Главная // Актуальные документы // Актуальные документы (обновление 01.03.2026 по 01.04.2026) // ГОСТ (Государственный стандарт)СПРАВКА
Источник публикации
В данном виде документ опубликован не был.
Первоначальный текст документа опубликован в издании
М.: Стандартинформ, 2016.
Информацию о публикации документов, создающих данную редакцию, см. в справке к этим документам.
Примечание к документу
Документ включен в Перечень международных и региональных (межгосударственных) стандартов (
п. п. 439,
474), а в случае их отсутствия - национальных (государственных) стандартов, содержащих правила и методы исследований (испытаний) и измерений, в том числе правила отбора образцов, необходимые для применения и исполнения требований технического
регламента Евразийского экономического союза "О безопасности алкогольной продукции" (ТР ЕАЭС 047/2018) и осуществления оценки соответствия объектов технического регулирования (
Решение Коллегии Евразийской экономической комиссии от 17.05.2022 N 80).
Документ включен в
Перечень международных и региональных (межгосударственных) стандартов, а в случае их отсутствия - национальных (государственных) стандартов, содержащих правила и методы исследований (испытаний) и измерений, в том числе правила отбора образцов, необходимые для применения и исполнения требований технического
регламента Таможенного союза "О безопасности пищевой продукции" (ТР ТС 021/2011) и осуществления оценки соответствия объектов технического регулирования (
Решение Коллегии Евразийской экономической комиссии от 24.12.2019 N 236).
Изменение N 1 вводится в действие на территории Российской Федерации
Приказом Росстандарта от 27.11.2025 N 1550-ст с 01.11.2026 с правом досрочного применения.
Название документа
"ГОСТ 33408-2015. Межгосударственный стандарт. Коньяки, дистилляты, бренди. Определение содержания альдегидов, эфиров и спиртов методом газовой хроматографии"
(введен в действие Приказом Росстандарта от 26.05.2016 N 429-ст)
(ред. от 27.11.2025)
"ГОСТ 33408-2015. Межгосударственный стандарт. Коньяки, дистилляты, бренди. Определение содержания альдегидов, эфиров и спиртов методом газовой хроматографии"
(введен в действие Приказом Росстандарта от 26.05.2016 N 429-ст)
(ред. от 27.11.2025)
агентства по техническому
регулированию и метрологии
от 26 мая 2016 г. N 429-ст
МЕЖГОСУДАРСТВЕННЫЙ СТАНДАРТ
КОНЬЯКИ, ДИСТИЛЛЯТЫ, БРЕНДИ
ОПРЕДЕЛЕНИЕ СОДЕРЖАНИЯ АЛЬДЕГИДОВ, ЭФИРОВ
И СПИРТОВ МЕТОДОМ ГАЗОВОЙ ХРОМАТОГРАФИИ
Cognac, distillates, brandy. Determination
of aldehydes, ethers and alcohols by gas chromatography
ГОСТ 33408-2015
| | Список изменяющих документов Приказом Росстандарта от 27.11.2025 N 1550-ст) | |
Дата введения
1 июля 2017 года
Цели, основные принципы и основной порядок проведения работ по межгосударственной стандартизации установлены
ГОСТ 1.0-2015 "Межгосударственная система стандартизации. Основные положения" и
ГОСТ 1.2-2015 "Межгосударственная система стандартизации. Стандарты межгосударственные, правила и рекомендации по межгосударственной стандартизации. Правила разработки, принятия, обновления и отмены"
1 РАЗРАБОТАН Республиканским унитарным предприятием "Белорусский государственный институт метрологии" (БелГИМ)
2 ВНЕСЕН Государственным комитетом по стандартизации Республики Беларусь
3 ПРИНЯТ Межгосударственным советом по стандартизации, метрологии и сертификации (протокол от 22 июля 2015 г. N 78-П)
За принятие проголосовали:
Краткое наименование страны по МК (ИСО 3166) 004-97 | Код страны по МК (ИСО 3166) 004-97 | Сокращенное наименование национального органа по стандартизации |
Азербайджан | AZ | Азстандарт |
Армения | AM | Минэкономики Республики Армения |
Беларусь | BY | Госстандарт Республики Беларусь |
Казахстан | KZ | Госстандарт Республики Казахстан |
Киргизия | KG | Кыргызстандарт |
Молдова | MD | Молдова-Стандарт |
Россия | RU | Росстандарт |
Таджикистан | TJ | Таджикстандарт |
4
Приказом Федерального агентства по техническому регулированию и метрологии от 26 мая 2016 г. N 429-ст межгосударственный стандарт ГОСТ 33408-2015 введен в действие в качестве национального стандарта Российской Федерации с 1 июля 2017 г.
5 Настоящий стандарт разработан на основе методики выполнения измерений МВИ.МН 3068-2008 "Определение содержания альдегидов, эфиров и спиртов в коньяках и коньячных спиртах, коньячной продукции методом газовой хроматографии. Методика выполнения измерений", аттестованной БелГИМ. Свидетельство об аттестации N 505-1/2008 от 24 декабря 2008 г.
6 ВВЕДЕН ВПЕРВЫЕ
Информация об изменениях к настоящему стандарту публикуется в ежегодном информационном указателе "Национальные стандарты", а текст изменений и поправок - в ежемесячном информационном указателе "Национальные стандарты". В случае пересмотра (замены) или отмены настоящего стандарта соответствующее уведомление будет опубликовано в ежемесячном информационном указателе "Национальные стандарты". Соответствующая информация, уведомление и тексты размещаются также в информационной системе общего пользования - на официальном сайте Федерального агентства по техническому регулированию и метрологии в сети Интернет (www.gost.ru)
Настоящий стандарт распространяется на коньяки, дистилляты и бренди и устанавливает метод определения содержания альдегидов, эфиров и спиртов методом газовой хроматографии (далее - ГХ) с применением для регистрации пламенно-ионизационного детектора.
(в ред.
Изменения N 1, введенного в действие Приказом Росстандарта от 27.11.2025 N 1550-ст)
Диапазоны измерений для каждого определяемого вещества приведены в таблице 1.
Наименование вещества | Диапазон измерений, мг/дм3 |
Ацетальдегид (уксусный альдегид) | 5 - 500 |
Метилацетат (метиловый эфир уксусной кислоты) | 0,4 - 40 |
Этилацетат (этиловый эфир уксусной кислоты) | 12 - 1200 |
Метанол (метиловый спирт) | 8 - 800 |
Изопропанол (изопропиловый спирт) | 2 - 100 |
1-Пропанол (пропиловый спирт) | 4 - 400 |
Изобутанол (изобутиловый спирт) | 8 - 800 |
1-Бутанол (бутиловый спирт) | 4 - 400 |
Изоамилол (изоамиловый спирт) | 30 - 3000 |
(раздел 2 в ред.
Изменения N 1, введенного в действие Приказом Росстандарта от 27.11.2025 N 1550-ст)
В настоящем стандарте использованы нормативные ссылки на следующие межгосударственные стандарты <**>:
--------------------------------
<**> Допущена ошибка, в данном разделе пропущен
ГОСТ 6709 "Вода дистиллированная. Технические условия". В Российской Федерации действует
ГОСТ Р 58144-2018.
ГОСТ 12.1.004 Система стандартов безопасности труда. Пожарная безопасность. Общие требования
ГОСТ 12.1.007 Система стандартов безопасности труда. Вредные вещества. Классификация и общие требования безопасности
ГОСТ 12.1.019 Система стандартов безопасности труда. Электробезопасность. Общие требования и номенклатура видов защиты
ГОСТ 12.2.003 Система стандартов безопасности труда. Оборудование производственное. Общие требования безопасности
ГОСТ OIML R 76-1 Государственная система обеспечения средств измерений. Весы неавтоматического действия. Часть 1. Метрологические и технические требования. Испытания
ГОСТ 1770 (ИСО 1042-83, ИСО 4788-80) Посуда мерная лабораторная стеклянная. Цилиндры, мензурки, колбы, пробирки. Общие технические условия
ГОСТ 3022 Водород технический. Технические условия
ГОСТ 3639 Растворы водно-спиртовые. Методы определения концентрации этилового спирта
ГОСТ ИСО 5725-6 Точность (правильность и прецизионность) методов и результатов измерений. Часть 6. Использование значений точности на практике <1>
--------------------------------
(сноска введена
Изменением N 1, введенным в действие Приказом Росстандарта от 27.11.2025 N 1550-ст)
ГОСТ 9293 Азот газообразный и жидкий. Технические условия
ГОСТ 17433 Промышленная чистота. Сжатый воздух. Классы загрязненности
ГОСТ 18481 Ареометры и цилиндры стеклянные. Технические условия <***>
--------------------------------
<***> Допущена ошибка. Действует
ГОСТ 18481-81 "Ареометры и цилиндры стеклянные. Общие технические условия".
ГОСТ 25336 Посуда и оборудование лабораторные стеклянные. Типы, основные параметры и размеры <4*>
--------------------------------
<4*> Допущена ошибка. ГОСТ 33408-2015 не содержит нормативной ссылки на
ГОСТ 25336.
ГОСТ 29169 (ИСО 648-77) Посуда лабораторная стеклянная. Пипетки с одной отметкой
ГОСТ 29227 (ИСО 835-1-81) Посуда лабораторная стеклянная. Пипетки градуированные. Часть 1. Общие требования
