Главная // Актуальные документы // Актуальные документы (обновление 01.01.2026 по 01.02.2026) // ГОСТ (Государственный стандарт)СПРАВКА
Источник публикации
М.: Стандартинформ, 2014
Примечание к документу
Документ включен в
Перечень международных и региональных (межгосударственных) стандартов, а в случае их отсутствия - национальных (государственных) стандартов, в результате применения которых на добровольной основе обеспечивается соблюдение требований технического
регламента Таможенного союза "О безопасности машин и оборудования" (ТР ТС 010/2011) (
Решение Коллегии Евразийской экономической комиссии от 09.03.2021 N 28).
Документ
введен в действие с 01.01.2013.
Название документа
"ГОСТ ISO 8528-3-2011. Межгосударственный стандарт. Электроагрегаты генераторные переменного тока с приводом от двигателя внутреннего сгорания. Часть 3. Генераторы переменного тока"
(введен в действие Приказом Росстандарта от 13.12.2011 N 1162-ст)
"ГОСТ ISO 8528-3-2011. Межгосударственный стандарт. Электроагрегаты генераторные переменного тока с приводом от двигателя внутреннего сгорания. Часть 3. Генераторы переменного тока"
(введен в действие Приказом Росстандарта от 13.12.2011 N 1162-ст)
агентства по техническому
регулированию и метрологии
от 13 декабря 2011 г. N 1162-ст
МЕЖГОСУДАРСТВЕННЫЙ СТАНДАРТ
ЭЛЕКТРОАГРЕГАТЫ ГЕНЕРАТОРНЫЕ ПЕРЕМЕННОГО ТОКА
С ПРИВОДОМ ОТ ДВИГАТЕЛЯ ВНУТРЕННЕГО СГОРАНИЯ
ЧАСТЬ 3
ГЕНЕРАТОРЫ ПЕРЕМЕННОГО ТОКА
Reciprocating internal combustion engine driven alternating
current generating sets. Part 3. Alternating current
generators for generating sets
(ISO 8528-3:1993, IDT)
ГОСТ ISO 8528-3-2011
Дата введения
1 января 2013 года
Цели, основные принципы и основной порядок проведения работ по межгосударственной стандартизации установлены
ГОСТ 1.0-92 "Межгосударственная система стандартизации. Основные положения" и
ГОСТ 1.2-2009 "Межгосударственная система стандартизации. Стандарты межгосударственные, правила и рекомендации по межгосударственной стандартизации. Правила разработки, принятия, применения, обновления и отмены"
1 ПОДГОТОВЛЕН Федеральным государственным унитарным предприятием "Всероссийский научно-исследовательский институт стандартизации и сертификации в машиностроении" (ВНИИНМАШ)
2 ВНЕСЕН Федеральным агентством по техническому регулированию и метрологии (Росстандарт)
3 ПРИНЯТ Межгосударственным советом по стандартизации, метрологии и сертификации (протокол от 29 ноября 2011 г. N 40)
За принятие проголосовали:
Краткое наименование страны по МК (ИСО 3166) 004-97 | Код страны по МК (ИСО 3166) 004-97 | Сокращенное наименование национального органа по стандартизации |
Беларусь | BY | Госстандарт Республики Беларусь |
Казахстан | KZ | Госстандарт Республики Казахстан |
Киргизия | KG | Кыргызстандарт |
Россия | RU | Росстандарт |
Таджикистан | TJ | Таджикстандарт |
Узбекистан | UZ | Узстандарт |
4
Приказом Федерального агентства по техническому регулированию и метрологии от 13 декабря 2011 г. N 1162-ст межгосударственный стандарт ГОСТ ISO 8528-3-2011 введен в действие в качестве национального стандарта Российской Федерации с 1 января 2013 г.
5 Настоящий стандарт идентичен международному стандарту ISO 8528-3:1993 "Reciprocating internal combustion engine driven alternating current generating sets - Part 3: Alternating current generators for generating sets" (Агрегаты генераторные переменного тока с приводом от поршневых двигателей внутреннего сгорания. Часть 3. Генераторы переменного тока для генераторных агрегатов).
Перевод с английского языка (en).
Сведения о соответствии межгосударственных стандартов ссылочным международным стандартам приведены в дополнительном
приложении ДА.
Степень соответствия - идентичная (IDT).
Стандарт подготовлен на основе применения ГОСТ Р ИСО 8528-3-2005
6 ВВЕДЕН ВПЕРВЫЕ
Информация об изменениях к настоящему стандарту публикуется в ежегодном информационном указателе "Национальные стандарты", а текст изменений и поправок - в ежемесячном информационном указателе "Национальные стандарты". В случае пересмотра (замены) или отмены настоящего стандарта соответствующее уведомление будет опубликовано в ежемесячном информационном указателе "Национальные стандарты". Соответствующая информация, уведомление и тексты размещаются также в информационной системе общего пользования - на официальном сайте Федерального агентства по техническому регулированию и метрологии в сети Интернет
Настоящий стандарт входит в комплекс стандартов "Электроагрегаты генераторные переменного тока с приводом от двигателя внутреннего сгорания", включающий в себя:
ISO 8528-1:1993 Часть 1. Применение, технические характеристики и режимы работы.
ISO 8528-2:1993 Часть 2. Двигатели.
ISO 8528-3:1993 Часть 3. Генераторы переменного тока.
ISO 8528-4:1993 Часть 4. Устройства управления и аппаратура коммутационная.
ISO 8528-5:1993 Часть 5. Электроагрегаты.
ISO 8528-6:1993 Часть 6. Методы испытаний.
