Главная // Актуальные документы // Актуальные документы (обновление 2024.12.02-2025.01.05) // ПравилаСПРАВКА
Источник публикации
М.: Стройиздат, 1989
Примечание к документу
Название документа
"Рекомендации по статистическим методам контроля и оценки прочности бетона с учетом его однородности по ГОСТ 18105-86"
"Рекомендации по статистическим методам контроля и оценки прочности бетона с учетом его однородности по ГОСТ 18105-86"
ПО СТАТИСТИЧЕСКИМ МЕТОДАМ КОНТРОЛЯ И ОЦЕНКИ ПРОЧНОСТИ БЕТОНА
С УЧЕТОМ ЕГО ОДНОРОДНОСТИ ПО ГОСТ 18105-86
Рекомендованы к изданию секцией "Здания, сооружения, строительные материалы и изделия" научно-технического совета института "Оргэнергострой".
Содержат вопросы, связанные с организацией и практическим применением статистического контроля на заводах сборных бетонных и железобетонных изделий и конструкций, бетонных заводах и строительных площадках. Даны рекомендации по использованию результатов статистического контроля для анализа состояния производства, регулирования технологического процесса и экономии цемента при высокой однородности прочности бетона.
Рекомендации предназначены для инженерно-технических работников заводских лабораторий и ОТК, строительных лабораторий и строительных инспекций, центральных исследовательских лабораторий трестов "Оргтехстрой".
Настоящие Рекомендации разработаны в развитие
ГОСТ 18105-86, регламентирующего правила контроля прочности с учетом достигнутой на каждом конкретном предприятии величины коэффициента вариации прочности бетона.
В
ГОСТ 18105-86 по сравнению с ранее действовавшими ГОСТ 18105.0-80 - ГОСТ 18105.2-80 внесен ряд существенных изменений, направленных на упрощение методики ведения контроля и внедрения стандарта на производстве.
Действие
ГОСТ 18105-86 распространяется на контроль прочности бетона не только при сжатии, но и при растяжении.
В настоящих Рекомендациях рассмотрены специфические вопросы организации и проведения контроля на предприятиях, отличающихся технологией производства, условиями отпуска готовой продукции потребителю, номенклатурой сборных изделий, бетонной смеси, монолитных конструкций, а также дана последовательность мероприятий, проводимых на производстве при организации и проведении статистического контроля, что должно облегчить процедуру освоения методики контроля.
Рекомендации составлены институтами "Оргэнергострой" (кандидаты техн. наук В.А. Дорф, Ю.Г. Хаютин, инж. А.Г. Малиновский), НИИЖБ (д-р техн. наук В.А. Клевцов, кандидаты техн. наук М.И. Бруссер, М.Г. Коревицкая, М.Б. Краковский, В.В. Фигаровский) при участии НИИСК (кандидаты техн. наук М.В. Сидоренко, А.М. Лещинский), ВНПО Союзжелезобетон (кандидат техн. наук В.Г. Довжик) и ЦНИИПСельстрой (канд. техн. наук В.П. Чернышев).
Замечания и пожелания по содержанию Рекомендаций просьба направлять по адресу: Москва, 113105, Варшавское шоссе, 17 "Оргэнергострой" и Москва, 109389, 2-я Институтская, 6, НИИЖБ.
1.1. По действующим нормативным документам на проектирование бетонных и железобетонных конструкций за основную характеристику прочности бетона принят класс по прочности при сжатии или растяжении, соответствующий значениям гарантированной прочности бетона с обеспеченностью 90% для массивных гидротехнических конструкций и 95% для всех остальных конструкций.
Для выполнения этой гарантии требуемую прочность бетона назначают в зависимости от фактического коэффициента вариации из условия получения обеспеченности нормативного сопротивления не ниже вышеуказанной и одновременно обеспеченности расчетного сопротивления не ниже 99,8%.
1.2. В производственных условиях на конкретных предприятиях сборных железобетонных конструкций и бетонных заводах фактические значения коэффициентов вариации могут существенно колебаться: от 5 - 7% на предприятиях с хорошо организованным технологическим процессом до 20 - 25% и выше на предприятиях с плохо налаженной технологией или использующих нестабильные материалы. При низких значениях коэффициента вариации предприятие должно снизить требуемую прочность и соответственно сократить расход цемента. При высоких значениях коэффициента вариации во избежание снижения надежности конструкции или сооружения предприятие, согласно
ГОСТ 18105-86, должно повысить требуемую прочность и принять необходимые меры, направленные на снижение коэффициента вариации.
1.3. Определение прочности бетона производят на основании результатов испытания контрольных образцов либо непосредственно в конструкциях неразрушающими методами по действующим стандартам на эти методы.
| | ИС МЕГАНОРМ: примечание. В официальном тексте документа, видимо, допущена опечатка: имеется в виду ГОСТ 17624-87, а не ГОСТ 17624-86. | |
При определении прочности бетона в монолитных конструкциях неразрушающими методами должны применяться или ультразвуковой метод по
ГОСТ 17624-86 при сквозном прозвучивании, или метод отрыва со скалыванием по
ГОСТ 21243-75.
1.4. Контроль прочности и приемки бетона сборных и монолитных конструкций проводится по партиям, в которые включают конструкции или бетонную смесь, изготовленные по одной технологии за определенный промежуток времени продолжительностью от одной смены до одной недели.
1.5. Прочность бетона
(ГОСТ 18105-86) определяется по двум характеристикам: по средней прочности в партии и коэффициенту вариации прочности в партии, усредненному по всем партиям за анализируемый период. По первой характеристике производится приемка партий по прочности, а по второй - назначение требуемой прочности.
В Рекомендациях в качестве показателей разброса дополнительно использованы: коэффициент вариации прочности бетона в отдельной партии, дисперсия, среднеквадратичное отклонение и размах, правила вычисления которых приводятся в соответствующих разделах Рекомендаций.
1.6. Коэффициент вариации прочности бетона в партии вычисляют:
при массовом производстве сборных конструкций и товарной смеси - как средний по всем партиям за анализируемый период (не менее 15 партий);
при производстве отдельных партий - по данным не менее 30 единичных значений прочности.
Для нерегулярно выпускаемой продукции указанный коэффициент вариации не вычисляется, а принимается равным коэффициенту вариации бетона другого состава, выпускаемого регулярно, при условии, что он изготавливается по той же технологии и отличается прочностью не более чем на два класса (марки).
1.7. На строительных площадках вариация прочности бетона не определяется. Требуемая прочность назначается по коэффициенту вариации завода - поставщика бетонной смеси.
1.8. В зависимости от контролируемых конструкций (сборные или монолитные, предварительно напряженные или с обычным армированием) и места проведения контроля (на заводе или на строительной площадке) контролируемая прочность и методы контроля принимают по
табл. 1.
Конструкции и место контроля | Контролируемая прочность |
передаточная Rобж | отпускная Rотп | в промежуточные сроки Rп.с | в проектном возрасте Rп.в |
Сборные бетонные и железобетонные без предварительного напряжения | - | По образцам или неразрушающими методами (только для прочности при сжатии) | - | По образцам Rотп <= 0,9Rп.в |
Сборные предварительно напряженные | По образцам или неразрушающими методами (только при сжатии) | - | По образцам при Rобж <= 0,9Rп.в Rотп <= 0,9Rп.в |
Монолитные на бетонном заводе | - | - | | По образцам |
| | ИС МЕГАНОРМ: примечание. В официальном тексте документа, видимо, допущена опечатка: имеется в виду ГОСТ 17624-87, а не ГОСТ 17624-86. | |
|
Монолитные на стройплощадке | - | - | По образцам или неразрушающими методами: сквозным ультразвуковым по ГОСТ 17624-86 или ГОСТ 21243-75 (только для прочности при сжатии) |
1.9. Порядок проведения контроля и регулирования прочности бетона принимают по
табл. 2.
N операции | Операция | Результаты расчета | ----------------------------- По Рекомендациям |
1 | Разбить технологические линии и номенклатуру продукции на технологические комплексы | - | - |
2 | Назначить партию бетона и длительность ее изготовления | - | - |
3 | Установить нормы контроля | n | - |
4 | Установить длительность анализируемого и контролируемого периодов | - | - |
5 | Рассчитать для каждой партии за анализируемый период среднюю прочность бетона и коэффициент вариации прочности | Rm и Vm | ------------- |
6 | Рассчитать за анализируемый период партионный коэффициент вариации | Vп | --- |
7 | В зависимости от партионного коэффициента вариации найти коэффициент требуемой прочности Kт  по табл. 2 приложения ГОСТ 18105-86 или табл. 9 (10) настоящих Рекомендаций и рассчитать требуемую прочность бетона на очередной контролируемый период | Rт | --------------------- |
8 | В зависимости от партионного коэффициента вариации найти по табл. 4 ГОСТ 18105-86 ( табл. 12 настоящих Рекомендаций) межпартионный коэффициент вариации Kмп и рассчитать средний для контролируемого периода уровень прочности и верхнюю предупредительную границу средней прочности | Rу,  | ----------- |
9 | В течение контролируемого периода определять прочность бетона в каждой серии (участке) в партии и рассчитать среднюю прочность бетона в партии | Rm | --- |
10 | Сравнить прочность бетона в партии с требуемой и принять решение о приемке этой партии | Rm >= Rт (приемка); Rm < Rт (браковка) | ---- |
11 | Сравнить прочность бетона в последних трех партиях с верхней предупредительной границей и в случае превышения ее во всех трех партиях сократить расход цемента |  ;  ; | - |
12 | Рассчитать среднюю прочность бетона за контролируемый период | Rк | ------------------ |
13 | Сравнить среднюю прочность за контролируемый период со средним уровнем прочности и в случае превышения его сократить расход цемента | Rк > Rу | - |
14 | Для прочности сборных конструкций в проектном возрасте рассчитать коэффициент превышения средней прочности бетона за контролируемый период над требуемой прочностью | Kв | ---- |
| | ИС МЕГАНОРМ: примечание. В официальном тексте документа, видимо, допущена опечатка: таблица 14 отсутствует. Возможно, имеется в виду таблица 13. | |
|
15 | Сравнить коэффициент Kв с прил. 4 ГОСТ 18105-86 ( табл. 14 настоящих Рекомендаций) и при необходимости принять меры по снижению прочности бетона и сокращению расхода цемента | | - |
2. ПОДГОТОВКА К ПРОВЕДЕНИЮ СТАТИСТИЧЕСКОГО КОНТРОЛЯ ПРОЧНОСТИ БЕТОНА
2.1. Переходу предприятий на ведение статистического контроля прочности по
ГОСТ 18105-86 должно предшествовать проведение комплекса мероприятий, включающих подготовку заводской или строительной лабораторий, обучение работников ОТК и строительной инспекции, предварительный выбор объектов контроля (технологических комплексов), предварительную обработку и оценку статистических характеристик прочности бетона на действующих предприятиях сборного железобетона и бетонных заводах, организацию подготовительного периода на предприятиях при контроле прочности неразрушающими методами, разработку (по полученным результатам) плана организационно-технических мероприятий, направленных на повышение однородности прочности бетона.
2.2. Подготовка заводской лаборатории либо лаборатории стройки к проведению контроля и оценки прочности и однородности бетона статистическими методами включает обучение персонала лаборатории, ОТК и строительной инспекции, а также проверку лабораторного оборудования.
Для обучения должны быть использованы
ГОСТ 18105-86, настоящие Рекомендации, а также действующие стандарты по статистическому контролю и качеству продукции:
СТ СЭВ 1406-78 "Конструкции бетонные и железобетонные. Основные положения проектирования";
ГОСТ 10180-78* "Бетоны. Методы определения прочности на сжатие и растяжение";
ГОСТ 18321-73* "Статистический контроль качества. Методы случайного отбора выборок штучной продукции";
ГОСТ 11.002-73 "Прикладная статистика. Правила оценки анормальности результатов наблюдений";
ГОСТ 11.004-74* "Прикладная статистика. Правила определения оценок и доверительных границ для параметров нормального распределения";
ГОСТ 11.006-74* "Прикладная статистика. Правила проверки согласия опытного распределения с теоретическим";
ГОСТ 20736-75 "Статистический приемочный контроль по количественному признаку. Планы контроля".
2.3. Вариация прочности бетона обусловлена влиянием многих факторов, которые условно можно разделить на три основные группы:
первая группа обусловливает вариацию при испытаниях, причиной которой является применение некачественных форм для контрольных образцов, недостаточное уплотнение образцов, нестандартные условия хранения образцов, неустойчивый режим работы лабораторных камер тепловой обработки и камеры нормального твердения, погрешности прессового оборудования и приборов для неразрушающего контроля, недостаточно точное центрирование образцов на плитах пресса и т.п.;
вторая группа факторов, вызывающих увеличение вариации прочности бетона, связана с изменчивостью свойств составляющих бетон материалов. К этой группе можно отнести неучитываемые колебания влажности или загрязненности заполнителей, непостоянство зернового состава, изменчивость активности цемента, использование при изготовлении одних и тех же изделий цементов с различных заводов-поставщиков, непостоянство свойств химических добавок и т.д.;
к третьей группе факторов, вызывающих существенное увеличение вариации прочности бетона, можно отнести факторы, связанные с технологией производства, такие как: смешение заполнителей на складе, погрешности дозирования составляющих, некачественное перемешивание бетонной смеси, недостаточно однородное уплотнение изделий и конструкций на промышленных виброплощадках или других формующих установках, неидентичные условия твердения изделий в ямных камерах или различие в тепловых режимах на различных ярусах в туннельных камерах, разная длительность предварительной выдержки изделий перед тепловой обработкой и т.д.
2.4. С целью снижения вариации, обусловленной влиянием факторов первой группы, необходимо еще до внедрения статистического контроля провести ряд мероприятий:
проверить состояние форм для контрольных образцов на соответствие требованиям ГОСТ 22655-77* с помощью приспособления по прил. 4 ГОСТ 10180-78*;
проверить режим работы лабораторной виброплощадки и качество уплотнения бетона образцов;
проверить качество контрольных образцов по их геометрическим характеристикам;
проверить состояние измерительных инструментов и приборов;
осуществить метрологическую проверку процессов и проверку методики испытаний образцов;
проверить правильность режима работы камеры нормального твердения образцов, наличие прокладок для многоярусного хранения образцов, правильность работы термометра и психрометра;
проверить состояние опорных плит прессов (наличие искривлений и крупных вмятин, наличие рисок или приспособлений для центровки образцов), подвижность шарового шарнира;
обеспечить стабильность принятых режимов тепловой обработки в лабораторной камере ускоренного твердения контрольных образцов.
2.5. Суммарным показателем качества изготовления, условий хранения и испытания контрольных образцов является коэффициент вариации прочности образцов-близнецов внутри серии. Для установления величины этого коэффициента из лабораторных журналов производится выборка по 20 - 30 серий результатов испытаний образцов-близнецов для 2 - 3 различных составов, отличающихся удобоукладываемостью смеси, классом бетона и видом используемых материалов. Для каждого состава рассчитывается средний внутрисерийный коэффициент вариации Vс по формуле

(1)
где

- средняя прочность всех серий, МПа, рассчитанная по
формуле (2) Рекомендаций;
Wi - размах прочности в серии, МПа, рассчитанный по
формуле (3) Рекомендаций;
n - количество серий образцов;
d - коэффициент, равный 1,69 для трех образцов в серии и 1,13 - для двух образцов в серии.