Примечание - При пользовании настоящим стандартом целесообразно проверить действие ссылочных стандартов и классификаторов на официальном интернет-сайте Межгосударственного совета по стандартизации, метрологии и сертификации (www.easc.by) или по указателям национальных стандартов, издаваемым в государствах, указанных в предисловии, или на официальных сайтах соответствующих национальных органов по стандартизации. Если на документ дана недатированная ссылка, то следует использовать документ, действующий на текущий момент, с учетом всех внесенных в него изменений. Если заменен ссылочный документ, на который дана датированная ссылка, то следует использовать указанную версию этого документа. Если после принятия настоящего стандарта в ссылочный документ, на который дана датированная ссылка, внесено изменение, затрагивающее положение, на которое дана ссылка, то это положение применяется без учета данного изменения. Если ссылочный документ отменен без замены, то положение, в котором дана ссылка на него, применяется в части, не затрагивающей эту ссылку.
В настоящем стандарте применены следующие термины с соответствующими определениями:
3.1 предел измерений (LOQ): Наименьшее значение массовой концентрации определяемого вещества, которое может быть измерено с установленной точностью в соответствии с настоящим стандартом.
3.2 диапазон измерений: Область значений массовой концентрации вещества в пробе, определяемая в соответствии с настоящим стандартом с установленной точностью.
Метод основан на количественном определении веществ с помощью пламенно-ионизационного детектора по величине изменения силы тока сигнала, интегрированного по времени и их регистрации.
5 Требования безопасности и требования к квалификации операторов
5.1 Требования безопасности
При выполнении работ персонал должен знать и строго соблюдать на рабочем месте требования:
- техники безопасности при работе с химическими реагентами - по
ГОСТ 12.1.007;
- техники безопасности при работе в химической лаборатории;
- техники безопасности, изложенные в эксплуатационных документах на средства измерений и оборудование, применяемые при проведении измерений.
5.2 Требования к квалификации операторов
К проведению измерений и обработке результатов хроматографического анализа могут быть допущены лица, имеющие высшее специальное химическое образование, опыт работы в области ГХ, изучившие руководство по эксплуатации газового хроматографа, инструкцию по использованию системы обработки хроматографических данных и настоящий метод.
6 Условия проведения измерений
При проведении измерений в лаборатории должны быть соблюдены следующие условия:
- температура окружающего воздуха ...................... (20 +/- 5) °C;
- относительная влажность воздуха ...................... не более 80%;
- приготовление градуировочных растворов
и растворов проб проводят при температуре ............ (20 +/- 2) °C.
(в ред.
Изменения N 1, введенного в действие Приказом Росстандарта от 27.11.2025 N 1550-ст)
Помещения для проведения измерений должны быть оснащены приточно-вытяжной вентиляцией и подводкой воды.
7 Средства измерений, вспомогательное оборудование, материалы, реактивы
Хроматограф газовый с пламенно-ионизационным детектором, имеющий предел обнаружения не менее 1 x 10-8 мг/см3 пропана в нонане, включающий:
- автоматический дозатор жидких проб;
- систему регистрации, обработки и хранения хроматографических данных.
Весы лабораторные электронные по
ГОСТ OIML R 76-1, специального класса точности, с максимальной нагрузкой 220 г, действительной ценой деления 0,0001 г.
(в ред.
Изменения N 1, введенного в действие Приказом Росстандарта от 27.11.2025 N 1550-ст)
Колбы мерные 2-50-2, 2-100-2, 2-1000-2 по
ГОСТ 1770.
Пипетки с одной меткой 2-2-10, 2-2-20, 2-2-25, 2-2-50 по
ГОСТ 29169.
Пипетки градуированные 1-1-2-2, 1-1-2-5 по
ГОСТ 29227.
Государственный стандартный образец состава растворов токсичных микропримесей в водно-спиртовой смеси ГСО N 8405-2003 (комплект РВ-3, РВ-2, РВ-1).
7.2 Вспомогательное оборудование и материалы
Аппарат перегонный, состоящий из:
- колбы вместимостью 1 дм3 с закрывающейся резиновой пробкой, в отверстие которой вставлен каплеуловитель;
- каплеуловителя или ректификационной колонки высотой около 20 см;
- охлаждающего устройства, оканчивающегося трубкой с заостренным узким концом (доходящим почти до дна приемной мерной колбы, но не касающимся его) для поступления дистиллята в приемную мерную колбу, содержащую несколько кубических сантиметров дистиллированной воды;
- источника тепла.
Допускается применять перегонный аппарат иной конструкции, отвечающей условию: пять раз последовательно перегоняют водно-спиртовую смесь, содержащую этиловый спирт с объемной долей 10%. После пятой перегонки объемная доля этилового спирта в дистилляте должна составлять не менее 9,9%. Потеря спирта после разовой перегонки не должна превышать 0,02 об. %.
Термостат водяной с погрешностью поддержания температуры +/- 0,2 °C в диапазоне температур от 10 до 40 °C.
Виалы для автосамплера вместимостью 2 см3.
Холодильник бытовой.
Газ-носитель - азот о.ч. по
ГОСТ 9293. Допускается использование генераторов азота.
Водород технический марки А по
ГОСТ 3022. Допускается использование генераторов водорода.
Воздух сжатый по
ГОСТ 17433. Допускается использование воздушных компрессоров любого типа, обеспечивающих необходимое давление и чистоту воздуха в соответствии с инструкцией по эксплуатации газового хроматографа.
(подраздел 7.3 в ред.
Изменения N 1, введенного в действие Приказом Росстандарта от 27.11.2025 N 1550-ст)
Ацетальдегид, массовая доля основного вещества не менее 99,0%.
Метилацетат, массовая доля основного вещества не менее 99,0%.
Этилацетат, массовая доля основного вещества не менее 99,0%.
Изопропанол, массовая доля основного вещества не менее 99,0%.
1-Пропанол, массовая доля основного вещества не менее 99,0%.
Изобутанол, массовая доля основного вещества не менее 99,0%.
1-Бутанол, массовая доля основного вещества не менее 99,0%.
Изоамилол, массовая доля основного вещества не менее 99,0%.
Метанол, массовая доля основного вещества не менее 99,0%.
Спирт этиловый ректификованный из пищевого сырья с минимальным количеством токсичных микропримесей по нормативным документам, действующим на территории стран, принявших настоящий стандарт <*>.
--------------------------------
<*> Примером подходящего продукта является спирт этиловый ректификованный из пищевого сырья сорта "Крышталь супер-люкс". Данная информация приведена для удобства и не означает признания названного продукта пользователями настоящего стандарта.
(сноска в ред.
Изменения N 1, введенного в действие Приказом Росстандарта от 27.11.2025 N 1550-ст)
Допускается использовать другие сорта спирта этилового ректификованного из пищевого сырья, удовлетворяющего требованиям
таблицы 2.
Допускается применение других средств измерений с метрологическими характеристиками, вспомогательного оборудования с техническими характеристиками не хуже, а также материалов и реактивов по качеству не ниже указанных.
8 Подготовка к проведению измерений
Отбор проб продукции для определения содержания альдегидов, эфиров и спиртов проводят в соответствии с действующими нормативными документами на отбор проб соответствующего вида продукции.
Проба должна быть однородной и репрезентативной. Необходимо предусматривать отбор проб на случай разногласий в оценке качества продукции.
Проба, доставленная в лабораторию на испытание, не должна быть повреждена или изменена во время транспортирования и хранения.
8.2 Определение содержания веществ в этиловом спирте
(подраздел 8.2 в ред.
Изменения N 1, введенного в действие Приказом Росстандарта от 27.11.2025 N 1550-ст)
Определение содержания веществ в этиловом спирте проводят в соответствии с требованиями нормативных документов, действующих на территории стран, принявших настоящий стандарт.
Максимально допустимый уровень (МДУ) содержания определяемых веществ в этиловом спирте приведен в таблице 2.
Наименование показателя | МДУ |
Массовая концентрация изопропанола в пересчете на безводный спирт, мг/дм3, не более | 2,5 |
Массовая концентрация метилового спирта в пересчете на безводный спирт, мг/дм3, не более | 4,0 |
Примечание - Пики других определяемых веществ должны отсутствовать на хроматограммах этилового спирта (массовая концентрация должна быть менее предела обнаружения метода).
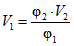
8.3 Приготовление раствора этилового спирта объемной долей 40% (растворителя)
Для приготовления градуировочных растворов должен использоваться раствор этилового спирта объемной долей 40% (далее - растворитель).
Растворитель готовят путем разбавления дистиллированной водой этилового спирта, удовлетворяющего требованиям
8.2. Объем этилового спирта, необходимый для разбавления,
V2, см
3, вычисляют по формуле