ISO 8528-7:1993 Часть 7. Технические декларации для технических требований и проектирования.
ISO 8528-8:1995 Часть 8. Электроагрегаты малой мощности. Технические требования и методы испытаний.
ISO 8528-9:1993 Часть 9. Измерение и оценка механической вибрации.
ISO 8528-10:1993 Часть 10. Измерение воздушного шума методом огибающей поверхности.
ISO 8528-11:1993 Часть 11. Динамические системы непрерывного электроснабжения.
ISO 8528-12:1997 Часть 12. Аварийное энергоснабжение систем обеспечения безопасности.
Настоящий стандарт распространяется на генераторы переменного тока для электроагрегатов, предназначенных для применения на суше и на море.
Настоящий стандарт не распространяется на генераторы, применяемые на самолетах, наземных автотранспортных средствах и локомотивах.
Настоящий стандарт устанавливает требования к генераторам переменного тока, предназначенным для работы в составе электроагрегатов с приводом от двигателя внутреннего сгорания (далее - электроагрегаты).
Требования настоящего стандарта являются приоритетными при предъявлении дополнительных требований к электроагрегатам, например используемым для обеспечения больниц, высотных зданий и других объектов.
Некоторые положения настоящего стандарта могут быть использованы для электроагрегатов с другими типами первичных двигателей, например паровыми двигателями и газовыми двигателями, работающими на биогазе.
Электроагрегаты, применяемые на судах и в прибрежных сооружениях, должны соответствовать дополнительным требованиям, установленным в технической документации, согласованной с заказчиком.
При необходимости выполнения специальных требований, предъявляемых другими организациями, например органами государственной или местной власти, инспектирующими организациями, обеспечение таких требований должно быть согласовано между изготовителем и заказчиком.
Требования, не установленные в настоящем стандарте, должны быть согласованы между изготовителем и заказчиком.
Примечание 1 - Международный стандарт на асинхронные генераторы отсутствует.
В настоящем стандарте использованы ссылки на следующие стандарты:
ISO 8528-1:1993 Reciprocating internal combustion engine driven alternating current generating sets; part 1: application, ratings and performance (Электрогенераторные установки переменного тока с поршневыми двигателями внутреннего сгорания. Часть 1. Применение, технические характеристики и параметры)
IEC 60034-1:2004 Rotating electrical machines - Part 1: Rating and performance (Машины электрические вращающиеся. Часть 1. Номинальные значения и эксплуатационные характеристики)
В настоящем стандарте применены следующие обозначения:
Us | - | устанавливаемое напряжение (set voltage); |
Ust,max | - | максимальное допустимое установившееся напряжение (maximum steady-state voltage deviation); |
Ust,min | - | минимальное допустимое установившееся напряжение (minimum steady-state voltage deviation); |
Ur | - | номинальное напряжение (rated voltage); |
Urec | - | восстановление напряжения (recovery voltage); |
Us,do | - | наименьшее значение устанавливаемого напряжения (downward adjustable voltage); |
Us,up | - | наибольшее значение устанавливаемого напряжения (upward adjustable voltage); |
U0 | - | напряжение холостого хода (noload voltage); |
Udyn,max | - | переходное максимальное напряжение при сбросе нагрузки (maximum upward transient voltage on load decrease); |
Udyn,min | - | переходное минимальное напряжение при набросе нагрузки (minimum downward transient voltage on load increase); |
| - | диапазон допустимых отклонений установившегося напряжения (steady-state voltage tolerance band); |
| - | диапазон уставки напряжения (range of voltage setting); |
| - | диапазон уставки снижения напряжения (downward range of voltage setting); |
| - | диапазон уставки повышения напряжения (upward range of voltage setting); |
| - | переходное отклонение напряжения (transient voltage deviation); |
| - | переходное отклонение напряжения при набросе нагрузки (transient voltage deviation on load increase); |
| - | переходное отклонение напряжения при уменьшении нагрузки (transient voltage deviation on load decrease); |
| - | относительный диапазон уставки напряжения (related range of voltage setting); |
| - | относительный диапазон уставки снижения напряжения (related downward range of voltage setting); |
| - | относительный диапазон уставки повышения напряжения (related upward range of voltage setting); |
| - | установившееся отклонение напряжения (steady-state voltage deviation); |
| - | максимальная амплитуда напряжения модуляции (max mum peak of voltage modulation); |
| - | минимальная амплитуда напряжения модуляции (mini mum peak of voltage modulation); |
| - | напряжение модуляции (voltage modulation); |
| - | небаланс напряжения (voltage unbalance); |
| - | коэффициент статизма по напряжению (grade of quadrature current compensation voltage droop); |
