Главная // Актуальные документы // Актуальные документы (обновление 01.02.2026 по 01.03.2026) // РуководствоСПРАВКА
Источник публикации
М.: ЦИНИСа Госстроя СССР, 1970
Примечание к документу
Название документа
"Руководство по проектированию свайных фундаментов на подрабатываемых территориях"
"Руководство по проектированию свайных фундаментов на подрабатываемых территориях"
ПО ПРОЕКТИРОВАНИЮ СВАЙНЫХ ФУНДАМЕНТОВ
НА ПОДРАБАТЫВАЕМЫХ ТЕРРИТОРИЯХ
"Руководство по проектированию свайных фундаментов на подрабатываемых территориях" разработано в развитие следующих документов:
Главы
СНиП II-Б.5-67 "Свайные фундаменты. Нормы проектирования" и составленного к нему "
Руководства по проектированию свайных фундаментов";
"Указаний по проектированию зданий и сооружений на подрабатываемых территориях"
(СН 289-64) и составленного к ним "
Руководства по проектированию зданий и сооружений, проектируемых на подрабатываемых территориях";
"Указаний по проектированию бескаркасных крупнопанельных жилых зданий на подрабатываемых территориях" (СН 358-66) и составленного к ним "Руководства по проектированию бескаркасных крупнопанельных жилых зданий, проектируемых на подрабатываемых территориях".
Кроме того, при составлении настоящего "Руководства" учитывались результаты научно-исследовательских работ (экспериментальных в натурных условиях, стендовых, лабораторных и теоретических), опыт проектирования Институтов Донецкпроект, Донецкого филиала Гипрограда, Южгипрошахта, Карагандаоблпроекта и др., строительство зданий и сооружений на свайных фундаментах на территориях, подверженных влиянию горных выработок, положительный опыт экспериментальной подработки двух домов в Ростовской области, а также зарубежные исследования (по литературным источникам).
В целях уменьшения трудоемкости проектирования свайных фундаментов на подрабатываемых территориях в "Руководство" включены соответствующие таблицы и графики. Методика расчетов свайных фундаментов иллюстрируется необходимыми примерами.
В разработке "Руководства" принимали участие:
от НИИ оснований и подземных сооружений - ст. научный сотрудник канд. техн. наук Юшин А.И. (руководитель темы и ответственный исполнитель) и руководитель лаборатории канд. техн. наук Ефремов М.Г.;
от ДонпромстройНИИпроекта - старшие научные сотрудники Братанчук А.И. (ответственный исполнитель), Горбанов А.С., Волынский В.В. и руководитель лаборатории Пушкарев В.В.;
от ВНИМИ - старшие научные сотрудники канд. техн. наук Вырво В.М., Шагалов С.Е. (ответственные исполнители) и руководитель лаборатории канд. техн. наук Муллер Р.А.
В подготовке материалов и в выпуске "Руководства" принимали участие: инженеры Троицкий Г.М., Рамазанова З.Р., ст. техник Овешников А.М. (НИИ оснований), канд. техн. наук Вульф А.Р. и инженер Газулов В.В. (ДонпромстройНИИпроект), канд. техн. наук Клещев П.Е. и инженер Поклад Г.Г. (ВНИМИ).
Для
приложения 1 "Расчет свай с высоким ростверком на горизонтальные перемещения грунта, возникающие при подработке территорий" использован метод, предложенный институтом БашНИИстрой (канд. техн. наук Шахирев В.Б.), который переработан применительно к свайным фундаментам на подрабатываемых территориях.
При подготовке окончательной редакции "Руководства" учтены замечания рецензировавших организаций.
Общее редактирование "Руководства" проведено Темкиным Л.Е. (Госстрой СССР) и Юшиным А.И. (НИИ оснований).
Замечания и предложения по улучшению "Руководства" просьба направлять по адресу: Москва, Ж-389, 2-я Институтская ул., 6, НИИ оснований и подземных сооружений.
1. ОСНОВНЫЕ ПОЛОЖЕНИЯ И ОБЛАСТЬ ПРИМЕНЕНИЯ
СВАЙНЫХ ФУНДАМЕНТОВ
1.1. Настоящее "Руководство" содержит специфические требования, предъявляемые к проектированию свайных фундаментов зданий и сооружений, строящихся на территориях, подверженных влиянию горных выработок.
1.2. Свайные фундаменты на подрабатываемых территориях следует проектировать с учетом требований общесоюзных нормативных документов, в том числе: главы
СНиП II-Б.5-67 "Свайные фундаменты. Нормы проектирования", "Указаний по проектированию зданий и сооружений на подрабатываемых территориях"
(СН 289-64), главы
СНиП II-В.1-62 "Бетонные и железобетонные конструкции. Нормы проектирования" и других действующих нормативных документов, а также требований инструкций Госгортехнадзора СССР и настоящего "Руководства".
1.3. Целесообразность применения свайных фундаментов должна быть обоснована технико-экономическим сравнением вариантов свайных фундаментов с фундаментами других типов.
1.4. Проекты свайных фундаментов на подрабатываемых территориях следует разрабатывать с учетом горно-геологического обоснования, которое должно включать:
расчет ожидаемых деформаций земной поверхности;
геологические данные подрабатываемой толщи.
1.5. Для снижения усилий в свайных фундаментах на подрабатываемых территориях в проектах должны предусматриваться:
разрезка здания или сооружения на отсеки;
рациональные конструктивные схемы сопряжения свай с ростверком;
использование свай с уменьшенной жесткостью.
1.6. Расчет свайных фундаментов должен осуществляться по направлениям продольных и поперечных осей зданий или сооружений с учетом воздействия разнозначных деформаций земной поверхности (относительных горизонтальных деформаций растяжения и сжатия; кривизны выпуклости и вогнутости; наклонов в направлении обоих главных осей).
В качестве расчетных усилий в элементах конструкций фундаментов следует принимать максимальное из возможных сочетаний воздействий.
1.7. Подрабатываемые территории в зависимости от ожидаемых деформаций земной поверхности разделяются на четыре группы
(табл. 1).
Таблица 1
Деление территорий по величине ожидаемой деформации
земной поверхности
Группа подрабатываемой территории | Ожидаемые деформации земной поверхности |
относительные горизонтальные деформации  (или в мм/м) | радиусы кривизны R в км | наклоны i x 103 (или в мм/м) |
I | 12 - 8 | 1 - 3 | 20 - 10 |
II | 8 - 5 | 3 - 7 | 10 - 7 |
III | 5 - 3 | 7 - 12 | 7 - 5 |
IV | 3 - 1 | 12 - 20 | 5 - 3 |
1.8. Свайные фундаменты в зависимости от величины ожидаемых деформаций земной поверхности (см.
табл. 1) можно применять:
а) с висячими сваями - на территориях II - IV групп для любых типов зданий;
б) со сваями-стойками - на территориях III - IV групп для зданий, проектируемых с податливой конструктивной схемой, а для IV группы, - также и для зданий, проектируемых с жесткой конструктивной схемой при искривлении основания.
Применение свайных фундаментов для зданий повышенной этажности (более 5-ти этажей) по условиям максимального наклона земной поверхности ограничивается III и IV группами территорий.
Примечание. Применение свайных фундаментов в перечисленных ниже случаях допускается только при наличии специального технико-экономического обоснования:
на площадках с крутым падением пластов, на которых возможно образование на поверхности земли деформаций в виде уступов и трещин;
для висячих свай - на территориях I группы;
для свай-стоек - на территориях I и II групп.
1.9. Область рационального применения свайных фундаментов по грунтовым условиям над горными выработками:
а) на площадках с насыпными и слабыми грунтами в верхнем уровне геологической толщи для любых типов зданий;
б) на площадках с грунтами средней несущей способности в верхнем уровне геологической толщи (модуль боковой деформации <= 100 кг/см
2) для зданий повышенной этажности, сооружений башенного типа с малой площадью в плане, а также каркасных одноэтажных и многоэтажных зданий на площадках III и IV групп по
табл. 1.
2. ИСХОДНЫЕ ДАННЫЕ ДЛЯ ПРОЕКТИРОВАНИЯ СВАЙНЫХ ФУНДАМЕНТОВ
2.1. В качестве дополнительных исходных данных для проектирования свайных фундаментов на подрабатываемых территориях должны быть заданы ожидаемые максимальные деформации земной поверхности на участке строительства:

- оседание, в мм;

- относительные горизонтальные деформации;
i - наклоны;
R - радиус кривизны, в м или км.
2.2. Расчет деформаций земной поверхности следует производить на основе данных изысканий площадки строительства по методике, приведенной в "Руководстве по расчету зданий и сооружений, проектируемых на подрабатываемых территориях" (Стройиздат, 1968 г.). Этот расчет должен осуществляться специалистами-маркшейдерами, а в особо ответственных случаях - специализированными организациями.
2.3. Расчетные деформации земной поверхности при расчете конструкций свайных фундаментов определяются с учетом коэффициентов перегрузки (n) и коэффициентов условий работы (m), принимаемых в соответствии с требованиями "Указаний по проектированию зданий и сооружений на подрабатываемых территориях" (СН 289-64).
Расчетные деформации земной поверхности в соответствии с главой СНиП II-А.11-62 "Нагрузки и воздействия. Нормы проектирования" относятся к числу особых воздействий, поэтому при расчете элементов конструкций на усилия, вызываемые деформациями земной поверхности, следует вводить коэффициент условий работы 0,8.
3. ТИПЫ СВАЙ И ИХ СОПРЯЖЕНИЕ С РОСТВЕРКОМ
3.1. Для подрабатываемых территорий рекомендуются к применению железобетонные сваи:
а) по способу погружения - забивные или вибропогружаемые;
б) по способу армирования - с ненапрягаемой продольной арматурой и предварительно напряженные со стержневой, проволочной или прядевой продольной арматурой;
в) по форме поперечного сечения - на сваи квадратные, прямоугольные, квадратные с круглой полостью и полые круглые диаметром до 0,8 м;
г) по длине - на цельные и составные (из отдельных секций);
д) по конструкции нижнего конца полых свай - на сваи с открытым и закрытым нижним концом.
Примечания: 1. Сваи прямоугольного поперечного сечения целесообразно устанавливать короткой стороной параллельно продольной оси здания (отсека).
2. Забивные и вибропогружаемые сваи квадратного сечения должны выполняться с продольной арматурой без предварительного напряжения, а с преднапряжением - по ГОСТ 12587-67.
3.2. В зависимости от свойств грунтов, залегающих под нижними концами свай, могут применяться висячие сваи и сваи-стойки.
3.3. Для подрабатываемых территорий рекомендуется применять сваи меньшей жесткости, так как при воздействии горизонтальных деформаций грунта при подработке в них и в ростверках возникают меньшие дополнительные усилия.
3.4. Конструктивные схемы свайных фундаментов в зависимости от характера сопряжения их голов с ростверком разделяются на
(рис. 1):
а) податливые - при шарнирном сопряжении свай с ростверком или сопряжении через шов скольжения;
б) жесткие - при жесткой заделке голов свай в ростверк.
Рис. 1. Схемы сопряжения голов свай с ростверком:
а - жесткая заделка; б - шарнирное сопряжение;
в - сопряжение через шов скольжения; 1 - свая; 2 - ростверк;
3 - выпуски арматуры из свай (l3 - длина заделки
по расчету); 4 - армирование оголовка сваи; 5 - шов
скольжения; 6 - стена; d - ширина поперечного сечения свай;
bо - размер оголовка сваи; N0 - положение равнодействующей
нагрузки на сваю до подработки;