(1)
где C2 - объемная доля этилового спирта, полученная после разбавления, %, (C2 = 40%);
V1 - объем приготавливаемого раствора этилового спирта объемной долей 40%, см3;
C1 - объемная доля этилового спирта (исходного), измеренная в соответствии с
ГОСТ 3639, %.
Допускается использовать другие марки этилового ректификованного спирта, удовлетворяющие требованиям
таблицы 2.
Пример:
Приготовление 1 дм3 раствора этилового спирта объемной долей 40%
Цилиндром вместимостью 500 см3 отмеривают 415 см3 этилового ректификованного спирта из пищевого сырья (объемная доля этилового спирта 96,6%) и количественно переносят отмеренный объем в мерную колбу вместимостью 1000 см3. Добавляют приблизительно 560 - 570 см3 дистиллированной воды и перемешивают. Раствор термостатируют при температуре (20 +/- 2) °C в течение 30 мин и доводят дистиллированной водой до метки.
8.4 Приготовление основного градуировочного раствора метилацетата и изопропанола (основной раствор "A")
Навески метилацетата и изопропанола, взятые в соответствии с
таблицей 3 с точностью до 0,001 г, взвешивают в мерной колбе вместимостью 100 см
3, предварительно заполненной 50 - 60 см
3 растворителя, приготовленного по
8.3, хорошо перемешивают и доводят до метки растворителем при температуре (20 +/- 2) °C.
Таблица 3
| | ИС МЕГАНОРМ: примечание. Название таблицы дано в соответствии с официальным текстом документа. | |
Схема приготовления основного градуировочного раствора
метилацетата и 0 изопропанола (основной раствор "A")
Наименование вещества | Навеска, г | Вместимость колбы, см3 | Массовая концентрация веществ, мг/дм3 |
Метилацетат | 0,200 | 100 | 2000 |
Изопропанол | 0,500 | 5000 |
Точную массовую концентрацию метилацетата и изопропилового спирта CA, г/см3, в приготовленном основном градуировочном растворе "A" вычисляют с учетом массовой доли основного вещества по формуле

