру.
2.7. Сечение или прочность листовой арматуры в длинномерных балках и ригелях рекомендуется принимать ступенчато-переменной по длине элемента. Сварные соединения листовой арматуры следует проектировать в соответствии с главой
СНиП по проектированию стальных конструкций.
Стыки сжатой листовой арматуры не рекомендуется располагать в зоне максимальных изгибающих моментов.
Место изменения сечения или обрыва листовой арматуры определяется согласно
п. 3.14.
2.8. Листовая арматура на отдельных участках может быть усилена путем приварки к ней с внутренней стороны стержневой арматуры.
2.9. Ширину листовой арматуры рекомендуется назначать равной ширине элемента для использования ее в качестве бортоснастки при формовании элемента.
2.10. При проектировании статически неопределимых балок и ригелей перераспределение усилий рекомендуется назначать таким образом, чтобы сечение листовой арматуры сохранялось постоянным по длине элемента, а недостающая прочность растянутой зоны в пролете и на опорах компенсировалась внутренней арматурой.
2.11. Поперечную арматуру рекомендуется выполнять из стали классов А-II и А-III и использовать одновременно в качестве связей для продольной листовой арматуры.
В отдельных случаях допускается применять в качестве поперечной арматуры листовую сталь, например в монолитных конструкциях, для опалубки или для усиления существующих конструкций.
Анкеровка листовой арматуры
2.12. В качестве связей рекомендуется использовать преимущественно вертикальные стержни поперечного армирования из стали классов А-II и А-III (
рис. 5,
а,
б).
Рис. 5. Виды связей, выполняющих одновременно функции
поперечной арматуры
а, б, в - вертикальные; г, д, е - наклонные
Для удобства сборки арматурных каркасов анкеры верхнего листа должны быть смещены относительно анкеров нижнего листа.
2.13. Если связи растянутого листа выполняют также функции поперечной арматуры и при этом обеспечивается прочность элемента по наклонным сечениям, в качестве связей сжатого листа рекомендуется использовать анкеры, воспринимающие только сдвигающие силы (
рис. 5,
в).
2.14. Наклонные анкеры рекомендуется применять, если устройство вертикальных анкеров не обеспечивает требуемой прочности или жесткости соединения. Анкеры присоединяются к листовой арматуре внахлестку фланговыми швами (
рис. 5,
г,
д), при этом длина швов, определяемая расчетом, должна быть не менее 4
d.
2.15. При двойном листовом армировании наклонные анкеры допускается присоединять к листовой арматуре через промежуточный элемент (
рис. 5,
е), который при расчете может быть учтен как продольная арматура.
2.16. В ригелях рамных каркасов и неразрезных балках допускается в опорной зоне применять наклонные, а в пролете - вертикальные анкеры.
2.17. Жесткие упоры рекомендуется применять, если значительное сдвигающее усилие должно восприниматься на небольшом участке опорной зоны балки, в пределах которого трудно разместить требуемое число анкеров.
На площадке смятия жесткого упора не должно быть выступов, которые могут привести к раскалыванию бетона. При малой ширине балок стенки упора следует располагать на их боковых гранях (
рис. 6,
а), а при большой ширине - согласно
рис. 6,
б.
Рис. 6. Общий вид жестких упоров
а - при малой ширине балок; б - при большой ширине балок
При применении напрягаемой листовой арматуры жесткие упоры могут быть использованы также для передачи усилия обжатия на бетон.
2.18. При обрыве ненапрягаемой листовой арматуры в пролете дополнительная анкеровка ее может быть осуществлена приваркой продольной стержневой арматуры (
рис. 7).
Рис. 7. Анкеровка листовой арматуры
2.19. Анкеры, воспринимающие только сдвигающие усилия, следует применять преимущественно для зон сечения, в которых поперечная арматура отсутствует. Например, в полках, высота которых недостаточна для нормальной анкеровки стержней, следует применять вертикальные короткие анкеры с высаженной головкой, наклонные петлевые или касательные анкеры
(рис. 8).
Рис. 8. Виды связей, устанавливаемых в полках элементов
а - вертикальные короткие анкеры с высаженной головкой;
б - наклонные петлевые анкеры; в - касательные анкеры
3.1. В настоящем разделе приводятся рекомендации по расчету прочности сечений, нормальных и наклонных к продольной оси элемента, на действие изгибающего момента; по определению сдвигающих усилий, действующих на связи, и по расчету связей.
3.2. Расчет прочности наклонных сечений на действие поперечной силы и пространственных сечений при наличии крутящих моментов, а также проверку прочности на местное действие нагрузки следует производить в соответствии с
разделом 3 главы СНиП по проектированию бетонных и железобетонных конструкций.
Расчет прочности сечений нормальных
к продольной оси элемента
3.3. Усилия в стержневой арматуре и бетоне определяются в соответствии с главой
СНиП по проектированию бетонных и железобетонных конструкций.
Расчетные сопротивления листовой арматуры растяжению
Rл и сжатию
Rл.с принимаются по
табл. 2 главы СНиП по проектированию стальных конструкций, при этом для ненапрягаемой арматуры
Rл.с не более 4000 кг/см
2, для напрягаемой вместо
Rл.с напряжение

(где

- предварительное напряжение с учетом всех потерь, соответствующих рассматриваемой стадии работы, при коэффициенте точности натяжения, большем единицы. Значение

не должно превышать значений
Rл.с).
3.4. Расчет нормальных сечений по прочности
(рис. 9) должен производиться в зависимости от соотношения между величиной относительной высоты сжатой зоны

, определяемой из условия равновесия, и граничным значением относительной высоты сжатой зоны

, при котором предельное состояние элемента наступает одновременно с достижением в растянутой арматуре напряжений, равных расчетным сопротивлениям стержневой
Rн и
Rа и листовой арматуры
Rл.
Рис. 9. Схема усилий в поперечном сечении изгибаемого
элемента с внешним листовым армированием при его расчете
по прочности
При этом высота сжатой зоны
x не должна превышать предельной величины

, где
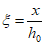
h0 - рабочая высота сечения.
3.5. Граничное значение относительной высоты сжатой зоны бетона

и значение коэффициента
Aгр при внешнем или смешанном армировании растянутой зоны рекомендуется определять по
табл. 1.
Класс стали | Значения  и Aгр при проектной марке бетона  |
300 | 400 | 500 | 600 |
| Aгр | | Aгр | | Aгр | | Aгр |
С38/23 | 0,70 | 0,455 | 0,70 | 0,455 | 0,64 | 0,435 | 0,59 | 0,416 |
С44/29 | 0,70 | 0,455 | 0,68 | 0,449 | 0,62 | 0,428 | 0,57 | 0,408 |
С46/33 | 0,70 | 0,455 | 0,66 | 0,442 | 0,60 | 0,420 | 0,55 | 0,399 |
С52/40 | 0,67 | 0,446 | 0,63 | 0,432 | 0,57 | 0,408 | 0,53 | 0,390 |
С60/45 | 0,65 | 0,439 | 0,61 | 0,424 | 0,55 | 0,399 | 0,51 | 0,380 |
С70/60 | 0,62 | 0,428 | 0,58 | 0,412 | 0,53 | 0,390 | 0,49 | 0,370 |
При внутреннем армировании растянутой зоны определение

и расчет сечения должны производиться в соответствии с
разделом 3 главы СНиП по проектированию бетонных и железобетонных конструкций.
3.6. Рабочую высоту сечения h0 следует определять по формулам:

(1)
Nл = FлRл; Nн = FнRн; Nа = FаRа; (2)

(3)
где Nл, Nн, Nа - расчетные растягивающие усилия, воспринимаемые соответственно листовой и стержневой (напрягаемой и ненапрягаемой) арматурой;

- суммарное расчетное усилие, воспринимаемое всей растянутой арматурой;
hл, hн, hа - расстояние от крайнего сжатого волокна до центра тяжести соответственно листовой и стержневой (напрягаемой и ненапрягаемой) арматуры;
Fл, Fн, Fа - соответственно площадь растянутой листовой и стержневой (напрягаемой и ненапрягаемой) арматуры.
3.7. Расчет прочности нормальных сечений
(рис. 10) должен производиться:
Рис. 10. К определению сжатой зоны изгибаемых элементов
с внешним армированием при различных формах
поперечного сечения
а - прямоугольной; б - тавровой с полкой в сжатой
зоне при расположении нейтральной линии в полке;
в - тавровой с полкой в сжатой зоне при расположении
нейтральной линии в ребре
а) при

из условия

(4)

(6)

(7)
где M - расчетный изгибающий момент в поперечном сечении элемента;

,

,

- расчетные сжимающие усилия, воспринимаемые соответственно листовой и стержневой (напрягаемой и ненапрягаемой) арматурой;

- суммарное расчетное усилие, воспринимаемое всей сжатой арматурой;
Nб - расчетное усилие, воспринимаемое сжатым бетоном;

,

,

- соответственно площадь сжатой листовой и стержневой (напрягаемой и ненапрягаемой) арматуры;

- расстояние от центра тяжести сжатого бетона до верхней грани элемента, определяемое по формулам, приведенным в
табл. 2.
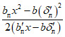
Форма сечения сжатой зоны | Формулы для определения x и  |
общий случай | при  | при  |
| x | | | - |
| | | - |
| x | | | |
| | | |
| x | | | |
| | | |
где aн - расстояние от равнодействующей усилий в арматуре Fн до ближайшей грани сечения;