- то же во время
подработки; eo - эксцентриситет нагрузки при подработке
4. ОСНОВНЫЕ УКАЗАНИЯ ПО РАСЧЕТУ СВАЙНЫХ ФУНДАМЕНТОВ
4.1. Расчет свайных фундаментов и их оснований на подрабатываемых территориях производится по предельным состояниям в соответствии с главами
СНиП II-А.10-62 "Строительные конструкции и основания. Основные положения проектирования" и
II-Б.5-67 "Свайные фундаменты. Нормы проектирования" с учетом изменений физико-механических свойств грунтов, а также воздействий деформаций земной поверхности, вызванных подработкой.
4.2. Длина и поперечное сечение свай при заданном их количестве в фундаменте должны определяться:
а) по условию сопротивления грунта основания по боковой поверхности и у нижнего конца сваи (несущей способности) с учетом перераспределения вертикальных нагрузок на отдельные сваи, вызванного искривлением земной поверхности и изменением физико-механических характеристик грунта при обработке площадки;
б) по несущей способности материала свай на внецентренное сжатие и поперечную силу с учетом воздействий деформаций земной поверхности при подработке (горизонтальных деформаций, искривления и наклонов).
Примечание. Предварительный подбор размеров и количества свай по несущей способности материала на центральную нагрузку должен осуществляться с резервом, учитывая окончательный расчет на внецентренное сжатие.
4.3. Ростверки должны рассчитываться на усилия от вертикальных нагрузок с учетом дополнительных нагрузок в горизонтальной и вертикальной плоскостях от воздействия деформаций при подработке.
Примечание. Наземные несущие конструкции зданий и сооружений должны рассчитываться с учетом дополнительных нагрузок, вызванных подработкой - искривления основания, горизонтальных деформаций (для каркасных одноэтажных зданий) и наклонов (для сооружений башенного типа, зданий пониженной этажности и т.д.).
5. РАСЧЕТ СВАИ ПО ГРУНТУ НА ВЕРТИКАЛЬНЫЕ НАГРУЗКИ
5.1. Несущая способность в т забивной сваи-стойки, опирающейся на практически несжимаемый грунт, определяется по формуле
где
k и
m - соответственно коэффициент однородности грунта и коэффициент условий работы, принимаемые по
п. 5.2 главы СНиП II-Б.5-67, произведение которых
km = 0,7;
m1 - коэффициент условий работы, учитывающий изменение прочности основания при подработке, принимается m1 = 0,9;
Rн - нормативное сопротивление грунта в т/м
2 под нижним концом сваи-стойки, принимаемое по указаниям
п. 5.2 главы СНиП II-Б.5-67;
F - площадь поперечного сечения сваи в м2; для полых свай при отсутствии заполнения принимается площадь нетто, при заполнении полости бетоном на высоту не менее трех ее диаметров - площадь брутто.
5.2. Несущая способность в т забивной висячей сваи определяется как сумма расчетных сопротивлений грунтов основания под нижним концом сваи и на ее боковой поверхности по формуле

(2)
m2 - коэффициент условий работы, учитывающий изменение несущей способности грунта по боковой поверхности свай вследствие подработки, принимается по
табл. 2;
m3 - коэффициент условий работы, учитывающий перераспределение нагрузок на сваи при искривлении основания; принимается для жестких зданий (напр. бескаркасных многоэтажных зданий) - m3 = 1,2; для податливых зданий (напр. одноэтажных каркасных с шарнирными, катковыми или скользящими опорами) - m3 = 1,0;
Rн - нормативное сопротивление грунта под нижним концом сваи в т/м
2, принимаемое по
табл. 1 главы СНиП II-Б.5-67;
F - площадь опирания на грунт сваи в м2, принимаемая по площади поперечного сечения сваи брутто;
u - периметр поперечного сечения сваи в м;
- нормативное сопротивление с
i-го слоя грунта основания на боковой поверхности сваи в т/м
2, принимаемое по
табл. 2 главы СНиП II-Б.5-67;
li - толщина i-го слоя грунта, соприкасающегося с боковой поверхностью, в м.
Таблица 2
Коэффициенты условий работы
m2
Вид сопряжения головы сваи с ростверком | Коэффициент условий работы m2 при значениях расчетных перемещений грунта  в см |
<= 2 | 2,1 - 5 | 5,1 - 8 |
Жесткая заделка | 0,9 | 0,8 | - |
Шарнирное сопряжение или шов скольжения | 0,95 | 0,85 | 0,75 |
5.3. В случае применения висячих свай с низким ростверком, опирающимся на грунт, при обеспечении надежного контакта подошвы ростверка с грунтом разрешается при соответствующем обосновании часть вертикальной нагрузки (до 20%) передавать на грунт по подошве ростверка.
6. РАСЧЕТ ДОПОЛНИТЕЛЬНЫХ ВЕРТИКАЛЬНЫХ НАГРУЗОК НА СВАИ
ПРИ ВОЗДЕЙСТВИИ ИСКРИВЛЕНИЯ ОСНОВАНИЯ
6.1. Дополнительные вертикальные нагрузки на сваи, вызванные искривлением основания при подработке, определяются при следующих допущениях:
а) свайные фундаменты из висячих свай и их основание заменяется в соответствии с
п. 7.1 главы СНиП II-Б.5-67 условным фундаментом на естественном основании с размерами подошвы, определяемыми в соответствии с
п. 6.3 настоящего "Руководства";
б) основание условного фундамента принимается линейно-деформируемым с постоянным коэффициентом постели по длине здания (отсека);
в) дополнительные нагрузки на сваи вызываются перераспределением их в результате взаимодействия здания бесконечной жесткости на условных фундаментах с естественным основанием, искривляющимся по цилиндрической поверхности с условным радиусом Rж, определяемым в соответствии с п. 7.49 "Указаний" СН 289-64;
г) расчет производится независимо в направлении продольной и поперечной осей здания.
Примечание: Переход от расчетного радиуса кривизны R к условному Rж позволяет рассматривать здание конечной жесткости абсолютно жестким, что упрощает расчет такого здания на искривленном основании при обеспечении необходимой точности результатов расчета.
6.2. Дополнительная вертикальная нагрузка

на любую сваю, расположенную на расстоянии
x от главной оси фундамента
(рис. 2), при искривлении основания определяется по формуле

(3)
где
Ax - общая длина в м условного фундамента в направлении оси
x, определяемая по
формуле (6);
K - коэффициент постели основания в т/м3 для условного фундамента, определяемый по п. 2.16 "Указаний" СН 289-64;
Jy' - момент инерции в м4 площади подошвы условного фундамента, расположенной по одну сторону от главной оси yy - относительно оси y'y';
xo - расстояние в м от главной оси
yy до центра тяжести рассматриваемой половины фундамента
(рис. 2), определяемое по
формуле (7);
x - расстояние в м от главной оси
yy до оси сваи, для которой вычисляется

;
xi - то же, до оси любой сваи, находящейся на рассматриваемой половине площади условного фундамента;
Rж - условный радиус кривизны основания от влияния горных выработок, учитывающий конечную жесткость здания и определяемый по формуле (10) "Указаний" СН 289-64; при кривизне выпуклости принимается со знаком плюс, а при кривизне вогнутости - со знаком минус;
0,5n - количество свай на рассматриваемой половине свайного фундамента.
Примечание. Для коротких отсеков жестких зданий, имеющих отношение

(где
L - длина отсека,
H - высота здания от подошвы ростверка до карниза) условный радиус
Rж можно принимать равным расчетному радиусу кривизны, определяемому по
п. 7.49 "Указаний" СН 289-64 при
mж = 1.
Рис. 2. Схема замены свайного фундамента условным
на естественном основании и эпюра перераспределения нагрузок
на сваи при кривизне выпуклости: а - здание на искривленном
основании; б - план свайного поля, ростверка и условного
фундамента; в - эпюра перераспределения нагрузок на сваи;
1 - ростверк; 2 - сваи; 3 - условный фундамент
на естественном основании; abecd - эпюра нагрузок на сваи
до искривления оснований; ab'e'c'd - эпюра нагрузок на сваи
при искривлении основания; yy - главная ось; y'y' - ось,
проходящая через центр тяжести половины условного фундамента
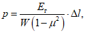
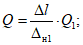
6.3. Размер подошвы условного фундамента в м на естественном основании от одной сваи определяется по формуле

(4)
где d - размер стороны или диаметр поперечного сечения сваи в м;
l - длина сваи в м в грунте;

- средневзвешенное нормативное значение угла внутреннего трения грунта, определяемое по формуле

(5)

- нормативное значение углов внутреннего трения для отдельных пройденных сваями слоев грунта толщиной соответственно
l1,
l2, ...,
ln;
.
Размер aус определяется в двух направлениях - в направлении длины здания и в направлении его ширины.
В случае, если площади условных фундаментов, приходящихся на одну сваю, накладываются с соседними друг на друга (когда
aус больше расстояния между осями соседних свай), то в этом направлении фундамент рассматривается как условный сплошной массив, размер которого определяется по
формуле (6), где вместо
d подставляется расстояние между наружными гранями крайних свай
L +
d (
рис. 2,
б)

(6)
6.4. Расстояние от главной оси yy до центра тяжести рассматриваемой площади условного фундамента y'y' определяется по формуле

(7)
где
F - площадь в м
2 рассматриваемой половины условного фундамента (на
рис. 2 заштрихована);
Sy - статический момент в м3 площади F относительно главной оси yy.
6.5. Дополнительные обобщенные усилия в вертикальной плоскости коробки здания в любом сечении X, вызванные искривлением основания, определяются по формулам

(8)

(9)
где

- дополнительная нагрузка в т с учетом ее знака на
i-ю сваю, определяемая по
формуле (3);
k - количество сваи на участке 0,5
L -
x (рис. 2), где
L - расстояние между осями крайних свай, равное, как правило, длине отсека.
Примечания: 1. Элементы несущих конструкций здания (стеновые пояса, ростверк и простенки) на обобщенные усилия следует рассчитывать в соответствии с "Руководством по расчету зданий и сооружений, проектируемых на подрабатываемых территориях" (Стройиздат, 1968 г.).
2. Дополнительные нагрузки на сваи и обобщенные усилия в коробке здания на воздействие искривления основания в поперечном направлении, когда образующая цилиндрической поверхности с условным радиусом
Rж параллельна главной оси отсека
xx, следует определять по
формулам (3) -
(9) настоящего "Руководства" с заменой в них индексов
x на
y.
7. РАСЧЕТ СВАЙ НА ВОЗДЕЙСТВИЕ ГОРИЗОНТАЛЬНЫХ ДЕФОРМАЦИЙ
ПРИ ПОДРАБОТКЕ
7.1. Под воздействием горизонтальных деформаций грунта, вызванных подработкой, в сваях возникают дополнительные усилия вследствие работы их на изгиб под влиянием бокового давления грунта. Характер изгиба свай и величины возникающих в них усилий, передающихся на ростверк, зависят не только от величины перемещений грунта, но и от способа сопряжения свай с ростверком, способа устройства ростверка (низкий или высокий), способа передачи нагрузки на основание, жесткости свай и модуля боковой (горизонтальной) деформации основания.
7.2. Сопряжение свай с ростверком допускается осуществлять следующими способами:
а) жесткой заделкой (
рис. 3,
а);
б) шарнирным сопряжением (
рис. 3,
б);
в) сопряжением через шов скольжения (
рис. 3,
в).
Рис. 3. Схемы взаимодействия сваи (при низком ростверке)
и грунта при горизонтальных перемещениях грунта

