Главная // Актуальные документы // Актуальные документы (обновление 2025.01.06-2025.02.01) // ГОСТ Р (Государственный стандарт)СПРАВКА
Источник публикации
М.: ФГБУ "Институт стандартизации", 2024
Примечание к документу
Документ
вводится в действие с 01.08.2025.
Название документа
"ГОСТ Р 71733-2024. Национальный стандарт Российской Федерации. Строительные работы и типовые технологические процессы. Контроль качества скрытых работ геофизическими методами при строительстве подземных объектов"
(утв. и введен в действие Приказом Росстандарта от 24.10.2024 N 1509-ст)
"ГОСТ Р 71733-2024. Национальный стандарт Российской Федерации. Строительные работы и типовые технологические процессы. Контроль качества скрытых работ геофизическими методами при строительстве подземных объектов"
(утв. и введен в действие Приказом Росстандарта от 24.10.2024 N 1509-ст)
Утвержден и введен в действие
агентства по техническому
регулированию и метрологии
от 24 октября 2024 г. N 1509-ст
НАЦИОНАЛЬНЫЙ СТАНДАРТ РОССИЙСКОЙ ФЕДЕРАЦИИ
СТРОИТЕЛЬНЫЕ РАБОТЫ И ТИПОВЫЕ ТЕХНОЛОГИЧЕСКИЕ ПРОЦЕССЫ
КОНТРОЛЬ КАЧЕСТВА СКРЫТЫХ РАБОТ ГЕОФИЗИЧЕСКИМИ МЕТОДАМИ
ПРИ СТРОИТЕЛЬСТВЕ ПОДЗЕМНЫХ ОБЪЕКТОВ
Construction work and typical technological processes.
Quality control of hidden works by geophysical methods
in the construction of underground facilities
ГОСТ Р 71733-2024
Дата введения
1 августа 2025 года
1 РАЗРАБОТАН Акционерным обществом "Мосинжпроект" (АО "Мосинжпроект"), НИИ оснований и подземных сооружений им. Н.М. Герсеванова НИЦ "Строительство" (АО "НИЦ "Строительство"), Федеральным государственным бюджетным образовательным учреждением высшего образования "Московский государственный университет имени М.В. Ломоносова" (Московский государственный университет им. М.В. Ломоносова), Федеральным государственным автономным образовательным учреждением высшего образования "Национальный исследовательский технологический университет "МИСИС" (Университет науки и технологии "МИСИС")
2 ВНЕСЕН Техническим комитетом по стандартизации ТК 400 "Производство работ в строительстве. Типовые технологические и организационные процессы"
3 УТВЕРЖДЕН И ВВЕДЕН В ДЕЙСТВИЕ
Приказом Федерального агентства по техническому регулированию и метрологии от 24 октября 2024 г. N 1509-ст
4 ВВЕДЕН ВПЕРВЫЕ
Правила применения настоящего стандарта установлены в статье 26 Федерального закона от 29 июня 2015 г. N 162-ФЗ "О стандартизации в Российской Федерации". Информация об изменениях к настоящему стандарту публикуется в ежегодном (по состоянию на 1 января текущего года) информационном указателе "Национальные стандарты", а официальный текст изменений и поправок -
в ежемесячном информационном указателе "Национальные стандарты". В случае пересмотра (замены) или отмены настоящего стандарта соответствующее уведомление будет опубликовано в ближайшем выпуске ежемесячного информационного указателя "Национальные стандарты". Соответствующая информация, уведомление и тексты размещаются также в информационной системе общего пользования -
на официальном сайте Федерального агентства по техническому регулированию и метрологии в сети Интернет (www.rst.gov.ru)
Настоящий стандарт разработан в целях обеспечения соблюдения требований Федерального
закона от 30 декабря 2009 г. N 384-ФЗ "Технический регламент о безопасности зданий и сооружений".
Стандарт учитывает опыт регламентации применения геофизических методов неразрушающего контроля качества скрытых работ в России и за рубежом.
В разработке стандарта принимали участие: научные руководители работы: д-р техн. наук Конюхов Д.С., канд. физ.-мат. наук Капустин В.В.; ответственные исполнители: канд. техн. наук Чуркин А.А., канд. техн. наук Гайсин Р.М., канд. техн. наук Набатов В.В., канд. техн. наук Николенко П.В., Потокина А.М., Рейсбих Я.А.