- расстояние от равнодействующей усилий в арматуре

до ближайшей грани сечения;
Rпр - расчетное сопротивление бетона осевому сжатию;
b - ширина прямоугольного сечения, ширина ребра таврового и двутаврового сечений;
bп и

- ширина полки таврового и двутаврового сечения соответственно в растянутой и сжатой зоне;
h - высота прямоугольного, таврового и двутаврового сечений;
hп и

- высота полки таврового и двутаврового сечений соответственно в растянутой и сжатой зоне;

- ширина сжатой листовой арматуры;

и

- площадь сечения и толщина сжатой листовой арматуры.
3.8. Для сечений, имеющих полку в сжатой зоне, выбор расчетных формул производится по
табл. 2 в зависимости от положения границы сжатой зоны, определяемого по условию

(8)
Если
условие (8) соблюдается, граница сжатой зоны расположена в полке

; если
условие (8) не соблюдается, граница сжатой зоны расположена в ребре

.
3.9. Расчетное значение ширины сжатой полки

определяется в соответствии с
п. 3.18 главы СНиП по проектированию бетонных и железобетонных конструкций.
3.10. Подбор продольной арматуры при листовом или при стержневом армировании должен производиться в соответствии с главой
СНиП по проектированию бетонных и железобетонных конструкций.
При смешанном армировании необходимо предварительно определить суммарные усилия, соответственно, в растянутой

и сжатой

арматуре; подбор стержневой и листовой арматуры должен производиться в соответствии с рекомендациями
раздела 2.
Расчет прочности сечений, наклонных к продольной оси
элемента, на действие изгибающего момента
3.11. Расчет наклонных сечений на действие изгибающего момента
(рис. 11) производится из условия

(9)
где M - момент всех внешних сил, действующих по одну сторону от рассматриваемого наклонного сечения относительно оси, проходящей через точку приложения равнодействующей усилий в сжатой зоне и перпендикулярной плоскости действия момента;
Nлzл,
Nнzн,
Nаzа,

,

- сумма моментов относительно указанной оси соответственно от усилий в продольной арматуре - листовой и стержневой (напрягаемой и ненапрягаемой), в отогнутой (или наклонной) и поперечной арматуре, пересекающей растянутую зону наклонного сечения;
zл, zн, zа, z0, zx - расстояние от плоскостей расположения соответственно продольной - листовой и стержневой (напрягаемой и ненапрягаемой), отогнутой или наклонной и поперечной арматуры до указанной оси.
3.12. Усилия
Nл и

, воспринимаемые листовой арматурой, определяются прочностью связей, расположенных между наклонным сечением и торцом элемента, и силой трения, возникающей между листом и бетоном на этом участке элемента, и вычисляются по формулам:

(10)

(11)
где

и

- сумма сдвигающих усилий, воспринимаемых связями, расположенными между наклонным сечением и торцом элемента;
Tу - сдвигающее усилие, воспринимаемое жестким упором и определяемое по
формуле (23);
Tт - сила трения между листовой арматурой и бетоном на рассматриваемом участке.
Рис. 11. Схема усилий в наклонном сечении при расчете
его по прочности на действие изгибающего момента
для элементов
а - без жестких упоров; б - с жесткими упорами
Расчетное сопротивление продольной стержневой арматуры принимается в соответствии с
поз. 3 табл. 24 главы СНиП по проектированию бетонных и железобетонных конструкций.
3.13. Вертикальная проекция высоты сжатой зоны в наклонном сечении определяется из условия равновесия проекций усилий в бетоне и арматуре наклонного сечения на продольную ось элемента по формулам, приведенным в
табл. 2 настоящих Рекомендаций с учетом
п. 3.12.
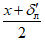
3.14. В элементах постоянной высоты место изменения сечения или обрыва листовой арматуры
(рис. 12) должно располагаться за точкой теоретического обрыва на расстоянии
W, определяемом по формуле

(12)
где Q - поперечная сила в нормальном сечении, проходящем через точку теоретического изменения сечения или места обрыва листовой арматуры;
F0 и

- соответственно площадь сечения и угол наклона отогнутой или наклонной арматуры, пересекающей рассматриваемое нормальное сечение;
qхw - усилие в хомутах на единицу длины элемента на рассматриваемом участке
W, определяемое в соответствии с
п. 3.40 главы СНиП по проектированию бетонных и железобетонных конструкций.
Рис. 12. Виды эффективного внешнего продольного армирования
а - изменение поперечного сечения листовой арматуры
в пролете; б - обрыв листовой арматуры в пролете; 1 - место
теоретического изменения поперечного сечения листовой
арматуры; 2 - эпюра изгибающих моментов
Определение сдвигающих усилий, действующих на связи,
соединяющие листовую арматуру с бетоном, и расчет
прочности связей
3.15. Сдвигающие усилия, действующие на связи, должны определяться из условия равновесия нормальных усилий в поперечном сечении листовой арматуры и сдвигающих усилий на поверхности ее контакта с бетоном. В общем случае суммарное сдвигающее усилие в связях в пределах какого-либо участка по длине элемента
(рис. 13) определяется по формуле
где Ti - сдвигающее усилие, действующее на связи, расположенные в пределах рассматриваемого участка длиной a;
Nл(i+1) и Nлi - нормальные усилия в поперечном сечении листовой арматуры на границах рассматриваемого участка элемента.
Рис. 13. К определению сдвигающих усилий
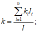
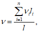
3.16. Для элементов постоянной высоты при листовом армировании постоянного сечения по всей длине элемента сдвигающие усилия в пределах участка с постоянной прочностью связей должны определяться по формуле
где
ti - коэффициент, учитывающий характер распределения сдвигающих усилий по длине элемента в зависимости от числа участков с различной прочностью связей и определяемый по
табл. 3;
i - порядковый номер участка с постоянной прочностью связей.
N п.п. | Схема загружения элемента и схема участка с постоянной прочностью связей | Значения коэффициента ti для участков |
1 | 2 | 3 |
1 | | 0,75 | 0,25 | - |
0,55 | 0,34 | 0,11 |
2 | | 0,61 | 0,34 | Анкеры принимаются конструктивно |
0,84 | 0,28 | - |
3 | | 0,75 | 0,25 | - |
4 | | | Анкеры принимаются конструктивно | - |
| | - |
5 | | l/4a | | |
1 | 1 | - |
6 | | 1 | 1 | - |
Если площадь сечения листовой арматуры принята больше требуемой по расчету нормального или наклонного сечений
Fтр, в
формуле (14) вместо
Fл следует принять