(2)
Wi =
Ri,max -
Ri,min, (3)
где

- средняя прочность серии образцов, МПа;
Ri,max и Ri,min - максимальное и минимальное значение прочности образцов в одной серии, МПа.
Правила вычисления внутрисерийного коэффициента вариации иллюстрируются
примером 1.
Пример 1. На заводе "Д" изготовляют конструкции из бетона 7 различных составов, характеристики которых приведены в
табл. 3.
N состава | Класс бетона | Удобоукладываемость бетонной смеси | Марка, вид цемента | Вид крупного заполнителя |
Ж, с | ОК, см |
1 | B15 | 10 | 2 | 300, ШПЦ | Щебень известняковый |
2 | B15 | - | 12 | 300, ШПЦ | То же |
3 | B25 | 10 | - | 500, ПЦ-Д20 | " |
4 | B25 | 20 | - | 500, ПЦ-Д20 | " |
5 | B25 | - | 10 | 500, ПЦ-Д20 | " |
6 | B30 | - | 3 | 500, ПЦ-Д20 | Щебень гранитный |
7 | B30 | - | 6 | 500, ПЦ-Д20 | То же |
Для проверки Vс целесообразно выбрать составы N 2, 4 и 6.
Выборка результатов по составу N 2 для отпускной прочности бетона и необходимые вычисления приведены в
табл. 4. По
формуле (2) настоящих Рекомендаций вычисляют среднюю прочность бетона по всем сериям образцов

.
N серии | Прочность отдельных образцов, МПа | Средняя прочность в серии Ri, МПа | Размах прочности Wi, МПа |
1 | 2 | 3 |
1 | 18,1 | 18,4 | 18,9 | 18,5 | 0,8 |
2 | 16,5 | 17,4 | 17 | 17 | 0,9 |
3 | 16,9 | 16,4 | 17,1 | 16,8 | 0,7 |
4 | 21,2 | 21,8 | 21,6 | 21,5 | 0,6 |
5 | 19,5 | 19,9 | 20,6 | 20 | 1,1 |
6 | 19,9 | 20 | 20,2 | 20 | 0,3 |
7 | 20 | 22,2 | 20,9 | 21 | 2,2 |
8 | 20,6 | 19,8 | 21,4 | 20,6 | 1,6 |
9 | 18,6 | 18,3 | 19,3 | 18,7 | 1 |
10 | 16,5 | 18,7 | 17,8 | 17,7 | 2,2 |
11 | 17,4 | 18,1 | 16,5 | 17,3 | 1,6 |
12 | 17,9 | 18,5 | 18,4 | 18,3 | 0,6 |
13 | 18,6 | 18,3 | 19,3 | 18,7 | 1 |
14 | 17,4 | 18,2 | 18,8 | 18,1 | 1,4 |
15 | 18,1 | 17,5 | 19 | 18,2 | 1,5 |
16 | 17,7 | 16,4 | 17,2 | 17,1 | 1,3 |
17 | 18,6 | 18,4 | 19,5 | 18,8 | 1,1 |
18 | 18,5 | 19 | 19,1 | 18,9 | 0,6 |
19 | 18,5 | 17,7 | 16,8 | 17,7 | 1,7 |
20 | 15,9 | 16,3 | 15,2 | 15,8 | 1,1 |
Итого | - | - | - | 370,7 | 23,3 |
Вариацию прочности бетона вычисляют по всем сериям образцов по
формуле (3) настоящих Рекомендаций
Vс = (0,8 + 0,9 + ... + 1,1)/(20·1,63·18,5) = 23,3·100/(20·1,69·18,5) = 3,7%.
Для составов N 4 и 6 проведены аналогичные вычисления и получены значения: Vс = 4,2 - для состава N 6; Vс = 6,5 - для состава N 4.
2.6. При анализе внутрисерийной вариации следует руководствоваться следующими указаниями:
расчет Vс необходимо производить для значений прочности в одном и том же возрасте (для сборного железобетона для отпускной прочности и для прочности в возрасте 28 сут);
если в отдельных случаях количество образцов отличается от принятого в остальных сериях (два вместо трех или три вместо двух), то эти серии из расчета исключаются.
2.7. Если величина среднего внутрисерийного коэффициента вариации Vс не превышает 5%, то качество изготовления и испытания контрольных образцов признается удовлетворительным.
В случаях, если Vс > 5% для какого-либо из составов, следует установить причины этого и устранить их.
Высокий внутрисерийный коэффициент вариации прочности образцов-близнецов может быть следствием дефектов в работе лаборатории.
Пример 2. По условиям
примера 1 для состава N 4 величина
Vс = 6,5%, что превышает максимальное значение
Vс,max = 5%. Необходимо выявить и устранить причины высокой внутрисерийной вариации.
Учитывая, что в
примере 1 внутрисерийный коэффициент вариации в составах бетона N 2 и 6 был ниже 5%, следует рассмотреть особенности состава N 4. Использованные для состава N 4 материалы не отличаются от составов N 2 и 6 (см.
табл. 3) и поэтому не могут быть причиной повышенной вариации. Класс бетона состава N 4 является промежуточным в сравнении с составами N 2 и 6 и, следовательно, также не может быть причиной повышенной вариации. Существенной особенностью состава N 4 является более высокая жесткость смеси (20 с). Показатель жесткости сам по себе не должен вызывать заметный рост внутрисерийной вариации. Можно предположить, что высокая внутрисерийная вариация прочности бетона состава N 4 связана с недостаточным и нестабильным уплотнением бетонной смеси при изготовлении образцов. Необходимо проверить амплитуду виброплощадки, продолжительность и постоянство времени уплотнения образцов, а также величину и стабильность коэффициента уплотнения бетона.
Проверка показала, что параметры лабораторной виброплощадки соответствуют требованиям ГОСТ 10180-78*. Проверка коэффициента уплотнения отдельных образцов выявила, что средний коэффициент уплотнения Kупл = 0,94 при колебаниях от 0,92 до 0,96. В связи с низким значением коэффициента уплотнения и большим его разбросом были изготовлены три дополнительные серии по восемь образцов при увеличенной продолжительности уплотнения. Средний коэффициент уплотнения составил 0,969 при колебаниях от 0,96 до 0,975, а средний коэффициент вариации Vс снизился до 4,7%.
Пример 3. На заводе товарного бетона проверка показала, что величина внутрисерийного коэффициента вариации прочности бетона Vс в возрасте 28 сут нормального хранения по трем обследованным составам превышает 5% и находится в пределах 6 - 9%.
Можно предположить, что причиной повышения внутрисерийной вариации являются колебания режима твердения в заводских камерах нормального твердения.
Для проверки этого предположения были изготовлены две дополнительные серии образцов одного состава бетона. Образцы пропаривали в лабораторной камере. Коэффициент вариации Vс для этих серий составил 4 и 4,3%. Следовательно, наиболее вероятной причиной повышенной вариации прочности образцов в возрасте 28 сут являются неправильные условия выдерживания образцов в камере нормального твердения, так как термообработка контрольных образцов сама по себе не может уменьшить вариацию прочности бетона против вариации при нормальном твердении.
Обследование камеры нормального твердения показало, что образцы укладывались друг на друга по сериям без разделительных прокладок и поэтому твердели в различных влажностных условиях, что ухудшило однородность их прочности.
2.8. С целью снижения затрат на организацию статистического контроля на действующих заводах сборных конструкций и на бетонных заводах необходимо провести предварительную статистическую обработку и анализ имеющихся результатов определения прочности бетона для продукции массового выпуска, при контроле которой можно набрать не менее 15 - 20 результатов испытаний в течение одного календарного месяца.
Для этого выбирают из лабораторных журналов результаты испытания контрольных образцов, разделяют их по отдельным технологическим линиям и условным партиям и для каждой группы результатов рассчитывают статистические характеристики (средние прочности и коэффициенты вариации). Для каждой технологической линии на заводе сборных конструкций производится раздельная выписка результатов контроля передаточной и отпускной прочностей, а также прочности бетона в проектном возрасте. На бетонных заводах выписываются результаты контроля прочности в проектном возрасте раздельно по секциям и маркам бетона.
2.9. Продукцию каждой технологической линии (секции) разбивают на условные партии бетона, для которых вычисляют статистические характеристики. Объемы условных партий назначают в зависимости от существовавших на предприятиях норм отбора проб так, чтобы прочность каждой условной партии характеризовалась результатами испытания не менее двух серий контрольных образцов одного возраста. На предприятиях сборного железобетона в качестве условной партии рекомендуется принимать сменную, двухсменную или суточную продукцию технологической линии, а на предприятиях по производству товарной бетонной смеси - продукцию бетоносмесительной секции не менее чем за неделю.
Предварительная обработка результатов контроля прочности бетона монолитных конструкций по образцам, твердевшим на строительной площадке в тех же условиях, что и конструкции, не требуется, так как коэффициент вариации для таких испытаний не вычисляется.
Ход предварительной статистической обработки и анализа показан в
примере 4.
Пример 4. На агрегатно-поточной линии изготавливают ригели из бетона класса B15 с отпускной прочностью 70%. Каждую смену отбирается одна проба бетона, из которой готовятся образцы для контроля отпускной прочности. Режим работы: 5 дней в неделю в 3 смены, а в субботу - в две смены. Потребителю отгружают суточную продукцию.
Исходя из необходимости характеризовать прочность партии бетона результатами испытания не менее двух серий образцов, целесообразно принять в качестве условной партии для предварительного расчета статистических характеристик суточную продукцию линии.
Выписка исходных данных из лабораторного журнала за один месяц и их статистическая обработка приведены в
табл. 5.
N условной партии m | Дата | | Ri, МПа | | | d | | |
1 | 05.04 | 1 | 16,6 | 15,6 | 2,2 | 1,69 | 1,3 | 8,3 |
2 | 14,4 |
3 | 15,9 |
2 | 06.04 | 1 | 14,9 | 15,0 | 0,8 | 1,69 | 0,18 | 1,2 |
2 | 14,9 |
3 | 15,2 |
3 | 07.04 | 1 | 15,5 | 15,5 | 0,8 | 1,69 | 0,47 | 3,1 |
2 | 15,9 |
3 | 15,1 |
4 | 08.04 | 1 | 15,7 | 15,8 | 0,4 | 1,69 | 0,24 | 1,5 |
2 | 16,0 |
3 | 15,6 |
5 | 09.04 | 1 | 15,8 | 15,4 | 0,6 | 1,69 | 0,36 | 2,3 |
2 | 15,2 |
3 | 15,2 |
6 | 11.04 | 1 | 15,5 | 15,4 | 0,3 | 1,13 | 0,27 | 1,7 |
2 | 15,2 |
7 | 12.04 | 1 | 15,8 | 15,4 | 0,7 | 1,69 | 0,41 | 2,7 |
2 | 15,2 |
3 | 15,1 |
8 | 13.04 | 1 | 15,2 | 15,5 | 0,8 | 1,69 | 0,47 | 3,1 |
2 | 15,2 |
3 | 16,0 |
9 | 14.04 | 1 | 16,4 | 16,5 | 0,8 | 1,69 | 0,47 | 2,9 |
2 | 16,9 |
3 | 16,1 |
10 | 15.04 | 1 | 15,7 | 15,5 | 1,9 | 1,69 | 1,15 | 7,2 |
2 | 16,3 |
3 | 14,4 |
11 | 16.04 | 1 | 14,5 | 15,5 | 1,5 | 1,69 | 0,89 | 5,7 |
2 | 16,0 |
3 | 16,0 |
12 | 17.04 | 1 | 17,6 | 17,4 | 0,4 | 1,13 | 0,35 | 2,0 |
2 | 17,2 |
13 | 19.04 | 1 | 14,2 | 14,7 | 0,9 | 1,69 | 0,53 | 3,7 |
2 | 15,1 |
3 | 14,9 |
14 | 20.04 | 1 | 15,1 | 15,3 | 0,7 | 1,69 | 0,41 | 2,7 |
2 | 15,8 |
3 | 15,4 |
15 | 21.04 | 1 | 14,5 | 15,6 | 1,6 | 1,69 | 0,95 | 6,1 |
2 | 16,1 |
3 | 16,1 |
16 | 22.04 | 1 | 16,0 | 17,4 | 2,2 | 1,69 | 1,3 | 7,5 |
2 | 18,2 |
3 | 18,0 |
17 | 23.04 | 1 | 16,4 | 16,7 | 0,6 | 1,69 | 0,36 | 2,1 |
2 | 16,8 |
3 | 17,0 |
18 | 24.04 | 1 | 15,5 | 15,8 | 0,5 | 1,13 | 0,44 | 2,8 |
2 | 16,0 |
| | ИС МЕГАНОРМ: примечание. Текст в графе "Дата" дан в соответствии с официальным текстом документа. | |
|
19 | 21.04 | 1 | 17,9 | 16,0 | 3,9 | 1,69 | 2,3 | 14,0 |
2 | 14,0 |
3 | 16,0 |
20 | 27.04 | 1 | 15,9 | 15,9 | 0,5 | 1,69 | 0,3 | 1,9 |
2 | 16,2 |
3 | 15,7 |
21 | 28.04 | 1 | 15,8 | 15,6 | 0,4 | 1,69 | 0,24 | 1,5 |
2 | 15,4 |
3 | 15,6 |
22 | 29.04 | 1 | 16,4 | 15,7 | 0,8 | 1,69 | 0,69 | 3,0 |
2 | 15,5 |
3 | 15,3 |
23 | 30.04 | 1 | 16,5 | 16,3 | 0,3 | 1,13 | 0,27 | 1,6 |
2 | 16,2 |