sr,G | - | расчетное скольжение асинхронного генератора (rated slip of asynchronous generator); |
fr | - | номинальная частота вращения (rated frequency); |
p | - | число пар полюсов (number of pole pairs); |
nr,G | - | номинальная частота вращения генератора (rated speed of rotation of generator); |
Sr | - | номинальная полная мощность (расчетная допустимая мощность) (rated output (rated apparent power)); |
Pr | - | номинальная активная мощность (rated active power); |
| - | номинальный коэффициент мощности (rated power factor); |
Qr | - | номинальная реактивная мощность (rated reactive power); |
tU | - | время восстановления напряжения (voltage recovery time); |
tU,in | - | время восстановления напряжения при увеличении нагрузки (voltage recovery time after load increase); |
tU,de | - | время восстановления напряжения при уменьшении нагрузки (voltage recovery time after load decrease); |
IL | - | фактический ток нагрузки (real current drawn by the load); |
TL | - | коэффициент теплового старения изоляции (relative thermal life expectancy factor). |
Примечание 2 - При указании технических характеристик электрооборудования Международная электротехническая комиссия (МЭК) использует термин "расчетный" и обозначение нижнего индекса буквой "N". Для указания технических характеристик механического оборудования Международная организация по стандартизации (ИСО) использует термин "заданный" и обозначение нижнего индекса буквой "r".
Класс номинальных данных генератора устанавливают по IEC 60034-1. Для генераторов электроагрегатов с приводом от двигателя внутреннего сгорания должна быть установлена номинальная длительно отдаваемая мощность (типовой режим S1) или номинальная мощность режима дискретных постоянных нагрузок (типовой режим S10).
В настоящем стандарте максимальную длительно отдаваемую мощность, вырабатываемую генератором в режиме работы S1, называют основной номинальной длительно отдаваемой мощностью BR. Режим работы S10 также характеризуют типовой длительно отдаваемой мощностью PR, при которой максимальное превышение температуры генератора может увеличиться на значение, соответствующее классу изоляции.
Работа электроагрегата в режиме S10 при длительно отдаваемой мощности приводит к более быстрому тепловому старению изоляции.
Коэффициент TL характеризует уменьшение срока службы изоляции в результате ее ускоренного теплового старения, поэтому он является обязательным показателем класса номинальных данных.
5 Предельные допустимые значения температуры
5.1 Длительно отдаваемая основная мощность
Генератор должен обеспечивать генерирование основной длительно отдаваемой мощности BR во всем диапазоне условий эксплуатации (от минимальной до максимальной температуры охлаждающей среды) при температуре не более 40 °C плюс допускаемое превышение температуры, установленное в IEC 60034-1.
5.2 Длительно отдаваемая пиковая мощность
При длительно отдаваемой пиковой мощности PR суммарные температуры могут быть превышены на следующие допустимые значения.
Класс изоляции | Допустимое превышение температуры, °C, при мощности менее 5 МВ·А | Допустимое превышение температуры, °C, при мощности 5 МВ·А и более |
A или E | 15 | 10 |
B или F | 20 | 15 |
H | 25 | 20 |
При температуре окружающей среды ниже 10 °C предельная суммарная температура должна быть снижена на 1 °C при снижении температуры окружающей среды на 10 °C.
Примечание 3 - Мощность двигателя внутреннего сгорания может изменяться при изменении температуры окружающей среды; суммарная температура генератора зависит от температуры первого контура охлаждения, которая может не совпадать с температурой приточного воздуха двигателя внутреннего сгорания.
Примечание 4 - Тепловое старение изоляции происходит в два - шесть раз быстрее (в зависимости от превышения температуры и свойств изоляции), когда генератор работает при более высоких температурах, чем при основной длительно отдаваемой мощности, то есть работа при пиковой непрерывно отдаваемой мощности в условиях перегрева в течение 1 ч влияет на тепловое старение изоляции так же, как и работа в течение от 2 до 6 ч в условиях перегрева при основной длительно отдаваемой мощности. Изготовитель устанавливает коэффициент
TL и указывает это значение в маркировочной табличке
(раздел 13).
6 Номинальные мощность и характеристики скорости
Термины, обозначения и определения номинальных мощностей и характеристик скорости генераторов приведены в 6.1 -
6.5.
6.1 номинальная полная мощность (номинальная отдаваемая мощность) Sr: Полная электрическая мощность на выводах, выражаемая в вольтамперах, непосредственно или в виде произведения значащих чисел на число 10 в степени.
6.2 номинальная активная мощность Pr: Номинальная полная мощность, умноженная на номинальный коэффициент мощности, выражаемая в ваттах, или в виде произведения значащих чисел на число 10 в степени.
6.3
номинальный коэффициент мощности
: Отношение номинальной активной мощности
Ps к номинальной полной мощности
Sr,