.
3.17. При изменении сечения листовой арматуры по длине элемента сдвигающие усилия в пределах рассматриваемых участков
(рис. 14) определяются по формулам:
T1 = Nл1; T2 = Nл2 - Nл1; T3 = Nл3 - Nл2. (15)
Рис. 14. Схема нормальных и сдвигающих усилий
в листовой арматуре переменного сечения
3.18. Если к листовой арматуре в месте ее обрыва присоединена стержневая арматура
(рис. 15), сдвигающие усилия, которые должны быть восприняты связями, определяются по формуле
Рис. 15. К определению сдвигающих усилий
при обрыве листовой арматуры в пролете
3.19. При усилении листовой арматуры стержневой арматурой
(рис. 16) сдвигающие усилия должны определяться только по усилию в листовой арматуре
T =
RлFл.
Рис. 16. К определению сдвигающих усилий
при усилении листовой арматуры стержневой арматурой
3.20. Сдвигающие усилия, определенные по
формулам (13) -
(16), допускается уменьшать на величину силы трения между листовой арматурой и бетоном, вызванной вертикальными нагрузками и опорными реакциями, если они передаются непосредственно через листовую арматуру.
Характер распределения сил трения по длине элемента должен приниматься аналогично характеру распределения, вызвавших их внешних нагрузок или усилий.
3.21. Расчет связей должен производиться на действие сдвигающей силы в предположении равномерного распределения суммарного сдвигающего усилия, определенного в соответствии с
пп. 3.15 -
3.20 между связями, расположенными в пределах рассматриваемого участка элемента.
Сцепление листовой арматуры с бетоном при расчете связей не учитывается.
При выполнении анкерами также функций поперечной арматуры площадь их сечения должна приниматься по большему из значений, полученных по расчету прочности наклонного сечения на поперечную силу и прочности связи на сдвигающие усилия.
3.22. Сдвигающее усилие
Tа, воспринимаемое вертикальным анкером, определяется из условия
Tа = kk1RаFа, (17)
где Fа - площадь сечения анкера;
k - коэффициент, определяемый по
формуле (112) главы СНиП по проектированию бетонных и железобетонных конструкций;
k1 - коэффициент, принимаемый для анкеров, воспринимающих только сдвигающие усилия, равным 1, а для анкеров, выполняющих также и функции поперечной арматуры, равным 1,3.
Значения
Tа для вертикальных анкеров из стали классов А-II, и А-III при бетонах марки М200 - М500 приведены в
табл. 4.
Таблица 4
Диаметр анкера в мм | Класс стали | Марка бетона |
200 | 300 | 400 | 500 |
8 | А-II | 0,08 -------- 1,04 | 0,09 -------- 1,12 | 0,93 -------- 1,21 | 0,93 -------- 1,21 |
А-III | 0,86 -------- 1,12 | 0,93 -------- 1,21 | 1,06 -------- 1,39 | 1,12 -------- 1,46 |
10 | А-II | 1,22 -------- 1,58 | 1,28 -------- 1,67 | 1,44 -------- 1,87 | 1,44 -------- 1,87 |
А-III | 1,3 -------- 1,69 | 1,42 -------- 1,85 | 1,60 -------- 2,05 | 1,72 -------- 2,24 |
12 | А-II | 1,63 -------- 2,10 | 1,78 -------- 2,31 | 2,05 -------- 2,66 | 2,07 -------- 2,70 |
А-III | 1,76 -------- 2,40 | 1,91 -------- 2,48 | 2,24 -------- 2,91 | 2,36 -------- 3,08 |
14 | А-II | 2,10 -------- 2,72 | 2,30 -------- 2,82 | 2,62 -------- 3,40 | 2,82 -------- 3,70 |
А-III | 2,29 -------- 2,98 | 2,50 -------- 3,24 | 2,84 -------- 3,68 | 3,04 -------- 3,76 |
16 | А-II | 2,62 -------- 3,41 | 2,84 -------- 3,70 | 3,26 -------- 4,22 | 3,46 -------- 4,50 |
А-III | 2,80 -------- 3,64 | 3,06 -------- 3,97 | 3,51 -------- 4,56 | 3,76 -------- 4,90 |
18 | А-II | 3,13 -------- 4,05 | 3,38 -------- 4,40 | 3,86 -------- 5,0 | 4,10 -------- 5,35 |
А-III | 3,38 -------- 4,40 | 3,62 -------- 4,75 | 4,18 -------- 5,42 | 4,42 -------- 5,75 |
20 | А-II | 3,62 -------- 4,70 | 3,96 -------- 5,15 | 4,55 -------- 5,9 | 4,71 -------- 6,32 |
А-III | 3,90 -------- 5,05 | 4,18 -------- 5,45 | 4,87 -------- 6,34 | 5,20 -------- 6,76 |
22 | А-II | 4,10 -------- 5,32 | 4,40 -------- 5,70 | 5,08 -------- 6,60 | 5,47 -------- 7,10 |
А-III | 4,47 -------- 5,8 | 4,80 -------- 6,25 | 5,55 -------- 7,20 | 5,90 -------- 7,65 |
25 | А-II | 4,75 -------- 6,15 | 5,15 -------- 6,70 | 5,92 -------- 7,70 | 6,45 -------- 8,40 |
А-III | 5,17 -------- 6,70 | 5,60 -------- 7,30 | 6,55 -------- 8,50 | 6,85 -------- 8,90 |
Примечание. В числителе приведены данные для анкеров, воспринимающих только сдвигающие усилия; в знаменателе для анкеров, выполняющих также функции поперечной арматуры.
Отношение толщины листа и диаметра анкера должно удовлетворять
условию (114) и
поз. 11 приложения 5 главы СНиП по проектированию бетонных и железобетонных конструкций.
3.23. Сдвигающее усилие, воспринимаемое наклонным анкером или одной ветвью петлевого анкера Tа, определяется из условия

(18)
и принимается не более величины, равной

(19)
где

- угол наклона анкера к поверхности листовой арматуры;
d - диаметр анкера в см.
Расстояние между ветвями петлевого анкера bп определяется из условия

(20)
3.24. Расчет коротких анкеров с высаженными головками должен выполняться:
при

по формуле

(21)
при

по формуле

(22)
где hу - длина анкера, включая головку, в см.
3.25. Расчет жестких упоров должен производиться в соответствии с главой СНиП по проектированию стальных конструкций на усилие Tу, определяемое по формуле
где Fсм - площадь поверхности смятия бетона упором.
3.26. При проектировании петлевых анкеров, коротких анкеров с высаженными головками и жестких упоров следует руководствоваться "Техническими указаниями по проектированию сталежелезобетонных пролетных строений" (ВСН 92-63) (Оргтрансстрой, 1963).
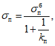
3.27. Устойчивость сжатой листовой арматуры должна обеспечиваться связями, присоединяющими ее к бетону. При этом критические напряжения в сжатой листовой арматуре

должны приниматься равными пределу текучести

.
Максимальное расстояние между связями по длине элемента uмакс рекомендуется определять из условия

(24)
где

- толщина сжатой листовой арматуры в см;
c - коэффициент, принимаемый в зависимости от класса листовой стали по
табл. 5.
Таблица 5
Класс стали | С38/23 | С44/29 | С46/33 | С52/40 | С60/45 | С70/60 |
Коэффициент c | 17 | 15,8 | 15,4 | 14,6 | 13,5 | 12,6 |
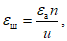
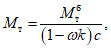
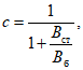
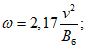
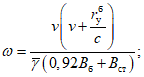
4. ОПРЕДЕЛЕНИЕ УСИЛИЙ ПРЕДВАРИТЕЛЬНОГО НАПРЯЖЕНИЯ
4.1. Величину предварительного напряжения внутренней арматуры следует назначать в соответствии с
пп. 1.24 -
1.30 главы СНиП по проектированию бетонных и железобетонных конструкций.
4.2. Величину предварительного напряжения листовой арматуры

рекомендуется назначать:
а) для элементов с листовым армированием только растянутой зоны как для стержневой арматуры аналогичной прочности согласно
п. 4.1;
б) для элементов со смешанным армированием растянутой зоны, изготовленных одностадийным способом, согласно
п. 2.5, а, по формуле

(25)
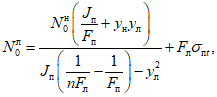
где

- усилие предварительного напряжения стержневой арматуры с учетом первых потерь;
Fп, Jп - соответственно площадь и момент инерции приведенного сечения элемента;
yн, yл - расстояние от центра тяжести приведенного сечения элемента до центров тяжести соответственно стержневой и листовой арматуры;

- потери предварительного напряжения от температурного перепада, определяемые по
табл. 4 главы СНиП по проектированию бетонных и железобетонных конструкций;
n - отношение модулей упругости стали Eа и бетона на Eб;
в) для элементов со смешанным армированием растянутой зоны, изготовленных двухстадийным способом, равным фиктивному усилию

, вычисляемому по
формуле (25); при определении приведенных геометрических характеристик сечения элемента без учета растянутой листовой арматуры

принимается равным нулю.
4.3. Напряжения обжатия бетона

определяются на уровне крайнего сжатого волокна с учетом коэффициента точности натяжения
mт, большего единицы, по формуле

(26)
где

- толщина листовой арматуры в растянутой зоне.
Примечание. Знак "+" принимается по ширине листовой арматуры меньшей ширины полки или ребра обжатого бетона. Значения

не должны превышать величин, указанных в
табл. 6 главы СНиП по проектированию бетонных и железобетонных конструкций.
4.4. Потери предварительного напряжения до обжатия бетона должны определяться для всех типов элементов с внешним армированием в соответствии с
п. 1.26 и
табл. 4 главы СНиП по проектированию бетонных и железобетонных конструкций.
4.5. Потери предварительного напряжения после обжатия бетона должны определяться в зависимости от типа армирования элемента и от способа его изготовления в соответствии с
пп. 4.6 -
4.9.
| | ИС МЕГАНОРМ: примечание. В официальном тексте документа, видимо, допущена опечатка: подпункт б в пункте 1.2 главы СНиП по проектированию бетонных и железобетонных конструкций отсутствует. | |
4.6. Для элементов с напрягаемой листовой арматурой и для элементов с напрягаемой стержневой арматурой при отсутствии в зоне обжатия листовой арматуры потери, происходящие после обжатия бетона, определяются как для железобетонного элемента согласно
п. 1.2, б и
табл. 4 главы СНиП по проектированию бетонных и железобетонных конструкций.
4.7. Для элементов с напрягаемой листовой и стержневой арматурой в растянутой зоне, изготовленных одностадийным способом, потери предварительного напряжения в стержневой арматуре от быстронатекающей ползучести, усадки и ползучести бетона

определяются по формуле

(27)
где

- потери предварительного напряжения в стержневой арматуре от предварительного напряжения быстронатекающей ползучести, усадки и ползучести бетона без учета влияния листовой арматуры, определяемые по
табл. 4 главы СНиП по проектированию бетонных и железобетонных конструкций, в зависимости от напряжений в бетоне на уровне центра тяжести стержневой арматуры;
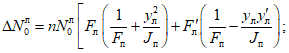
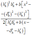
kп - коэффициент, учитывающий влияние листовой арматуры на снижение потерь в стержневой арматуре, определяемый по формуле

(28)
Потери предварительного напряжения в листовой арматуре

определяются по формуле

(29)
4.8. Для элементов со смешанным армированием растянутой зоны, изготовленных двухстадийным способом
(п. 2.5, б), потери предварительного напряжения от быстронатекающей ползучести учитываются полностью без сдерживания влияния листовой арматуры, а потери от усадки и ползучести бетона - с учетом сдерживающего влияния листовой арматуры по
формуле (27). Потери фиктивного предварительного напряжения в листовой арматуре
(п. 4.2, в) от ползучести и усадки бетона определяются по
формуле (29).
4.9. Для элементов со смешанным армированием растянутой зоны, изготовленных согласно
п. 2.6 с напрягаемой листовой арматурой, потери от быстронатекающей ползучести, усадки и ползучести бетона определяются с учетом сдерживающего влияния листовой арматуры согласно
п. 4.7. При определении напряжений в бетоне в
формуле (26) значение