(4)
где Ri - средняя прочность бетона серии образцов, МПа;
n - число серий в партии.
d - коэффициент, зависящий от количества серий контрольных образцов, принимаемый по
табл. 6.
Число серий образцов | n | 2 | 3 | 4 | 5 | 6 |
Значение коэффициента | d | 1,13 | 1,69 | 2,06 | 2,33 | 2,5 |
Средний по партии коэффициент вариации вычисляют по
формуле (7) ГОСТ 18105-86

(7)
| | ИС МЕГАНОРМ: примечание. Формула дана в соответствии с официальным текстом документа. | |
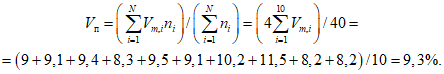
Vп = 195,7/65 = 3%.
Пример 5. Бетонный завод работает 7 дней в неделю. Пробы бетонной смеси отбирают 1 раз в сут. В
табл. 7 приведены результаты контроля прочности бетона класса B15 за один месяц.
Дата | Ri, МПа | Дата | Ri, МПа | Дата | Ri, МПа | Дата | Ri, МПа |
1 | 2 | 3 | 4 | 5 | 6 | 7 | 8 |
3.05 | 21,5 | 10.05 | 24,2 | 17.05 | 20,8 | 24.05 | 23,2 |
4.05 | 24,6 | 11.05 | 19,4 | 18.05 | 21,7 | 25.05 | 26,4 |
5.05 | 21,8 | 12.05 | 21 | 19.05 | 24,5 | 26,05 | 23 |
6.05 | 20,4 | 13.05 | 20,3 | 20.05 | 22,8 | 27.05 | 21,3 |
7.05 | 21 | 14.05 | 23,1 | 21.05 | 20,7 | 28.05 | 24,1 |
8.05 | 23,4 | 15.05 | 22,5 | 22.05 | 23,8 | 29.05 | 23,6 |
9.05 | 22,1 | 16.05 | 23,2 | 23.05 | 24 | 30.05 | 23 |
n | 7 | - | 7 | - | 7 | - | 7 |
Rm, МПа | 22,1 | - | 22,0 | - | 22,6 | - | 23,5 |
Sm, МПа | 1,44 | - | 1,75 | - | 1,57 | - | 1,54 |
Vm, % | 6,5 | - | 8,0 | - | 6,9 | - | 6,5 |
Примем в качестве партии недельный объем выпуска бетона класса B15. Среднюю прочность бетона в партии
Rm рассчитаем по
формуле (4). Так как число результатов в партии 7 больше шести, то для подсчета среднеквадратичного отклонения вместо
формулы (5) настоящих Рекомендаций следует применить
формулу (2) ГОСТ 18105-86

(8)
Коэффициент вариации прочности бетона в отдельных партиях (
Vm) рассчитывают, как и в
примере 4, по
формуле (6) настоящих Рекомендаций.
Результаты расчета статистических характеристик для четырех партий даны в нижней части
табл. 7.
Средний по партиям коэффициент вариации
Vп рассчитывается по
формуле (7) настоящих Рекомендаций. Поскольку в рассматриваемом примере в каждой партии было одинаковое количество результатов, то
формула (7) может быть заменена на более простую