(2)
где m - масса навески вещества, г;
P - массовая доля основного вещества, %;
V - вместимость мерной колбы, см3;
106 - коэффициент для пересчета размерностей величин.
8.5 Приготовление основного градуировочного раствора смеси веществ (основной раствор "B")
Навески индивидуальных веществ (примерные массы навесок приведены в
таблице 4) взвешивают в мерной колбе вместимостью 100 см
3 с точностью до 0,001 г, заполненной предварительно 40 - 50 см
3 растворителя, приготовленного по
8.3.
Раствор хорошо перемешивают. Затем в колбу добавляют 10 см
3 основного градуировочного раствора "A" метилацетата и изопропанола (см.
8.4) и доводят до метки растворителем (см.
8.3) при температуре (20 +/- 2) °C.
Таблица 4
Массы навесок веществ для приготовления основного
градуировочного раствора "B"
Наименование вещества | Навеска, г | Массовая концентрация веществ, мг/дм3 |
| 0,250 | 2500 |
Этилацетат | 0,600 | 6000 |
Метанол | 0,400 | 4000 |
1-Пропанол | 0,200 | 2000 |
Изобутанол | 0,400 | 4000 |
1-Бутанол | 0,200 | 2000 |
Изоамилол | 1,500 | 15000 |
Метилацетат | 10 см 3 раствора "A" по 8.4 | 200 |
Изопропанол | 500 |
<*> Ацетальдегид имеет низкую температуру кипения (20,8 °C), поэтому перед взвешиванием его необходимо выдержать при температуре минус 18 °C в течение двух часов. Рекомендуется также охладить посуду, используемую при приготовлении растворов. Ацетальдегид добавляют последним в основной градуировочный раствор "B". |
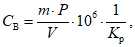
Для метилацетата и изопропанола точную массовую концентрацию вещества CB, мг/дм3, (без учета его содержания в растворителе) в основном градуировочном растворе "B" вычисляют по формуле