принимается равным нулю.
4.10. При расчете элементов с внешним армированием по образованию и раскрытию трещин с учетом податливости связей в соответствии с
разделом 6 в расчет вводится часть суммарного усилия предварительного напряжения в стержневой или в листовой арматуре, воспринимаемая железобетонным составляющим элементом

, величина которого определяется по формуле

или

(30)
где

и

- соответственно усилия предварительного напряжения стержневой и листовой арматуры с учетом всех потерь, соответствующих рассматриваемой стадии работы;

и

- часть усилий предварительного напряжения соответственно в стержневой и листовой арматуре, воспринимаемых внешним армированием.
Значения

и

определяются:
а) для элементов с напрягаемой листовой арматурой по формуле
| | ИС МЕГАНОРМ: примечание. Формула дана в соответствии с официальным текстом документа. | |

(31)
б) для предварительно-напряженных элементов со смешанным армированием, изготавливаемых одно- или двухстадийным способом, по формуле

(32)
в) для элементов со смешанным армированием, без предварительного напряжения листовой арматуры по формуле

(33)
5. ОПРЕДЕЛЕНИЕ ХАРАКТЕРИСТИК, УЧИТЫВАЮЩИХ ВЛИЯНИЕ
ПОДАТЛИВОСТИ СОЕДИНЕНИЯ ЛИСТОВОЙ АРМАТУРЫ С БЕТОНОМ
5.1. Конструкции с внешним армированием при расчете по предельным состояниям второй группы рассматриваются как составные, состоящие из железобетонного или из бетонного составляющего элемента, внешней арматуры и соединяющих их связей.
5.2. Коэффициент

, характеризующий податливость соединения, определяется по формуле

(34)
где

- коэффициент, учитывающий геометрические и жесткостные характеристики железобетонного или бетонного составляющего элемента и внешней арматуры
(рис. 17), определяемый в соответствии с
п. 5.4;

- коэффициент жесткости связей, приведенный к единице длины элемента, определяемый по формуле

(35)

- коэффициент жесткости анкера на сдвиг, определяемый в соответствии с
п. 5.3;
n, u - соответственно число анкеров в одном ряду и их шаг по длине элемента.
Рис. 17. К определению характеристик, учитывающих влияние
податливости связей, и к расчету по образованию трещин
а - виды сечений; б - положение усилий в поперечном сечении
элементов с внешним армированием; в - положение усилий
и эпюры напряжений в поперечном сечении железобетонных или
бетонных составляющих элементов; 1 - центр тяжести
приведенного сечения элемента с внешним армированием;
2 - центр тяжести железобетонного или бетонного
составляющего элемента; 3 - ядровая точка
5.3. Коэффициент жесткости анкера

в кгс/см определяется:
вертикального по формуле

(36)
наклонного по формуле

(37)
где d - диаметр анкера в см.
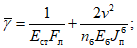
5.4. Коэффициент

определяется по формулам:
а) для элементов с одиночным листовым армированием

(38)
б) для элементов с двойным симметричным

листовым армированием

(39)
Примечание.
Формулу (39) допускается применять также при

. При этом вместо значений
Fл и
v в расчет должны вводиться соответственно

и

.
в) для элементов с одиночным профильным армированием

(40)
где v - расстояние между центрами тяжести сечений внешней арматуры и железобетонного или бетонного составляющего элемента;

и

- соответственно площадь и момент инерции приведенного сечения железобетонного или бетонного составляющего элемента, определяемые без учета внешней арматуры как для упругого тела;
Jст - момент инерции профильной арматуры;
nб - коэффициент, учитывающий характер снижения жесткости железобетонного или бетонного составляющего элемента по его длине; при расчете по образованию трещин и по деформациям при отсутствии трещин nб = 0,92; при расчете по деформациям после образования трещин и по раскрытию трещин nб определяется по формуле

(41)
где
kб - коэффициент, учитывающий снижение жесткости железобетонного или бетонного составляющего элемента после образования трещин и определяемый в соответствии с
п. 6.15.
5.5. Значения коэффициентов
K и

, учитывающих влияние податливости связей на снижение трещиностойкости и увеличения деформативности элемента, определяются соответственно по
табл. 6 и
7 в зависимости от значения

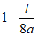
(где
l - пролет элемента).
Таблица 6
| Тип нагрузки |
| | |
x = l/2 | x = l/3 | x = l/2 | x = l/2 |
1 | 0,112 | 0,094 | 0,098 | 0,072 |
2 | 0,294 | 0,262 | 0,300 | 0,259 |
3 | 0,489 | 0,439 | 0,502 | 0,399 |
4 | 0,639 | 0,568 | 0,650 | 0,520 |
5 | 0,732 | 0,657 | 0,751 | 0,608 |
6 | 0,800 | 0,720 | 0,816 | 0,667 |
7 | 0,847 | 0,765 | 0,876 | 0,714 |
8 | 0,880 | 0,800 | 0,897 | 0,750 |
9 | 0,903 | 0,825 | 0,926 | 0,778 |
10 | 0,921 | 0,845 | 0,941 | 0,800 |
11 | 0,935 | 0,860 | 0,954 | 0,818 |
12 | 0,944 | 0,872 | 0,966 | 0,833 |
13 | 0,953 | 0,883 | 0,974 | 0,846 |
14 | 0,959 | 0,892 | 0,979 | 0,857 |
15 | 0,964 | 0,900 | 0,984 | 0,869 |
18 | 0,976 | 0,916 | 0,992 | 0,889 |
20 | 0,980 | 0,925 | 0,995 | 0,900 |
22 | 0,983 | 0,931 | 0,998 | 0,909 |
25 | 0,987 | 0,940 | 0,999 | 0,920 |
30 | 0,991 | 0,950 | 1 | 0,933 |
35 | 0,993 | 0,957 | 1 | 0,943 |
40 | 0,995 | 0,962 | 1 | 0,950 |
45 | 0,996 | 0,967 | 1 | 0,955 |
50 | 0,997 | 0,970 | 1 | 0,960 |
Таблица 7
Значения коэффициента 
| Тип нагрузки |
| | | |
1 | 1,150 | 0,912 | 0,975 | 0,904 |
2 | 0,720 | 0,715 | 0,727 | 0,706 |
3 | 0,523 | 0,530 | 0,520 | 0,512 |
4 | 0,377 | 0,440 | 0,379 | 0,368 |
5 | 0,281 | 0,294 | 0,284 | 0,271 |
6 | 0,198 | 0,223 | 0,220 | 0,200 |
7 | 0,166 | 0,175 | 0,166 | 0,153 |
8 | 0,133 | 0,141 | 0,132 | 0,121 |
9 | 0,107 | 0,116 | 0,105 | 0,097 |
10 | 0,089 | 0,096 | 0,088 | 0,079 |
11 | 0,075 | 0,081 | 0,074 | 0,066 |
12 | 0,063 | 0,070 | 0,062 | 0,055 |
13 | 0,057 | 0,060 | 0,054 | 0,047 |
14 | 0,047 | 0,053 | 0,047 | 0,041 |
15 | 0,041 | 0,046 | 0,041 | 0,036 |
16 | 0,036 | 0,041 | 0,036 | 0,031 |
18 | 0,028 | 0,033 | 0,029 | 0,025 |
20 | 0,025 | 0,027 | 0,023 | 0,020 |
5.6. Если коэффициент жесткости связей

изменяется по длине элемента (например, при изменении шага или диаметра анкеров), значения коэффициентов
k и

допускается определять по формулам:

(42)

(43)
где i - порядковый номер участка с постоянной жесткостью соединения;
li - длина i-го участка;
ki и

- коэффициенты, определяемые для каждого участка по
табл. 6 и
7 в зависимости от значений

.
Значения

определяются по
формуле (34), при этом вместо

подставляют значения

для каждого участка.
5.7. Влияние податливости связей при расчете трещиностойкости и деформативности можно не учитывать, если это приведет к увеличению деформативности не более чем на 15%.
Для элементов с двойным листовым армированием влияние податливости связей на трещиностойкость и деформативность в зависимости от отношения жесткостей элемента в целом и его железобетонного или бетонного составляющего элемента может быть показано графически
(рис. 18).
Рис. 18. Влияние податливости связей в элементах с двойным
листовым армированием
а - на момент образования трещин;
б - на прогиб;

отношение
моментов образования трещин при абсолютно жестких
и податливых связях,

- отношение прогибов
при абсолютно жестких и податливых связях
6. РАСЧЕТ ПО ОБРАЗОВАНИЮ И РАСКРЫТИЮ ТРЕЩИН И ДЕФОРМАЦИЯМ
6.1. Расчет по предельным состояниям второй группы должен производиться:
для элементов с внутренним армированием растянутой зоны в соответствии с
разделом 4 главы СНиП по проектированию бетонных и железобетонных конструкций. При этом сжатая листовая арматура вводится в расчет по аналогии со стержневой;
для элементов с внешним или со смешанным армированием растянутой зоны с учетом податливости связей согласно рекомендациям настоящего раздела. При этом характеристики, учитывающие влияние податливости связей на снижение трещиностойкости и увеличение деформативности, следует определять в соответствии с
пп. 5.1 -
5.6.
6.2. При незначительном влиянии податливости связей
(п. 5.7) рекомендуется выполнять:
расчет по образованию и раскрытию трещин в соответствии с
разделом 4 главы СНиП по проектированию бетонных и железобетонных конструкций, учитывая листовую арматуру аналогично стержневой, или в соответствии с настоящим разделом, принимая
k = 1;
расчет по деформациям в соответствии с настоящим разделом, принимая