, вызванных
подработкой: а - при жесткой заделке голов свай в ростверк;
б - при шарнирном сопряжении голов свай с ростверком;
в - при сопряжении через шов скольжения; 1 - деформации сваи
и грунта (заштрихована эпюра обжатия грунта); 2 - эпюра
бокового давления грунта на сваю; 3 - эпюра поперечных сил
в свае; 4 - эпюра изгибающих моментов в свае; l - длина
сваи;
lр и

- расчетная длина до нулевой точки;

- перемещение сваи от поворота оголовка на угол

;
bо;
7.3. Дополнительные горизонтальные нагрузки на висячие сваи при низком ростверке под воздействием горизонтальных деформаций грунта и усилия в них определяются при следующих допущениях:
а) основание в горизонтальном направлении принимается линейно-деформируемым с постоянным модулем боковой деформации грунта, определяемым по
п. 7.5 настоящего "Руководства";
| | ИС МЕГАНОРМ: примечание. В официальном тексте документа, видимо, допущена опечатка: рисунок 3.2 отсутствует. Возможно, имеется в виду рисунок 3. | |
б) ординаты эпюры бокового давления грунта на сваю принимаются пропорциональными величине горизонтального обжатия грунта сваей, получающегося в результате взаимодействия деформирующегося грунта с упругой сваей с учетом ее жесткости и граничных условий - характера сопряжения свай с ростверком, положения нулевой точки и вертикального обжатия грунта по подошве ростверка
(рис. 3.2);
в) максимальная ордината эпюры бокового давления грунта принимается пропорциональной расчетному перемещению грунта, определяемому для данной сваи по
формуле (11); в нулевой точке, где прогиб сваи равен заданному перемещению, боковое давление принимается равным нулю, ниже нулевой точки учитывается реакция грунта другого знака.
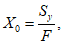
7.4. Величину максимального бокового давления грунта на сваю
p в т/п.м при низком ростверке
(рис. 3) определяют по формуле

(10)
где
Eг - модуль горизонтальной (боковой) деформации грунта в т/м
2, определяемый по
п. 7.5;

- коэффициент Пуассона грунта, принимаемый для песков и супесей

; суглинков

и глин

;

- расчетное горизонтальное перемещение грунта в м, определяемое по формуле

(11)

и

- коэффициент перегрузки и коэффициент условий работы для относительных горизонтальных деформаций, принимаемые по
табл. 2 и
3 "Указаний" СН 289-64;

- ожидаемая величина относительной горизонтальной деформации (определяется по маркшейдерскому расчету);
x - расстояние в м от оси отсека до рассматриваемой сваи (
рис. 14 и
15); 0 <=
x <= 0,5
L;
W - коэффициент, принимаемый по
табл. 3 в зависимости от отношения

, где
l и
d - то же, что и в
формуле (4).
Таблица 3
Отношение длины сваи к размеру ее поперечного сечения в направлении перемещения грунта | 5 | 6 | 7 | 8 | 9 | 10 | 20 | 30 | 40 | 50 |
Коэффициент W | 1,83 | 1,96 | 2,04 | 2,12 | 2,19 | 2,25 | 2,64 | 2,88 | 3,07 | 3,22 |
7.5. Модуль горизонтальной (боковой) деформации грунта рекомендуется принимать в размере 50% от величины модуля вертикальной деформации, определяемого на глубине 0,8 - 1,2 м от предполагаемого уровня подошвы ростверка, а при высоком ростверке - от планировочной отметки или отметки пола подвала.
7.6. Длину участка сваи до нулевой точки (
рис. 3,
а и
3,
б) определяют по формуле

(12)
где
B - жесткость сваи в тм
2, определяемая по
п. 9.10 настоящего "Руководства";

- коэффициент, учитывающий характер заделки головы сваи в ростверк и упругой линии сваи, принимается: при жесткой заделке и сопряжении через шов скольжения

, при шарнирном сопряжении

.
7.7. Максимальные усилия в висячих сваях - поперечная сила Q в т и изгибающий момент M в тм при низком ростверке определяются по формулам:
а) при жесткой заделке свай с ростверком (
рис. 3,
а)

(13)

(14)
б) при шарнирном сопряжении голов свай с ростверком (
рис. 3,
б)

(15)

(16)
в) при сопряжении свай с ростверком через шов скольжения (
рис. 3,
в)

(17)

(18)
где

(19)

(20)
bо - размер оголовка сваи в м по направлению перемещения

;

- пластическое обмятие шва скольжения при внецентренной передаче нагрузки на оголовок, рекомендуется принимать

;

- перемещение сваи в уровне нулевой точки за счет поворота оголовка на угол

при действии момента (
рис. 3,
в);
p - максимальная погонная боковая нагрузка на сваю, определяемая по
формуле (10);
Примечание. При определении максимальных усилий в сваях, имеющих сопряжение с ростверком через шов скольжения, в
формулах (17) -
(19) учитывается поворот оголовка сваи за счет обмятия шва скольжения, который определяется по
формуле (20).
7.8. При применении шва скольжения следует определять предельные усилия исходя из возможности сдвига головы сваи относительно ростверка (
Qпр) и ее поворота относительно ребра оголовка (
Mпр) по формулам:
где f - коэффициент трения по шву скольжения, принимаемый по табл. 5 "Указаний" СН 289-64;
Nв - вертикальная нагрузка на сваю в т.
7.9. Максимальные расчетные усилия в сваях при жесткой заделке и шарнирном сопряжении в свайных фундаментах с низким ростверком можно определять через единичные усилия

в т и

в тм, получаемые при

. В этом случае расчетные усилия в т и тм определяются по формулам:

(23)

(24)
где

- абсолютная величина расчетного перемещения грунта, определяемая по
формуле (11) и выраженная в см.
На графиках
рис. 4 и
5 приводятся кривые единичных усилий

и

в сваях квадратного сечения из бетона проектной марки по прочности на сжатие 200 при шарнирном сопряжении и жесткой заделке в ростверк для грунтов - суглинка, супеси или песка с

; жесткость свай определена с учетом раскрытия в них трещин.
Рис. 4. Графики единичных усилий

и

в сваях
при определении их жесткости с учетом образования трещин
в зависимости от модуля боковой деформации грунта
при шарнирном сопряжении голов свай с ростверком
(при

и проектной марке бетона
R = 200)
Рис. 5. Графики единичных усилий

и

в сваях
при определении их жесткости с учетом образования трещин
в зависимости от модуля боковой деформации грунта
при жесткой заделке голов свай в ростверк
(при

и проектной марке бетона
R = 200)
На графиках
рис. 6 и
7 приводятся аналогичные графики единичных усилий

и

для тех же условий, но когда трещины в сваях не образуются.
2. Графиками
рис. 4 -
7 допускается пользоваться в случаях, когда суммарный процент армирования свай продольной арматурой

составляет 0,8 - 2,2%. Если это условие не выдерживается, то расчеты необходимо осуществлять по
формулам (13) -
(18).
Рис. 6. Графики единичных усилий

и

в сваях
при определении их жесткости без учета раскрытия трещин
в зависимости от модуля боковой деформации грунта
при шарнирном сопряжении голов свай в ростверк
(при

и проектной марке бетона
R = 200)
Рис. 7. Графики единичных усилий

и

в сваях
при определении их жесткости без учета раскрытия трещин
в зависимости от модуля боковой деформации грунта
при жесткой заделке голов свай в ростверк
(при

и проектной марке бетона
R = 200)
7.10. Для свай-стоек при низком ростверке максимальные усилия в сваях допускается определять: при жесткой заделке голов свай в ростверк - по
формулам (13) и
(14); при шарнирном сопряжении свай с ростверком - по
формулам (15) и
(16), а при сопряжении через шов скольжения - по
формулам (17) и
(18).
7.11. При применении ростверка с подошвой, не опирающейся на грунт (свайные фундаменты с высоким ростверком) и шарнирной заделке голов свай в ростверк расчет свай на горизонтальные перемещения грунта следует производить по
приложению 1 настоящего "Руководства". В данном случае прогиб свободной части сваи и обжатие грунта в уровне его поверхности
(рис. 18) в сумме должны равняться заданному перемещению грунта для данной сваи, определяемому по
формуле (11).
Максимальные усилия в свае допускается определять по формулам

(25)

(26)
где

- расчетное горизонтальное перемещение грунта в м для сваи, определяемое по
формуле (11);

- полный прогиб сваи в м в уровне ее заделки в ростверк, определяемый при единичном обжатии грунта сваей в уровне поверхности грунта (при

)

(27)
fк1 - дополнительный прогиб свободного конца сваи в м;
Q1;
M1 - максимальные усилия в свае, определяемые по
приложению 1 при единичном обжатии грунта