Настоящий стандарт распространяется на контроль качества скрытых работ геофизическими методами при строительстве конструкций железобетонных свайных фундаментов, траншейных "стен в грунте", "стен в грунте" из буросекущих и бурокасательных свай, фундаментных плит, обделки тоннелей, грунтоцементных свай и массивов, а также при их обследовании на стадии эксплуатации.
В настоящем стандарте использованы нормативные ссылки на следующие документы:
ГОСТ 10180 Бетоны. Методы определения прочности по контрольным образцам
ГОСТ 28570 Бетоны. Методы определения прочности по образцам, отобранным из конструкций
ГОСТ Р 71039-2023 Сваи буронабивные и "стены в грунте" траншейного и свайного типов. Межскважинный ультразвуковой метод контроля качества бетона
СП 22.13330 "СНиП 2.02.01-83* Основания зданий и сооружений"
СП 45.13330 "СНиП 3.02.01-87 Земляные сооружения, основания и фундаменты"
СП 47.13330.2016 "СНиП 11-02-96 Инженерные изыскания для строительства. Основные положения"
СП 63.13330 "СНиП 52-01-2003 Бетонные и железобетонные конструкции. Основные положения"
СП 446.1325800 Инженерно-геологические изыскания для строительства. Общие правила производства работ
Примечание - При пользовании настоящим стандартом целесообразно проверить действие ссылочных стандартов (сводов правил) в информационной системе общего пользования - на официальном сайте Федерального агентства по техническому регулированию и метрологии в сети Интернет или по ежегодному информационному указателю "Национальные стандарты", который опубликован по состоянию на 1 января текущего года, и по выпускам ежемесячного информационного указателя "Национальные стандарты" за текущий год. Если заменен ссылочный документ, на который дана недатированная ссылка, то рекомендуется использовать действующую версию этого документа с учетом всех внесенных в данную версию изменений. Если заменен ссылочный документ, на который дана датированная ссылка, то рекомендуется использовать версию этого документа с указанным выше годом утверждения (принятия). Если после утверждения настоящего стандарта в ссылочный документ, на который дана датированная ссылка, внесено изменение, затрагивающее положение, на которое дана ссылка, то это положение рекомендуется применять без учета данного изменения. Если ссылочный документ отменен без замены, то положение, в котором дана ссылка на него, рекомендуется применять в части, не затрагивающей эту ссылку. Сведения о действии сводов правил целесообразно проверить в Федеральном информационном фонде стандартов.
В настоящем стандарте применены следующие термины с соответствующими определениями:
3.1 акустическая аномалия: Значительное изменение амплитуды/частотного состава сигнала, которое не интерпретируется в качестве импульса, соответствующего отражению от структуры изучаемой среды (нижнего торца сваи или "стены в грунте", геологической границы, границы "обделка - грунт" и т.д.).
Примечание - Акустическая аномалия может свидетельствовать о наличии нарушения сплошности или заметной неоднородности.
3.2 антенный блок: Преобразователь электрического импульса в электромагнитную волну определенной центральной частоты (излучающая антенна); преобразователь принимаемого электромагнитного отклика среды в электрический импульс, передающийся на блок управления (приемная антенна), используемые при георадиолокации.
3.3 атрибутный анализ: Расчет показателей (атрибутов), характеризующих изменения кинематических и динамических параметров геофизических сигналов, с целью получения качественных выводов о состоянии объекта исследования.
3.4 база измерения: Расстояние между источником и приемником в процессе проведения испытаний по методикам межскважинного ультразвукового метода, сейсмического каротажа и межскважинного сейсмоакустического просвечивания.
3.5
время первого вступления: Время, требуемое передаваемому ультразвуковому импульсу для достижения приемника. |
3.6 георадиолокационное зондирование: Геофизический метод, основанный на излучении импульсов электромагнитных волн и регистрации сигналов, отраженных от различных объектов зондируемой среды.
3.7
дефект: Отдельное несоответствие конструкции какому-либо параметру, установленному проектом или нормативным документом. |
3.8
интерпретация данных: Анализ обработанных данных для представления выводов о сплошности бетона конструкций. |
3.9
обработка данных: Совокупность процедур, выполняемых для подготовки зарегистрированных данных к интерпретации. |
3.10 ось синфазности: Область на радарограмме/водопадной диаграмме, интерпретируемая как единое событие, где импульсы отраженной или дифрагированной волн сдвинуты по времени не более, чем на 1/4 видимого периода.
3.11 накопление сигналов: Способ повышения соотношения сигнал/шум, заключающийся в суммировании нескольких зондирующих сигналов, зарегистрированных последовательно в одной точке измерения.