.
Расчет по образованию трещин в сечениях, нормальных
к продольной оси элемента
6.3. Усилия, воспринимаемые нормальным сечением при образовании трещин, должны определяться исходя из положений
п. 4.2 главы СНиП по проектированию бетонных и железобетонных конструкций и следующих дополнительных предпосылок:
сечение составного элемента после деформации не остается плоским из-за взаимного смещения железобетонного или бетонного составляющего элемента и внешней арматуры;
сечения составляющих элементов (железобетонного или бетонного и стального) после деформации остаются плоскими.
6.4. Расчет сводится к определению величины изгибающего момента, действующего на элемент в рассматриваемом сечении и вызывающего такое распределение усилий между внешней арматурой и железобетонным или бетонным составляющим элементом, при котором момент всех внешних сил, действующих по одну сторону от рассматриваемого сечения железобетонного или бетонного составляющего элемента, относительно оси, нормальной к плоскости изгиба и проходящей через его ядровую точку, наиболее удаленную от растянутой зоны, достигнет предельной по трещиностойкости величины

.
6.5. Момент образования трещин в растянутой зоне элемента с податливыми связями Mт определяется по формуле

(44)
где c - коэффициент, учитывающий жесткость внешней арматуры, принимаемый для листовой стали равным единице, а для профильной - с жесткостью стального элемента B и определяемый по формуле

(45)
| | ИС МЕГАНОРМ: примечание. Текст дан в соответствии с официальным текстом документа. | |
bб - жесткость железобетонного или бетонного составляющего элемента
(п. 6.14);

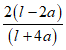
- коэффициент, определяемый по формулам:
а) для элементов с одиночным листовым армированием

(46)
Знак "+" принимается для элементов с листовой арматурой, расположенной в растянутой зоне;

(47)
в) для элементов с одиночным профильным армированием

(48)
k - коэффициент, учитывающий влияние податливости связи, определяемый согласно
пп. 5.4 -
5.6;

- предельный момент, воспринимаемый железобетонным составляющим элементом при образовании трещин, определяемый по формуле

(49)
здесь

- момент сопротивления железобетонного или бетонного составляющего элемента;

- нормативное сопротивление бетона растяжению;

- момент усилия

относительно продольной оси элемента, определяемый по формулам:
а) при расчете образования трещин в зоне, растянутой от действия внешних нагрузок:

(50)
б) при расчете образования трещин в зоне, растянутой от действия усилий предварительного обжатия:

(51)

- расстояние от центра тяжести приведенного сечения железобетонного или бетонного составляющего элемента до точки приложения усилия

;

- расстояние от центра тяжести приведенного сечения железобетонного или бетонного составляющего элемента до его ядровой точки, наиболее удаленной от растянутой зоны, определяемое по формуле

(52)

и

- моменты сопротивления приведенного сечения железобетонного или бетонного составляющего элемента для крайнего растянутого волокна, определяемые без учета листовой арматуры соответственно как для упругого материала и с учетом неупругих деформаций растянутого бетона согласно
п. 4.7 главы СНиП по проектированию бетонных и железобетонных конструкций;

- часть суммарного усилия обжатия, воспринимаемая железобетонным составляющим элементом, определяемая по
формуле (30).
6.6. Для элементов, имеющих участок с постоянным изгибающим моментом максимальной величины, расчет по образованию трещин следует производить для сечений, расположенных на границах этого участка.
Расчет по раскрытию трещин, нормальных к продольной
оси элемента
6.7. Элементы со смешанным армированием растянутой зоны должны быть рассчитаны по раскрытию трещин на уровне внутренней арматуры.
6.8. Ширина раскрытия трещин
aт определяется по
формуле (138) главы СНиП по проектированию бетонных и железобетонных конструкций, а значения

,
cд и

определяются по
формулам (53) -
(55).
6.9. Коэффициент армирования

заменяется на

- коэффициент внутреннего армирования сечения железобетонного элемента, определяемый по формуле

(53)
6.10. Коэффициент cд при длительном действии нагрузки вычисляется по формуле

(54)
6.11. Напряжения в растянутой внутренней арматуре

определяются по формуле

(55)
где
k - коэффициент, учитывающий влияние податливости связей, определяемый согласно
пп. 5.4 -
5.6;

- рабочая высота сечения железобетонного составляющего элемента;
M - изгибающий момент в рассматриваемом сечении;

и

- коэффициенты, определяемые:
для элементов с одиночным листовым армированием по формуле

(56)
yа - расстояние между центром тяжести сечения и арматурой Fа.
Знак "-" в
формуле (56) принят для элементов с листовой арматурой в растянутой зоне;

(57)

- расстояние от центра тяжести растянутой внутренней арматуры до точки приложения усилия обжатия

;

- коэффициент, принимаемый по
табл. 8.
Таблица 8
Значения коэффициента 
| | |
0,01 | 0,05 | 0,15 | 0,30 | 0,50 |
0 | 0,7 | 0 | 0,11 | 0,21 | 0,34 | 0,48 |
1,0 | 0,21 | 0,28 | 0,35 | 0,45 | 0,55 |
1,5 | 0,45 | 0,54 | 0,59 | 0,70 | 0,72 |
2,0 | 0,61 | 0,67 | 0,73 | 0,80 | 0,87 |
4,0 | 0,85 | 0,89 | 0,94 | 1,00 | 1,07 |
0,5 | 0,7 | 0 | 0 | 0,04 | 0,10 | 0,16 |
1,0 | 0,16 | 0,18 | 0,22 | 0,27 | 0,32 |
1,5 | 0,42 | 0,46 | 0,50 | 0,52 | 0,54 |
2,0 | 0,60 | 0,62 | 0,64 | 0,67 | 0,70 |
4,0 | 0,85 | 0,86 | 0,87 | 0,90 | 0,93 |
1 | 0,7 | 0 | 0 | 0 | 0 | 0 |
1,0 | 0,15 | 0,16 | 0,18 | 0,21 | 0,25 |
1,5 | 0,44 | 0,46 | 0,48 | 0,50 | 0,52 |
2,0 | 0,60 | 0,61 | 0,62 | 0,64 | 0,66 |
4,0 | 0,85 | 0,86 | 0,87 | 0,88 | 0,89 |
Примечание. Приведенные в
табл. 8 значения

и

определяются по формулам:

(58)

(59)
где
- заменяющий момент, определяемый по формуле

(60)
Значения
nб определяются согласно
п. 5.4.
Расчет по деформациям
6.12. Прогиб элемента с внешним армированием определяется по формуле

(61)
где
fм - прогиб элемента, обусловленный деформациями изгиба, определяемый согласно
п. 6.13;

- прогиб элемента, обусловленный деформацией сдвига листовой арматуры относительно бетона, определяемый по
формуле (73).
6.13. Прогиб должен вычисляться по формулам строительной механики; при этом кривизна определяется:
а) при отсутствии трещин как для сплошного тела согласно
пп. 6.16 и
6.17;
б) при наличии трещин:
для элементов с двойным листовым армированием - как для сплошного тела с уменьшенной (по сравнению с начальной) жесткостью, определяемой в соответствии с
пп. 6.14 и
6.15;
для элементов с одиночным листовым армированием, расположенным в растянутой зоне, в соответствии с
п. 6.19.
6.14. Жесткость элемента с внешним листовым армированием
Bп определяется по формуле

(62)
здесь

и

- соответственно жесткости элемента, обеспечиваемые железобетонным или бетонным составляющим элементом и листовой сталью, определяемые по формулам:

(63)

(64)
здесь
Bб и

- соответственно жесткость и площадь приведенного сечения железобетонного или бетонного составляющего элемента, определяемые как для упругого тела, без учета листового армирования;
yб,

- соответственно расстояние между центрами тяжести приведенного сечения всего элемента и железобетонного или бетонного составляющего элемента и сжатой листовой арматуры.
6.15. Значения коэффициента
kб при двойном листовом армировании следует определять:
при смешанном армировании растянутой зоны при M <= 1,8Mт по формуле

(65)
при листовом армировании растянутой зоны по формуле

(66)
При отсутствии трещин в растянутой зоне коэффициент kб = 0,85.
6.16. Кривизна элементов

на участках без трещин в растянутой зоне при действии внешней нагрузки определяется по формуле

(67)
где M - момент всех внешних сил относительно оси, нормальной к плоскости действия изгибающих моментов и проходящей через центр тяжести приведенного сечения;
c1 - коэффициент, учитывающий увеличение деформаций элемента с внешним армированием вследствие длительной ползучести бетона при отсутствии в сжатой зоне листовой арматуры, принимаемый равным c, а при наличии - определяемый по формуле

(68)
| | ИС МЕГАНОРМ: примечание. В официальном тексте документа, видимо, допущена опечатка: пункт 24 в главе СНиП по проектированию бетонных и железобетонных конструкций отсутствует. Возможно, имеется в виду пункт 4.24. | |
здесь
c - коэффициент, учитывающий увеличение деформаций железобетонного или бетонного элемента, определяемый согласно
п. 24 и
табл. 35 главы СНиП по проектированию бетонных и железобетонных конструкций.
6.17. Полная величина кривизны элемента на участках без трещин в растянутой зоне определяется по формуле