.
Элементы ростверка должны быть рассчитаны на опорные реакции
T =
Q согласно
разделу 8 настоящего "Руководства".
Дополнительные вертикальные нагрузки на сваи и обобщенные усилия в коробке здания от искривления основания в данном случае следует определять по
разделу 6 настоящего "Руководства".
7.12. С учетом воздействий деформаций земной поверхности, вызванных подработкой, несущую способность свай по материалу следует определять расчетом на внецентренное сжатие и на поперечную силу. Приведенные (расчетные) поперечную силу и изгибающий момент в сваях определяют по
формулам (34) и
(35), а приведенную (расчетную) вертикальную нагрузку - по
формуле (33).
Для уменьшения трудоемкости расчетов подбор сечений арматуры внецентренно нагруженных свай, выполняемых без предварительного напряжения, допускается производить с помощью графиков (
рис. 8 -
12), на которых приведены предельно допустимые значения изгибающих моментов в сваях (
M в тм) в зависимости от отношения приведенной минимальной продольной нагрузки на сваю (
Nмин в т), определяемой при расчете на внецентренное сжатие по
п. 9.9 настоящего "Руководства", к предельной нагрузке на сваю
No при центральном сжатии для данного сечения сваи и его армировании 4 стержнями при проектной марке бетона 200 или 300 и классе арматурой стали А-I или А-II (сваи сечением 35 x 35 и 40 x 40 см армируются 8 стержнями).
Рис. 8. Предельные изгибающие моменты в сваях с поперечным
сечением 20 x 20 см при армировании 4 стержнями в углах
свай: а - из бетона марки 200 и арматуры класса А-I;
б - то же и арматуры класса А-II; в - из бетона марки 300
и арматуры класса А-II; No - расчетная нагрузка на сваи
при центральном сжатии; N - допустимая нагрузка
при внецентренном сжатии
Рис. 9. Предельные изгибающие моменты в сваях с поперечным
сечением 25 x 25 см при армировании 4 стержнями в углах
свай: а - из бетона марки 200 и арматуры класса А-I;
б - то же и арматуры класса А-II; в - из бетона марки 300
и арматуры класса А-II; No - расчетная нагрузка на сваю
при центральном сжатии; N - допустимая нагрузка
при внецентренном сжатии
Рис. 10. Предельные изгибающие моменты в сваях с поперечным
сечением 30 x 30 см при армировании 4 стержнями в углах
свай: а - из бетона марки 200 и арматуры класса А-I;
б - то же и арматуры класса А-II; в - из бетона марки 300
и арматуры класса А-II; No - расчетная нагрузка на сваю
при центральном сжатии; N - допустимая нагрузка
при внецентренном сжатии
Рис. 11. Предельные изгибающие моменты в сваях с поперечным
сечением 35 x 35 см при армировании 8 стержнями:
а - из бетона марки 200 и арматуры класса А-I; б - то же
и арматуры класса А-II; в - из бетона марки 300 и арматуры
класса А-II; No - расчетная нагрузка на сваю при центральном
сжатии; N - допустимая нагрузка при внецентренном сжатии
Рис. 12. Предельные изгибающие моменты в сваях с поперечным
сечением 40 x 40 см при армировании 8 стержнями:
а - из бетона марки 200 и арматуры класса А-I; б - то же
и арматуры класса А-II; в - из бетона марки 300 и арматуры
класса А-II; No - расчетная нагрузка на сваю при центральном
сжатии; N - допустимая нагрузка при внецентренном сжатии
8. РАСЧЕТ РОСТВЕРКА С УЧЕТОМ ДОПОЛНИТЕЛЬНЫХ УСИЛИЙ
ОТ ПОДРАБОТКИ
8.1. На ростверк свайного фундамента передается комплекс нагрузок и усилий:
а) от вертикальных нагрузок ростверк работает на изгиб
(рис. 13). Усилия от них следует определять по указаниям соответствующих нормативных документов, например, при несущих кирпичных и крупнообломочных стенах - по главе
СНиП II-В.2-62 "Каменные и армокаменные конструкции. Нормы проектирования", при несущих панелях - по рекомендациям "
Руководства по проектированию свайных фундаментов (в развитие главы
СНиП II-Б.5-67)";
б) от искривления основания при подработке происходит перераспределение нагрузок на сваи, вследствие чего он работает на изгиб (см.
рис. 2) совместно со зданием;
в) от воздействия горизонтальных деформаций основания работа ростверка зависит от характера сопряжения свай с ростверком, а именно:
при шарнирном сопряжении свай с ростверком и при сопряжении свай через шов скольжения - на ростверк передаются горизонтальные нагрузки, равные максимальным поперечным силам в сваях; вследствие этого продольные элементы ростверка работают на осевое растяжение или осевое сжатие, а элементы в поперечном направлении на изгиб в горизонтальной плоскости
(рис. 14) и кручение;
при жесткой заделке свай - на ростверк передаются не только опорные реакции, но и изгибающие моменты от свай; вследствие этого продольные элементы ростверка работают на внецентренное растяжение или внецентренное сжатие, а элементы ростверка под поперечными стенами - на изгиб и кручение
(рис. 15).
Рис. 13. Вертикальные нагрузки и усилия в ростверке:
а - план свайного поля; б - схема нагрузок, действующих
на ростверк (q1 - равномернораспределенная от собственного
веса и от перекрытия над подвалом; q2 - от стен
и перекрытий); в и г - эпюры Q1 и M1 от нагрузки q1;
д и е - эпюры Q2 и M2 от нагрузки q2;
Nb - опорная реакция в сваях
Рис. 14. Нагрузки и усилия в ростверке от воздействия
горизонтальных деформаций растяжения основания при шарнирном
сопряжении свай с ростверком: а - план свайного поля;
б - эпюра перемещений основания

;
в - схема нагрузок,
действующих на ростверк; г - эпюра продольных усилий
в ростверке
Рис. 15. Нагрузки и усилия в ростверке от воздействия
горизонтальных деформаций растяжения основания при жесткой
заделке голов свай в ростверк: а - план свайного поля;
б - эпюра перемещения основания

;
в - схема нагрузок,
действующих на ростверк; г - эпюра усилий в ростверке;
д - эпюра изгибающих моментов в ростверке
Помимо этого на ростверк действуют усилия от ветровой нагрузки и от наклонов земной поверхности, вызванных подработкой.
8.2. Обобщенные усилия ([M] и [Q]), вызываемые искривлением основания, распределяются по элементам конструкций коробки здания в соответствии с "Руководством по расчету зданий и сооружений, проектируемых на подрабатываемых территориях", а для крупнопанельных зданий по "Руководству по расчету бескаркасных крупнопанельных жилых зданий, проектируемых на подрабатываемых территориях".
8.3. Ростверк следует рассчитывать на внецентренное растяжение (или внецентренное сжатие) на следующие сочетания:
а) от вертикальных нагрузок
(рис. 13) и усилий, возникающих от искривления основания при подработке (см.
рис. 2);
б) от вертикальных нагрузок
(рис. 13) и усилий, возникающих от воздействия горизонтальных деформаций при подработке (
рис. 14 и
15).
Примечание. Усилия, возникающие от подработки территории, следует принимать с коэффициентом 0,8.
8.4. Продольное усилие в ростверке в любом сечении независимо от вида сопряжения сваи с ростверком (
рис. 14 и
15) при воздействии горизонтальных деформаций основания определяют по формуле

(28)
где Ti - горизонтальная опорная реакция i-й сваи, находящейся на расчетном участке ростверка;
Tin - часть опорной реакции от i-й сваи, находящейся на примыкающей поперечной оси расчетного участка ростверка;
k и n - количество свай на участке от 0,5L до x.
8.5. При жесткой заделке свай в ростверк эпюру изгибающих моментов в сваях, вызванных горизонтальными деформациями основания, допускается принимать по схеме
рис. 15,
д. При этом от крайних свай момент на ростверк передается однозначно, а от промежуточных разбивается на положительный и отрицательный по 50%.
Примечание: Крутящие моменты от промежуточных свай, находящихся на примыкающих элементах ростверка, должны добавляться к соответствующим изгибающим моментам от свай в данном сечении ростверка.
8.6. При передаче горизонтальных опорных реакций от промежуточных свай на примыкающие (поперечные) элементы ростверка следует учитывать изгиб этих элементов ростверка и кручение.
Крутящие моменты определяют по формуле
Mкр = 0,8(0,5Tih + k·Mi); (29)
где Ti - опорная реакция от i-й сваи, равная максимальной поперечной силе;
h - высота ростверка;
Mi - опорный изгибающий момент в i-й свае, имеющей жесткую заделку в ростверк (для шарнирного сопряжения и шва скольжения Mi = 0);
k - коэффициент, учитывающий распределение крутящего момента между участками пролета ростверка (допускается принимать аналогично распределению поперечной силы в простой балке от сосредоточенной нагрузки, равным отношению длины противоположного участка к общей длине пролета ростверка).
Усилия в примыкающих элементах ростверка (эпюры Q и M) от опорных реакций свай следует определять как в балке с жестко заделанными опорами под воздействием сосредоточенных нагрузок.
8.7. При устройстве между фундаментами каркасных зданий связей-распорок и отделении ростверка от фундаментов швом скольжения
(рис. 16) продольные усилия в связях-распорках в любом сечении
x, передаваемые от ростверка, определяются по формуле

(30)
где Ti - усилие в шве скольжения на куст свай от i-й колонны, определяемое по формуле

(31)
f - коэффициент трения по шву скольжения, принимаемый по табл. 5 "Указаний" СН 289-64;

- вертикальная нормативная нагрузка от
i-й колонны на сваю в уровне шва скольжения;
k - количество колонн на участке от 0,5L до x;
m - коэффициент условий работы, учитывающий неодновременность сдвига ростверка по шву скольжения, принимаемый: при k = 1; m = 1; при k = 2 m = 0,85; k = 3 m = 0,7; при k = 4 m = 0,6; k >= 5 m = 0,5.
Рис. 16. Схема свайного фундамента для каркасного здания
при наличии связей-распорок в двух направлениях и ростверка,
отделенного от фундаментов швом скольжения: а - план;
б - разрез; в - эпюра продольных усилий в связях-распорках;
1 - колонны; 2 - фундаменты; 3 - связи-распорки;
4 - ростверк; 5 - сваи; 6 - шов скольжения
Горизонтальную опорную реакцию в отдельной свае (максимальную поперечную силу) независимо от характера сопряжения сваи с ростверком определяют по формуле

(32)
ni - количество свай в кусте под i-й колонной.
Примечания: 1. Величину изгибающего момента в свае допускается определять по величине поперечной силы в зависимости от характера сопряжения свай с ростверком с использованием графиков единичных усилий (
рис. 4 -
7).
2. В связях-распорках следует дополнительно учитывать усилия от воздействия сдвигающегося грунта на лобовую и боковую поверхности фундаментов в соответствии с "Руководством по расчету зданий и сооружений, проектируемых на подрабатываемых территориях".
9. ПРОЕКТИРОВАНИЕ СВАЙНЫХ ФУНДАМЕНТОВ
НА ПОДРАБАТЫВАЕМЫХ ТЕРРИТОРИЯХ
9.1. Свайные фундаменты зданий и сооружений на подрабатываемых территориях следует проектировать исходя из условия передачи от них на ростверк и другие конструкции возможно меньших дополнительных усилий.
9.2. Для выполнения условия, указанного в
п. 9.1, рекомендуется применять:
а) разрезку здания или сооружения на отсеки для уменьшения горизонтальных перемещений грунта;
б) висячие сваи;
в) сваи возможно меньшего поперечного сечения, обладающие меньшей жесткостью;
г) сваи из легкого бетона;
д) сопряжение свай с ростверком - шарнирное или в виде шва скольжения.
Примечания. 1. При разрезке зданий и сооружений на отсеки между ними следует предусматривать зазоры, размеры которых определяют по формулам (7) и (8) "Указаний" СН 289-64. Зазоры должны быть свободными по всей высоте здания от посторонних предметов (оставлять в них опалубку при бетонировании ростверка не допускается).
2. Для зданий с жесткой конструктивной схемой возможность применения свай-стоек из условия воздействия искривления основания ограничивается по области ожидаемых деформаций (см.
п. 1.8, б).
3. Сваи из легкого бетона, изготовляемые на основе керамзита, допускается применять лишь в случаях, когда свайные фундаменты с такими сваями экономичнее свайных фундаментов со сваями из тяжелого бетона.
9.3. В целях снижения усилий в сваях и в элементах ростверка, а также обеспечения пространственной устойчивости свайных фундаментов и здания в целом рекомендуется часть свай свайного поля в районе действия небольших перемещений грунта применять с жесткой заделкой, а остальные с шарнирной или с сопряжением через шов скольжения
(рис. 17).
Рис. 17. Схемы свайных фундаментов с комбинированной
заделкой голов свай в ростверк: а - свайное поле при плитном
ростверке; б - свайное поле при ленточном ростверке;
1 - сваи с жесткой заделкой голов в ростверк; 2 - сваи
с шарнирной заделкой голов в ростверк или с сопряжением
через шов скольжения
9.4. Сопряжение свай с ростверком следует выбирать на основании технико-экономического сравнения вариантов, имея в виду в первую очередь уменьшение усилий в несущих конструкциях и сокращение расхода стали.
9.5. Рекомендуется следующие ориентировочные области применения свай, имеющих различные типы сопряжения с ростверком в зависимости от ожидаемых горизонтальных перемещений грунта