.
6.4 номинальная реактивная мощность Qr: Геометрическая разность между номинальной полной мощностью и номинальной активной мощностью, выражаемая в варах, непосредственно или в виде произведения значащих чисел на число 10 в степени.
6.5
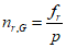
номинальная частота вращения генератора nr,G: Частота вращения, необходимая для генерирования напряжения номинальной частоты.
6.5.1 номинальная частота синхронного генератора: Частота вращения nr,G, определяемая по формуле

,
где fr - номинальная частота вращения, мин-1;
p - число пар полюсов.
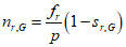
6.5.2 номинальная частота вращения асинхронного генератора: Частота вращения nr,G, определяемая по формуле

,
где sr,G - расчетное значение скольжения асинхронного генератора.
7 Характеристики напряжения
Термины, обозначения и определения характеристик напряжения приведены в 7.1 -
7.12.
7.1 номинальное напряжение Ur: Междуфазное напряжение на выводах генератора при номинальных частоте и мощности.
Примечание 5 - Номинальное напряжение генератора для рабочих и эксплуатационных характеристик устанавливает изготовитель.
7.2 устанавливаемое напряжение Us: Междуфазное напряжение для определенных операций, устанавливаемое путем настройки.
7.3 напряжение холостого хода U0: Междуфазное напряжение на выводах генератора при номинальной частоте без нагрузки.
7.4
диапазон уставки напряжения
: Диапазон максимально возможных значений снижения и повышения напряжения на выводах генератора при номинальной частоте для всех нагрузок от нулевой до номинальной в пределах установленного диапазона коэффициента мощности

,
где

- относительный диапазон уставки повышения напряжения;

- относительный диапазон уставки снижения напряжения.
7.4.1
относительный диапазон уставки напряжения
: Диапазон регулирования устанавливаемого напряжения, выражаемый в процентах номинального напряжения

,
где Ur - номинальное напряжение.
7.4.2
диапазон уставки снижения напряжения
: Диапазон между номинальным и наименьшим значениями устанавливаемого напряжения на выводах генератора при номинальной частоте для всех нагрузок от нулевой до номинальной в пределах установленного диапазона коэффициента мощности

.
7.4.3
относительный диапазон уставки снижения напряжения
: Диапазон снижения устанавливаемого напряжения, выражаемый в процентах номинального напряжения

.
7.4.4
диапазон уставки повышения напряжения
: Диапазон между номинальным и наибольшим значениями устанавливаемого напряжения на выводах генератора при расчетной частоте для всех нагрузок от нулевой до номинальной в пределах установленного диапазона коэффициента мощности

.
7.4.5
относительный диапазон уставки повышения напряжения
: Диапазон повышения устанавливаемого напряжения, выражаемый в процентах номинального напряжения