(69)
| | ИС МЕГАНОРМ: примечание. Текст дан в соответствии с официальным текстом документа. | |
где

и

соответственно кривизны от кратковременной нагрузки и длительного действия постоянной и длительной нагрузок с учетом собственного веса конструкции, определяемые по
формуле (67);

- кривизна элемента при выгибе от действия предварительного обжатия, определяемая:
а) для элементов с напрягаемой листовой арматурой или внутренней арматурой по формуле

или

(70)
б) для элементов со смешанным армированием растянутой зоны, изготовленных одностадийным или двухстадийным способами, по формуле

(71)
где

и
- соответственно усилия предварительного напряжения в листовой и внутренней арматуре с учетом потерь, соответствующих рассматриваемой стадии расчета;

и

- расстояние от центра тяжести приведенного сечения элемента до точек приложения усилий обжатия соответственно в листовой и внутренней арматуре.
6.18. Для элементов с двойным листовым армированием кривизна на участках с трещинами в растянутой зоне определяется по
формулам (67) -
(71), в которых
Bп и
Bб вычислены с учетом коэффициента
kб.
6.19. Для элементов с одиночным листовым армированием, расположенным в растянутой зоне, кривизна на участках с трещинами определяется по формуле

(72)
где

,

,
Mз - определяются согласно
пп. 4.27 и
4.29 главы СНиП по проектированию бетонных и железобетонных конструкций.
Полную величину кривизны для таких элементов следует определять по
формуле (168) главы СНиП по проектированию бетонных и железобетонных конструкций. При этом допускается кривизну

, обусловленную выгибом вследствие усадки и ползучести бетона от обжатия, принять равной нулю.
6.20. Прогиб

определяется по формуле

(73)
7. РАСЧЕТ СБОРНЫХ СТЫКОВ КАРКАСА
Типы стыковых соединений
7.1. Выбор конструктивных решений стыков несущих элементов каркаса (балок и ригелей с колоннами) зависит от принятой разрезки каркаса на монтажные элементы, способа их соединения при монтаже, расчетной схемы каркаса: рамной, рамно-связевой или связевой.
7.2. Балки и ригели с внешним армированием, как правило, применяются при различных вариантах линейной разрезки рам каркаса
(рис. 19).
Рис. 19. Схемы разрезки каркаса
на линейные монтажные элементы
1 - однопролетные ригели и одноэтажные (двухэтажные)
колонны; 2 - однопролетные ригели и многоэтажные колонны;
3 - многопролетные ригели и много- и одноэтажные колонны;
4, 5 - многопролетные ригели и одноэтажные колонны
7.3. Стыки балок и ригелей с колоннами должны проектироваться преимущественно сборными, однако допускается применение сборно-монолитных и монолитных стыков.
7.4. Стыки балок и ригелей с колоннами при применении ригелей пониженной высоты должны преимущественно выполняться рамными, что обеспечивает минимальный расход стали, равномерное распределение стержневой и листовой арматуры по длине элемента и облегчает конструирование.
7.5. Достаточно полно соответствуют конструктивным решениям балок и ригелей с листовым армированием сборные стыки со скрытой консолью и платформенные стыки.
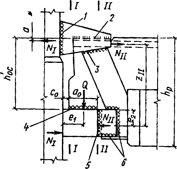
Стыки ригеля с колонной со скрытой консолью (рис. 20)
Рис. 20. Стык ригеля с колонной со скрытой консолью
7.6. При проектировании стыков должна быть предусмотрена следующая передача усилий с ригеля на колонну
(рис. 21):
растягивающие усилия от опорного изгибающего момента должны восприниматься двумя верхними вертикальными накладками, привариваемыми к манжету колонны (швы 1) и опорному столику ригеля (швы 2 и 3);
сдвигающие усилия, вызванные касательными напряжениями в сечении, совпадающем с плоскостью опирания ригеля на консоль, должны восприниматься горизонтальными сварными швами, которые соединяют ригель с консолью (швы 4);
сжимающие усилия от опорного изгибающего момента должны восприниматься двумя нижними вертикальными накладками, привариваемыми к консоли колонны и опорному столику ригеля (швы 5 и 6);
поперечная сила с ригеля на консоль колонны должна передаваться через контактную поверхность.
Рис. 21. К расчету стыка ригеля с колонной
со скрытой консолью
7.7. Расчет сварных швов, соединяющих верхние и нижние вертикальные накладки с колонной и ригелем, должен производиться следующим образом.
1. Швы 2 и 3 рассчитываются на растягивающее усилие NI:
| | ИС МЕГАНОРМ: примечание. Формула дана в соответствии с официальным текстом документа. | |

(74)
где MI, MII - расчетный опорный изгибающий момент в ригеле соответственно по грани колонны и по грани консоли;
Q - расчетная поперечная сила в ригеле по грани колонны; a = 10 мм;
e1 = 0,5a0 + c0; e2 = 0,5hк;
NII - растягивающее усилие от опорного изгибающего момента по грани консоли колонны;

(75)
zII - плечо внутренней пары сил, равное расстоянию между центром тяжести верхней опорной арматуры ригеля и центром тяжести сварных швов, присоединяющих нижние накладки к консоли;

- высота подрезанной опорной части ригеля;
hк - высота консоли колонны;
a0, c0 - соответственно длина опирания ригеля на консоль и проектный зазор между торцом ригеля и колонной.
Суммарная расчетная площадь швов
h2 и
h3 
должна определяться по формуле

(76)
откуда находятся катеты h3 и h4 и длины l3 и l4 сварных швов 2 и 3.
2. Швы 1 также рассчитываются на усилие NI, при этом h1 определяется по формуле

(77)
где n1 и l1 - соответственно число сварных швов 1 и расчетная длина каждого из них.
В связи с трапецеидальной формой верхней накладки проверку ее прочности необходимо производить в сечении, совпадающем с торцом ригеля:

(78)

(79)
где

и

- соответственно расчетная высота и толщина верхней накладки;
R - расчетное сопротивление стали растяжению;

и

- соответственно наибольшая и наименьшая высота верхней накладки;
lв.н - длина верхней накладки.
3. Швы h5 рассчитываются на сжимающее усилие NII:

(80)
4. Швы h6 также рассчитываются на сжимающее усилие NII:

(81)
5. Швы h4 определяются из условия их работы на сдвигающую силу T:
T = NI - NII; (82)

(83)
Платформенные стыки ригеля с колоннами (рис. 22)
Рис. 22. Платформенный стык ригеля с колонной
7.8. В каркасах могут применяться платформенные стыки, в которых торец ригеля совпадает с наружной гранью колонны, и стыки, в которых торец ригеля находится за пределами колонны.
В таких стыках усилия с колонны на колонну передаются не непосредственно, а через опорные участки ригелей, в связи с чем должна обеспечиваться равнопрочность опорных участков ригелей и колонн.
Необходимая прочность опорных участков ригелей обеспечивается совместной работой бетона опорной зоны и вертикальными элементами из листовой, профильной или стержневой стали, привариваемыми к горизонтальной листовой арматуре или к специально устанавливаемым пластинам, расположенным в опорной зоне ригелей.
Необходимая прочность опорных участков колонн обеспечивается замкнутыми оголовниками, высота которых должна быть не менее 1/3 большей стороны сечения колонн, и более частым расположением поперечной арматуры в опорной зоне на участке не менее двух больших сторон сечения колонны (шаг 10d при армировании колонн до 3% и 5d при более высоких процентах армирования, где d - диаметр продольной арматуры в колоннах).
Прочность опорного участка ригеля определяется по формуле

(84)
где mоп - коэффициент условий работы, учитывающий неравномерность передачи усилий и влияние отклонений геометрических размеров стыковых соединений на несущую способность опорной зоны, принимаемый равным 0,9;
Fоп - расчетная площадь опорного участка ригеля;
Fоп = bопlоп, (85)
bоп - расчетная ширина опорного участка ригеля;
lоп - расчетная длина опорного участка ригеля
(рис. 23), принимаемая при отсутствии специальных исследований не менее ширины колонны;
- суммарная площадь поперечного сечения вертикальных элементов из листовой, профильной или стержневой стали, расположенной в пределах расчетной площади опорного участка ригеля;
Rсм - расчетное сопротивление бетона при местном сжатии, определяемое по
пп. 3.44 и
3.45 главы СНиП по проектированию бетонных и железобетонных конструкций;
Ra - расчетное сопротивление стали при сжатии;
Nк - прочность верхней колонны, примыкающей к ригелю, определяемая в соответствии с
пп. 3.20 -
3.21 главы СНиП по проектированию бетонных и железобетонных конструкций.
Рис. 23. К определению расчетной длины
опорного участка ригеля
Расчет сварных швов, соединяющих колонны и ригели, производится из допущения, что сжимающие усилия с колонны на опорную часть ригеля передаются через сварные швы (55%) и контактную поверхность (45%), а растягивающие усилия - полностью на сварные швы.
Сварные швы должны рассчитываться с учетом принимаемой конструкции оголовников колонн: для сварных оголовников без фасок по контуру швы рассчитываются как угловые, для сварных оголовников с фасками по контуру и штампованных или гнутых как швы встык.
Проверка сжимающих напряжений в сварных швах производится по формулам:

(86)

(87)
где N - нормальная сила в колонне при комбинации нагрузок, соответствующей максимальным изгибающим моментам в колонне;
Nмакс - максимальная нормальная сила в колонне;
Mx - изгибающий момент в колонне в направлении основных рам;
My - изгибающий момент в колонне в направлении, перпендикулярном основным рамам;
Fш, Wшx, Wшy - площадь и моменты сопротивления сварных швов, определяемые по формулам:
Fш = 2(hог + bог)hш; (88)

(89)

(90)
hог, bог - размеры оголовника колонны в плане;
hш - высота катета шва, присоединяющего ригель к колонне.
Для стыков верхних этажей необходимо проверять растягивающие напряжения по формуле

(91)
при этом для сварных швов встык, работающих на растяжение, Rсв принимается с коэффициентом 0,7.
ПРИМЕРЫ РАСЧЕТА
Пример 1. Требуется рассчитать предварительно-напряженную балку прямоугольного сечения шириной b = 35 см и высотой h = 80 см. Расчетная нагрузка на балку 18 тс/м, расчетная нагрузка с учетом массы балки q = 18,8 тс/м. Бетон марки 400 (Rпр = 175 кгс/см2).
Балка работает как свободно опертая с расчетным пролетом l = 11,8 м. Изгибающий момент в середине пролета M = 328 тс·м.
Расчет необходимо выполнить для двух вариантов армирования растянутой зоны:
смешанного - (из арматурных канатов класса К-7 и листовой стали класса С52/40;
внешнего - из листовой стали класса С52/40.
Поперечная арматура и анкеры из стали класса А-III.
РАСЧЕТ ПО ПРОЧНОСТИ
Вариант 1 - смешанное армирование растянутой зоны.
Прочность по нормальному сечению
Предварительно определяем несущую способность элемента без листового армирования. В растянутой зоне бетона по условиям конструирования можно разместить при трехрядном расположении канатов не более

К7, воспринимающих расчетное усилие:
Nн = FнRн = 18·1,416·10 600 = 270·103 кгс.
Высота сжатой зоны бетона
Момент, воспринимаемый сечением без листовой арматуры:
Mб = Nн(h0 - 0,5x) = 270·103(67 - 0,5·44) = 121·105 кгс·см.
Согласно
п. 2.9, ширину листовой арматуры принимаем равной ширине балки и определяем ориентировочное значение ее толщины:
Принимаем

. Расчетное усилие, воспринимаемое листовой арматурой:
По
табл. 1 принимаем

и
Aгр = 0,432. Определяем суммарное усилие, которое должно быть воспринято сжатой арматурой, и усилие в бетоне сжатой зоны, исходя из

:
Исходя из принятой листовой арматуры, определяем дополнительную стержневую арматуру в сжатой и растянутой зонах:
принимаем

, приваренный к листовой арматуре, на требуемом участке:
Принимаем

, приваренный к листовой арматуре на требуемом участке и

, приваренные к поперечной арматуре.
Армирование балки показано на
рис. 24. Согласно
п. 2.8, с целью снижения расхода стали можно было бы толщину листовой арматуры уменьшить до 2 см и соответственно усилить ее в зоне максимального момента стержневой арматурой.
Рис. 24. Варианты армирования балки
а, б - смешанное; в, г - листовое с усилением
стержневой арматурой
Согласно
п. 2.7, изменяем толщину листовой арматуры по длине элемента с

до
(рис. 25). Необходимо определить место изменения сечения листа.
Рис. 25. Смешанное армирование балки
Расчетное усилие, воспринимаемое листовой арматурой толщиной 1,6 см, равно:
Рабочая высота сечения, определенная по
формуле (1), равна 72,1 см. Высоту сжатой зоны определяем из условия равновесия:
Поскольку

, значения
Nб и

определяем исходя из

:
Nб = (0,63·72,1 - 1,6)175·35 = 269·103 кгс;
Момент, воспринимаемый нормальным сечением при

, определяем по
формуле (4) при

:
Определяем положение сечения, в котором M = 266 тс·м, x = 3,87 м. Поперечная сила в этом сечении Q = 47,5 т.
Значение
w определяем согласно
п. 3.14:
x - w = 3,87 - 0,93 = 2,94 м.
Принимаем стык листов на расстоянии 2,9 м, исходя из использования в пролете листа длиной 6 м.
Определяем место обрыва стержней, приваренных к листовой арматуре. Несущая способность нормального сечения без приваренной стержневой арматуры
M = 325 тс·м. Определяем положение сечения, в котором действует этот момент
x = 5,35 м. Поперечная сила в этом сечении
Q = 10,3 тс. Значение
w определяем согласно главе
СНиП по проектированию бетонных и железобетонных конструкций из условия:
x - w = 5,35 - 0,3 = 5,05 м.
Расчет связей и проверка прочности наклонного сечения
по поперечной силе
Сдвигающие усилия определяем согласно
п. 3.17:
на первом участке
(0 < x < 2,9 м)T1 = Nл1 = 190 тс;
на втором участке
(2,9 < x < 5,9 м)T2 = Nл2 - Nл1 = 262 - 190 = 72 тс.
Согласно
п. 3.20, значения сдвигающих сил могут быть снижены за счет сил трения, вызванных:
для верхних связей - нагрузкой, передаваемой настилами непосредственно через верхний лист:
для нижних связей в зоне опор - опорной реакцией
Tт = Qkтр = 18,8·6·0,5 = 56,5 тс.
Принимаем вертикальные анкеры, расположенные в два ряда с шагом 30 см, и определяем сдвигающую силу, действующую на один анкер:
а) верхнего листа:
на первом участке
на втором участке
б) нижнего листа:
на первом участке
на втором участке
По
табл. 4 подбираем диаметр анкеров растянутого листа в предположении их использования одновременно в качестве поперечной арматуры: на первом участке

, на втором

.
Прочность наклонных сечений по поперечной силе на опоре и в месте изменения толщины листовой арматуры проверяем в соответствии с главой
СНиП по проектированию бетонных и железобетонных конструкций:
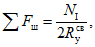
а) на первом участке
Q = 0,5ql = 0,15·18,8·11,8 = 111 тс;
б) на втором участке
Q = q(0,5l - l1) = 18,8(0,5·11,8 - 2,9) = 56,4 тс;
т.е. анкеры растянутого листа, используемые одновременно в качестве поперечной арматуры, обеспечивают прочность наклонного сечения. Для сжатого листа используем анкеры, работающие только на сдвигающую силу; их диаметр подбираем по
табл. 4: на первом участке

, на втором -

.
Проверку соотношения толщины листовой арматуры и диаметра анкеров производим согласно
п. 3.22:

и
т.е. соответствующие конструктивные требования удовлетворены.
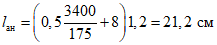
Длину анкеров сжатого листа определяем согласно
разделу 5 главы СНиП по проектированию бетонных и железобетонных конструкций из условия
но не менее

:
при
d = 2,5 см

и lан = 12·2,5 = 30 см,
принимаем lан = 44 см;
при
d = 1,2 см

и lан = 12·1,2 = 14,4 см,
принимаем lан = 22 см.
Максимальное расстояние между анкерами сжатого листа определяем согласно
п. 3.27 из условия
uмакс = 14,6·2,2 = 32,1 см > 30 см, т.е. устойчивость сжатого листа обеспечена.
Вариант 2 - листовое армирование растянутой зоны.
Прочность по нормальному сечению
Проверяем прочность сечения при армировании, показанном на
рис. 24,
в.
Усилия, воспринимаемые листовой арматурой:
Nл = 4,5·35·3400 = 535·103 кгс;
Определяем высоту сжатой зоны:
Поскольку

, значения
Nб и
aб определяем исходя из

:
Nб = (0,63·77,75 - 2)35·175 = 288·103 кгс;
т.е. условие прочности удовлетворено.
Согласно
п. 2.8, можно было бы уменьшить толщину растянутой листовой арматуры до 4 см с соответствующим усилением ее стержневой арматурой (см.
рис. 24,
г).
Принимаем продольное армирование (см.
рис. 24,
в) и, согласно
п. 2.7, изменяем толщину листовой арматуры по длине элемента
(рис. 26).
Рис. 26. Листовое армирование балки
Определение места изменения сечения листовой арматуры и расчет наклонного сечения по поперечной силе выполняется аналогично предыдущему примеру.
РАСЧЕТ СВЯЗЕЙ
Сдвигающие усилия:
на первом участке верхнего шва
на втором участке верхнего шва
на первом участке нижнего шва
на втором участке нижнего шва
T2 = Nл2 = Nл1 = 107 тс.
Сдвигающие силы уменьшим на величину сил трения, определенных в предыдущем примере.
Принимаем шаг анкеров 30 см и определяем сдвигающую силу на один анкер:
а) верхнего листа:
на первом участке
на втором участке
б) нижнего листа:
на втором участке
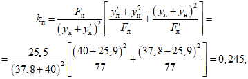
на первом участке при n = 3
Поскольку Tа1 больше несущей способности анкера d = 2,5 см, принимаем дополнительно постановку жесткого упора. Усилие на упор
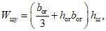
Принимаем ширину упора равной ширине балки, и его высоту определяем по
формуле (23):
Высоту упора принимаем равной 12 см. Диаметр анкеров принимаем по
табл. 4: для верхнего листа на первом участке