(3)
где m - масса навески вещества, г;
P - массовая доля основного вещества, %;
V - вместимость мерной колбы, см3;
106 - коэффициент для пересчета размерностей величин;
Kр - коэффициент разбавления раствора, вычисляемый по формуле

(4)
где Vр-ра - объем приготавливаемого раствора, см3, Vр-ра = 100 см3;
Vал - объем основного раствора "A", взятого для разбавления, см3.
Точную массовую концентрацию остальных веществ в основном градуировочном растворе "B"
CB, мг/дм
3, вычисляют по
формуле (2) с учетом массовой доли основного вещества.
Основные градуировочные растворы "A" и "B" хранят в герметически закрытой посуде, залитой парафином при температуре от 4 до 10 °C в течение 6 мес.
8.6 Приготовление рабочих градуировочных растворов
Рабочие градуировочные растворы готовят путем разбавления основного градуировочного раствора "B" растворителем по схеме, представленной в таблице 5.
Рабочие градуировочные растворы смеси веществ хранят при температуре от 4 до 10 °C в течение 3 мес в герметически закрытой посуде, залитой парафином.
Таблица 5
Схема приготовления рабочих градуировочных растворов
Наименование веществ | Массовая концентрация в основном градуировочном растворе "B" (см. 8.5), мг/дм 3 | Массовая концентрация веществ в градуировочных растворах, мг/дм3 |
| | | | |
| Вместимость колбы, см3 | | Вместимость колбы, см3 | Объем раствора (см. 8.5), см 3 | Вместимость колбы, см3 | Объем раствора (см. 8.5), см 3 | Вместимость колбы, см3 | Объем раствора (см. 8.5), см 3 | Вместимость колбы, см3 |
2 | 100 | 5 | 100 | 2 | 100 | 5 | 100 | 10 | 100 |
Ацетальдегид | 2500 | 5 | 12,5 | 50 | 125 | 250 |
Этилацетат | 6000 | 12 | 30 | 120 | 300 | 600 |
Метанол | 4000 + Cр-ля | 8 + Cр-ля | 20 + Cр-ля | 80 + Cр-ля | 200 + Cр-ля | 400 + Cр-ля |
1-Пропанол | 2000 | 4 | 10 | 40 | 100 | 200 |
Изобутанол | 4000 | 8 | 20 | 80 | 200 | 400 |
1-Бутанол | 2000 | 4 | 10 | 40 | 100 | 200 |
Изоамилол | 15000 | 30 | 75 | 300 | 750 | 1500 |
Метилацетат | 200 | 0,4 | 1 | 4 | 10 | 20 |
Изопропанол | 500 + Cр-ля | РВ-3 <*> | РВ-2 <*> | РВ-1 <*> | 25 + Cр-ля | 50 + Cр-ля |
<*> Градуировочными растворами N 1, N 2, N 3 для изопропанола являются стандартные образцы состава растворов токсичных микропримесей в водно-спиртовой смеси ГСО N 8405-2003 (комплект РВ-3, РВ-2, РВ-1). Значение массовой концентрации изопропилового спирта в градуировочных растворах N 1, N 2 и N 3 считают равным аттестованному значению. Примечание - Точное значение массовой концентрации каждого вещества в рабочих градуировочных растворах вычисляют с учетом содержания основного вещества, массы навески, взятой для приготовления основного градуировочного раствора "B". |
Значение массовой концентрации изопропанола
C, мг/дм
3, в основном градуировочном растворе "B" и в
растворах N 4,
N 5, а также значение массовой концентрации метанола в основном градуировочном растворе "B" и в
растворах N 1 -
5 (см. таблицу 5) вычисляют по формуле
C = Cприг + Cр-ля, (5)
где Cприг - массовая концентрация вещества в приготовленном градуировочном растворе, мг/дм3;
Cр-ля - массовая концентрация вещества в растворителе, мг/дм3.
8.7 Подготовка хроматографа к работе
Подготовку газового хроматографа к работе осуществляют в соответствии с инструкцией фирмы - производителя оборудования.
Для разделения многокомпонентной смеси анализируемых веществ используют режим с программированием температуры термостата колонок и следующие хроматографические условия:
Хроматографическая капиллярная колонка <*> | - HP-FFAP 50 м x 0,32 мм x 0,52 мкм |
Температура испарителя, °C | - 220 |
Температура детектора, °C | - 220 |
Скорость газа-носителя, см3/мин | - 3,9 |
Скорость потока воздуха, см3/мин | - 350 |
Скорость потока водорода, см3/мин | - 30 |
Коэффициент деления потока | - 1:20 |
Объем пробы, см3 | - 1,0 x 10-3 |
Температурная программа термостата колонок, °C | - 66 °C - 11,5 мин от 4 °C/мин до 120 °C от 10 °C/мин до 170 °C, 2 мин от 25 °C/мин до 66 °C |
--------------------------------
<*> Данный тип колонки является примером подходящего продукта, имеющегося в продаже. Данная колонка приведена для удобства пользователей настоящего стандарта и может быть заменена на иную при сохранении разделительной способности веществ.
Ориентировочное время удерживания определяемых веществ приведено в таблице 6.
Таблица 6
Ориентировочное время удерживания определяемых веществ
Наименование вещества | Ориентировочное время удерживания, мин |
Ацетальдегид | 5,9 |
Метилацетат | 6,9 |
Этилацетат | 7,9 |
Метанол | 8,1 |
Изопропанол | 8,8 |
1-Пропанол | 12,8 |
Изобутанол | 15,2 |
1-Бутанол | 18,0 |
Изоамилол | 20,9 |
Примечание - Точное время выхода веществ определяют по градуировочным растворам. |
(примечание в ред. Изменения N 1, введенного в действие Приказом Росстандарта от 27.11.2025 N 1550-ст) |
Допускается применение других хроматографических колонок и условий, обеспечивающих разделение смеси определяемых веществ. Значения величины степени разделения пиков должно быть не менее 1,0.
(абзац введен
Изменением N 1, введенным в действие Приказом Росстандарта от 27.11.2025 N 1550-ст)
Типичная хроматограмма смеси определяемых веществ приведена на
рисунке А.1 (приложение А).
8.8 Подготовка проб коньяка, дистиллятов и бренди
(подраздел 8.8 в ред.
Изменения N 1, введенного в действие Приказом Росстандарта от 27.11.2025 N 1550-ст)
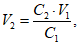
Определение содержания альдегидов, эфиров и спиртов в испытуемых пробах проводят после предварительной перегонки согласно нормативным документам, действующим на территории стран, принявших настоящий стандарт.
Испытуемые пробы с объемной долей этилового спирта более 40% перед выполнением измерений разбавляют дистиллированной водой до получения раствора с объемной долей этилового спирта приблизительно 40% (см.
примечание таблицы 7). Объем пробы, который необходимо взять для разбавления, рассчитывают по формуле

, (6)
где V1 - объем пробы, который необходимо взять для разбавления, см3;
V2 - объем приготавливаемой пробы с объемной долей этилового спирта 40%, см3;

- объемная доля этилового спирта в пробе до разбавления, измеренная в соответствии с
ГОСТ 3639, %;