(9)
В данном примере N = 4 и Vп = (6,5 + 8,0 + 6,9 + 6,5)/4 = 7%.
2.10. На предприятиях сборного железобетона, применяющих неразрушающие методы испытания, перед внедрением статистического контроля дополнительно необходимо провести метрологическую поверку используемых приборов и установить или проверить имеющиеся градуировочные зависимости, оценить их погрешности, а также определить при необходимости различия прочности по зонам конструкций и коэффициент
Kп. Правила и примеры таких расчетов даны в
прил. 1 и
2.
2.11. Перед внедрением статистического контроля прочности бетона необходимо проанализировать объемы производства и номенклатуру номинальных составов бетона и конструкций, технологию производства и поставки бетона и конструкций потребителям, возможности заводской (строительной) лаборатории по объему контроля и в соответствии с требованиями
ГОСТ 18105-86 и настоящих Рекомендаций назначить: номенклатуру конструкций, входящих в партию; виды контролируемой прочности; технологические комплексы; длительность изготовления партии; объем контроля; длительность контролируемого и анализируемого периодов.
Отдельно надо выделить перечень нерегулярно выпускаемых сборных конструкций и составов бетонной смеси, для которых в соответствии с
п. 3.7 ГОСТ 18105-86 (
п. 1.6 Рекомендаций) коэффициент вариации не вычисляется, а принимается по данным контроля бетона другого серийно выпускаемого состава, и установить номенклатуру привязки нерегулярно и серийно выпускаемых составов.
3. НАЗНАЧЕНИЕ ДЛИТЕЛЬНОСТИ АНАЛИЗИРУЕМОГО И КОНТРОЛИРУЕМОГО ПЕРИОДОВ
3.1. При статистическом контроле коэффициент вариации прочности бетона принимается постоянным на определенный период времени, называемый контролируемым периодом.
Вычисление коэффициента вариации и других статистических характеристик прочности бетона производится за предшествующий определенный период работы предприятий, называемый анализируемым или базисным периодом (
прил. 1 ГОСТ 18105-86).
3.2. Назначенная схема статистического контроля (норма отбора проб, контролируемые комплексы, длительность изготовления партии бетона, требуемые прочности бетона и пр.) должны быть, как правило, неизменными в течение контролируемого периода. Необходимые изменения в схему контроля могут вноситься только по окончании очередного контролируемого периода.
3.3. Продолжительность контролируемого периода принимается от одной недели до месяца, а анализируемого периода - от одной недели до двух месяцев. Продолжительность анализируемого и контролируемого периодов удобно принимать одинаковой и равной одному месяцу.
Количество серий контрольных образцов для определения среднего по партиям коэффициента вариации прочности бетона в данном возрасте за анализируемый период должно быть не менее 30.
3.4. При неразрушающих методах определения прочности в случаях, когда единичным значением прочности является прочность участка конструкции, за анализируемый период, должно быть испытано не менее 15 конструкций, а расчет статистических характеристик производится минимум по 30 результатам (15 конструкций, 2 участка в каждой конструкции).
Если единичным значением является средняя прочность конструкции, расчет статистических характеристик производится не менее чем по 30 испытанным конструкциям.
Выбор единичного значения производится по
п. 2 прил. 1 настоящих Рекомендаций (или
прил. 2 ГОСТ 18105-86).
3.5. На строительных площадках подсчет коэффициента вариации не производится и поэтому понятие контролируемого и анализируемого периодов к строительным площадкам не применимы.
3.6. Если принятые нормы отбора проб не обеспечивают накопления необходимого количества результатов испытаний за один месяц, то продолжительность анализируемого периода может быть увеличена до двух месяцев. При этом анализируемый период будет включать в себя помимо последнего законченного контролируемого периода также и предпоследний контролируемый период или его часть.
3.7. Сокращение длительности контролируемого периода вплоть до одной недели целесообразно, если по технологическим соображениям можно ожидать существенного изменения вариации прочности бетона в течение месяца или если результаты статистической обработки показывают наличие устойчивых и достаточно длительных тенденций уменьшения или увеличения прочности бетона и (или) его вариации, а также при контроле прочности бетона неразрушающими методами на заводах сборных изделий.
4. НОРМЫ КОНТРОЛЯ, ПОРЯДОК ОТБОРА ПРОБ, ПРАВИЛА ИЗГОТОВЛЕНИЯ, ХРАНЕНИЯ И ИСПЫТАНИЯ КОНТРОЛЬНЫХ ОБРАЗЦОВ
4.1. На заводах сборных железобетонных конструкций, бетонных заводах и строительных площадках при контроле по образцам прочность каждой партии бетона должна характеризоваться результатами испытаний не менее чем двух серий контрольных образцов, изготовленных из разных проб бетонной смеси.
4.2. При неразрушающих методах контроля передаточную или отпускную прочность каждой партии сборных железобетонных конструкций определяют по результатам испытания 10% конструкций данного вида, но не менее трех конструкций.
На строительной площадке неразрушающими методами контролируют не менее одной конструкции из забетонированных в течение одних суток или контролируют часть конструкции, если ее бетонирование продолжается более суток.
4.3. Пробы бетонной смеси на заводе сборных железобетонных конструкций отбираются на посту формования от замесов, выбираемых случайным образом. При этом пробы не рекомендуется отбирать из первого и последнего замесов, а также от двух соседних.
При сменной продолжительности изготовления партии бетона отбираются две пробы. При большей продолжительности - в смену отбирается одна проба.
При объединении однотипных технологических линий в единый технологический комплекс пробы бетона отбираются поочередно на каждой технологической линии.
4.4. На заводах сборных железобетонных изделий из каждой пробы изготавливается следующее количество серий образцов:
одна серия - при контроле изделий без предварительного напряжения или с предварительным напряжением при условии равенства отпускной и передаточной прочности;
две серии - при контроле предварительно напряженных конструкций, у которых стандартом или техническими условиями предусмотрена отпускная прочность более высокая, чем передаточная, - по одной для определения передаточной и отпускной прочности.
В обоих случаях, если нормируемая отпускная прочность бетона ниже 90% класса (проектной марки), из тех же проб бетона изготовляются дополнительные серии контрольных образцов для определения прочности в проектном возрасте. Дополнительные серии должны характеризовать прочность одной партии и изготавливаться один раз в неделю для бетонов класса B30 (марки 400) и ниже. Для бетонов класса B35 (марка 450) и выше дополнительные серии образцов изготавливаются два раза в неделю для двух партий.
Если нормируемые отпускные или передаточные прочности бетона составляют 90% и более класса (марки), не требуется изготавливать дополнительные серии образцов, так как контроль прочности такого бетона в проектном возрасте не производится.
Пример 6. Завод изготавливает колонны из бетона класса B30. Отпускная прочность колонн равна 70%. За партию принята сменная продукция. В соответствии с
ГОСТ 18105-86 в смену для контроля отпускной прочности отбираются две пробы бетонной смеси и изготавливается по одной серии контрольных образцов. Для контроля прочности бетона в проектном возрасте в одну из смен один раз в неделю из отобранных проб изготавливают по две серии образцов: одну - для контроля отпускной прочности, вторую - для контроля проектной прочности.
Пример 7. Цех выпускает предварительно напряженные подкрановые балки из бетона класса B40. Передаточная прочность равна отпускной и составляет 80% класса (что меньше 90%). Партией является суточная продукция. Поскольку класс бетона выше B30, то в течение недели от любых двух партий отбирают дополнительные пробы, из которых изготавливают серии для определения прочности в проектном возрасте.
4.5. При контроле ячеистых бетонов пробы не отбираются. Контрольные образцы высверливаются или выпиливаются непосредственно из конструкций или специальных контрольных блоков. Нельзя извлекать образцы-близнецы из изделий, изготовленных из одного замеса, или делать из соседних замесов два или более контрольных блока. Для каждой партии изготавливается не менее двух контрольных блоков, из которых извлекаются по одной серии образцов для контроля проектной прочности.
4.6. На бетонных заводах пробы бетонной смеси отбираются у места погрузки ее в транспортные средства или непосредственно из транспортного средства из разных мест транспортной емкости.
В случае приготовления бетонной смеси в автобетоносмесителе в процессе транспортирования пробы отбираются у места бетонирования в процессе разгрузки автобетоносмесителя из средней части замеса.
Из каждой пробы изготавливают по две серии контрольных образцов: одну серию для определения прочности ускоренным методом и вторую для контроля прочности в проектном возрасте.
4.7. На строительной площадке пробы бетонной смеси отбираются у места бетонирования. Из каждой пробы изготавливается по одной серии образцов для контроля прочности в проектном возрасте. При необходимости контроля прочности в промежуточные сроки из тех же проб изготавливаются дополнительные серии образцов по одной на каждый срок.
По согласованию с проектной организацией, осуществляющей авторский надзор, допускается не отбирать на строительной площадке пробы бетонной смеси (на месте бетонирования конструкций), а оценивать прочность бетона по данным ее контроля на бетонном заводе. При этом рост прочности бетона рекомендуется контролировать по результатам измерения температуры в конструкции.
4.8. Твердение образцов бетона, предназначенных для контроля передаточной и отпускной прочности сборных изделий, должно осуществляться с момента их изготовления до момента испытания в условиях, аналогичных условиям твердения изделий. На производствах с налаженным пооперационным контролем технологического процесса и в том числе режима ускоренного твердения тепловую обработку контрольных образцов допускается производить в специальных лабораторных камерах тем же способом, как и на контролируемом технологическом комплексе по номинальному (расчетному) режиму. В случаях когда предварительная проверка показывает, что режим пропарки (или другой вид тепловой обработки) еще недостаточно стабилизирован, необходимо для получения более точной информации о величине фактической отпускной прочности бетона максимально приблизить условия твердения образцов для контроля отпускной и передаточной прочностей к фактическим условиям обработки изделий на контролируемом комплексе, например пропаривать в камерах вместе с изделиями. При этом возможно некоторое увеличение коэффициента вариации прочности бетона за счет различия в режимах тепловлажностной обработки.
4.9. Образцы бетона сборных изделий, предназначенные для контроля его прочности в проектном возрасте, должны изготавливаться одновременно с образцами для контроля отпускной или передаточной прочности и твердеть вместе с ними до момента испытания образцов для контроля отпускной прочности. Затем образцы для контроля прочности в проектном возрасте помещают в камеру нормального твердения, где они хранятся при температуре 20 +/- 2 °C и относительной влажности воздуха не менее 95% до момента их испытания в возрасте 28 сут или ином возрасте, указанном в стандартах или Технических условиях на эти изделия. Испытание образцов проводится по ГОСТ 10180-78.
4.10. На бетонном заводе образцы, предназначенные для ускоренного определения прочности бетона, подвергают тепловой обработке по одному из режимов, установленных
ГОСТ 22783-77, и испытывают в сроки, регламентированные этим стандартом.
Для контроля прочности в проектном возрасте хранение образцов осуществляется в камере нормального твердения.
4.11. На строительной площадке контрольные образцы до момента испытания должны храниться либо вместе с забетонированными конструкциями, либо в условиях, аналогичных условиям твердения монолитных конструкций. Срок испытаний образцов определяется лабораторией, исходя из ожидаемого срока достижения проектной прочности в зависимости от фактических условий твердения.
4.12. При организации испытания образцов, особенно после их тепловлажностной обработки, необходимо обращать серьезное внимание на постоянные сроки испытания контрольных образцов, так как, например, изменение времени выдерживания после окончания пропарки по коротким режимам до момента испытания в пределах 4 ... 12 ч может изменить величину прочности на 10 ... 20%.
4.13. Нормы неразрушающего контроля сборных конструкций устанавливаются для партии бетона, которая, как правило, должна совпадать с партией конструкций и включать сменную или суточную продукцию. На каждой конструкции назначают не менее двух контролируемых участков. На каждой монолитной конструкции назначают не менее четырех контролируемых участков.
4.14. Число и расположение контролируемых участков должно указываться проектной организацией в рабочих чертежах конструкций в зависимости от геометрических размеров, назначения и технологии их изготовления и быть не менее:
одного участка на 4 м длины - для линейных конструкций;
одного участка на 4 м2 площади - для плоских конструкций, за исключением монолитных конструкций сплошных стен;
одного участка на 8 м2 площади - для монолитных конструкций сплошных стен.
При отсутствии указаний в рабочих чертежах контролируемые участки устанавливаются изготовителем по согласованию с проектной или научно-исследовательской организацией.
Число измерений, выполняемых на каждом контролируемом участке, принимают по действующим стандартам на методы неразрушающего контроля.
4.15. Для сборных конструкций неразрушающими методами контролируют 10% конструкций, но не менее 3. Минимальное количество конструкций, контролируемых в каждой партии, рекомендуется принимать по
табл. 8.
Количество конструкций в партии | До 30 | 31 ... 40 | 41 ... 50 | 51 до 60 |
Количество контролируемых конструкций | 3 | 4 | 5 | 6 |
4.16. При неразрушающем контроле отпускной (передаточной) прочности сборных конструкций прочность в проектном возрасте контролируют по образцам в соответствии с
п. 4.4 данного раздела.
4.17. При неразрушающем контроле прочности монолитных конструкций следует контролировать не менее одной конструкции из числа однотипных конструкций, забетонированных в течение каждых суток. При бетонировании конструкции в течение более одних суток рекомендуется контролировать каждую часть конструкции, бетонировавшуюся сутки.
4.18. При необходимости контроля прочности бетона отдельных партий число единичных значений прочности бетона в этой партии должно быть не менее 30. Такой контроль применяют, как правило, при определении прочности бетона неразрушающими методами.
5. НАЗНАЧЕНИЕ ПАРТИИ БЕТОНА И ДЛИТЕЛЬНОСТИ ЕЕ ИЗГОТОВЛЕНИЯ
5.1. В соответствии с
п. 2.1 ГОСТ 18105-86 на заводах сборных железобетонных конструкций в состав партии включают бетон конструкций, формуемых на одном технологическом комплексе одного номинального состава по
ГОСТ 27006-86 по одной технологии в течение не менее одной смены и не более одной недели.
5.2. При контроле прочности бетона сборных конструкций неразрушающими методами в состав партии включают бетон одной партии однотипных конструкций, так как в конструкциях различных типов бетон может иметь различную прочность за счет отличия в условиях уплотнения и твердения.
При контроле по образцам в состав партии может включаться бетон одной или нескольких партий конструкций различных типов, но изготовленных в одно время из бетона одного и того же состава и твердевших по одному режиму.
Пример 8. На технологической линии завода ЖБИ изготавливаются по агрегатно-поточной технологии из бетона класса B15 плоские панели перекрытий и стеновые панели. Формование изделий производится на виброплощадке. Тепловая обработка - в ямных камерах по одинаковому режиму. Завод работает в две смены пять дней в неделю. При контроле по образцам за партию бетона можно принять сменную или суточную продукцию технологической линии без разделения по видам изделий, т.е. партия бетона включает две партии изделий. При неразрушающем контроле каждый вид изделий контролируют отдельно, и сменный выпуск продукции разделяют на две партии, каждая из которых соответствует партии однотипных конструкций.
5.3. Физический объем бетона не нормируется, а зависит от производительности предприятий и длительности изготовления партии продукции, как это регламентируется ГОСТом и ТУ на сборные железобетонные конструкции.
5.4. Длительность изготовления партии сборных железобетонных конструкций должна назначаться в зависимости от конкретных условий производства и поставки продукции потребителю, от вида конструкции (обычные или предварительно напряженные), а также с учетом возможности хранения готовых конструкций на складе. Следует учитывать, что отгрузка готовых конструкций потребителю должна производиться только после испытания всех серий контрольных образцов, характеризующих прочность отправляемой партии, или испытания всех конструкций, подлежащих контролю неразрушающими методами, а также после оценки полученных результатов.
5.5. На предприятиях, осуществляющих отпуск готовой продукции без промежуточного складирования, а также при производстве предварительно напряженных конструкций, когда решение о передаче предварительного напряжения на бетон вынуждены принимать к моменту отпуска арматуры изделий данной смены, длительность изготовления партии целесообразно принимать равной одной смене.
Для ненапряженных конструкций во многих случаях целесообразнее за партию считать суточную продукцию технологического комплекса, а в некоторых случаях и недельную, если площадь складов готовой продукции позволяет сохранять недельный выпуск конструкций.
Следует учесть, что увеличение длительности изготовления партии бетона до одних или более суток позволяет снизить объем контроля с двух проб в смену при сменной партии до одной пробы в смену при более длительном времени изготовления партии.
Пример 9. Цех завода ЖБИ выпускает предварительно напряженные плиты покрытий промышленных зданий размером 3 x 12 м по агрегатно-поточной технологии. Изделия твердеют в пропарочных ямных камерах.
За партию принимается продукция одной смены, так как для решения возможности передачи напряжений на бетон необходимо испытать минимум две серии образцов. Образцы этих двух серий должны твердеть вместе с изделиями в одной пропарочной камере.
Пример 10. На заводе железобетонных изделий производятся ненапряженные многопустотные плиты перекрытий. Завод работает в три смены пять дней в неделю. В субботу - в две смены. Склад позволяет накапливать двухсуточную продукцию.
В данном случае целесообразно назначить суточную продолжительность изготовления партии плит. В каждую смену отбирается одна проба и тем самым вдвое сокращается объем контроля. В рабочие дни каждая партия оценивается по трем результатам, а субботняя - по двум.
Пример 11. В цехе завода железобетонных изделий, работающем в три смены, производятся керамзитобетонные наружные стеновые панели класса B3,5, лестничные марши и площадки из бетона одного состава класса B15. Стеновые панели после тепловой обработки проходят отделочный конвейер, после которого устанавливаются в вертикальные стеллажи для сушки накрывочного слоя в течение 20 ч. В связи с малой площадью склада готовых изделий отгрузка стеновых панелей производится без промежуточного складирования.
Лестничные марши и площадки штабелируются на складе, обеспечивающем хранение двухсменной продукции.
Объем партии бетона для стеновых панелей целесообразно принять равным суточной продукции. При этом к середине третьей смены испытываются образцы от последней для данной партии бетона пробы и производится приемка партии бетона. К этому моменту продукция за первые две смены и на начало третьей смены находится на стеллажах, а остальная - по мере окончания термообработки проходит отделочный конвейер.
Объем партии бетона для маршей и площадок может быть принят равным продукции за одну или две смены. При двух сменах объем контроля можно уменьшить по сравнению с одной сменой. Однако при трехсменной работе предприятия в партию будет входить продукция разных суток, что может создать организационные трудности.
Пример 12. На полигоне изготавливают предварительно напряженные большепролетные фермы из бетона класса B40 и предварительно напряженные балки из бетона класса B25.
Фермы производятся на стендах с оборотом в одни сутки. Изготовлением ферм занята одна бригада рабочих, формующих по две фермы в смену.
Балки изготовляют в количестве пяти в смену в силовых формах. Укладка бетонной смеси во все пять форм для балок производится бетоноукладчиком одновременно.
Рассмотрим вариант назначения партии, соответствующей двум или более фермам. В этом случае надо было бы отбирать пробы смеси как минимум от бетона каждой второй фермы для того, чтобы обеспечить наличие одной пробы в смену. Такое решение приводит к необходимости задержать передачу напряжений на бетон до испытания образцов из последней в партии пробы. Даже при назначении партии, соответствующей всего двум фермам, и отборе проб от каждой фермы эта задержка составит около 4 ч. Ясно, что единственным решением, не связанным с задержкой производства, является назначение в качестве партии бетона одной фермы. Для балок в связи с одновременным их бетонированием и окончанием термообработки в один и тот же момент в качестве партии следует принять бетон всех изготовляемых за смену балок.
Пример 13. Завод ячеистого бетона выпускает плиты покрытий ГКП и наружные стеновые панели для жилых домов из ячеистого бетона класса B3 средней плотностью 700 кг/м3, а также стеновые панели для производственных зданий из бетона класса B2,5 средней плотностью 550 - 600 кг/м3 и мелкие стеновые блоки из бетона класса B2,5 плотностью 600 кг/м3. Завод работает пять дней в неделю в три смены.
Вся продукция изготавливается по литьевой технологии на двух технологических линиях, причем одна из них специализирована на изготовлении мелких блоков по резательной технологии и работает все три смены. На другой линии в течение одной смены изготавливаются стеновые панели для производственных зданий и в три смены изготавливаются плиты покрытий ГКП и панели для жилых зданий.
Для мелких стеновых блоков за партию бетона целесообразно принять суточный объем бетона. Прочность партии будет оцениваться по трем результатам испытаний (по одной серии образцов в смену).
Также за партию можно принять суточный объем бетона для плит покрытий ГКП и панелей для жилых зданий.
За партию бетона для панелей производственных зданий принимается продукция одной смены. В этом случае объем контроля будет увеличен вдвое - две серии образцов в смену, в то время как в двух предыдущих случаях в смену испытывали одну серию образцов.
Пример 14. Цех завода железобетонных изделий, работающий в три смены, выпускает стойки для винограда. После короткой термообработки готовые изделия дозревают на открытой площадке. Площадка обслуживается автопогрузчиками и может обеспечить хранение более чем месячной продукции цеха. Пробы отбираются один раз в смену.
Объем партии бетона в данном случае целесообразно принять максимально допустимым, соответствующим недельному выпуску изделий.
5.6. В некоторых случаях, несмотря на возможности складских площадей, может оказаться целесообразным сократить время изготовления партии бетона до одних суток или даже до одной смены, если при этом коэффициент вариации прочности в партиях снижается. Такое положение может иметь место при значительных колебаниях прочности от смены к смене или от суток к суткам за счет периодических колебаний свойств составляющих (например, неравномерной влажности и зернового состава заполнителей в разных частях склада) или технологических режимов (давление пара, напряжение в электросети).
Поэтому при назначении длительности изготовления партии бетона рекомендуется проводить сравнительный расчет среднего по партиям коэффициента вариации для двух-трех возможных вариантов продолжительности изготовления партии.
Пример 15. На полигоне завода ЖБИ выпускают стойки опор сельских линий электропередач. Полигон работает в три смены. Площадь склада позволяет накапливать недельную продукцию. Исходя из возможности складских помещений можно было бы принять максимальную продолжительность изготовления партии бетона, равную одной неделе. Однако средний по партиям коэффициент вариации, подсчитанный для такой продолжительности, оказался равным 10%, что вызвано значительным колебанием средних прочностей в отдельные сутки.
В связи с этим была рассчитана новая величина среднего по партиям коэффициента вариации для партий продолжительностью одни сутки, которая оказалась равной 7%. В итоге коэффициент требуемой прочности (
табл. 2 ГОСТ 18105-86) снизился с 1,14 до 1,08. Следовательно, вариант с меньшей продолжительностью изготовления партии является более выгодным.
5.7. На бетонном заводе длительность изготовления партии бетона должна быть не менее одних суток и не более одной недели.
В большинстве случаев длительность изготовления партии удобнее принять равной одной неделе. В соответствии с
п. 2.2 ГОСТ 18105-86 проба бетонной смеси в этом случае отбирается один раз в сутки.
5.8. На строительных площадках за партию принимают бетон одного номинального состава, уложенного в монолитные конструкции в течение одних суток. Более строгое ограничение по времени изготовления партии бетона объясняется возможностью резких колебаний погоды от суток к суткам, что может вызвать увеличение разброса прочности бетона в партии, так как в соответствии с требованиями
п. 2.4 ГОСТ 18105-86 контрольные образцы на строительной площадке должны твердеть в условиях, аналогичных условиям твердения забетонированных конструкций.
6. ОПРЕДЕЛЕНИЕ ТРЕБУЕМОЙ ПРОЧНОСТИ БЕТОНА
6.1. Требуемую прочность бетона
Rт (отпускную, передаточную или в проектном возрасте) определяют в зависимости от среднего партионного коэффициента вариации прочности бетона за анализируемый период
Vп, рассчитанного в соответствии с
п. 2.9 настоящих Рекомендаций.
6.2. При нормировании прочности бетона по классам требуемую прочность бетона Rт, МПа, вычисляют по формуле
где Bнорм - нормируемое значение прочности бетона, МПа (отпускной, передаточной, в промежуточный срок или в проектном возрасте), для бетона данного класса по прочности на сжатие, осевое растяжение или растяжение при изгибе;
Kт - коэффициент требуемой прочности, принимаемый по
табл. 9.
Vп, % | Kт при нормировании прочности по классам |
для бетонов всех видов (кроме плотных силикатных и ячеистых и всех конструкций, кроме массивных гидротехнических) | плотного силикатного | автоклавного ячеистого | массивных гидротехнических конструкций |
6 и менее | 1,07 | 1,06 | 1,08 | 1,09 |
7 | 1,08 | 1,07 | 1,09 | 1,1 |
8 | 1,09 | 1,08 | 1,1 | 1,11 |
9 | 1,11 | 1,09 | 1,12 | 1,13 |
10 | 1,14 | 1,12 | 1,13 | 1,14 |
11 | 1,18 | 1,14 | 1,14 | 1,16 |
12 | 1,23 | 1,18 | 1,17 | 1,18 |
13 | 1,28 | 1,22 | 1,22 | 1,2 |
14 | 1,33 | 1,27 | 1,26 | 1,22 |
15 | 1,38 | 1,33 | 1,32 | 1,23 |
16 | 1,43 | 1,39 | 1,37 | 1,25 |
17 | - | 1,46 | 1,43 | 1,28 |
18 | - | - | 1,5 | 1,32 |
19 | - | - | 1,57 | 1,36 |
20 | - | - | - | 1,39 |
21 и более | - | - | - | - |
6.3. При нормировании прочности бетона по маркам требуемую прочность бетона Rт, МПа, вычисляют по формуле