.
7.5
установившееся отклонение напряжения <1> 
: Максимальное отклонение от номинального напряжения в условиях установившегося режима при всех нагрузках от нулевой до номинальной с учетом влияния температуры, но без учета статизма, определяемое по формуле

.
7.6
переходное отклонение напряжения при набросе (сбросе) нагрузки <1>

: Переходное отклонение напряжения при набросе нагрузки - это падение напряжения генератора, работающего при номинальной частоте вращения и нормальном управлении возбуждением при подключении номинальной нагрузки, выражаемое в процентах номинального напряжения
--------------------------------

.
Переходное отклонение напряжения при сбросе нагрузки - это скачок напряжения генератора, работающего при номинальной частоте вращения и нормальном управлении возбуждением в случае внезапного отключения номинальной нагрузки, выражаемое в процентах номинального напряжения

.
Если значения изменений нагрузки отличаются от указанных выше, то следует установить стандартные значения и соответствующие коэффициенты мощности.
7.7 напряжение восстановления Urec: Максимальное допустимое значение установившегося напряжения для особых условий нагрузки.
Примечание 6 - Напряжение восстановления обычно выражается в процентах номинального напряжения и должно находиться в пределах зоны допуска установившегося напряжения

. При перегрузке напряжение восстановления ограничивается режимом насыщения скоростью действия регулятора возбуждения (приложение A,
рисунок A.1).
7.8
диапазон допустимых отклонений установившегося напряжения
: Допустимый диапазон значений установившегося напряжения, которого может достигать напряжение в период регулирования при сбросе и набросе нагрузки, если не установлено иное, определяют по формуле

,
где

- установившееся отклонение напряжения.
7.9
время восстановления напряжения tU (
tU,in;
tU,de): Временной интервал с момента изменения нагрузки
t1 до момента, когда напряжение входит в зону допускаемого отклонения напряжения в установившемся режиме и остается в этой зоне до времени
t2 (см. приложение A,
рисунки A.1,
A.3), определяют по формуле
tU = t2 - t1.
Этот временной интервал предназначен для установления постоянной частоты вращения и зависит от коэффициента мощности; если изменение нагрузки отличается от установленного значения, то должны быть установлены значения изменения нагрузки и соответствующий коэффициент мощности.
7.10
модуляция напряжения
: Полупериодное изменение напряжения (полный размах) относительно напряжения установившегося режима с частотами ниже основной частоты генерирования, выражаемое в процентах среднего амплитудного значения напряжения при номинальной частоте и постоянной частоте вращения, определяемое по формуле

,
где

- максимальная амплитуда напряжения модуляции;

- минимальная амплитуда напряжения модуляции.
7.11
небаланс напряжения
: Соотношение составляющей отрицательной или нулевой последовательности и составляющей положительной последовательности при холостом ходе, выражаемое в процентах номинального напряжения.
7.12
характеристики регулирования напряжения: Кривые напряжения на выводах генератора как функции токов нагрузки при заданном коэффициенте мощности в установившемся режиме при номинальной частоте вращения без какого-либо ручного управления системой регулирования напряжения.
При параллельной работе электроагрегатов должен быть обеспечен устойчивый режим работы и правильное распределение реактивной мощности, что достигается воздействием на автоматический регулятор напряжения реактивной составляющей тока. В результате обеспечивается статизм по напряжению, характерный для реактивных нагрузок.
Коэффициент статизма по напряжению корректируется углом сдвига тока

и определяется как разница между напряжением холостого хода
U0 и напряжением при номинальном отстающем токе и коэффициенте мощности, равном нулю. Напряжение
U при
Q =
Sr выражается в процентах номинального напряжения
Ur.

не должен быть более 8%.