- объемная доля этилового спирта в пробе, полученная после разбавления, %.
Ориентировочная схема разбавления пробы с объемной долей этилового спирта от 55% до 70% приведена в таблице 7.
Таблица 7
Схема разбавления
Объемная доля этилового спирта в пробе до разбавления  , % | Объем пробы, V1, см3 | Вместимость мерной колбы V2, см3 | Объемная доля этилового спирта в пробе после разбавления  , % |
55 | 20 | 25 | 44 |
67 | 15 | 25 | 40 |
70 | 15 | 25 | 42 |
Примечание - Значение объемной доли этилового спирта в пробе после разбавления должно находиться в диапазоне от 40% до 44%. |
Для проведения измерений подготавливают две параллельные пробы.
9 Порядок проведения измерений
9.1 Выполнение градуировки хроматографа
Выполняют градуировку хроматографа по пяти рабочим градуировочным растворам с массовыми концентрациями, представленными в
таблице 5. Каждый градуировочный раствор хроматографируют не менее двух раз в условиях
8.7. Градуировочная зависимость должна иметь вид
y =
bx +
a. Параметры градуировочной зависимости рассчитывают путем анализа линейной регрессии скорректированных площадей пиков.
9.2 Оперативный контроль стабильности градуировки
Перед началом измерений выполняют оперативный контроль стабильности градуировочного графика. Для этого анализируют любой из рабочих градуировочных растворов, хроматографируя его два раза перед началом выполнения анализа серии образцов.
Если абсолютное значение разности между измеренной и вычисленной массовой концентрацией каждого вещества в выбранном градуировочном растворе не превышает норматива стабильности градуировки
Kград, т.е. выполняется условие (7), то градуировку считают достоверной и можно переходить к анализу серии образцов по
9.2
|
Cрасч -
Cизм| <=
Kград, (7)
где Cрасч - вычисленная массовая концентрация вещества в выбранном градуировочном растворе, мг/дм3;
Cизм - измеренная массовая концентрация вещества в выбранном градуировочном растворе, мг/дм3;
Kград - норматив стабильности градуировочной зависимости.
Если требование
(7) не выполняется, то проводят повторное измерение вновь приготовленного градуировочного раствора. В случае повторного невыполнения требования
(7), проводят повторную градуировку прибора по новым градуировочным растворам.
Норматив стабильности градуировки вычисляют по формуле
Kград = 0,06·Cрасч + 0,007·Cмакс, (8)
где Cмакс - максимальная массовая концентрация вещества в рабочем градуировочном растворе N 5, мг/дм3.
После завершения анализа серии образцов проводят повторный контроль стабильности градуировки путем измерения выбранного градуировочного раствора, сравнивая результат измерений с нормативом стабильности градуировки так, как это описано выше. В случае невыполнения условия
(7) проводят повторное измерение выбранного градуировочного раствора. Если при этом полученное значение результата измерений вновь не удовлетворяет вышеприведенным требованиям, выявляют и устраняют причины несоответствия, а затем проводят повторное измерение данной серии образцов.
При проведении измерений серия состоит не более чем из 15 образцов.
Проводят измерение пробы, подготовленной по
8.8 в соответствии с условиями
8.7.
Каждую подготовленную пробу хроматографируют два раза. Пики веществ в пробе должны быть правильно проинтегрированы, при необходимости результаты интегрирования площади пика корректируют вручную. Если измеренная массовая концентрация вещества в анализируемом растворе превышает верхнюю границу диапазона градуировки, проводят разбавление пробы растворителем, приготовленным по
8.3 и повторяют измерения. При получении результатов измерений массовой концентрации вещества в пробе выше верхней границы диапазона измерений согласно
таблице 1 используют метрологические характеристики, приведенные в
таблице 9.
(в ред.
Изменения N 1, введенного в действие Приказом Росстандарта от 27.11.2025 N 1550-ст)
9.4 Идентификация индивидуальных веществ
При отсутствии пика определяемого вещества на характеристическом времени удерживания, соответствующем времени, полученному на хроматограмме градуировочного раствора, делают вывод, что данное вещество в пробе отсутствует.
Если время удерживания определяемого вещества на хроматограмме анализируемой пробы совпадает со временем удерживания определяемого вещества на хроматограмме градуировочного раствора, то считают, что данное вещество в пробе присутствует.
10 Обработка и оформление результатов измерений
10.1 Вычисление массовой концентрации определяемого вещества в пробе
Программное обеспечение для вычисления массовой концентрации вещества в анализируемом растворе использует модель невзвешенной линейной регрессии вида y = b·Cx + a.
Массовую концентрацию вещества Cx, мг/дм3, в анализируемом растворе вычисляют программным обеспечением по формуле
(в ред.
Изменения N 1, введенного в действие Приказом Росстандарта от 27.11.2025 N 1550-ст)

(9)
где y - площадь пика вещества, пА·с;
a - коэффициент линейной регрессии для вещества, пА·с;
b - коэффициент линейной регрессии для вещества, пА·с·мг/дм3.
(в ред.
Изменения N 1, введенного в действие Приказом Росстандарта от 27.11.2025 N 1550-ст)
10.1.1 Вычисление массовой концентрации определяемого вещества в пробах коньяка, не подвергаемых разбавлению
Массовую концентрацию вещества в пробе C, мг/дм3, вычисляют по формуле
C = Cx, (10)
где Cx - массовая концентрация вещества в анализируемом растворе, вычисленная по градуировочному графику, мг/дм3.
10.1.1.1 Расчет массовой концентрации определяемого вещества в пробах, подвергнутых разбавлению растворителем
Если массовая концентрация вещества в пробе C превышает верхнюю границу диапазона градуировки, то пробу коньяка необходимо разбавить растворителем. Массовую концентрацию вещества в пробе C, мг/дм3, в этом случае вычисляют по формуле
C = Cx·Kр1 - Cр·(Kр1 - 1), (11)
где Kр1 - коэффициент разбавления, вычисляемый по формуле

, (12)
где Vр1 - объем раствора пробы после разбавления растворителем, см3;
Vа1 - объем пробы, взятый для разбавления, см3;
Cр - массовая концентрация вещества в растворителе по
8.3, мг/дм
3.
Массовую концентрацию вещества в растворителе по
8.3 рассчитывают по формуле

, (12а)
где
CEt - массовая концентрация вещества в этиловом спирте, взятом для приготовления растворителя, согласно
8.2, мг/дм
3;
V1 - объем этилового спирта, взятый для приготовления растворителя, см3;
V2 - объем приготовленного растворителя, см3.
Если массовая концентрация вещества в этиловом спирте, взятом для приготовления растворителя, менее предела обнаружения метода, используемого для его анализа, то принимают, что Cр = 0.
(пп. 10.1.1.1 в ред.
Изменения N 1, введенного в действие Приказом Росстандарта от 27.11.2025 N 1550-ст)
10.1.2 Расчет массовой концентрации определяемого вещества в пробах
(в ред.
Изменения N 1, введенного в действие Приказом Росстандарта от 27.11.2025 N 1550-ст)
Массовую концентрацию вещества в пробе C, мг/дм3, вычисляют по формуле
C = Cx·Kр2, (13)
где Cx - массовая концентрация вещества в анализируемом растворе, вычисленная по градуировочному графику, мг/дм3;
Kр2 - коэффициент разбавления, вычисляемый по формуле