(см.
п. 7.4):
а) при жесткой заделке - до 2 см;
б) при шарнирном сопряжении - до 5 см;
в) при сопряжении через шов скольжения - до 8 см.
9.6. Для каркасных одноэтажных зданий, в которых не предусматривается устройство связей-распорок между фундаментами или при небольших ожидаемых перемещениях грунта, допускается любое сопряжение свай с ростверком. Под колоннами блоков пространственной устойчивости должны, как правило, применяться сваи с жесткой заделкой голов в ростверк.
9.7. Для каркасных зданий, в которых предусматривается устройство связей-распорок между фундаментами, рекомендуется шарнирное сопряжение свай с плитным ростверком, отделяемым от фундаментов швом скольжения
(рис. 16). При жесткой заделке свай в ростверк в них в данном случае возникают одинаковые поперечные силы как при шарнирном сопряжении, но более высокие значения изгибающих моментов (см.
п. 8.7) в сваях.
9.8. При применении свайных фундаментов с высоким ростверком в бетонных полах или других жестких конструкциях, устраиваемых на поверхности грунта, следует предусматривать зазор по всему периметру свай шириной не менее 5 см на всю толщину жесткой конструкции. Заделку зазора рекомендуется выполнять пластичными или эластичными материалами, не создающими жесткой опоры свай при воздействии горизонтальных перемещений грунта.
Примечание. Бетонные и другие жесткие полы на грунте в соответствии с требованиями п. 6.26 "Указаний" СН 289-64 следует разрезать на прямоугольники со сторонами до 6 м с заделкой зазоров битумной мастикой.
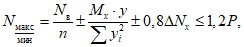
9.9. Приведенные (расчетные) максимальную (
Nмакс) и минимальную (
Nмин) вертикальные нагрузки на сваю в свайном фундаменте здания или сооружения, нормальные к плоскости подошвы ростверка, рекомендуется определять по невыгодным сочетаниям основных и дополнительных нагрузок, действующих в направлении продольной и поперечной главных осей. Такими сочетаниями с учетом воздействий деформаций земной поверхности от влияния горных выработок являются сочетания, определяемые по формуле:

(33)
где Nв - расчетная вертикальная нагрузка в т от всего отсека здания;
n - общее количество свай в отсеке;
Mx - момент в вертикальной плоскости в тм относительно продольной оси
xx, действующий в плоскости поперечной оси с учетом ветровой нагрузки и наклона земной поверхности от подработки (схема осей приводится на
рис. 2,
б);

- дополнительная вертикальная нагрузка на сваю в т, определяемая по
формуле 3 настоящего "Руководства" при искривлении основания по цилиндрической поверхности с образующими параллельно поперечной оси (соответствует
рис. 2);
yi - расстояние в м от главной продольной оси xx отсека до оси каждой сваи в поперечном направлении;
y - то же, до оси сваи, для которой вычисляется нагрузка;
P - несущая способность сваи в т, определяемая по данным
раздела 5 настоящего "Руководства";
0,8 - коэффициент, учитывающий особую нагрузку от воздействия подработки;
1,2 - коэффициент, учитывающий перегрузку отдельных свай в соответствии с требованиями
п. 9.5 главы СНиП II-Б.5-67.
Примечания. 1. Максимальные и минимальные вертикальные нагрузки возникают в угловых сваях по контуру отсека здания, а также в крайних сваях, расположенных по главным осям.
2. Сваи рассчитывают на максимальные вертикальные нагрузки по несущей способности по грунту, а на минимальные вертикальные нагрузки - по несущей способности на внецентренное сжатие.
9.10. Приведенные (расчетные) поперечную силу
Qр и изгибающий момент
Mр в свае определяют по формулам
Mр = 0,8
M +
Mo +
Mв, (35)
где
Q и
M - поперечная сила и изгибающий момент в свае от воздействия горизонтальных деформаций, определяемые по указаниям
раздела 7 настоящего "Руководства";
Qo и Mo - поперечная сила в т и изгибающий момент в тм в свае от всех воздействий и нагрузок, в том числе ветровой и наклона земной поверхности при подработке;
Mв - дополнительный изгибающий момент в тм от вертикальных нагрузок, учитываемый в сваях с высоким ростверком при их изгибе от воздействия горизонтальных перемещений грунта при подработке, определяемый по формуле

(36)
Nмин - минимальная вертикальная нагрузка на сваю в т, определяемая по
формуле (33);
0,8; 0,7 - понижающие коэффициенты, учитывающие особую нагрузку и заделку сваи в грунте;
Величину изгибающего момента Mo от воздействия ветровой нагрузки и наклона земной поверхности при подработке в жестком здании допускается приближенно определять по формуле

(37)
где Qo - приведенная величина поперечной силы на одну сваю от ветровой нагрузки и наклона земной поверхности.
Значения
Q и
M в
формуле (37) следует принимать в зависимости от схемы сопряжения свай с ростверком по
формулам (13) -
(16) или по величине единичных усилий по графикам, приведенным на
рис. 4 -
7.
9.11. Изгибную жесткость B свай прямоугольного сечения с учетом длительного действия нагрузок при подработке и возможного образования трещин допускается определять по формуле

(38)
Изгибную жесткость B свай, в которых не образуются трещины, рекомендуется определять с учетом длительного действия нагрузки по формуле

(39)
Eб - модуль упругости бетона в т/м2;
Jп - момент инерции в м4 приведенного сечения сваи с учетом продольной арматуры;
p - коэффициент, определяемый по
табл. 4;
d и ho - ширина и рабочая высота поперечного сечения сваи в м в плоскости изгиба;
C - коэффициент, учитывающий увеличение деформаций от ползучести бетона; рекомендуется принимать C = 1,5.
Примечания. 1.
Формулы (38) и
(39) приняты по соответствующим формулам "
Руководства по проектированию железобетонных конструкций без предварительного напряжения" (Стройиздат, 1968 г.).
где
Mр - приведенный изгибающий момент в свае, определяемый по
формуле (35);
Mт - момент трещинообразования.
3. При невыполнении
условия (40) жесткость сваи
B может определяться также по
формуле (4.1) "Руководства по проектированию железобетонных конструкций без предварительного напряжения".

(41)

(42)

(43)
где

- нормативное сопротивление бетона сжатию при изгибе в т/м
2;
Fа;

- сечения продольной арматуры растянутой и сжатой (принимается

);
Eа; Eб - модули упругости продольной арматуры и бетона в т/м2;
V - коэффициент, принимаемый при длительном действии нагрузки равным 0,15;
Таблица 4
Коэффициент
P для расчета на изгиб свай
прямоугольного поперечного сечения
Коэффициенты | Коэффициент P при произведении  , равном |
| L | 0,040 | 0,055 | 0,07 | 0,10 | 0,15 | 0,20 | 0,25 | 0,3 |
0,2 | 0,06 | 0,026 | 0,031 | 0,035 | 0,043 | 0,051 | 0,057 | 0,062 | 0,066 |
0,08 | 0,023 | 0,028 | 0,032 | 0,04 | 0,048 | 0,054 | 0,059 | 0,063 |
0,1 | 0,022 | 0,027 | 0,032 | 0,039 | 0,047 | 0,053 | 0,058 | 0,062 |
0,15 | - | 0,026 | 0,031 | 0,038 | 0,046 | 0,052 | 0,057 | 0,061 |
0,2 | - | 0,025 | 0,03 | 0,037 | 0,045 | 0,051 | 0,056 | 0,06 |
0,3 | - | - | - | 0,036 | 0,044 | 0,05 | 0,054 | 0,058 |
0,37 | 0,04 | 0,031 | 0,038 | 0,043 | 0,052 | 0,063 | 0,070 | 0,076 | 0,080 |
0,08 | 0,027 | 0,034 | 0,040 | 0,048 | 0,058 | 0,065 | 0,072 | 0,076 |
0,10 | 0,025 | 0,032 | 0,037 | 0,047 | 0,056 | 0,064 | 0,070 | 0,075 |
0,15 | - | 0,031 | 0,036 | 0,045 | 0,055 | 0,063 | 0,068 | 0,073 |
0,20 | - | 0,030 | 0,035 | 0,044 | 0,054 | 0,062 | 0,067 | 0,072 |
0,40 | - | - | - | - | 0,053 | 0,061 | 0,066 | 0,071 |
0,4 | 0,06 | 0,032 | 0,039 | 0,045 | 0,054 | 0,065 | 0,072 | 0,078 | 0,083 |
0,08 | 0,028 | 0,035 | 0,041 | 0,049 | 0,06 | 0,067 | 0,074 | 0,079 |
0,1 | 0,026 | 0,033 | 0,038 | 0,047 | 0,058 | 0,066 | 0,072 | 0,077 |
0,15 | - | 0,032 | 0,037 | 0,046 | 0,057 | 0,065 | 0,07 | 0,075 |
0,02 | - | 0,032 | 0,037 | 0,045 | 0,056 | 0,065 | 0,07 | 0,075 |
0,4 | - | - | - | - | 0,055 | 0,063 | 0,068 | 0,073 |
0,6 | 0,06 | 0,037 | 0,045 | 0,052 | 0,069 | 0,076 | 0,084 | 0,093 | 0,099 |
0,08 | 0,032 | 0,040 | 0,047 | 0,057 | 0,069 | 0,078 | 0,087 | 0,094 |
0,1 | 0,029 | 0,037 | 0,044 | 0,054 | 0,065 | 0,075 | 0,084 | 0,091 |
0,15 | - | 0,035 | 0,042 | 0,053 | 0,064 | 0,073 | 0,083 | 0,088 |
0,2 | - | - | 0,042 | 0,052 | 0,063 | 0,073 | 0,083 | 0,088 |
0,4 | - | - | - | - | 0,063 | 0,072 | 0,082 | 0,088 |
0,8 | 0,06 | 0,04 | 0,050 | 0,058 | 0,071 | 0,087 | 0,098 | 0,106 | 0,114 |
0,08 | 0,034 | 0,044 | 0,052 | 0,064 | 0,08 | 0,092 | 0,1 | 0,107 |
0,1 | 0,031 | 0,040 | 0,048 | 0,06 | 0,075 | 0,087 | 0,096 | 0,103 |
0,15 | - | 0,037 | 0,045 | 0,058 | 0,073 | 0,084 | 0,093 | 0,1 |
0,2 | - | - | 0,045 | 0,058 | 0,073 | 0,084 | 0,093 | 0,1 |
0,4 | - | - | - | - | 0,072 | 0,083 | 0,091 | 0,099 |
9.12. Сваи для подрабатываемых территорий рекомендуется изготовлять из тяжелого бетона или керамзитобетона (см.
п. 9.2) проектной марки по прочности на сжатие без предварительного напряжения 200 или 300, преднапряженные - 300 или 400. Для продольной арматуры рекомендуется применять сталь классов А-II и А-I, а преднапряженную - классов А-IV и А-III или проволоку по
ГОСТ 8480-63, или проволочные пряди.
9.13. Поперечную арматуру рекомендуется проектировать спиральной или в виде хомутов, приваренных к продольной арматуре контактной точечной сваркой. Шаг и сечение поперечной арматуры следует определять расчетом на восприятие поперечной силы в соответствии с указаниями главы СНиП II-В.1-62. При этом следует иметь в виду, что максимальная поперечная сила действует в зоне заделки сваи в ростверк (при высоком ростверке зона действия максимальной поперечной силы соответственно увеличивается). Для поперечной арматуры следует предусматривать холоднотянутую проволоку по ГОСТ 6727-53 или катанку из стали класса А-I.
9.14. Ростверки свайных фундаментов должны, как правило, предусматриваться из бетона проектной марки по прочности на сжатие 200. Ненапрягаемую арматуру для продольных стержней - принимать из стали класса А-II или А-III, а поперечную арматуру - из стали класса А-I.
9.15. Высоту железобетонного ростверка определяют по расчету и следует принимать не менее 30 см.
9.16. При разбивке свайного поля следует избегать расположения свай под проемами стен. В случае неизбежности такого расположения в местах проемов необходимо предусматривать усиление ростверка.
РАСЧЕТ СВАЙ С ВЫСОКИМ РОСТВЕРКОМ НА ГОРИЗОНТАЛЬНЫЕ
ПЕРЕМЕЩЕНИЯ ГРУНТА, ВОЗНИКАЮЩИЕ ПРИ ПОДРАБОТКЕ ТЕРРИТОРИИ
1. Настоящая методика расчета свай с высоким ростверком на горизонтальные перемещения грунта распространяется на варианты свайных фундаментов как с висячими сваями, так и сваями-стойками для областей применения, указанных в
п.п. 1.8 и
1.9 настоящего "Руководства" при шарнирной заделке голов свай в ростверк.
2. Максимальную поперечную силу (опорную реакцию) в свае и максимальный изгибающий момент в ней, возникающие при горизонтальном перемещении грунта под воздействием горных выработок, определяют по формулам
(рис. 18)