3.12 полезный сигнал: Составляющая сигналов, получаемых от чувствительных элементов систем контроля, которая несет нужную пользователю информацию о наблюдаемом объекте.
3.13 помеха (шум): Часть принимаемого сигнала, не несущая полезную информацию об изучаемом объекте и вызванная внешним воздействием различной физической природы или электрическими процессами, возникающими в измерительном тракте оборудования.
3.14 профиль измерений: Совокупность сигналов или их параметров, зарегистрированных для одной пары труб доступа при различной глубине погружения датчиков.
3.15 радарограмма/водопадная диаграмма: Совместная визуализация зарегистрированных вдоль профиля измерения сигналов в георадиолокации или ультразвуковом методе.
3.16
скрытые работы: Работы, которые в соответствии с принятой технологией производства становятся недоступными для контроля после начала выполнения последующих работ, а также законченных строительных конструкций и участков сетей инженерно-технического обеспечения, устранение дефектов которых, выявленных контролем, невозможно без разборки или повреждения последующих конструкций и участков сетей инженерно-технического обеспечения. |
3.17
сплошность бетона: Характеристика однородности физико-механических свойств бетона конструкции. |
3.18
стена в грунте: Стена из железобетона, устраиваемая в траншее, стенки которой временно удерживаются бентонитовой суспензией, вытесняемой впоследствии бетонной смесью. |
3.19 температурная аномалия: Локальное отклонение значений температурного профиля, превышающее границы допустимого для конструкции колебания параметра.
3.20
труба доступа: Стальные или полимерные трубы, устанавливаемые в тело конструкции в составе арматурного каркаса для проведения контроля сплошности бетона. |
3.21 ударный источник: Молоток или иной инструмент с известным весом и материалом бойка, используемый для возбуждения сигнала при сейсмоакустическом обследовании конструкции.
3.22
ультразвуковая аномалия: Значительное локальное отклонение значений параметров ультразвукового сигнала от нормы. |
3.23 эффективный радиус буронабивной сваи (термометрический метод): Условная величина, расчетный показатель сплошности бетона сваи по данным термометрического метода.
Примечание - В каждой точке измерения эффективный радиус численно равен радиусу условного цилиндрического однородного бетонного тела, имеющего свойства, соответствующие средним свойствам бетона испытуемой сваи, выделяющего при твердении бетона количество тепла, эквивалентное измеренной температуре.
3.24 эффективный радиус грунтоцементной сваи (сейсмоакустический каротаж): Условная величина, расчетный показатель диаметра грунтоцементной сваи (ГЦС) по данным сейсмоакустического каротажа.
Примечание - В каждой точке измерения эффективный радиус численно равен радиусу условного цилиндрически однородного грунтоцементного тела, имеющего свойства, соответствующие средним свойствам материала испытуемой сваи, и определяется с применением спектрального анализа.
4 Выбор метода контроля качества скрытых работ
4.1 Объем работ и выбор оптимального геофизического метода или комплекса методов по контролю качества конструкции на этапе проектирования необходимо назначать в соответствии с требованиями
СП 45.13330,
СП 47.13330,
СП 120.13330,
СП 122.13330,
СП 446.1325800, а также настоящего стандарта и отображать в программе испытаний.
4.2 При выборе геофизического метода или комплекса методов для контроля качества скрытых работ следует руководствоваться требованиями
таблицы 1. Допускается применение иных геофизических методов для контроля качества скрытых работ при обосновании и согласовании с заказчиком и их выбора в программе испытаний, если иного не предусмотрено в техническом задании.
Таблица 1
Основные геофизические методы при контроле
качества скрытых работ
[1]
Конструкция | Контролируемый параметр | Геофизические методы |
Наземные | Скважинные |
Сейсмоакустический метод | Георадарный метод | Ультразвуковой метод (ультразвуковой каротаж) и сейсмокаротаж | Термометрический метод (термокаротаж) |
Свайный фундамент | Длина | Да | Нет | Косвенно |
Сплошность бетона | Да, за исключением дефекта в области нижнего торца сваи | Нет | В пределах области, ограниченной расположением труб доступа |
"Стена в грунте" траншейного и свайного типа | Глубина заложения | Да | Нет | Косвенно |
Дефект сечения | Да | Нет | В пределах области, ограниченной расположением труб доступа |
Дефект зоны стыка свай/захваток | Нет | Нет | Косвенно |
Фундаментные плиты, обделка тоннелей | Сплошность материала | Да (импакт-эхо метод и метод анализа отклика) | Да | Нет | Нет |
Дефект контакта "конструкция - грунт"/состояние тампонажа заобделочного пространства | Да (метод анализа отклика) | Да | Нет | Нет |
4.3 В соответствии с выбранным методом контроля качества скрытых работ должны быть обеспечены условия для выполнения исследований согласно требованиям настоящего стандарта.