(11)
где Rнорм - нормируемое значение прочности бетона, МПа (отпускной, передаточной, в промежуточный срок или в проектном возрасте), для бетона данной марки по прочности на сжатие, осевое растяжение или растяжение при изгибе;

- коэффициент требуемой прочности в проектах, принимаемый по
табл. 10.
Vп, % |  при нормировании прочности по маркам |
для бетонов всех видов (кроме силикатных и ячеистых и всех конструкций, кроме массивных гидротехнических) | плотного силикатного | автоклавного ячеистого | массивных гидротехнических конструкций |
6 и менее | 83 | 82 | 75 | 85 |
7 | 84 | 83 | 76 | 86 |
8 | 85 | 84 | 77 | 87 |
9 | 87 | 85 | 78 | 88 |
10 | 89 | 87 | 79 | 89 |
11 | 92 | 89 | 80 | 91 |
12 | 96 | 92 | 82 | 92 |
13 | 100 | 96 | 85 | 94 |
14 | 104 | 100 | 88 | 95 |
15 | 108 | 105 | 92 | 96 |
16 | 112 | 110 | 96 | 98 |
17 | - | 115 | 100 | 100 |
18 | - | - | 105 | 103 |
19 | - | - | 110 | 106 |
20 | - | - | - | 109 |
21 и более | - | - | - | 112 |
6.4. При использовании неразрушающих методов контроля прочности бетона в случаях, когда за единичное значение принимают прочность бетона контролируемого участка конструкции (
п. 2 прил. 1 Рекомендаций), правую часть
формул (10) и
(11) следует умножать на коэффициент 0,95.
6.5. При контроле отдельных партий по
п. 4.18 Рекомендаций коэффициент требуемой прочности
Kт или

принимают по
табл. 9 или
10 в зависимости от коэффициента вариации прочности бетона в данной партии.
6.6. В начальный период до накопления, необходимого для ведения статистического контроля числа результатов испытаний, требуемую прочность бетона
Rт определяют:
при нормировании прочности бетона по классам по формуле
где
Kб - коэффициент, принимаемый по
табл. 11 в зависимости от вида бетона;
при нормировании прочности бетона по маркам по формуле
Бетон | Kб |
Для всех бетонов, кроме ячеистого и плотного силикатного | 0,78 |
Ячеистый | 0,7 |
Плотный силикатный | 0,75 |
Указания
п. 6.6 применяются в случаях, когда производство контролируемых конструкций (бетонной смеси) организуется впервые или носит разовый характер и нельзя использовать данные контроля других конструкций (смесей) по
п. 3.7 ГОСТ 18105-86 (
п. 1.6 настоящих Рекомендаций). Для ранее выпускавшихся конструкций (составов бетона) при переходе на статистический контроль следует использовать значение среднего партионного коэффициента вариации, рассчитанного за условный анализируемый период в соответствии с указаниями
разд. 2 настоящих Рекомендаций.
Пример 16. Бетон сборных железобетонных колонн имеет класс по прочности при сжатии B30 и отпускную прочность 70%. Средний партионный коэффициент вариации отпускной прочности равен 8%. Необходимо определить требуемую прочность бетона при контроле ее по образцам.
Нормируемое значение отпускной прочности
Rнорм = 70/100·30 = 21 МПа. В соответствии с
табл. 9 Рекомендаций для таких конструкций из обычного тяжелого бетона при
Vп = 8% имеем
Kт = 1,09. По
формуле (10) Рекомендаций рассчитываем требуемую прочность бетона
Rт = 1,09·21 = 22,3 МПа.
| | ИС МЕГАНОРМ: примечание. В официальном тексте документа, видимо, допущена опечатка: имеется в виду ГОСТ 17624-87, а не ГОСТ 17624-86. | |
Пример 17. Бетон конструкций в примере контролируют ультразвуковым методом по
ГОСТ 17624-86. В соответствии с
п. 2 прил. 1 Рекомендаций за единичное значение прочности принимают прочность бетона в участке конструкции. Следовательно, в соответствии с
п. 6.4. Рекомендаций при расчете требуемой прочности вводится коэффициент 0,95. Тогда
Rт = 0,95·1,09·21 = 21,7 МПа.
Пример 18. Бетонный завод выпускает бетонную смесь марки 200 для массивной плотины ГЭС. Средний партионный коэффициент вариации прочности в проектном возрасте равен 15%. Необходимо определить требуемую прочность бетона.
В соответствии с
табл. 10 Рекомендаций при среднем партионном коэффициенте вариации
Vп = 15% имеем

. Нормируемая прочность
Rнорм = 200·0,098 = 19,6 МПа. По
формуле (11) Рекомендаций рассчитываем
Rт = 19,6·96/100 = 18,8 МПа.
Пример 19. Завод ЖБИ впервые осваивает производство блоков из автоклавного ячеистого бетона класса по прочности при сжатии B3,5. Отпускная прочность бетона 100%. Необходимо определить требуемую прочность.
Поскольку завод впервые осваивает производство ячеистого бетона, то в начальный период требуемую прочность бетона рассчитывают по
формуле (12) Рекомендаций
Rт = 1,1·3,5/0,7 = 5,5 МПа.
7. ПРИЕМКА БЕТОНА ПО ПРОЧНОСТИ
7.1. Процедура приемки партий бетона по прочности состоит в сравнении величин фактической прочности бетона, определенной в результате контроля, с требуемой прочностью бетона, рассчитанной на данный контролируемый период по результатам определения однородности.
7.2. Условие приемки партии бетона, имеющей прочность Rm при требуемой прочности Rт, формулируется одинаково для всех видов прочности, подлежащих приемке (отпускная и передаточная - для сборных конструкций и в проектном возрасте - для монолитных конструкций и товарного бетона)
7.3. Показатели прочности бетона сборных конструкций в проектном возрасте и монолитных конструкций в промежуточном возрасте подлежат контролю и оценке, но не являются приемочными (браковочными) величинами.
Основное назначение контроля и оценки прочности бетона сборных конструкций в проектном возрасте - проверка набора бетоном при твердении требуемой прочности и при необходимости регулирование на этой основе режима твердения и состава бетона.
Прочность бетона монолитных конструкций в промежуточном возрасте при ускоренном контроле по
ГОСТ 22783-77 используется для предварительной оценки правильности подбора состава бетона и назначения среднего уровня прочности; прочность бетона к моменту замораживания конструкций используется для проверки соблюдения требований, соответствующих СНиПу.
В сборных конструкциях для бетонов класса B30 (марки 400) и ниже проверка обеспечения прочности производится путем сравнения средней прочности не менее двух проб, отобранных из одной партии бетона в неделю, с требуемой прочностью. А для бетонов класса B35 (марки 450) и выше проверка производится путем сравнения средней прочности не менее четырех проб, отобранных от двух партий бетона в неделю. Результаты проверки относятся ко всем партиям бетона, изготовленным в течение недели, когда отбирались пробы.
Если результаты проверки прочности бетона в проектном возрасте не подтвердили достижение бетоном требуемой прочности в проектном возрасте, изготовитель обязан сообщить об этом в трехдневный срок всем потребителям, которым отгружалась продукция, изготовленная в течение недели, к которой относятся испытанные пробы бетона.
7.4. Изделия, прочность которых к моменту контроля и оценки отпускной или передаточной прочности не соответствует требуемой, могут быть подвергнуты дополнительной тепловой обработке либо выдержаны в естественных условиях до достижения бетоном требуемой прочности. Если есть основание считать, что недобор прочности явился результатом нарушения состава бетона или использования цемента пониженной активности, то изделия следует не отпускать и выдерживать на заводе до достижения бетоном прочности, требуемой в проектном возрасте.
7.5. Возможность использования изделий, прочность которых в проектном возрасте ниже требуемой, а также изделий, однородность прочности которых характеризуется недопустимыми значениями коэффициента вариации, должна быть согласована с проектной организацией, осуществляющей привязку здания или сооружения, для которого изготовлены изделия.
7.6. В документах о качестве бетона (
ГОСТ 13015.3-81;
ГОСТ 7473-85; журнал бетонных работ при изготовлении монолитных конструкций) должны быть указаны значения требуемой и фактической прочности бетона.
8. НАЗНАЧЕНИЕ СРЕДНЕГО УРОВНЯ ПРОЧНОСТИ БЕТОНА, ЕГО ТЕКУЩИЙ КОНТРОЛЬ И РЕГУЛИРОВАНИЕ
8.1. После назначения величины требуемой прочности бетона Rт, которая является браковочным минимумом, следует выбрать средний уровень прочности Rу, обеспечивающий в конкретных условиях приемку изделий (бетонной смеси) на заводе и отпуск их потребителям. На производстве неизбежны колебания прочности бетона между отдельными партиями, поэтому величина превышения среднего уровня прочности над требуемой прочностью должна определяться межпартионной вариацией.
8.2. Средний уровень прочности бетона
(ГОСТ 18105-86) устанавливается на основе определенного ранее среднего за анализируемый период партионного коэффициента вариации
Vп по формуле
Vп, % | <= 6 | > 6 <= 7 | > 7 <= 8 | > 8 <= 10 | > 10 <= 12 | > 12 <= 14 | >= 14 |
Kмп | 1,03 | 1,04 | 1,05 | 1,07 | 1,09 | 1,12 | 1,15 |
По
ГОСТ 18105-86 значение
Kмп должно приниматься для тяжелого и легкого бетона не более 1,1; а для плотного силикатного бетона - не более 1,13. В случаях когда эти предельные значения
Kмп не обеспечивают установленный процент бракованных партий, необходимо принимать меры по снижению межпартионной вариации.
8.3. Поскольку средний уровень прочности бетона служит не для приемки бетона, а для регулирования технологического процесса, то его следует устанавливать прежде всего для оперативно контролируемых показателей прочности, отпускной и передаточной для сборных конструкций, прочности монолитного бетона при ускоренном контроле по
ГОСТ 22783-77.
В ряде случаев для обеспечения выполнения технологических требований (например, распалубочной прочности, прочности при замораживании и др.) средний уровень может отличаться от рассчитанного по
формуле (15).
При назначении среднего уровня прочности бетона, на который осуществляется подбор состава по
ГОСТ 27006-86, следует учитывать, что снижение этого уровня ведет к увеличению риска выхода отдельных бракованных партий изделий, но при этом повышается технико-экономическая эффективность остальной продукции (снижение расхода цемента, сокращение времени тепловой обработки бетона и т.д.). При повышении среднего уровня прочности бетона (при той же межпартионной вариации) уменьшается вероятность выхода отдельных бракованных партий, но одновременно снижается технико-экономическая эффективность продукции.
8.4. На предприятиях по производству сборного железобетона после того, как установлен средний уровень отпускной и передаточной прочности, необходимо проверить возможность выполнения гарантии достижения бетоном требуемой прочности в возрасте 28 сут (Rк28 >= Rт28). Для этого необходимо по данным периода работы предприятия, предшествующего переходу на статистический контроль, рассчитать среднее соотношение прочности в возрасте 28 сут (Rк28) и отпускной или передаточной (Rотп) по формуле