(44)
где
k - жесткостная характеристика грунта в т/м
4, принимаемая по
табл. 5 в зависимости от вида грунта;
d - размер стороны поперечного сечения сваи или ее диаметр в м в направлении перемещения грунта;
lo - глубина условной заделки сваи в грунт в м, определяемая по формуле

(46)
l - длина погружения сваи в м;

- безразмерный коэффициент, определяемый по графику
рис. 19 в зависимости от отношения

(

- прогиб сваи в м в уровне поверхности грунта);
B - жесткость сваи в тм
2, определяемая по рекомендациям
п. 9.10 настоящего "Руководства";

и

- безразмерные коэффициенты, определяемые по графику
рис. 20 в зависимости от коэффициента

;

- деформативная характеристика сваи, определяемая по графику
рис. 21 в зависимости от перемещения сваи на поверхности грунта

в м и соотношения

;
H - свободная длина сваи в м от поверхности грунта до ростверка.
Рис. 18. Схема взаимодействия сваи при высоком ростверке
с шарнирной заделкой головы и грунта при горизонтальных
перемещениях грунта

, вызванных подработкой:
а - деформации сваи и грунта; б - схема нагрузок на сваю;
в - эпюра поперечных сил; г - эпюра изгибающих моментов;
0 - точка с нулевым прогибом сваи (точка жесткой заделки
сваи в грунте)
Рис. 19. График для определения коэффициента

Рис. 20. График для определения коэффициентов

и

Рис. 21. График для определения коэффициента

Таблица 5
Жесткостные характеристики грунта
K в т/м
4
Глинистые грунты с консистенцией B | K в т/м4 | Песчаные грунты средней плотности | K в т/м4 |
0,00 | 65 | Крупные пески | 110 |
0,10 | 45 | Пески средней крупности | 50 |
0,20 | 35 | Мелкие пески | 40 |
0,30 | 30 | Пылеватые пески | 35 |
0,40 | 25 | | |
0,50 | 22 | | |
0,60 | 19 | | |
0,70 | 15 | | |
0,80 | 13 | | |
3. Жесткостные характеристики грунта
K для глинистых грунтов и песчаных средней плотности принимают по
табл. 5.
4. Полный прогиб сваи

в м определяют по формуле

(47)
где

- прогиб сваи в м в уровне поверхности грунта
(рис. 18);
5. Если в пределах двойной глубины условной заделки сваи lo свая проходит грунты с разными жесткостными характеристиками, то для расчетов принимают среднее значение жесткостной характеристики K, определяемой по формуле

(48)
где
hi и
ki - соответственно мощность
i-го слоя грунта в м и его жесткостная характеристика, принимаемая по
табл. 5;
n - количество слоев грунта в пределах 2lo.
Примечание. Для свай, имеющих погружение в грунт
l > 2
lo, в
формуле (48) следует учитывать суммарную мощность слоев в пределах 2
lo ~= 14
d, где
d - размер поперечного сечения сваи согласно
формуле (44).
6. Для уменьшения трудоемкости расчетов свайных фундаментов при различных величинах перемещений

, определяемых по
формуле (11) "Руководства", рекомендуется определять усилия
T1 =
Q1 и
M1 при единичном прогибе

и соответствующий ему полный прогиб сваи

по формуле

(49)
где fк1 - прогиб в м свободного участка сваи длиной H.
Усилия в сваях
Q и
M при перемещениях

в м допускается определять по
формулам (25) и
(26) настоящего "Руководства" исходя из условия

.
7. Приведенные (расчетные) усилия в сваях следует определять по
формулам (34) и
(35).
8. При расчете свай с высоким ростверком на внецентренное сжатие следует учитывать их продольный изгиб. За расчетную высоту сваи рекомендуется принимать длину H + 0,5lo.
ПРИМЕРЫ РАСЧЕТА
Пример 1. Рассчитать несущую способность сваи-стойки по грунту, имеющему нормативное сопротивление под нижним концом Rн = 800 т/м2; сечение сваи 30 x 30 см.
P = 0,7 x 0,9 x 800 x 0,09 = 45,3 т.
Пример 2. Рассчитать для жесткого здания несущую способность висячей сваи по грунту, имеющей длину 7 м и поперечное сечение 30 x 30 см. Геологический разрез массива грунта приводится в
табл. 6.
N п.п. | Литологическое описание грунта | Глубина слоя, м | Консистенция, B | Модуль деформации Eв, т/м2 | Удельное сцепление C, т/м2 | Угол внутреннего трения,  , град. |
1. | Почвенный слой | 0,0 - 0,5 | - | - | - | - |
2. | Суглинок гумусированный | 0,5 - 1,5 | 0,4 | 800 | 1,9 | 20 |
3. | Суглинок желто-бурый, плотный, очень влажный | 1,5 - 4,0 | 0,3 | 1500 | 3,4 | 19 |
4. | Глина бурая, плотная, влажная | 4,0 - 10 | 0,2 | 2000 | 8,2 | 18 |
Несущую способность определим по
формуле (2) без учета почвенного слоя с использованием
таблиц 1 и
2 главы СНиП II-Б.5-67.
P = 0,7 x 1,2[0,9 x 430 x 0,09 + 0,85 x 1,2(1,5 x 1,0 +
+ 3,0 x 2,5 + 5,15 x 2,5)] = 48,0 т.
Коэффициент
m3 = 1,2 принят для жесткого здания, а
m2 = 0,85 по
табл. 2 "Руководства" для шарнирной заделки свай в ростверк при

.
Пример 3. Рассчитать перераспределение нагрузок на сваи и обобщенные усилия в отсеке 5-этажного крупнопанельного жилого дома
(рис. 22) длиной
L = 21 м, шириной
B = 11 м. Грунты основания по
примеру N 2; ожидаемые деформации земной поверхности: радиус кривизны выпуклости
R = 9 км; относительные горизонтальные деформации растяжения

(или 3,4 мм/м); наклоны
i = 5 x 10
-3 (или 5 мм/м). Под каждой поперечной стеной по 5 свай с расчетной вертикальной нагрузкой на сваю
Nв = 45 т.
Рис. 22. К расчету свайного фундамента на искривленном
основании (+Rж): а - план свайного поля и условных
фундаментов на естественном основании; б - эпюра
перераспределения нагрузок на сваи; в и г - эпюры обобщенных
поперечных сил и изгибающих моментов в стенах
(в вертикальной плоскости); 1 - ростверк; 2 - сваи;
3 - условные фундаменты
Принимаем сваи сечением 30 x 30 см из бетона проектной марки 200 с начальным модулем упругости Eб = 2,65 x 106 т/м2.
По несущей способности по грунту проходят сваи длиной 7 м (см.
пример N 2).
Расчетный радиус по формуле (10) "Указаний" СН 289-64
Здесь принято:
nк = 1,4 по
табл. 2 СН 289-64 при неизвестном взаимоположении объекта и плана горных выработок;
mк = 0,7 по
табл. 3 при
L > 15 м; для упрощения расчетов принимаем
mж = 1.
Размеры условного фундамента на естественном основании от каждой сваи по
формуле (4) при

.
Условные фундаменты получились столбчатыми. Определим коэффициент постели основания в уровне нижнего конца свай под условными столбчатыми фундаментами по формуле (6) "Указаний" СН 289-64
Суммарная площадь условных фундаментов под половиной отсека (на
рис. 22,
а заштрихована)
F = 20F1 = 20 x 1,46 x 1,46 = 20 x 2,12 = 42,4 м2.
Статический момент площади условных фундаментов относительно главной оси yy

(положение оси
y'y').
Момент инерции половины площади условных фундаментов относительно оси
y'y' (при

)
Дополнительные вертикальные нагрузки на сваи определим по
формуле (3), а предварительно вычислим величины:
Ax = 21,0 + 1,46 = 22,46 м;
Оси поперечных стен | xo - xi | C | |
1; 1' | -4,5 | 2,23 | -10,0 |
2; 2' | -1,5 | 2,23 | -3,3 |
3; 3' | 1,5 | 2,23 | 3,3 |
4; 4' | 4,5 | 2,23 | 10,0 |
Эпюра перераспределения нагрузок на сваи изображена на
рис. 22,
б.
Дополнительные нагрузки от свай под промежуточными стенами на продольные стены будут передаваться по закону передачи нагрузок в простой балке. На наружные стены по рядам А и В (
рис. 22,
а) пойдет часть