4.4 По результатам проведения испытаний должен быть составлен технический отчет, оформленный на основании СП 47.13330.2016
(пункт 4.39) и включающий основные разделы:
- введение;
- предварительные данные об изучаемом объекте (включая идентификацию испытуемых свай/захваток стены в грунте (СВГ)/колец обделки/секций сооружения/наблюдательных скважин; информацию из исполнительной или проектной документации о геометрических параметрах, материале, технологии изготовления контролируемой конструкции или изделия; абсолютные или относительные отметки проведения испытаний; дату изготовления конструкции (при необходимости может быть также приведена иная информация, оказывающая влияние на результаты исследований);
- методика и технология выполнения работ (с указанием информации о возможных источниках техногенных помех и других факторах, осложнивших проведение полевых исследований, а также схемы расположения точек/профилей наблюдения относительно обследуемых конструкций, сведений о параметрах возбуждения и регистрации сигналов, а также использованном оборудовании);
- результаты геофизических исследований (с указанием сведений об использованных процедурах обработки, в случае работ ультразвуковым методом сейсмограммы записанных профилей должны быть включены в отчет в качестве отдельного приложения);
- заключение о состоянии обследуемой конструкции и/или особенностях его геометрии;
- приложения.
4.5 Возможности и ограничения методов контроля качества скрытых работ приведены в
приложении А.
5 Методы контроля качества монолитных фундаментных и ограждающих конструкций
5.1 Контроль длины и сплошности свай сейсмоакустическим методом
5.1.1 Требования настоящего подраздела распространяются на осуществление контроля длины и сплошности бетона конструкций свай и свайных фундаментов сейсмоакустическим методом.
5.1.2 Определение длины сваи и получение сведений о сплошности бетона ее конструкции следует осуществлять путем регистрации искусственно возбуждаемых в стволе сваи упругих волн, вызываемых механическим ударом молотка по оголовку сваи (
рисунок 1, а).
а) стандартная; б) обследование сваи в составе ростверка;
в) профилирование с общим пунктом возбуждения сигнала;
г) обследование сваи с использованием вспомогательной
скважины; 1 - приемник; 2 - источник; 3 - лучевые
траектории распространения упругих волн; 4 - железобетон;
5 - заполненная водой скважина
Рисунок 1 - Контроль длины и сплошности свайных
фундаментов сейсмоакустическим методом
При обследовании свай, включенных в состав ростверка или фундамента существующего здания, следует применять методики с альтернативным взаимным расположением источников и приемников (
рисунок 1, б - г).
5.1.3 Акустические волны необходимо регистрировать с помощью датчика, установленного на оголовке сваи (
рисунок 2, а).
а) проведение полевых испытаний;
б) представление данных во временной области;
в) представление данных в частотной области
Рисунок 2 - Методики анализа данных
сейсмоакустического метода
Длину сваи или расстояние до изменения ее импеданса при работе с данными во временной области (
рисунок 2, б) следует определять по формуле

(1)
где L - длина сваи/расстояние до источника акустической аномалии, м;
V - скорость стержневой волны в теле сваи, м/с;

- интервальное время пробега отраженной волны, мс.
При наблюдении на спектре зарегистрированного сигнала ярко выраженных резонансных пиков (
рисунок 2, в) длину сваи или расстояния до изменения ее импеданса следует определять по формуле

(2)
где

- расстояние между соседними резонансными пиками, Гц;
n = 1, 2, 3 ... - количество расстояний между резонансными пиками.
5.1.4 Перед проведением испытаний должны быть выполнены работы по:
- визуальному осмотру оголовка сваи на отсутствие дефектов поверхности бетона (трещин, сколов, каверн, выходящих на поверхность, и других дефектов, могущих привести к снижению качества контактных условий преобразователя с бетоном, а также качества и повторяемости возбуждающего ударного импульса);
фиксации фактических размеров оголовка;
определению наличия и расположения арматурных выпусков.
Не допускается проводить испытания буронабивных свай при наличии в верхней части сваи шламового слоя.