(14)
где Vа - объем пробы, взятый для разбавления, см3;
(в ред.
Изменения N 1, введенного в действие Приказом Росстандарта от 27.11.2025 N 1550-ст)
Vр - объем раствора пробы после разбавления водой, см3.
(в ред.
Изменения N 1, введенного в действие Приказом Росстандарта от 27.11.2025 N 1550-ст)
10.1.2.1 Вычисление массовой концентрации определяемого вещества в пробах, подвергнутых дополнительному разбавлению растворителем
(в ред.
Изменения N 1, введенного в действие Приказом Росстандарта от 27.11.2025 N 1550-ст)
В случае если массовая концентрация вещества в пробе C превышает верхнюю границу диапазона градуировки, то пробу необходимо разбавить растворителем.
(в ред.
Изменения N 1, введенного в действие Приказом Росстандарта от 27.11.2025 N 1550-ст)
Массовую концентрацию вещества в пробе C, мг/дм3, в таком случае вычисляют по формуле
C = (Cx·Kр1 - Cр(Kр1 - 1))·Kр2. (15)
Значение показателя точности

для разбавленных проб берут из
таблицы 9.
(абзац введен
Изменением N 1, введенным в действие Приказом Росстандарта от 27.11.2025 N 1550-ст)
10.2 Вычисление результата измерений
Полученные значения массовой концентрации вещества в пробе C используют для дальнейших вычислений при выполнении условия
C >= Cград.мин, (16)
где Cград.мин - массовая концентрация на нижней границе диапазона градуировки (Cград.мин = Cград.р-р N1), значения которой представлены в таблице 8.
Таблица 8
Массовая концентрация на нижней границе
диапазона градуировки
Наименование вещества | Массовая концентрация Cград.мин, мг/дм3 |
Ацетальдегид | 5,00 |
Метилацетат | 0,40 |
Этилацетат | 12,00 |
Метанол | 8,00 |
Изопропанол | |
1-Пропанол | 4,00 |
Изобутанол | 8,00 |
1-Бутанол | 4,00 |
Изоамилол | 30,00 |
<*> Массовая концентрация на нижней границе диапазона градуировки для изопропанола приписывается равной массовой концентрации изопропанола в стандарте РВ-3 ГСО N 8405-2003 состава растворов токсичных микропримесей в водно-спиртовой смеси. |
Вычисление результата измерений выполняют отдельно для каждой параллельной пробы. Вычисляют среднеарифметическое значение

, мг/дм
3, результатов измерений двух параллельных проб

(17)
где C1, C2 - среднеарифметические значения результатов единичных измерений массовой концентрации вещества в параллельных пробах, мг/дм3;
| | ИС МЕГАНОРМ: примечание. Формула дана в соответствии с официальным текстом документа. | |

и

(18)
где C11, C12 и C21, C22 - среднеарифметические значения результатов единичных измерений массовой концентрации вещества в параллельных пробах, мг/дм3.
Полученное по
формуле (17) среднеарифметическое значение

принимают за окончательный результат измерения массовой концентрации вещества в пробе при выполнении условия повторяемости по
12.1.
Результаты измерений C1, C2 вычисляют в каждой параллельной пробе до второго десятичного знака.
Окончательный результат измерений выражают с округлением до первого десятичного знака.
Результат измерений пересчитывают в единицах мг/100 см3 безводного спирта по формуле

(19)
где CНД - массовая концентрация вещества, мг/100 см3 безводного спирта;

- массовая концентрация вещества, мг/дм
3, вычисленная по
формуле (17);

- объемная доля этилового спирта в пробе до разбавления, измеренная в соответствии с
ГОСТ 3639, %.
(в ред.
Изменения N 1, введенного в действие Приказом Росстандарта от 27.11.2025 N 1550-ст)
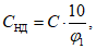
Массовую концентрацию метилового спирта, г/дм3, в пробе в соответствии с требованиями нормативных документов пересчитывают по формуле
(в ред.
Изменения N 1, введенного в действие Приказом Росстандарта от 27.11.2025 N 1550-ст)

(20)
10.3 Односторонняя оценка массовой концентрации определяемого вещества в пробе
Если измеренная величина в пробе
C1 или
C2 оказывается меньше предела измерения
CLOQ, то вычисления по
формуле (17) не проводят, а дают одностороннюю оценку массовой концентрации вещества в пробе, мг/дм
3, в виде
C < CLOQ, (21)
где CLOQ - предел измерения для каждого вещества.
Предел измерения для пробы, подвергнутой разбавлению, рассчитывают по формуле
(в ред.
Изменения N 1, введенного в действие Приказом Росстандарта от 27.11.2025 N 1550-ст)
CLOQ = Cград.min x Kр1. (22)
Приказом Росстандарта от 27.11.2025 N 1550-ст)
Предел измерения для пробы без разбавления рассчитывают по формуле
(абзац введен
Изменением N 1, введенным в действие Приказом Росстандарта от 27.11.2025 N 1550-ст)
CLOQ = Cград.min. (22а)
Приказом Росстандарта от 27.11.2025 N 1550-ст)
10.4 Окончательный результат измерений
За результат измерений принимают среднеарифметическое значение двух параллельных измерений при выполнении условий повторяемости. Окончательный результат округляют до первого десятичного знака.
Окончательный результат измерений массовой концентрации определяемых веществ представляют в следующем виде

(23)
Приказом Росстандарта от 27.11.2025 N 1550-ст)
где

- результат измерений, мг/дм
3, полученный в соответствии с настоящим стандартом и вычисленный согласно
10.2;
(в ред.
Изменения N 1, введенного в действие Приказом Росстандарта от 27.11.2025 N 1550-ст)

- абсолютное значение показателя точности метода, мг/дм
3.
(в ред.
Изменения N 1, введенного в действие Приказом Росстандарта от 27.11.2025 N 1550-ст)
Абсолютное значение показателя точности