, на внутреннюю

.
Значения поперечной силы в продольных стенах с учетом коэффициентов

, вычисленные по
формуле (8), приводятся в
табл. 8, там же даются и величины изгибающих моментов, вычисленные по
формуле (9) также с учетом коэффициентов

.
Оси стен | Поперечная сила | Изгибающий момент |
стены А и В | стена Б | x, м | стены А и В | стена Б |
 , т | Qx, т |  , т | Qx, т | Mx, тм | Mx, тм |
1; 1' | -14,4 | 14,4 | -21,2 | 21,2 | 10,5 | 0 | 0 |
2; 2' | -4,8 | 14,4 ------- 19,2 | -7,0 | 21,2 ------ 28,2 | 7,5 | 43,2 | 63,5 |
3; 3' | 4,8 | 19,2 ------- 14,4 | 7,0 | 28,2 ------- 21,2 | 4,5 | 100,8 | 148 |
4; 4' | 14,4 | 14,4/0 | 21,2 | 21,2/0 | 1,5 | 143,9 | 212 |
| - | 0 | - | 0 | 0 | 143,9 | 212 |
Эпюры [
Q] и [
M] в вертикальной плоскости продольных стен представлены на
рис. 22,
в и
г.
На эти обобщенные усилия следует рассчитать в вертикальной плоскости элементы конструкций продольных стен с учетом ростверка по рекомендациям "Руководства по расчету зданий и сооружений, проектируемых на подрабатываемых территориях".
Пример 4. Для условий
примера N 3 рассчитать усилия в сваях при воздействии горизонтальных деформаций грунта; длина свай 7 м, сечение 30 x 30 см из бетона М-200;
Eб = 2,65 x 10
6 т/м
2.
Расчетные перемещения грунта в м вычислим по
формуле (11) с учетом коэффициентов перегрузки

и

по
табл. 2 и
3 "Указаний" СН 289-64.
Эпюра

в см представлена на
рис. 23,
б.
Рис. 23. Схема свайного поля (
а), эпюра горизонтальных
перемещений грунта (б) и эпюра продольных усилий в ростверке
(в) под воздействием горизонтальных деформаций (в числителе
под стенами А и В, в знаменателе - под стеной Б);
1 - ростверк; 2 - сваи с шарнирной заделкой голов
в ростверк; 3 - сваи с жесткой заделкой голов
Принимаем свайный фундамент с низким ростверком.
Расчет дополнительных усилий в сваях осуществим по единичным перемещениям. Для сравнения вариантов заделку свай в ростверк примем жесткой и шарнирной. Максимальная ордината погонного давления грунта при единичном перемещении грунта

на основании
формулы (10) для слоя грунта под ростверком по
табл. 6 при
Eб = 800 т/м
2 с учетом
п. 7.5 равна
По
табл. 3 при

коэффициент
w = 2,72 (для суглинка

).
Длину сваи до нулевой точки определим по
формуле (12). Предварительно вычислим жесткость сваи с учетом образования трещин. Принимая для предварительных расчетов армирование сваи

, жесткость сваи определим по
формуле (38), коэффициент для нее определим по
табл. 4, вычислив предварительно значения:
B = 0,033 x 30 x 263 x 2,65 x 105 = 4,64 x 109 кгсм2.
а) для жесткой заделки

;
б) для шарнирной заделки

.
Единичные максимальные усилия в сваях при

:
Qж = 0,63 x 1,68·2,85 = 3,02 т;
Mж = 0,223 x 1,68·2,852 = 3,05 тм
(по графику
рис. 5 имеем соответственно

;

);
Qш = 0,27 x 1,68 x 3,43 = 1,55 т;
Mш = 0,047 x 1,68 x 3,432 = 0,85 тм
(по графику
рис. 4 имеем соответственно

;

).
Дальнейшие расчеты дополнительных усилий осуществим в табличной форме.
Оси свай | x, м |  , см | Жесткая заделка свай | Шарнирное сопряжение |
 , т |  , тм | Qж, т | Mж, тм |  , т |  , тм | Qш, т | Mш, тм |
1 | 2 | 3 | 4 | 5 | 6 | 7 | 8 | 9 | | |
1; 1' | 10,5 | 3,3 | 3,02 | 3,05 | 10,0 | 10,1 | 1,55 | 0,85 | 5,1 | 2,8 |
2; 2' | 7,5 | 2,4 | " | " | 7,2 | 7,3 | " | " | 3,7 | 2,0 |
3; 3' | 4,5 | 1,4 | " | " | 4,2 | 4,3 | " | " | 2,2 | 1,2 |
4; 4' | 1,5 | 0,47 | " | " | 1,4 | 1,4 | " | " | 0,7 | 0,4 |
| 0 | 0 | " | " | 0 | 0 | " | " | " | 0 |
С учетом полученных усилий следует рассчитать армирование свай, определить усилия в ростверке и рассчитать его армирование (см.
примеры N 6 и
7).
Пример 5. Проверить длину сваи по несущей способности по грунту, полученную в
примере N 2, с учетом дополнительных усилий, полученных в
примере N 3 при расчете свайного фундамента на искривление основания, а также ветровой нагрузки и наклона земной поверхности при подработке.
Для проверки несущей способности сваи по грунту необходимо определить по
формуле (35) приведенную (расчетную) максимальную нагрузку на сваю.
Вычислим дополнительные вертикальные нагрузки на сваи от второго слагаемого по
формуле (33) при действии ветровой нагрузки на здание в поперечном направлении и момента от наклона здания в том же направлении.
В поперечном направлении

. От максимального наклона
i = 5 x 10
-3 при расчетном весе отсека
Nв = 1800 т
Qi =
Nв·
i = 1800 x 5 x 10
-3 = 9,0 т; на каждую сваю приходится

.
Момент от наклона 5-этажного здания относительно подошвы ростверка Mix = Qi·hцт = 9 x 7 = 63 тм (где hцт - высота от подошвы ростверка до центра тяжести отсека).
От ветровой нагрузки суммарный ветровой напор и отсос на всю длину отсека (
L = 21 м) для условий Донбасса
Qw = 20,6 т; на каждую сваю приходится

.
Момент от ветровой нагрузки относительно подошвы ростверка Mwx = 121 тм.
Дополнительные вертикальные нагрузки на сваю от ветра и наклона рассчитаны в
таблице 10 по формуле

; там же записаны и дополнительные величины поперечной силы на каждую сваю. Обозначение осей показано на
рис. 23.
Оси | y, м | От наклона поверхности | От ветра |
Mix, тм |  , т |  , т | Mwx, тм |  , т |  , т |
А | 5,5 | 63 | 0,64 | 0,225 | 121 | 1,2 | 0,51 |
Г | 2,4 | " | 0,28 | " | " | 0,52 | " |
Б | 0 | " | 0 | " | " | 0 | " |
Д | -2,4 | " | -0,28 | " | " | -0,52 | " |
В | -5,5 | " | -0,64 | " | " | -1,2 | " |
Максимальные приведенные вертикальные (расчетные) нагрузки на сваи с учетом дополнительных нагрузок от искривления основания по
рис. 22 и действия наклона и ветровой нагрузки в поперечном направлении
(табл. 10) по
формуле (33) получим для свай под наружными стенами А (или В) по поперечным осям 4 и 4'
(рис. 23):
Nмакс = 45 + 0,8·0,64 + 0,9·1,2 + 0,8·10,0 =
= 54,6 т < 1,2 x 48 = 57,5 т.
Коэффициенты 0,8 и 0,9 у второго и третьего слагаемых учитывают особую нагрузку от наклона и дополнительную от ветра.
Несущая способность свай по грунту, подобранных по
примеру N 2, достаточная.
Выполненный расчет показывает о небольшом влиянии ветровой нагрузки и наклона земной поверхности на величину вертикальной нагрузки в сваях для 5-этажного здания по сравнению с искривлением основания.
Пример 6. Рассчитать усилия в сваях для определения продольного и поперечного армирования свай с учетом дополнительных усилий в них от искривления основания по
примеру N 3, воздействий горизонтальных перемещений по
примеру N 4 и воздействий ветровой нагрузки и наклона земной поверхности по
примеру N 5.
Сваи сечением 30 x 30 см из проектной марки бетона на сжатие 200.
Для расчета свай на внецентренное сжатие следует по
формуле (33) определить минимальную вертикальную нагрузку. Необходимо первое слагаемое взять с коэффициентом 0,85 (переход от расчетной нагрузки к нормативной по рекомендациям главы
СНиП II-Б.1-62), а остальные со знаком минус.
Получим: Nмин = 0,85 x 45 - 0,8 x 0,64 - 0,9·1,2 - 0,8 x 10 = 26,6 т.
Применительно к
рис. 22 расчетными будут угловые сваи по осям 1 и 1', так как в них возникают максимальные величины дополнительных усилий от воздействия горизонтальных перемещений грунта
(пример N 4).
Приведенные (расчетные) поперечную силу и изгибающий момент в сваях под воздействием горизонтальных деформаций и наклона земной поверхности при подработке, а также ветровой нагрузки, определим по
формулам (34) и
(35).
Для шарнирного сопряжения свай с ростверком:
Для сваи сечением 30 x 30 см из бетона марки 200, армированной

А-I

, а при армировании

А-II

(таблицы и графики
рис. 10). При
N =
Nмин = 26,6 т отношение

и 0,27. При таком значении
S и принятом армировании сваи выдерживают изгибающий момент: при стали класса А-I
M' = 5,0 тм > 2,6 тм, при стали класса А-II
M" = 5,7 тм < 8,7 тм. Намеченное армирование недостаточно для варианта с жесткой заделкой свай в ростверк и имеет резерв для шарнирного сопряжения свай с ростверком.
Для восприятия момента, равного 8,7 тм при жесткой заделке, следует принять

А-II:
No = 125 т;

и
M = 8,3 тм ~= 8,7 тм (разница менее 5%).
При шарнирном сопряжении свай с ростверком проходит минимальное армирование

А-I:
No = 82,0 т;

;
M = 3,8 тм > 2,6 тм.
Расчет свай на поперечную силу следует осуществлять по указаниям главы СНиП II-В.1-62 "Бетонные и железобетонные конструкции. Нормы проектирования".
Пример 7. Рассчитать продольные усилия в ростверке под продольными стенами под воздействием горизонтальных деформаций грунта с учетом усилий в сваях по
примеру N 4.
Под воздействием горизонтальных деформаций грунта опорные реакции от всех свай, равные поперечным силам
(табл. 9), передаются на ростверк, а от свай с жесткой заделкой на ростверк передаются и опорные изгибающие моменты. От промежуточных свай, находящихся под поперечными стенами, нагрузки также передаются на элементы ростверка под продольными стенами.
Продольные усилия в элементах ростверка под стенами А (В) и Б определим по
формуле (28). Расчеты осуществим в табличной форме. Влияние промежуточных свай учтем коэффициентами