(16)
При этом число пар (M) значений прочности (28-суточной и отпускной) должно быть не менее 15.
Величина коэффициента прироста прочности бетона (c) зависит от многих факторов, главными из которых являются: группа цемента по эффективности тепловой обработки; длительность тепловой обработки; проектный класс или марка бетона по прочности; величина нормируемой отпускной или передаточной прочности, которую необходимо обеспечить после тепловой обработки бетона.
На практике возможны два основных случая.
В первом случае, когда Rу.с >= Rт.пв, гарантия достижения бетоном требуемой прочности, как правило, обеспечивается. Это характерно для бетонов низких и средних классов менее B25 при значениях нормируемой отпускной прочности 70% и более, для всех видов цементов и большинства режимов тепловой обработки. Для второго случая, когда Rу.с < Rт.пв, гарантия достижения бетоном требуемой прочности может быть не выполнена. При этом необходимо повысить средний уровень отпускной прочности бетона, определив его из условия
Такое положение может наблюдаться для бетонов высоких классов более B25 с отпускной прочностью 70% и менее, для высокоэффективных цементов и длительных режимов тепловой обработки.
8.5. Необходимость одновременного обеспечения двух уровней прочности бетона сборных конструкций (отпускной прочности и прочности в проектном возрасте) приводит к тому, что в большинстве случаев фактические значения этих величин точно не соответствуют нормативным, т.е. либо отпускная, либо проектная прочность идет с превышением. Для второго случая
(ГОСТ 18105-86) допускается превышение фактической средней прочности бетона сборных конструкций в проектном возрасте за контролируемый период
Rк.пв над требуемой
Rт.пв, которое характеризуется коэффициентом
Kв, вычисляемым по формуле
Допустимые значения коэффициентов
Kв приведены в справочном
прил. 4 ГОСТ 18105-86 и даны в
табл. 13.
Класс (марка) бетона | Продолжительность тепловой обработки, ч | Группа цемента по эффективности тепловой обработки по ГОСТ 22236-85 | Коэффициент Kв |
Нормируемая отпускная прочность, % класса (марки) бетона |
70 | 80 |
B15 (М200) и ниже | 8 - 10 | 1 | 1,15 | 1,35 |
2 | 1,3 | 1,45 |
13 - 15 | 1 | 1,1 | 1,25 |
2 | 1,15 | 1,35 |
3 | 1,25 | 1,45 |
18 - 20 | 1 | 1,05 | 1,2 |
2 | 1,1 | 1,2 |
3 | 1,25 | 1,45 |
B20 (М250) B25 (М300) | 8 - 10 | 1 | 1,1 | 1,25 |
2 | 1,2 | 1,4 |
13 - 15 | 1 | 1 | 1,15 |
2 | 1,1 | 1,25 |
3 | 1,2 | 1,35 |
18 - 20 | 1 | 1 | 1,15 |
2 | 1,1 | 1,2 |
3 | 1,15 | 1,3 |
B30 (М350) B35 (М400) B40 (М450) и выше | 8 - 10 | 1 | 1,05 | 1,2 |
2 | 1,1 | 1,25 |
13 - 15 | 1 | 1 | 1,1 |
2 | 1,1 | 1,15 |
3 | 1,15 | 1,25 |
18 - 20 | 1 | 1 | 1,05 |
2 | 1 | 1,15 |
3 | 1,05 | 1,2 |
Примечания: 1. Для бетонов с нормируемой отпускной прочностью 60% на цементах второй группы при продолжительности тепловой обработки 8 - 10 ч коэффициент Kв равен 1,05 для бетонов классов B15 и ниже и 1,1 для бетонов классов B20 и B25.
2. При коэффициенте Kв более 1,4 следует применять технологические меры (удлинить цикл тепловой обработки, применить добавки, ускоряющие твердение бетона, или применить более эффективные цементы и т.д.), направленные на повышение прочности бетона после тепловой обработки и снижение расхода цемента.
Для легких бетонов классов B7,5 и менее значение Kв принимается равным 1. Для легких бетонов классов B10 и более значение Kв принимается по таблице для тяжелого бетона с коэффициентом 0,85 при использовании пористых заполнителей с маркой по прочности меньшей, чем соответствующий класс бетона. При этом значение Kв во всех случаях не должно быть менее 1.
Второй случай, когда фактическая отпускная прочность бетона превышает требуемую (при Rк.пв = Rт.пв), характерен для бетонов высоких классов или марок с низкими значениями нормируемой отпускной прочности (Rт.отп <= 0,7Rт.пв), а также при длительных режимах тепловой обработки с применением эффективных цементов.
8.6. Для оценки эффективности ведения технологического процесса с точки зрения минимизации прочности и экономии цемента фактическую отпускную прочность бетона в отдельных партиях сравнивают с величиной верхней предупредительной границы

, рассчитанной по
формуле (19) настоящих Рекомендаций

(19)
Фактическую среднюю прочность бетона за контролируемый период
Rк сравнивают со средним уровнем прочности
Rу, а для средней прочности партии бетона в проектном возрасте (за неделю) вычисляют величину
Kв и сравнивают ее со значениями
табл. прил. 4 ГОСТ 18105-86.
Если в результате этих сравнений будет установлено, что отпускная прочность бетона в трех партиях подряд выше

или фактический средний уровень прочности за контролируемый период превышает средний уровень прочности либо вычисленное значение коэффициента
Kв превышает значение, приведенное в
табл. 13 Рекомендаций, - во всех этих случаях в соответствии с требованием ГОСТ 18105-86
(п. 6.5) должны быть приняты меры по снижению излишней прочности и сокращению расхода цемента.
Если же указанные выше условия не нарушены, то превышение отпускной или проектной прочности над требуемой не следует рассматривать как нарушение технологии, влекущее за собой перерасход цемента.
8.7. Кроме обычных, рассмотренных выше случаев, когда к качеству бетона не предъявляют других требований, кроме прочности, возможны ситуации, когда для обеспечения других требований по качеству прочность бетона необходимо увеличивать. В качестве примера можно рассмотреть случай подбора состава бетона проектного класса по прочности B25 и марки по морозостойкости
F300. Может оказаться, что минимальный расход цемента, необходимый для получения бетона заданной морозостойкости, будет выше расхода цемента, необходимого для получения требуемой прочности. В этих и подобных случаях среднюю прочность бетона подбирают в соответствии с
ГОСТ 27006-86 и
ГОСТ 18105-86, исходя из необходимости обеспеченности всех нормируемых показателей его качества, и при этом превышение прочности бетона над требуемой не нормируется и не может считаться нарушением, связанным с перерасходом цемента.
8.8. Статистические характеристики прочности бетона (средняя прочность и коэффициент вариации) меняются во времени. Для предотвращения опасного снижения прочности бетона либо появления излишнего запаса прочности следует внимательно следить за возникновением тенденций к изменению статистических характеристик и своевременно корректировать состав бетона или технологические режимы производства. Анализ упомянутых тенденций рекомендуется проводить с помощью контрольных карт.
Контрольные карты отпускной и передаточной прочностей бетона сборных бетонных и железобетонных изделий и прочности монолитного бетона по
ГОСТ 22783-77 используют для оперативного регулирования прочности бетона.
8.9. Контрольная карта состоит из следующих зон: информационной; графика прочностей бетона в партиях; графика коэффициентов вариации в партиях; таблицы результатов определения прочности и рассчитанных статистических характеристик, расчетов статистических характеристик за анализируемый период.
На график прочности наносят горизонтальные линии, соответствующие величинам:
требуемой прочности бетона в партии на контролируемый период;
среднего уровня прочности бетона;
верхней предупредительной границы прочности бетона.
На график коэффициента вариации наносят горизонтальные линии, соответствующие величине принятого на данный контролируемый период среднего по партиям коэффициента вариации Vп и верхней предупредительной границы вариации.
Величину верхней предупредительной границы прочности бетона в партии рассчитывают по
формуле (19) настоящих Рекомендаций, а верхней предупредительной границы коэффициента вариации в отдельной партии по формуле

(20)
где n - количество проб, отбираемых от партии бетона.
8.10. При нормальном ходе технологического процесса точки на графиках прочности в партии и коэффициента вариации в партии располагаются примерно равномерно относительно соответствующих линий средних: среднего уровня прочности Rу и принятого среднего по партиям коэффициента вариации Vп. При этом точки не должны выходить за линии верхних предупредительных границ.
На практике возможен ряд отклонений, вызываемых нарушением технологического процесса.
8.11. В случае когда в интервал между линиями Rу и Rт попадают подряд три и более точки, следует откорректировать состав бетона с целью повышения его прочности и одновременно принять меры к выявлению и устранению причин, вызвавших падение прочности. В дальнейшем при устойчивом превышении прочности в партии над средним уровнем Rу возможно возвращение к старому составу бетона.
8.12. Если очередная партия бетона бракуется (Rm < Rт), то следует подсчитать количество принятых перед этим подряд партий. Если из последних 10 партий хотя бы еще одна была забракована, то следует немедленно принять меры для повышения прочности бетона (откорректировать состав и др.). Если же перед этим 9 или более партий подряд были приняты, то вмешательство в технологический процесс нецелесообразно.
8.13. Если в четырех партиях подряд коэффициент вариации выше линии среднего партионного коэффициента вариации
Vп, а в пятой партии он выше верхней предупредительной границы, то следует найти причины роста колебаний прочности бетона. Аналогичные меры принимаются, если три точки или более из последних десяти лежат выше линии

.
Пример 20. На заводе ЖБИ N 8 в цехе N 2 на технологической линии N 1 из бетона класса B15 выпускают пустотные настилы УНУ. Нормируемая отпускная прочность по проекту 70% класса. Цех работает в три смены. В качестве партии принят суточный выпуск бетона для настилов УНУ. Каждую смену отбирают по одной пробе для контроля отпускной прочности бетона.
По данным контроля прочности бетона за май месяц партионный коэффициент вариации Vm = 9,5%.
Требуется построить контрольную карту прочности бетона на июнь. Пример заполнения контрольной карты показан в
прил. 4.
Анализируя контрольную карту, можно сделать следующие выводы.
1. В партиях N 52 ... 56 (5 партий подряд) и N 64 ... 66 (три партии подряд) фактическая прочность выше среднего уровня. Кроме того, в партиях N 52, 53 и 59 фактическая прочность выше верхней предупредительной границы. В результате средняя за контролируемый месяц прочность бетона Rк = 13,1 МПа выше заданного среднего уровня Rу = 12,9 МПа. Поэтому следует принять меры к снижению прочности бетона и сокращению расхода цемента.
2. Коэффициент вариации прочности бетона в отдельных партиях в первые три недели месяца колебался примерно симметрично относительно заданного среднего партионного значения
Vп = 9,5%, не выходя за верхнюю предупредительную границу

. В последнюю неделю на графике видна тенденция к падению коэффициента вариации, что привело к снижению среднего за месяц коэффициента вариации на 1,6% по сравнению с предыдущим месяцем. В результате средний уровень прочности на июль будет снижен на 0,7 МПа.
Если бы лаборатория вовремя среагировала на завышение прочности бетона, рассмотренное в предыдущем пункте, то снизить расход цемента можно было бы на две недели раньше.
3. Прочность бетона партии N 62 несколько ниже требуемой (R62 = 12,0 < Rт < 12,1). Целесообразно изделия этой партии выдержать сутки в цехе до отправки на склад.
Поскольку в предыдущих партиях такой пониженной прочности не было, то повышать расход цемента не требуется. Действительно, в последующих пяти партиях при непременном составе бетона прочность оказалась близкой к среднему уровню.
Пример 21. Цех завода ЖБИ включает одну агрегатно-поточную линию, выпускающую колонны из бетона класса B25 с отпускной прочностью 70%, равной 21 МПа. Тепловлажностную обработку изделий осуществляют в ямной пропарочной камере по режиму (2) + 3 + 3 + 2 ч при температуре изотермического прогрева 80 - 85 °C. Цех работает пять дней в неделю в две смены, в каждую из которых изготавливают одну серию образцов для контроля отпускной прочности. Отпуск продукции осуществляют через сутки после окончания тепловлажностной обработки. В качестве партии принимается суточная продукция. Контрольная карта отпускной прочности бетона колонн приведена в
прил. 5.
Отпускная прочность бетона партий 5, 10, 15, 20 превосходит отпускную прочность бетона других партий. Все указанные партии изготовлены в пятницу. Конструкции проходят тепловлажностную обработку по принятому для всех колонн режиму и продолжают оставаться в камере и набирать прочность еще двое суток (суббота и воскресенье) до момента их извлечения и определения отпускной прочности. Это приводит к неоправданному расходу пара, к увеличению прочности бетона в этих партиях и росту среднего уровня прочности.
В связи с этим на заводе по пятницам был введен измененный режим тепловлажностной обработки: 2 ч предварительная выдержка плюс 1,5 ч подъем температуры до 50 °C и остывание в камере в течение последующих 2 сут. Это дало возможность получать в дальнейшем в пятницу прочность бетона изделий, не отличающуюся от прочности бетона в другие дни недели. В результате чего снижен расход пара приблизительно на 15%. Возможен и другой подход к регулированию прочности за счет снижения расхода цемента.
Подобную корректировку режима тепловлажностной обработки или состава бетона следует выполнять перед всеми нерабочими днями. Режим и составы устанавливает заводская лаборатория применительно к конкретной технологии изготовления изделий.
8.14. Для регулирования прочности бетона лаборатория должна оперативно вносить такие коррективы в состав бетона, при которых его прочность увеличивается или уменьшается на заданную величину. Для облегчения этого процесса может быть использован график корректировки расхода цемента в зависимости от прочности бетона.
Такой график составляется для каждой марки цемента, показателя удобоукладываемости бетонной смеси (жесткости или осадки конуса) при данных заполнителях и режиме твердения. Для этого:
1. Изготавливают в зависимости от необходимого диапазона прочностей 3 ... 4 серии контрольных образцов с расходом цемента, например 200, 300, 400, 500 кг/м3, и постоянной подвижностью (водоцементное отношение при этом, естественно, будет разное).
2. После тепловлажностной обработки по режиму, принятому для данного технологического комплекса, определяют прочность образцов. Предположим, прочность образцов получилась следующая:
Расход цемента, кг/м3 | 200 | 300 | 400 | 500 |
Средняя прочность серии образцов, МПа | 9,5 | 16,7 | 25,6 | 33 |
3. Строят график зависимости прочности бетона от расхода цемента (рисунок).
Зависимость расхода цемента от прочности бетона
Пример 22. Для бетона со средним уровнем прочности Rу = 23,5 МПа нужно найти расход цемента, обеспечивающий этот уровень. На рисунке из точки, соответствующей прочности 23,5 МПа, проводим вертикаль до пересечения с прямой и полученную точку сносим на ось расхода цемента, где находим расход Ц = 363 кг/м3.
Пример 23. В условиях
примера 20 необходимо уменьшить средний уровень прочности бетона
Rу = 13,1 МПа до 12,2 МПа. Расход цемента при
Rу = 13,1 МПа составлял Ц = 255 кг/м
3. Для повышения точности расчет коррекции расхода цемента будем вести по приращениям.
По рисунку прочностям 13,1 и 12,2 МПа соответствуют расходы цемента 250 и 230 кг/м
3. Коррекция расхода цемента