отклонения могут возникнуть в случае значительных превышений напряжения в системе.
Примечание 7 - Нагрузки с коэффициентом мощности, равным единице, практически не вызывают статизма по напряжению.
Примечание 8 - Одинаковые генераторы переменного тока с идентичными системами возбуждения могут работать параллельно без статизма по напряжению при наличии между обмотками возбуждения уравнительных связей. Адекватное распределение реактивной нагрузки достигается при правильном распределении активной нагрузки и приблизительно одинаковых нагрузочных характеристиках.
Примечание 9 - Если выводы генераторов соединены в виде звезды и связаны между собой напрямую проводниками, то при параллельной работе электроагрегатов могут возникать циркулирующие токи, особенно третьей гармонической составляющей.
9 Специальные режимы нагрузки
Определения режимов, отличающихся от приведенных в IEC 60034-1, установлены в 9.1 -
9.3.
9.1 Ток несимметричной нагрузки
Должны выполняться требования IEC 60034-1 за исключением требований к генераторам мощностью до 1000 кВ·А, у которых нагрузка подключается между фазой и нейтралью. Отношение составляющей обратной последовательности системы токов к номинальному току не должно превышать 10%.
9.2 Установившийся ток короткого замыкания
При коротком замыкании в генераторе необходимо поддерживать установившееся минимальное значение тока (после прекращения помех от переходного процесса) в течение времени, необходимого для проверки работы устройств защиты системы.
При наличии релейной или других видов селективной защиты или если селективная защита не требуется, поддерживание установившегося тока короткого замыкания не требуется.
9.3 Кратковременная перегрузка по току
Требования - по IEC 60034-1.
9.4 Коэффициент телефонных гармоник КТГ
Предельные значения телефонных гармоник линейного напряжения между фазными выводами для синхронных генераторов мощностью 300 кВ·А и выше должны соответствовать IEC 60034-1.
Для синхронных генераторов мощностью от 62,5 до 300 кВ·А КТГ не должны превышать 5%, а мощностью менее 62,5 кВ·А - 8%.
9.5 Подавление радиопомех F
Предельные значения постоянных и импульсных радиопомех должны быть указаны в технических условиях на электроагрегат.
Уровень снижения радиопомех, включая напряжение помех, мощность и напряженность поля, должен быть указан в договоре на поставку между потребителем и изготовителем.
10 Влияние электромеханических колебаний на параллельную работу
Изготовитель должен гарантировать устойчивую параллельную работу электроагрегатов. При необходимости изготовитель должен оказать помощь в обеспечении устойчивой параллельной работы. Если частота вынужденных колебаний, вызванных изменением крутящего момента, будет близка к частоте собственных колебаний генератора, произойдет резонанс.
Частота собственных колебаний обычно находится в диапазоне от 1 до 3 Гц, следовательно, резонанс наиболее вероятен при частоте вращения от 100 до 180 мин-1 двигателя внутреннего сгорания электроагрегата.
В этом случае изготовитель электроагрегата должен оказать помощь потребителю в устранении явления резонанса, в том числе в проведении анализа и исследования причин возникновения резонанса.
11 Асинхронные генераторы с системами возбуждения
11.1 Общие требования
Асинхронные генераторы генерируют напряжение при наличии реактивной мощности.
При работе электроагрегата в автономном режиме должно быть специальное устройство, обеспечивающее возбуждение генератора и нагрузки, подключенной к генератору, обладающей требуемой реактивной мощностью.
Термины и определения, приведенные в 11.2 -
11.5, относятся к асинхронным генераторам со встроенной системой возбуждения.
11.2 Номинальная частота вращения и номинальное скольжение
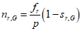
номинальная частота вращения nr,G: Частота вращения ротора, необходимая для выработки напряжения номинальной частоты с учетом расчетного значения скольжения, определяемая по формуле

.
расчетное скольжение асинхронного генератора sr,G: Разность между синхронной частотой вращения магнитного поля и частотой вращения ротора, отнесенная к синхронной частоте вращения, при которой электроагрегат выдает номинальную активную мощность, определяемая по формуле