, мг/дм
3, вычисляют, используя относительное значение показателя точности метода

, %, указанное в
таблице 9 по формуле
(в ред.
Изменения N 1, введенного в действие Приказом Росстандарта от 27.11.2025 N 1550-ст)

(24)
где 0,01 - коэффициент для пересчета процентов;

- среднеарифметическое значение двух результатов единичных измерений, мг/дм
3.
(в ред.
Изменения N 1, введенного в действие Приказом Росстандарта от 27.11.2025 N 1550-ст)
11 Показатели точности метода
(раздел 11 в ред.
Изменения N 1, введенного в действие Приказом Росстандарта от 27.11.2025 N 1550-ст)
Настоящий метод обеспечивает измерение массовых концентраций определяемых веществ с метрологическими характеристиками, приведенными в таблице 9.
Метрологические характеристики метода
Наименование вещества | Наименование характеристики |
Предел повторяемости r, % | Предел воспроизводимости R, % | Показатель точности (границы относительной погрешности метода)  , % |
Ацетальдегид, метилацетат | 11 | 17 | 12 |
Этилацетат, метанол, изопропанол, пропанол, изобутанол, бутанол, изоамилол | 7 | 13 | 10 |
Примечание - В диапазоне от Cmin до 0,2· Cmax включительно значение показателя точности  , %, рассчитывают по формуле  , (24а) где Cmin, Cmax - нижняя и верхняя границы диапазона измерений, мг/дм 3, приведенные в таблице 1;  - значение показателя точности, %, приведенное в данной таблице для соответствующих веществ как величина  ; C - окончательный результат измерений, мг/дм 3, полученный согласно разделу 10. |
12 Контроль точности результатов измерений
12.1 Оперативный контроль приемлемости результатов измерений, полученных в условиях повторяемости
Проверку приемлемости результатов измерений, полученных в условиях повторяемости, проводят следующим образом.
Получают два параллельных результата единичных измерений анализируемой пробы в условиях повторяемости. Вычисляют расхождение между результатами единичных измерений |C1 - C2|, значение которого сравнивают с абсолютным значением предела повторяемости rабс. Абсолютное значение предела повторяемости rабс, мг/дм3, вычисляют по формуле

(25)
где
r - относительное значение предела повторяемости, приведенное в
таблице 9, %;

- среднеарифметическое значение двух результатов единичных измерений, мг/дм
3.
(в ред.
Изменения N 1, введенного в действие Приказом Росстандарта от 27.11.2025 N 1550-ст)
Если для значения абсолютного расхождения между двумя результатами единичных измерений выполняется условие
то оба результата считают приемлемыми и в качестве результата измерений указывают среднеарифметическое значение

, вычисленное по
формуле (17).
При невыполнении условия по формуле (26) проводят повторные измерения, согласно
9.3.
При повторном невыполнении условия по
формуле (26) готовят новые градуировочные растворы по
8.5 -
8.6, выполняют новую градуировку по
9.1 и проводят повторное измерение согласно требованиям
раздела 9.
12.2 Контроль результатов измерений, полученных в условиях воспроизводимости
(подраздел 12.2 в ред.
Изменения N 1, введенного в действие Приказом Росстандарта от 27.11.2025 N 1550-ст)
Проверку приемлемости результатов измерений, полученных в условиях воспроизводимости, проводят следующим образом.
Получают два результата единичных измерений анализируемой пробы в условиях воспроизводимости. Вычисляют расхождение между результатами единичных измерений |C1 - C2|, значение которого сравнивают с абсолютным значением предела воспроизводимости Rабс. Абсолютное значение предела воспроизводимости Rабс, мг/дм3, вычисляют по формуле

, (27)
где
R - относительное значение предела повторяемости, приведенное в
таблице 9, %;

- среднеарифметическое значение двух результатов единичных измерений
C1,
C2, мг/дм
3.
Результат контроля признают удовлетворительным при выполнении условия
|C1 - C2| <= Rабс. (28)
При невыполнении указанного условия контрольные измерения повторяют. При повторном невыполнении указанного условия выясняют причины, приводящие к неудовлетворительным результатам, устраняют их и повторяют измерения.
Контроль точности измерения массовой концентрации вещества проводят путем анализа образца с заранее известным значением массовой концентрации вещества - лабораторного контрольного образца (ЛКО).
В качестве ЛКО может быть использован:
- стандартный образец;
- референсный материал;
- рабочая проба с добавкой.
ЛКО хранят при температуре от 4 до 10 °C в герметически закрытой, запарафиненной посуде не более 6 мес и выбирают таким образом, чтобы с течением времени при хранении в данных условиях он оставался стабильным по массовой концентрации веществ.
Относительное расхождение

, %, между массовой концентрацией вещества

, мг/дм
3 (г/дм
3 для метилового спирта), полученной в результате измерений ЛКО, и известным (приписанным) значением
Xат, мг/дм
3 (г/дм
3 для метилового спирта), вычисляют по формуле

(29)
При этом должно выполняться условие
| | ИС МЕГАНОРМ: примечание. Формула дана в соответствии с официальным текстом документа. | |

(30)
где

- относительная погрешность массовой концентрации определяемого вещества в ЛКО, %;

- относительное значение показателя точности, приведенное в
таблице 9, %.
12.4 Контроль стабильности результатов измерений
Контроль стабильности результатов измерений проводят в соответствии с требованиями ИСО 5725-6 с использованием контрольных карт. Контрольные карты строят по результатам измерений рабочих проб или ЛКО и используют их для проверки стабильности показателей точности.
(справочное)
ХРОМАТОГРАММА ГРАДУИРОВОЧНОГО РАСТВОРА СМЕСИ ВЕЩЕСТВ
Приказом Росстандарта от 27.11.2025 N 1550-ст)
Рисунок А.1
УДК 663.241:543.632.523:543.544.3:006.354 | |
Ключевые слова: альдегиды, эфиры, спирты, коньяки, дистилляты, бренди, метод газовой хроматографии |
(в ред. Изменения N 1, введенного в действие Приказом Росстандарта от 27.11.2025 N 1550-ст) |