. Тогда расход цемента, необходимый для получения нового среднего уровня прочности бетона
Rу = 12,2 МПа, составит
ОРГАНИЗАЦИЯ ПОДГОТОВИТЕЛЬНОГО ПЕРИОДА И ОСОБЕННОСТИ
КОНТРОЛЯ ПРОЧНОСТИ БЕТОНА НЕРАЗРУШАЮЩИМИ МЕТОДАМИ
1. Основные принципы статистического контроля прочности бетона как при определении ее по испытанию образцов, так и неразрушающими методами, совпадают. Однако в период перехода на статистический контроль неразрушающими методами есть специфические особенности, обусловленные тем, что прочность определяется косвенным методом, связанным с использованием градуировочных зависимостей, устанавливаемых на основании параллельного испытания контрольных образцов неразрушающими методами и на прессе.
2. При испытании неразрушающими методами за единичное значение принимают среднюю арифметическую прочность бетона всех контролируемых участков в конструкции или прочность бетона в отдельном участке конструкции.
Среднюю прочность в конструкции используют при контроле сборных плоских и многопустотных плит перекрытий и покрытий, дорожных плит, панелей внутренних несущих стен, стеновых блоков, напорных и безнапорных труб, так как несущие свойства этих конструкций определяются средней прочностью бетона расчетных сечений, которая принимается в данном случае равной средней прочности бетона конструкции. Для всех остальных сборных конструкций, а также для монолитных и сборно-монолитных конструкций используют прочность отдельных участков конструкций площадью от 100 до 400 см2, определяемую по соответствующему стандарту на неразрушающий метод определения прочности. Например, при ультразвуковом контроле на участке может производиться только одно измерение, а при контроле молотком Кашкарова - пять измерений, среднее значение которых и принимается в качестве единичного результата аналогичного среднему в серии контрольных образцов.
3. Для контролируемых конструкций в подготовительный период проводят построение градуировочных зависимостей по правилам, изложенным в действующих стандартах на методы неразрушающего контроля, и вычисляют остаточное среднеквадратическое отклонение градуировочной зависимости Sт.
4. Для конструкций, при контроле которых по
п. 2 настоящего приложения за единичное значение принимают прочность отдельных участков, вычисляют коэффициент
Kп по формуле
где Vо - коэффициент вариации прочности бетона по результатам испытания контрольных образцов нагружением (на прессе), рассчитанный по всем сериям образцов, испытанных при построении градуировочной зависимости;
Vнм - коэффициент вариации прочности бетона по результатам испытания тех же серий образцов неразрушающим методом.
Коэффициенты вариации рассчитывают по формуле

(2)
где

(3)

(4)
N - количество серий образцов, испытанных при построении градуировочной зависимости.
При расчете Vо единичное значение прочности Ri определяют как среднюю прочность в серии по ГОСТ 10180-78 при испытании образцов на прессе (e = 1);
при расчете Vнм единичное значение прочности Ri рассчитывают по градуировочной зависимости для средних в сериях косвенных показателей прочности (скорость ультразвука, высота отскока и т.д.) в соответствии со стандартом на применяемый метод неразрушающего контроля (e = 2).
Пример. Прочность бетона класса B20 контролировали методом отскока. Для градуировки прибора испытали 20 серий образцов-кубов. Средние результаты по каждой серии приведены в
табл. 1.
Таблица 1
Результаты испытаний образцов бетона при построении
градуировочной зависимости
N серии i | | Прочность бетона Ri, МПа | N серии i | Высота отскока Hi | Прочность бетона Ri, МПа |
по градуировочной зависимости | по испытаниям на прессе | по градуировочной зависимости | по испытаниям на прессе |
1 | 17,7 | 22,8 | 18,7 | 11 | 16,4 | 18,2 | 18,4 |
2 | 18,6 | 25,9 | 26,7 | 12 | 19,2 | 28 | 31,8 |
3 | 17,8 | 23,1 | 24 | 13 | 18,5 | 25,6 | 23,5 |
4 | 18,1 | 24,2 | 23,6 | 14 | 19,1 | 27,6 | 24,4 |
5 | 16 | 16,8 | 16 | 15 | 17,6 | 22,4 | 20,4 |
6 | 19,2 | 28 | 27,6 | 16 | 19,2 | 28 | 31,3 |
7 | 17,8 | 23,1 | 25,3 | 17 | 18,4 | 25,2 | 24,9 |
8 | 19,6 | 29,4 | 32,2 | 18 | 18,8 | 26,6 | 26,9 |
9 | 18,8 | 26,6 | 26,5 | 19 | 17,2 | 21 | 25,8 |
10 | 17,8 | 23,1 | 22,2 | 20 | 17,3 | 21,4 | 21 |
По данным
табл. 1 было рассчитано уравнение градуировочной зависимости
Значения прочности бетона
Ri в
графе 3 получены путем подстановки для каждой серии образцов значений высоты
Hi из
графы 2 в
формулу (5).
При расчете коэффициента вариации
Vо использованы данные графы 4, а при расчете
Vнм - графы 3. Результаты расчета приведены в
табл. 2.
Таблица 2
Результаты расчета коэффициентов вариации Vо и Vнм
Статистические характеристики | N | | e | S | V |
Испытания образцов на прессе | 20 | 24,5 | 1 | 4,36 | 17,8 |
Испытание образцов неразрушающим методом | 20 | 24,3 | 2 | 3,38 | 13,9 |
5. Коэффициент Kп определяют для каждого технологического комплекса и при каждом изменении номинального состава бетона, технологии изготовления изделий, вида применяемых материалов и при установлении новой градуировочной зависимости, но не реже одного раза в год.
6. В случае когда градуировочная зависимость установлена сразу для нескольких классов бетона, рекомендуется определять Kп отдельно для каждого класса по результатам испытания не менее 15 серий контрольных образцов.
7. При контроле неразрушающими методами, когда в соответствии с
п. 2 настоящего приложения за единичное значение принимается средняя прочность бетона конструкции, значение среднеквадратического отклонения прочности бетона в партии (
Sm) вычисляют с учетом среднеквадратического отклонения градуировочной зависимости
Sт по
ГОСТ 18105-86

(6)
где Sт - среднеквадратическое отклонение градуировочной зависимости, МПа, определяемое по действующим государственным стандартам на неразрушающие методы;
n - число проконтролированных конструкций в партии;
p - число контролируемых участков в конструкции;
Ri - средняя прочность бетона в отдельной конструкции, МПа, рассчитанная по всем p участкам этой конструкции;
Rm - средняя прочность бетона в партии, МПа, рассчитанная по
формуле (4) Рекомендаций.
8. В случае, когда в соответствии с
п. 2 настоящего приложения за единичное значение принимается прочность бетона на контролируемом участке, значение
Sm, МПа, вычисляют по формуле

(7)
где
Kп - коэффициент, определяемый по
формуле 4 настоящего приложения;
n - общее число контролируемых участков во всех испытанных конструкциях данной партии.
ПРАВИЛА УСТАНОВЛЕНИЯ ПРОЧНОСТИ БЕТОНА ПО ЗОНАМ
1. Различия в прочности отдельных зон устанавливаются по результатам испытания не менее 10 изделий каждого вида.
2. Каждое изделие разделяют не менее чем на две зоны по высоте бетонирования и в каждой зоне определяют прочность бетона не менее чем по трем участкам. Рекомендуется принимать равное количество участков в каждой зоне.
3. Для всех проверенных изделий по
формулам (4) и
(8) настоящих Рекомендаций вычисляют средние прочности

и

и среднеквадратическое отклонение отдельно по каждой зоне
S1 и
S2.
4. Для установления однородности дисперсий прочности бетона по зонам производят их сравнение по F-критерию.

(1)
До косой линии
формулы (1) всегда ставится большее значение дисперсии.
5. Дисперсии по зонам признаются однородными, если фактическое значение
F-критерия меньше теоретического
Fт, приведенного в
табл. 1 в зависимости от числа проверенных участков конструкций
n.
n | 10 | 11 | 12 | 13 | 15 | 17 | 20 | 30 |
Fт | 3,18 | 2,98 | 2,82 | 2,69 | 2,48 | 2,33 | 2,15 | 2,1 |
tт | 2,1 | 2,09 | 2,07 | 2,06 | 2,05 | 2,04 | 2,02 | 2 |
6. Если дисперсии однородны, то производят сравнение средних прочностей по зонам изделий, для чего вычисляют фактическое значение t-критерия по формуле

(2)
7. При неоднородных дисперсиях (
F >
Fт) значение
t-критерия берут по
табл. 1 в зависимости от условного
nусл, определяемого по формуле

(3)
8. Если фактическое значение
t-критерия больше теоретического
(табл. 1), то разность прочности по зонам является статистически значимой и контроль необходимо вести раздельно по зонам. В противном случае нужно контролировать изделие без разделения на зоны.
9. Для установления требований к средней прочности изделия по результатам контроля одной из зон необходимо установить коэффициент перехода от прочности в слабой зоне

(если контроль будет осуществляться по слабой зоне) к средней прочности

всего изделия по формуле

(4)
10. Среднюю прочность конструкции определяют по формуле

(5)
и затем контролируют только слабую зону.
11. Если значения коэффициента перехода
Kпер превышают приведенные в
табл. 2 критические значения для изделий различного вида
Kкр, то требования к средней прочности бетона изделий должны быть установлены проектной или научно-исследовательской организацией из условия обеспечения несущей способности не менее 95% проектной.
N п.п. | Конструкция | Kкр |
1 | Непереармированные изгибаемые элементы двутавровые и тавровые с полкой в сжатой зоне балки при проценте армирования не более 1,3 | 1,15 |
2 | Прямоугольные балки, ребристые и пустотные плиты при проценте армирования не более 1,3 | 1,25 |
3 | Тавровые балки с полкой в растянутой зоне и плоские плиты при проценте армирования не более 1,3 | 1,3 |
4 | Плоские стеновые панели вертикального формования | 1,2 |
5 | Плоские стеновые панели горизонтального формования | 1,1 |
6 | Сжатые симметрично армированные элементы (колонны, сваи, элементы ферм) при проценте армирования: 0,05 - 1 | 1,1 |
7 | 2 | 1,15 |
8 | 3 | 1,2 |
Пример. Агрегатно-поточная линия цеха завода ЖБИ изготовляет ригели из бетона класса B35 с отпускной прочностью 28 МПа. Ригели формуют на виброплощадке и пропаривают в ямных камерах.
Предварительно было обследовано 11 ригелей междуэтажных перекрытий с полкой в растянутой зоне. Прочность бетона определяли методом скалывания ребра конструкции по
ГОСТ 22690.4-77 в верхней и нижней зонах каждой конструкции. В каждой зоне отдельной конструкции прочность бетона определяли на трех участках. На каждом участке выполняли два скола. В качестве единичного значения прочности принимали среднее значение прочности бетона в зоне конструкции. Результаты сведены в
табл. 3. Индекс 1 относится к верхней зоне, индекс 2 к нижней.
N конструкции | 1 | 2 | 3 | 4 | 5 | 6 | 7 | 8 | 9 | 10 | 11 |
R1 | 22,6 | 23,4 | 25,3 | 20,6 | 25,0 | 22,8 | 22,0 | 26,4 | 21,6 | 24,9 | 23,3 |
R2 | 35,0 | 35,3 | 36,8 | 31,0 | 33,8 | 34,1 | 34,3 | 36,1 | 30,7 | 33,8 | 32,6 |
Средние прочности ригелей по зонам определяли по
формуле (4) настоящих Рекомендаций
Дисперсии определяли по
формуле (4) настоящих Рекомендаций
F = 3,8/3,13 = 1,21.
Так как
F = 1,21 меньше теоретического значения, равного 2,98, то дисперсии признаются однородными. По
формуле (2) оценивали значимость разницы средних прочностей верхней и нижней зон
Так как t больше tт = 2,09, то различие средних прочностей признается статистически значимым и контроль следует вести раздельно по зонам.
Устанавливают коэффициент перехода от прочности контролируемой зоны к средней прочности всего изделия по
формуле (4)
Kпер = (23,4 + 34)/2·23,4 = 1,23.
Полученное значение
Kпер меньше, чем
Kкр, принимаемое по
табл. 2 и равное 1,3. Следовательно, систематическая неоднородность прочности бетона не превосходит допустимую.
| | ИС МЕГАНОРМ: примечание. В официальном тексте документа, видимо, допущена опечатка: имеется в виду ГОСТ 18105-86, а не ГОСТ 13105-86. | |
При дальнейшем контроле определение прочности бетона производят только в верхней зоне ригелей. Для определения средней прочности бетона в конструкции полученное в результате контроля значение средней прочности бетона в верхней зоне умножают на коэффициент
Kпер. Коэффициент вариации прочности бетона в изделии принимают равным коэффициенту вариации прочности бетона в верхней зоне и по нему рассчитывают требуемую прочность по
ГОСТ 13105-86.
Так, среднее значение прочности бетона в партии из 30 ригелей по результатам испытания верхней зоны составило

при коэффициенте вариации в партии
Vm = 13%.
По
формуле (5) получаем
Rm = 1,23·24,6 = 30,3 МПа. Требуемая прочность бетона при
Vm = 13% составляет
Rт.m = 30 МПа. Так как
Rm >
Rт.m, то партия подлежит приемке.
ПРИМЕР ОРГАНИЗАЦИИ СТАТИСТИЧЕСКОГО КОНТРОЛЯ ПРОЧНОСТИ
БЕТОНА НА ЗАВОДЕ ЖБИ
Завод ЖБИ начал выпускать сборные ригели и плиты. Оба вида конструкций предполагается изготовлять на одной технологической линии из бетона класса B25. В производстве бетона используется цемент третьей группы по эффективности при тепловой обработке (по
ГОСТ 22236-85). С целью ускорения твердения бетона отформованные конструкции подвергаются тепловой обработке. Отпускная нормируемая прочность бетона составляет 70% принятого класса и равна

. Проектный возраст бетона составляет 28 сут. Цех работает пять дней в неделю в две смены.
Статистический контроль проводится по образцам и организуется следующим образом:
1. Вся выпускаемая продукция контролируется и принимается по единым статистическим характеристикам, так как за технологический комплекс в данном случае принимается одна технологическая линия.
2. В состав партии включается бетон конструкций, формуемых на указанном технологическом комплексе в течение одних суток (двух смен).
3. Контролю подлежат отпускная прочность и прочность бетона в проектном возрасте.
4. Начальный период устанавливается продолжительностью две недели.
В этот период требуемые прочности бетона определяются по
ГОСТ 18105-86.
Отпускная прочность