.
11.3 установившийся ток короткого замыкания: Ток короткого замыкания, установившийся при наличии источника возбуждения.
11.4 диапазон регулирования напряжения: Время регулирования напряжения асинхронного генератора при наличии управляемого устройства возбуждения.
11.5
параллельная работа асинхронных генераторов: Асинхронные генераторы со встроенными устройствами возбуждения, работающие параллельно и распределяющие реактивную мощность, требуемую нагрузкой, в соответствии с мощностью своих систем возбуждения.
Распределение активной мощности, потребляемой нагрузкой, производится в соответствии с частотой вращения двигателей внутреннего сгорания.
12 Эксплуатационные предельные значения характеристик
Предельные эксплуатационные значения характеристик генератора по ISO 8528-1 приведены в таблице 1.
Таблица 1
Предельные эксплуатационные значения
Наименование характеристики | Обозначение | Единица измерения | Пункт настоящего стандарта | Предельные рабочие значения для класса по ISO 8528-1 |
G1 | G2 | G3 | G4 |
1 Относительный диапазон уставки напряжения | | % | | | |
2 Установившееся отклонение напряжения | | % | | +/- 5 | +/- 2,5 | +/- 1 | |
3 Переходное отклонение напряжения при набросе нагрузки <3>, <4>, <5> | | % | | -30 | -24 | -18 | |
4 Переходное отклонение напряжения при сбросе нагрузки <3>, <4>, <5> | | % | | 35 | 25 | 20 | |
5 Время восстановления напряжения <3>, <4> | tU | с | | Менее 2,5 | Менее 1,5 | Менее 1,5 | |
6 Небаланс напряжения | | % | | | | | |
<1> Не устанавливают, если нет параллельной работы или не требуется фиксированного устанавливаемого напряжения. <2> СИП - условное обозначение необходимости согласования между изготовителем и потребителем. <3> Для номинальной мощности при номинальном напряжении, номинальной частоте и полном сопротивлении постоянной нагрузки. При других значениях мощности предельные значения устанавливают по согласованию между изготовителем и потребителем. <4> Следует иметь в виду, что если выбранные значения переходного отклонения напряжения и времени его восстановления меньше необходимых, то может потребоваться генератор большей мощности. Поскольку существует устойчивая связь между характеристиками переходного напряжения и переходными реактивными сопротивлениями, то вероятность повреждения генераторов возрастает. <5> Более высокие значения допускается использовать для генераторов мощностью более 5 МВ·А и частотой вращения 600 мин -1 и менее. <6> При параллельной работе генераторов значение должно быть уменьшено до 0,5. |
Значения, приведенные в
таблице 1, установлены для генераторов с номинальной частотой вращения, работающих при температуре окружающей среды, оговоренной условиями эксплуатации. При изменениях частоты вращения первичного двигателя эти значения могут отличаться от приведенных в
таблице 1.
Табличка с маркировочными данными должна соответствовать требованиям IEC 60034-1. На табличке помимо номинальной выходной мощности и класса мощности должны быть указаны следующие характеристики:
a) для установленной непрерывной мощности, вырабатываемой при режиме работы
S1, номинальная мощность должна быть указана маркировкой "
BR" основной непрерывной мощности
BR, например:
Sr = 22 кВ·А BR;
b) для установленной мощности с дискретной постоянной нагрузкой, вырабатываемой при режиме работы
S10, основную непрерывную мощность при режиме работы
S1 маркируют согласно
перечислению a). Пиковую номинальную мощность указывают маркировкой пиковой непрерывной мощности
PR, максимальным вращением работы 500 ч в год (см. ISO 8528-1) и коэффициентом
TL, например:
Sr = 24 кВ·А·PR, 500 ч в год, TL = 0,9.
Изготовитель генератора по запросу потребителя должен предоставить график производительности или установленное значение допустимой выходной мощности генератора в зависимости от температуры охлаждения.
(обязательное)
ХАРАКТЕРИСТИКА ПЕРЕХОДНОГО НАПРЯЖЕНИЯ ГЕНЕРАТОРА ПЕРЕМЕННОГО
ТОКА, ВОЗНИКАЮЩЕГО ВСЛЕДСТВИЕ ВНЕЗАПНОГО ИЗМЕНЕНИЯ НАГРУЗКИ
A.1 Общие положения
A.1.1 При внезапном изменении нагрузки происходит уменьшение (увеличение) напряжения на выводах генератора. Одной из функций системы регулятор - возбудитель является обнаружение изменения напряжения на выводах генератора и изменение возбуждения магнитного поля для восстановления прежнего напряжения на выводах генератора. Максимальное переходное отклонение напряжения на выводах генератора определяется:
a) значением напряжения, коэффициентом мощности, значением и скоростью изменения прилагаемой нагрузки;
b) значением напряжения, коэффициентом мощности и зависимостью тока от напряжения первоначальной нагрузки;
c) временем реагирования и способностью восстановления напряжения системой регулятор - возбудитель;
d) временем восстановления частоты вращения двигателя внутреннего сгорания после внезапного изменения нагрузки.
Характеристики переходного напряжения определяют работу системы, состоящей из генератора, возбудителя, регулятора и двигателя внутреннего сгорания, и не могут быть установлены только по данным генератора. В данном приложении рассматривается система генератор - возбудитель - регулятор.
A.1.2 При выборе или применении генераторов потребителем задается или указывается максимальное переходное отклонение напряжения от номинального значения (провал напряжения), возникающее вследствие внезапного увеличения нагрузки.
По требованию потребителя изготовитель должен предоставить информацию об ожидаемом переходном отклонении напряжения в любом из двух вариантов:
a) на генератор как единый агрегат, состоящий из генератора, возбудителя и регулятора;
b) полные данные, определяющие переходные характеристики регулятора и возбудителя (при его наличии).
A.1.3 Для обеспечения ожидаемого переходного отклонения напряжения необходимы следующие условия, если не указаны другие:
a) постоянная частота вращения (номинальная);
b) генератор, возбудитель и регулятор должны работать без нагрузки при номинальном напряжении, а начальная температура должна соответствовать температуре окружающей среды;
c) подключение указанной в технических условиях линейной нагрузки должно быть с постоянным полным сопротивлением.
Примечание 10 - Ожидаемое переходное отклонение напряжения от номинального значения определяется по прежнему изменению напряжения всех фаз на выводах генератора, то есть не требуется учет асимметрии фаз, на которую влияют факторы, не зависящие от изготовителя генератора.
A.2 Примеры
На ленте самопишущего прибора указано значение выходного напряжения в зависимости от времени для демонстрации переходных характеристик генератора, возбудителя и регулятора при внезапном изменении нагрузки. Для определения характеристик прибора необходимо учитывать весь диапазон изменения напряжения.
На
рисунках A.1 -
A.3 изображены два случая изменения напряжений, зарегистрированные самопишущим прибором. Эти рисунки и типовые расчеты приведены в качестве примера определения переходных характеристик системы генератор - возбудитель - регулятор при внезапном изменении нагрузки.
A.3 Нагрузки при пуске двигателя
Определение характеристик системы генератор - возбудитель - регулятор при запуске двигателя проводят в условиях по A.3.1 и
A.3.2.
A.3.1 Моделирование нагрузки
Условия моделирования нагрузки:
a) постоянное полное сопротивление (ненасыщающаяся реактивная нагрузка);
b) коэффициент мощности равен или менее 0,4, отстающий.
Примечание 11 - Ток, полученный при имитации нагрузки, необходимо корректировать по соотношению Ur/Urec каждый раз, когда напряжение восстановления выходит из допустимого диапазона установившихся отклонений.
Эти значения тока и номинального напряжения на выводах генератора должны использоваться для определения приложенной нагрузки.
Испытания проводят при температуре генератора и системы возбуждения, равной температуре окружающей среды.
Рисунок A.1 - Характеристика переходного напряжения
(повышение нагрузки)
Рисунок A.2 - Характеристика переходного напряжения
(понижение нагрузки)
Рисунок A.3 - Переходное напряжение генератора
в зависимости от времени при внезапном увеличении нагрузки