и на втором

, для нижнего шва на втором участке -

.
Определяем длину анкеров сжатого листа:
при
d = 2 см

при
d = 1,6 см

РАСЧЕТ ПО ПРЕДЕЛЬНЫМ СОСТОЯНИЯМ ВТОРОЙ ГРУППЫ
(ДЛЯ ЭЛЕМЕНТА СО СМЕШАННЫМ АРМИРОВАНИЕМ РАСТЯНУТОЙ ЗОНЫ)
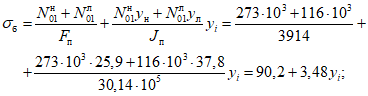
Определяем геометрические характеристики железобетонного составляющего элемента и балки в целом:
yб = 0,4 см;
yл = 37,8 см;
hн = 25,9 см;
Определяем усилия предварительного напряжения при одностадийном способе изготовления
(п. 2.5, а) с механическим способом натяжения на упоры и тепловой обработкой при атмосферном давлении.
Величину предварительного напряжения в канатах принимаем

и определяем потери от релаксации:
Усилие предварительного напряжения за вычетом потерь от релаксации

.
Усилие натяжения листовой арматуры определяем по
формуле (25):
Определяем потери предварительного напряжения, происходящие до обжатия бетона (вызванные температурным перепадом потери от деформации анкерного устройства принимаем равными нулю):
Определяем напряжения в бетоне:
а) на уровне центра тяжести канатов
б) на уровне наиболее обжатого волокна
Потери, происходящие после обжатия, определяются согласно главе
СНиП по проектированию бетонных и железобетонных конструкций:
а) от быстронатекающей ползучести при

б) от ползучести
в) от усадки 350 кгс/см2
Определяем потери с учетом влияния листовой арматуры согласно
п. 4.8:
Усилие предварительного напряжения с учетом всех потерь
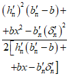
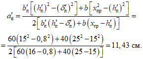
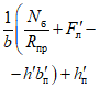
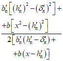
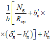
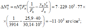
Часть усилия предварительного напряжения, воспринимаемую железобетонным составляющим элементом, определяем согласно
п. 4.10:
Определяем характеристики, учитывающие податливость соединения, согласно
п. 5.2.
а) для связей сжатого листа
б) для связей растянутого листа
По
табл. 6 и
7 определяем значения
ki и

в зависимости от

:
k1 = 0,944 и

k2 = 0,9 и

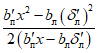
Определяем момент образования трещин
Mт по
формуле (44): Вычисляем

,

и

:
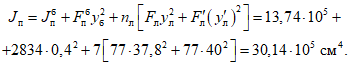
Жесткости
Bп,

и

определяем согласно
п. 6.14:
а) при отсутствии трещин в растянутой зоне
б) при нормативной нагрузке qн = 16 тс/м и изгибающем моменте
M = 279 тс·м > Mт = 187 тс·м;
Определяем кривизну от кратковременного действия нагрузки

как разность кривизн от полной нормативной нагрузки и длительно действующей нагрузки, равной 14,8 тс/м (
Mдл = 257 тс·м):
Определяем кривизну от длительно действующей нагрузки по формуле
Кривизну балки

при выгибе от действия усилия предварительного обжатия

и

определяем по формуле
Прогиб fм определяем по формуле
Определяем значение
nб по
формуле (41) и уточняем

с учетом образования трещин
| | ИС МЕГАНОРМ: примечание. Формула дана в соответствии с официальным текстом документа. | |
Поскольку уточненное значение

почти не отличается от полученного ранее, пересчет коэффициентов
k и

не производим, а определяем прогиб

по
формуле (73):
т.е. условие жесткости удовлетворено.
Ширину раскрытия трещин на уровне канатов от действия постоянной и длительной нагрузок определяем согласно
п. 6.8:
т.е. условие удовлетворено.
Определяем приращение ширины раскрытия трещин от кратковременного увеличения нагрузки до полной M = Mн - Mдл = 22 тс·м:
Ширина раскрытия трещин от кратковременного увеличения нагрузки до полной
aт.кр = aт.дл + aт = 0,07 + 0,006 = 0,076 мм < 0,15 мм,
т.е. условие удовлетворено.
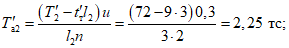
Пример 2. Требуется рассчитать предварительно-напряженный ригель перекрытия многоэтажного здания с сеткой колонн 12 x 12 м
(рис. 27). Сечение ригеля тавровое с размерами
l = 40 см,
h = 45 см,
hп = 15 см,
bп = 60 см. Расчетная нагрузка на ригель 14,5 тс/м, расчетная нагрузка с учетом массы ригеля
q = 15,2 тс/м. Продольное армирование растянутой зоны смешанное; арматурные канаты класса К7, листовая сталь класса С52/40; анкеры из стали класса А-III, бетон марки 400 (
Rпр = 175 кгс/см
2). Стык ригеля с колонной платформенный. Сечение колонны 40 x 40 см.
Рис. 27. Смешанное армирование ригеля
РАСЧЕТ ПО ПРОЧНОСТИ
Расчет производится методом предельного равновесия в предположении образования пластических шарниров в сечениях ригеля у грани колонн.
Расчетные изгибающие моменты в сечениях ригеля, расположенного в среднем пролете трехпролетной рамы, определенные из расчета упругой системы, равны:
а) при загружении всех пролетов полной нагрузкой:
у грани колонн

;
в середине пролета

;
б) при загружении пролетов, смежных с рассматриваемым, только постоянной нагрузкой:
у грани колонн

;
в середине пролета

.
Согласно
п. 2.10, опорный и пролетные моменты целесообразно назначать исходя из использования листовой арматуры постоянного сечения по всей длине ригеля. Если принять момент у грани колонн после перераспределения усилий

, то сумма моментов в пролете и на опоре равна 256 тс·м.
При платформенном стыке и неразрезном ригеле внутреннюю продольную напрягаемую арматуру (канаты) целесообразно отгибать из пролета на опоры. При этом из условия размещения в бетоне можно принять

, воспринимающих усилие
N = 14·1,416 x 10600 = 210·10
3 кгс.
В первом приближении принимаем

.
Определяем предельный момент, воспринимаемый опорным сечением без листовой арматуры:
Поскольку

,

вычисляем по формуле
Определяем ориентировочную площадь сечения листовой арматуры:
Толщину нижнего листа принимаем равной 0,8 см

а верхнего - 1,4 см
Определяем прочность сечения у грани колонны при принятом армировании:
Nл = 1,4·40·3400 = 190·103 кгс;
Поскольку

, определяем
Nб и

исходя из

:
Площадь сечения дополнительной арматуры в сжатой зоне
Принимаем

, приваренные к сжатому листу на требуемом участке, и вычисляем
Mгр по
формуле (4):
при этом момент в пролете Mпр = 256 - 133 = 123 тс·м.
Проверяем прочность сечения в середине пролета:
Площадь дополнительной стержневой арматуры в сжатой зоне
Принимаем

(
Fа = 4,02 см
2), приваренные к сжатому листу на требуемом участке.
Сжимающее усилие в бетоне, исходя из

:
Поскольку

в растянутой зоне дополнительная стержневая арматура не требуется.
Места обрывов дополнительной стержневой арматуры и отгибов напрягаемой арматуры определяются согласно главе
СНиП по проектированию бетонных и железобетонных конструкций.
РАСЧЕТ СВЯЗЕЙ
Сдвигающие силы определяем согласно
п. 3.16 и
табл. 3, учитывая, что
M = 0 на расстоянии 2 м от оси колонны:
для верхнего листа на первом (
x < 2 м) и втором (2 <
x < 6 м) участках

, для нижнего листа
T1 =
T2 =
Nл = 163 тс.
Сдвигающие силы можно уменьшить на величину сил трения, вызванных массой вышележащих конструкций, передаваемой колонной непосредственно на верхний лист TтN = 0,5Nk·kтр = 0,5[(4,4 + 0,7)12 + 1,45]0,5 = 15,7 тс и опорной реакцией TтQ = kтрQ = 0,5·6·15,2 = 45,6 тс.
Определяем диаметр анкеров нижнего листа. На первом участке шаг анкеров принимаем 12,5 см <
uмакс = 12,7 см
(п. 3.27) и определяем сдвигающую силу на анкер:
По
табл. 4 принимаем

(
Tа = 2,91 тс);

, т.е. удовлетворяется
условие (114) и
поз. 11 приложения 5 главы СНиП по проектированию бетонных и железобетонных конструкций. Поскольку анкеры выполняют также функции поперечной арматуры, принятый шаг и диаметр анкеров сохраним на участке длиной
l/4 = 3 м. Анкеры, расположенные на участке 2 <
x < 3 м, воспринимают сдвигающую силу

. Сдвигающая сила, действующая на один анкер, на участке 3 <
x < 6 м
Аналогично предыдущему примеру находим, что анкеровка верхнего листа должна производиться при шаге 12,5 см и диаметре на первом участке

, на втором

.
Проверяем наклонное сечение по прочности на действие поперечной силы:
а) у грани колонны
б) в месте изменения поперечного армирования
При расчете по второй группе предельных состояний усилия в ригеле определяются в соответствии с "
Руководством по расчету статически неопределимых железобетонных конструкций". Определение момента образования трещин, кривизн и ширины раскрытия трещин выполняется аналогично предыдущему примеру.