(см.
пример N 3).
Таблица 11.а
Оси свай | Жесткая заделка свай в ростверк |
Стены А и В | Стена Б |
| | | | | |
1; 1' | 14,4 | 14,4 | 11,5 | 21,2 | 21,2 | 17,0 |
2; 2' | 10,3 | 24,7 | 19,7 | 15,1 | 36,3 | 29,0 |
3; 3' | 6,1 | 30,8 | 24,6 | 8,9 | 45,2 | 36,2 |
4; 4' | 2,2 | 33,0 | 26,4 | 3,0 | 48,2 | 38,5 |
yy | - | 33,0 | 26,4 | - | 48,2 | 38,5 |
Оси свай | Шарнирное сопряжение свай с ростверком |
1; 1' | 7,3 | 7,3 | 5,8 | 10,8 | 10,8 | 8,6 |
2; 2' | 5,3 | 12,6 | 10,1 | 7,8 | 18,6 | 14,9 |
3; 3' | 3,2 | 15,8 | 12,6 | 4,7 | 23,3 | 18,6 |
4; 4' | 1,0 | 16,8 | 13,4 | 1,5 | 24,8 | 19,8 (21) |
yy | - | 16,8 | 13,4 | - | 24,8 | 19,8 (21) |
Учитывая значительное армирование свай при жесткой заделке (

А-II) и относительно большие продольные усилия в ростверке при этом варианте сопряжения с ростверком, а также в целях обеспечения надежной пространственной устойчивости здания целесообразно принять такое решение: 6 центральных свай оставить с жесткой заделкой, а остальные с шарнирным сопряжением (
рис. 23,
а). В этом случае продольные усилия в ростверке под стенами А и В останутся практически по
табл. 11.б, а под стеной Б незначительно изменятся (цифры в скобках).
Окончательная эпюра
Nг представлена на
рис. 23,
в.
При таком решении армирование свай при жесткой заделке можно принять равным армированию при шарнирном сопряжении, что очень важно и по соображениям заводского изготовления свай.
При расчете ростверка следует учесть знакопеременное действие горизонтальных деформаций, а также усилия от обычных вертикальных нагрузок
(рис. 13).
Пример 8. Для грунтовых условий по
примеру N 2 (табл. 6) и для отсека по
примеру N 3 с подвалом рассчитать усилия в сваях при следующих исходных данных: сваи сечением 30 x 30 см из бетона проектной прочности на сжатие марки 200 длиной 9 м заглублены в грунт на 7 м (
l) при высоте подвала 2 м (
H), модуль деформации бетона
Eб = 2,65 x 10
6 т/м
2, относительные горизонтальные деформации земной поверхности

. Эпюра перемещений грунта

для этого примера соответствует
примеру N 4 (рис. 23,
б); максимальные и минимальные значения вертикальных нагрузок на сваи по
примерам 5 и
6 равны:
Nмакс = 54,6 т;
Nмин = 26,6 т.
Для слоев суглинка
(табл. 6), залегающих сверху вниз, жесткостную характеристику
K в зависимости от консистенции принимаем по
табл. 5:
K1 = 25 т/м
4;
K2 = 30 т/м
2 и
K3 = 35 т/м
4 (верхний почвенный слой и 0,5 м суглинка гумусированного вынимается под котлован подвала).
По
формуле (44) вычислим опорную горизонтальную реакцию сваи при единичном прогибе ее в уровне поверхности грунта (пола подвала) при

(
рис. 18,
а).
Жесткость сваи, вычисленная по
формуле (39) настоящего "Руководства"
B = 850 тм
2.
Отношение

, чему по графику
рис. 19 при заглублении сваи
l = 7 м соответствует коэффициент

. Тогда по
формуле (46) lo = 0,32·7 = 2,24 м.
По графику
рис. 20 для

находим коэффициенты

(при

) и

.
По графику
рис. 21 при

и отношении

.
Итак, по
формуле (44) при

опорная реакция (равная поперечной силе в свае)
M1 = 1,84(2 + 0,35 x 2,24) = 5,1 тм.
Усилия
Q и
M в сваях при соответствующих значениях

(см.
рис. 23,
б) определим по
формулам (25) и
(26) "Руководства". Результаты расчетов приводятся в табл. 12 (
графы 3 и
4).
Оси свай |  , см | Усилия в сваях | Приведенные усилия |
Q, т | M, тм | Qo, т | Mo, тм | Mв, тм | Qр, т | Mр, тм |
1 | 2 | | | | | | | |
1; 1' | 3,3 | 2,1 | 5,8 | 0,64 | 1,78 | 0,61 | 2,3 | 6,5 |
2; 2' | 2,4 | 1,52 | 4,2 | 0,64 | 1,78 | 0,45 | 1,8 | 5,6 |
3; 3' | 1,4 | 0,89 | 2,5 | 0,64 | 1,78 | 0,26 | 1,4 | 4,0 |
4; 4' | 0,47 | 0,3 | 0,83 | 0,64 | 1,78 | 0,09 | 0,9 | 2,5 |
Сравнивая величины
Q и
M для свайных фундаментов с подвалом по
табл. 12 с сопоставимыми величинами усилий
Qш и
Mш при шарнирном сопряжении свай с низким ростверком, устраиваемых по грунту (
табл. 9, графы 10 и
11), можно отметить влияние высокого ростверка на снижение величин максимальных поперечных сил и, наоборот, на увеличение величин изгибающих моментов. Эти результаты относятся к одинаковым величинам горизонтальных перемещений грунта и практически к одинаковым грунтовым условиям.
В сваях необходимо учитывать усилия от ветровой нагрузки и наклонов земной поверхности, вызванных подработкой. Соответствующие величины дополнительной поперечной силы от этих факторов вычислены в
примере N 5:
Qw = 0,51 т;
Qi = 0,225 т и
Qo = 0,64 т.
Величину изгибающего момента в сваях определим по
формуле (37)
В варианте свайных фундаментов с высоким ростверком (отсеке с подвалом) в соответствии с
п. 9.10 настоящего "Руководства" следует учитывать по
формуле (36) дополнительные изгибающие моменты
Mв от вертикальных нагрузок при изгибе свай, вызванном горизонтальным перемещением грунта. При максимальной вертикальной нагрузке на сваи
Nмин = 26,6 т результаты подсчетов моментов
Mв приводятся в
графе 7 табл. 12.
За основу следует принять усилия в сваях по осям 1 и 1'. По графику
рис. 10 для свай сечением 30 x 30 см из бетона марки 200 проходит армирование

из стали класса А-II (для

сечение выдерживает изгибающий момент 6,5 тм). По поперечной силе пройдет конструктивное армирование.
На полученные приведенные опорные реакции
Tр =
Qр по
табл. 12 следует рассчитать горизонтальные усилия в ростверке.
В соответствии с требованиями
п. 9.8 "Руководства" при устройстве жесткого пола в подвале следует предусматривать вокруг свай зазоры, заполняемые эластичными или пластичными материалами.
В средней части отсека в соответствии с рекомендацией
п. 9.3 целесообразно несколько свай (
рис. 23,
а) выполнить с жесткой заделкой голов в ростверк.
Пример 9. Для условий
примера N 3 рассчитать усилия в сваях, имеющих сопряжение с ростверком через шов скольжения, при воздействии относительных горизонтальных деформаций грунта интенсивностью

; длина свай 7 м, сечение 30 x 30 см, бетон марки 200;
Eб = 2,65 x 10
6 т/м
2; грунтовые условия на площадке по
примеру N 2.
Горизонтальные перемещения грунта в этом примере соответствуют
рис. 23,
б.
Значение

при жесткой заделке свай в ростверк определено в
примере N 4 и равно 2,85 м. Для варианта сопряжения свай с ростверком через шов скольжения необходимо определить

по
формуле (19), предварительно вычислив по
формуле (20) 
и по
формуле (10) величины
P при соответствующих значениях

;

(размер оголовка сваи
bo = 0,5 м).
Результаты расчетов сведены в табл. 13 (
графы 3 и
4).
Таблица 13
Оси свай |  , см | P, т/п.м |  , м | Q, т | M, тм | Qo, т | Mo, тм | Приведенные усилия |
Qр, т | Mр, тм |
1 | 2 | | | | | | | | |
1; 1' | 3,3 | 5,53 | 2,57 | 8,8 | 8,1 | 0,64 | 0,59 | 7,7 | 7,1 |
2; 2' | 2,4 | 4,03 | 2,49 | 6,3 | 5,6 | 0,64 | 0,59 | 5,7 | 5,1 |
3; 3' | 1,4 | 2,35 | 2,09 | 3,1 | 2,3 | 0,64 | 0,59 | 3,1 | 2,4 |
4; 4' | 0,47 | 0,79 | - | - | - | 0,64 | 0,59 | 0,6 | 0,6 |
Помимо этого следует учесть дополнительные усилия от ветровой нагрузки и наклона земной поверхности. Аналогично
примерам N 6 и
8 от ветровой нагрузки и наклона земной поверхности дополнительная поперечная сила на сваи
Qo = 0,64 т, а изгибающие моменты следует определять по
формуле (37); результаты записаны в
графах 7 и
8 табл. 13.
Полученные приведенные усилия в сваях необходимо проверить по предельным усилиям, определяемым по
формулам (21) и
(22). Принимая коэффициент трения по шву скольжения по табл. "Указаний"
СН 289-64 f = 0,2 и среднюю вертикальную нагрузку на сваю
Nв = 45 т, предельные расчетные усилия в сваях с коэффициентом 0,8 получим следующими:
Qпр = 0,8 x 0,2 x 45 = 7,2 т;
Mпр = 0,8 x 0,33 x 0,5 x 45 = 6,0 тм.
Сравнивая эти усилия с максимальными приведенными усилиями в сваях по
графам 9 и
10 табл. 13, с учетом указаний
п. 7.8 "Руководства", за расчетные усилия следует принять
Q = 7,2 т и
M = 6,0 тм.
И в этом варианте свайных фундаментов в средней части отсека часть свай целесообразно выполнить с жесткой заделкой голов свай в ростверк (
рис. 23,
а).
Пример 10. Рассчитать усилия в связях-распорках каркасного здания
(рис. 16) с нормативной нагрузкой от колонн на куст свай из 6 штук
Nв = 200 т. Ростверк отделен от фундаментов швом скольжения с коэффициентом трения
f = 0,2.
Усилия в связях-распорках следует определять по
формуле (30).
Расчет осуществим в табличной форме для одного ряда колонн
(табл. 14).
Оси колонн | Нагрузка от колонны, т | Ti = f·Nв, т | Коэффициент m |  , т |  , т |
I; I' | 200 | 40 | 1,0 | 40 | 32 |
II; II' | 200 | 40 | 0,85 | 68 | 57,5 |
III; III' | 200 | 40 | 0,7 | 84 | 67 |
Общий характер эпюры продольных усилий в связях-распорках представлен на
рис. 16,
в. В соответствии с
примечанием к п. 8.7 следует учесть дополнительные нагрузки на связи-распорки от давления грунта на фундаменты.
Сваи следует рассчитать на эту поперечную силу с учетом коэффициента 0,8. Величину изгибающего момента можно определить приближенно по
формуле (37) с использованием графиков единичных усилий (
рис. 4 -
7). Или по величине

при соответствующей заделке головы сваи в ростверк следует найти для принятого сечения сваи
Eг, а по ней на соседнем графике найти величину

.