- переходное отклонение напряжения при набросе нагрузки, В;
Ur - номинальное напряжение на выводах, В;
U0 - напряжение холостого хода (среднеквадратичное значение напряжения на вольтметре), В;
L - амплитуда полного размаха напряжения восстановления, мм;

- ток нагрузки, откорректированный в соответствии с номинальным напряжением, А;
Urec - установившееся показание на вольтметре (среднеквадратичное значение напряжения восстановления), В;
D - амплитуда полного размаха минимального переходного напряжения, мм;
Udyn,min - минимальное переходное напряжение, В;
t1 - момент приложения нагрузки;
t2 - момент вхождения в заданный диапазон напряжения;
tU,in - время восстановления напряжения до заданного диапазона, с.
Примеры
1) Ur = 480 В; U0 = 480 В.
2)

.
3)

.
(справочное)
СВЕДЕНИЯ О СООТВЕТСТВИИ МЕЖГОСУДАРСТВЕННЫХ СТАНДАРТОВ
ССЫЛОЧНЫМ МЕЖДУНАРОДНЫМ СТАНДАРТАМ
Таблица ДА.1
Обозначение и наименование ссылочного международного стандарта | Степень соответствия | Обозначение и наименование соответствующего межгосударственного стандарта |
ISO 8528-1:1993 Электрогенераторные установки переменного тока с поршневыми двигателями внутреннего сгорания. Часть 1. Применение, технические характеристики и параметры | - | |
IEC 60034-1:2004 Машины электрические вращающиеся. Часть 1. Номинальные значения и эксплуатационные характеристики | - | |
<*> Соответствующий межгосударственный стандарт отсутствует. До его утверждения рекомендуется использовать перевод на русский язык данного международного стандарта. Перевод данного международного стандарта находится в Федеральном информационном фонде технических регламентов и стандартов. |
УДК 621.311.28:006.354 | | | IDT |
Ключевые слова: электроагрегат, генератор, параметры |