;
прочность в проектном возрасте

.
Средний уровень отпускной прочности Rу должен составлять не более 24,7·1,1 = 27,1 МПа. Решено в начальный период принять Rу = 26 МПа.
5. В начальный период от каждой партии бетона берутся четыре пробы - две в первую смену и две во вторую. Из каждой пробы изготовляется одна серия образцов для контроля отпускной прочности. Общее количество серий образцов для контроля отпускной прочности за смену n = 4. Это необходимо для того, чтобы количество серий образцов, испытанных за весь начальный период, было не менее 30.
Кроме того, один раз в неделю дополнительно изготовляются серии образцов для контроля прочности бетона в проектном возрасте.
6. Испытываются серии образцов для контроля отпускной прочности (перед отпуском изделий, бетон которых составляет партию) и прочности бетона в проектном возрасте (по истечении 28 сут). Результаты испытаний (единичные значения прочности) представлены в
табл. 1,
2.
Таблица 1
Результаты испытаний серий образцов для контроля
отпускной прочности
N партии бетона m | Дата изготовления | Единичное значение прочности бетона, МПа |
N смены |
1 | 2 |
N пробы в смену |
1 | 2 | 1 | 2 |
1 | 20.07 | 25,4 | 28,2 | 26,2 | 23,4 |
2 | 21.07 | 28,9 | 25,7 | 26,2 | 24 |
3 | 22.07 | 26,6 | 24 | 29,1 | 25,6 |
4 | 23.07 | 27,8 | 24,8 | 26,8 | 23,4 |
5 | 24.07 | 25,7 | 29,5 | 27 | 24,3 |
6 | 27.07 | 25,8 | 23,8 | 26,3 | 28,7 |
7 | 28.07 | 23,6 | 29,2 | 25,8 | 27,6 |
8 | 29.07 | 29,5 | 26,3 | 23,3 | 25,6 |
9 | 30.07 | 24,7 | 26 | 27,1 | 29,2 |
10 | 31.07 | 25,3 | 26,3 | 28,3 | 23,9 |
Таблица 2
Результаты испытаний серий образцов для контроля
прочности бетона в проектном возрасте
N партии бетона m | Дата | Единичные значения прочности, МПа |
изготовления | испытания | N смены |
1 | 2 |
N пробы в смену |
1 | 2 | 1 | 2 |
1 | 21.07 | 18.08 | 41,1 | - | 40 | - |
2 | 28.08 | 25.08 | 38,8 | - | 40,1 | - |
7. По единичным значениям прочности бетона, полученным для контроля отпускной прочности и прочности в проектном возрасте, в каждой партии по
формуле (1) ГОСТ 18105-86 вычисляется прочность бетона в партии
Rm. Например, для отпускной прочности бетона в первой партии

. Результаты вычислений представлены в
табл. 3.
Таблица 3
Определение прочности бетона в партии
и партионного коэффициента вариации
N партии бетона m | Дата изготовления | Прочность бетона в партии, МПа | Определение партионного коэффициента вариации |
отпускная Rотп | в проектном возрасте Rп.в | Wm, МПа | Sm, МПа | Vп, % |
1 | 20.07 | 25,8 | - | 4,8 | 2,33 | 9 |
2 | 21.07 | 26,2 | 40,5 | 4,9 | 2,38 | 9,1 |
3 | 22.07 | 26,3 | - | 5,1 | 2,48 | 9,4 |
4 | 23.07 | 25,7 | - | 4,4 | 2,14 | 8,3 |
5 | 24.07 | 26,6 | - | 5,2 | 2,52 | 9,5 |
6 | 27.07 | 26,2 | - | 4,9 | 2,38 | 9,1 |
7 | 28.07 | 26,6 | 39,5 | 5,6 | 2,72 | 10,2 |
8 | 29.07 | 26,2 | - | 6,2 | 3,01 | 11,5 |
9 | 30.07 | 26,8 | - | 4,5 | 2,18 | 8,2 |
10 | 31.07 | 26 | - | 4,4 | 2,14 | 8,2 |
Партия бетона подлежит приемке, если
Rm >=
Rт. Для отпускной прочности

. Как видно из
табл. 3, все партии бетона подлежат приемке. Для прочности бетона в проектном возрасте

. Как видно из
табл. 3,

, т.е. гарантия достижения прочности бетона в проектном возрасте подтверждена.
8. Начальный период принимается за анализируемый. Определяется среднее значение партионного коэффициента вариации за анализируемый период. Для этого вначале в каждой партии определяется размах единичных значений прочности бетона
Wm, а затем по
формуле (3) ГОСТ 18105-86 - среднее квадратическое отклонение прочности бетона в партии. При этом, поскольку число единичных значений прочности бетона в партии
n = 4, то по
табл. 1 ГОСТ 18105-86 коэффициент
d = 2,06. Коэффициент вариации прочности бетона в партии
Vm определяется по
формуле (6) ГОСТ 18105-86. Например, в первой партии
W1 = 28,2 - 23,4 = 4,8 МПа;
S1 = Wm/d = 4,8/2,06 = 2,33 МПа;
V1 = S1/R1·100 = 2,33/25,8·100 = 9%.
Результаты вычислений по определению
Vm представлены в
табл. 3.
Среднее значение партионного коэффициента вариации прочности бетона за анализируемый период определяется по
формуле (7) ГОСТ 18105-86:
9. По
табл. 2 ГОСТ 18105-80 коэффициент требуемой прочности
Kт при
Vп = 9,3% с учетом интерполяции составляет
Kт = 1,12. Требуемая отпускная прочность бетона на очередной контролируемый период определяется по
формуле (8) ГОСТ 18105-86. Отпускная прочность
Для определения требуемой прочности бетона в проектном возрасте партионный коэффициент вариации принимается равным:
Vп = 0,85·9,3 = 7,9%. По
табл. 2 ГОСТ 18105-86
Kт = 1,09,
По
табл. 4 ГОСТ 18105-86 при
Vп = 9,3% коэффициент
Kмп = 1,07.
По
формуле (12) ГОСТ 18105-86 определяется средний для контролируемого периода уровень отпускной прочности
Rу
10. По
формуле (14) ГОСТ 18105-86 вычисляется верхняя предупредительная граница

средней отпускной прочности бетона в контролируемой партии. Коэффициент межпартионной вариации прочности
Vмп = 0,5Vп = 0,5·9,3 = 4,65%;
Прочность бетона каждых трех последовательных партий сравнивается с

. Если оказывается, что прочность бетона в трех партиях подряд выше

, то должны быть приняты меры по снижению прочности бетона и сокращению расхода цемента. Как видно из
табл. 6, эта ситуация за контролируемый период не возникает.
11. Очередной контролируемый период устанавливается продолжительностью в 1 месяц. Партия бетона остается такой же, как и в начальном периоде. В контролируемый период от каждой партии бетона берутся две пробы - одна в первую смену и одна во вторую. Из каждой пробы изготовляется одна серия образцов для контроля отпускной прочности. Кроме того, один раз в неделю из проб, отбираемых в первую и вторую смены, изготовляются две дополнительные серии образцов для контроля прочности бетона в проектном возрасте.
12. Испытываются серии образцов для контроля отпускной прочности (перед отпуском изделий, бетон которых составляет партию) и прочности бетона в проектном возрасте (по истечении 28 сут). Результаты испытаний (единичные значения прочности) представлены в
табл. 4 и
5.
Таблица 4
Результаты испытаний серий образцов для контроля
отпускной прочности
N партии бетона m | Дата изготовления | Единичные значения прочности бетона, МПа | N партии бетона m | Дата изготовления | Единичные значения прочности бетона, МПа |
N смены | N смены |
1 | 2 | 1 | 2 |
1 | 3.08 | 19,5 | 20,5 | 12 | 18.08 | 21,4 | 19 |
2 | 4.08 | 19,4 | 21,6 | 13 | 19.08 | 19,2 | 21,8 |
3 | 5.08 | 18,9 | 22,2 | 14 | 20.08 | 20,6 | 22,8 |
4 | 6.08 | 19,3 | 20,1 | 15 | 21.08 | 19,7 | 20,6 |
5 | 7.08 | 19,5 | 21,3 | 16 | 24.08 | 19,4 | 21,9 |
6 | 10.08 | 20,9 | 19,1 | 17 | 25.08 | 21,4 | 18,5 |
7 | 11.08 | 21,5 | 19,3 | 18 | 26.08 | 19,2 | 21,2 |
8 | 12.08 | 21,2 | 19,8 | 19 | 27.08 | 21,2 | 22,1 |
9 | 13.08 | 20,2 | 23,1 | 20 | 28.08 | 20,9 | 18,6 |
10 | 14.08 | 20 | 22 | 21 | 31.08 | 21,6 | 19,6 |
11 | 17.08 | 22,1 | 20,4 | | | | |
Таблица 5
Результаты испытаний серий образцов для контроля
прочности бетона в проектном возрасте
N партии бетона m | Дата | Единичные значения прочности бетона, МПа |
изготовления | испытания |
N смены |
1 | 2 |
2 | 4.08 | 1.09 | 32,4 | 33,8 |
7 | 11.08 | 8.09 | 33,5 | 32,7 |
12 | 18.08 | 15.09 | 31,3 | 32,6 |
17 | 25.08 | 22.09 | 33,2 | 32,1 |
13. По единичным значениям прочности бетона, полученным при контроле отпускной прочности и прочности в проектном возрасте, в каждой партии по
формуле (1) ГОСТ 18105-86 вычисляется прочность бетона в партии
Rm. Результаты вычислений представлены в
табл. 6.
Таблица 6
Определение прочности бетона в партии
и партионного коэффициента вариации
N партии бетона m | Дата изготовления | Прочность бетона в партии, МПа | Определение партионного коэффициента вариации |
отпускная  | в проектном возрасте  | Wm, МПа | Sm, МПа | Vm, % |
1 | 3.08 | 20 | - | 1 | 0,88 | 4,4 |
2 | 4.08 | 20,5 | 33,1 | 2,2 | 1,95 | 9,5 |
3 | 5.08 | 20,6 | - | 3,3 | 2,92 | 14,2 |
4 | 6.08 | 19,7 | - | 0,8 | 0,71 | 3,6 |
5 | 7.08 | 20,4 | - | 1,8 | 1,59 | 7,8 |
6 | 10.08 | 20 | - | 1,8 | 1,59 | 8 |
7 | 11.08 | 20,4 | 33,1 | 2,2 | 1,95 | 9,5 |
8 | 12.08 | 20,5 | - | 1,4 | 1,24 | 6 |
9 | 13.08 | 21,2 | - | 2,9 | 2,57 | 12,1 |
10 | 14.08 | 21 | - | 2 | 1,77 | 8,4 |
11 | 17.08 | 21,3 | - | 1,7 | 1,5 | 7,1 |
12 | 18.08 | 20,2 | 32 | 2,4 | 2,12 | 10,5 |
13 | 19.08 | 20,5 | - | 2,6 | 2,30 | 11,2 |
14 | 20.08 | 21,7 | - | 2,2 | 1,95 | 9 |
15 | 21.08 | 20,2 | - | 0,9 | 0,8 | 3,9 |
16 | 24.08 | 20,6 | - | 2,5 | 2,21 | 10,7 |
17 | 25.08 | 20 | 32,7 | 2,9 | 2,57 | 12,8 |
18 | 26.08 | 20,2 | - | 2 | 1,77 | 8,8 |
19 | 27.08 | 21,6 | - | 0,9 | 0,8 | 3,7 |
20 | 28.08 | 19,8 | - | 2,3 | 2,03 | 10,3 |
21 | 31.08 | 20,6 | - | 2 | 1,77 | 8,6 |
Партия бетона подлежит приемке, если
Rm >=
Rт. Для отпускной прочности

. Как видно из
табл. 6, все партии бетона подлежат приемке. Для прочности бетона в проектном возрасте

. Как видно из
табл. 6,

, т.е. гарантия достижения прочности бетона в проектном возрасте подтверждена.
14. По
формуле (13) ГОСТ 18105-86 определяется коэффициент
Kв, характеризующий допустимое превышение фактической средней прочности бетона в проектном возрасте за контролируемый период

над требуемой

;
По
прил. 4 ГОСТ 18105-86 для условий рассматриваемого примера коэффициент
Kв = 1,2 > 1,12. Поэтому превышение фактической средней прочности бетона в проектном возрасте за контролируемый период над требуемой допустимо.
15. Контролируемый период принимается за анализируемый. Выполняется процедура, аналогичная описанной в
пп. 8,
9. В результате определяется среднее значение партионного коэффициента вариации за анализируемый период
Vп и значение требуемой прочности
Rт на очередной контролируемый период. Результаты вычислений представлены в
табл. 6. Коэффициент
d = 1,13;
Wm определяется как разность между

и меньшим единичными значениями прочности бетона в партии.
По данным
табл. 6 определяется
Vп = 8,3%, а по
табл. 2 ГОСТ 18105-86
Kт = 1,09.
Требуемая отпускная прочность

. Определяется требуемая прочность бетона в проектном возрасте

. Для этого находится

;

и затем

.
Определяется средний уровень отпускной прочности Rу. Для этого находится Kмп = 1,07 и затем Rу = 19,1·1,07 = 20,4 МПа.
16. Очередной контролируемый период устанавливается продолжительностью один месяц. В этот период используются определенные в
п. 15 значения

,

,
Rу. Процесс контроля аналогичен описанному в
пп. 10 -
15. Затем этот период принимается за анализируемый и т.д.
КОНТРОЛЬНАЯ КАРТА ОТПУСКНОЙ ПРОЧНОСТИ
СБОРНЫХ ЖЕЛЕЗОБЕТОННЫХ КОНСТРУКЦИЙ
Продолжение прилож. 4
Rу =
Kмп·
Rт = 1,05·11,6 = 12,2 МПа;
КОНТРОЛЬНАЯ КАРТА ПРИМЕРА КОРРЕКТИРОВКИ ПРОЧНОСТИ БЕТОНА
ПЕРЕД ВЫХОДНЫМИ ДНЯМИ
Продолжение прилож. 5
Rт =
Kт·
B·0,7 = 1,09·25·0,7 = 19,1 МПа;
Rу = Kмп·Rт = 1,05·19,1 = 20,0 МПа;