При выявлении трещин или шламового слоя в оголовке свая должна быть срублена до бетона с ненарушенной сплошностью.
5.1.5 Испытания следует проводить не ранее чем через 7 дней после окончания бетонирования/погружения сваи. В отдельных случаях, при соответствующем обосновании, допускается проводить испытания в более ранние сроки, установленные программой испытаний в соответствии с
[2].
Датчик следует устанавливать на оголовок сваи на предварительно подготовленную площадку таким образом, чтобы измерительная ось датчика была параллельна оси сваи.
Для каждой точки приема необходимо выбрать несколько точек возбуждения сигнала и с помощью ударного источника выполнить не менее пяти ударов по оголовку конструкции в соответствии с
[1].
Акустический контакт датчика с оголовком следует обеспечивать путем нанесения специальной мастики или другой контактной среды в соответствии с рекомендациями производителя измерительного оборудования.
Для свай диаметром более 500 мм датчик следует устанавливать не менее чем на трех площадках, распределенных по площади оголовка.
5.1.6 Площадка для установки датчика должна быть выровнена перпендикулярно к оси сваи при помощи угловой шлифовальной машины.
Размер площадки для установки датчиков и возбуждения сигнала должен обеспечивать возможность установки регистратора и нанесения удара всеми ударными источниками, применяемыми в процессе испытаний.
5.1.7 Массу ударного источника следует принимать в зависимости от конкретных условий на основании пробных испытаний. На стадии пробных испытаний допустимо использование нескольких источников различной массы и различного типа (металлический молоток, молоток с пластиковой насадкой, резиновая киянка и пр.).
5.1.8 При обследовании сваи, включенной в ростверк или фундамент существующего здания, с целью получения данных, позволяющих выделить целевое отражение, должны быть организованы дополнительные точки возбуждения и приема сигнала относительно обследуемой сваи (
рисунок 1, б):
на поверхности конструкции над геометрическим центром сечения сваи;
на боковой поверхности сваи.
Количество свай в составе свайного фундамента, подлежащих контролю сейсмоакустическим методом, следует определять в соответствии с
СП 45.13330.
5.1.9 Профилирование с общим пунктом возбуждения необходимо осуществлять в соответствии со следующими требованиями:
- доступа к участку боковой поверхности сваи протяженностью порядка 2 - 2,5 м (
рисунок 1, в) с возможностью установки датчика на нескольких уровнях. Установку приемника следует осуществлять не менее чем в пяти точках, расстояние между которыми должно быть одинаковым и составлять не менее 25 см (конкретное расстояние определяется размером доступной поверхности исследуемой сваи);
- положение источника должно оставаться неизменным, удар следует наносить по поверхности оголовка конструкции или по специально подготовленной площадке на боковой грани конструкции. Подготовленная площадка должна иметь достаточный размер для нанесения удара молотком и установки датчика, выполняющего роль синхронизатора момента удара. Для каждого положения приемника необходимо регистрировать серию накоплений. Количество накоплений зависит от уровня внешних помех и выбирается исходя из необходимости достижения соотношения сигнал/шум в четыре раза и более;
- на зарегистрированной сейсмограмме необходимо выделять годографы прямой волны (распространяющейся от точки возбуждения сигнала до точки регистрации) и отраженной волны. По годографу прямой волны следует определять скорость волны в теле сваи, по годографу отраженной волны - время прихода отражения от нижнего конца сваи или изменения импеданса для использования по
формуле (1).
5.1.10 Обследование сваи с использованием вспомогательной скважины следует осуществлять в соответствии с требованиями:
- вблизи от конструкции необходимо пробурить скважину, глубина которой должна превышать предполагаемую глубину заложения фундамента не менее чем на 3 - 4 м (
рисунок 1, г). Скважина должна быть размещена на удалении не более 2,0 м от обследуемой сваи. В качестве обсадки допускается использование полимерных труб (диаметр обсадной трубы определяется исходя из габаритов скважинного зонда);
- для регистрации сигналов следует применять прижимные зонды с геофонами или зонды с гидрофонами (в этом случае скважина должна быть водонаполненной). Приемник перемещается с фиксированным шагом вдоль скважины, начиная с ее забоя. Шаг между соседними положениями приемника должен составлять - 0,1 - 0,5 м и зависит от необходимой точности измерений. Для каждого положения приемника необходимо регистрировать серию накоплений. Количество накоплений зависит от уровня помех и выбирается исходя из необходимости достижения соотношения сигнал/шум в четыре раза и более;
- на сейсмограммах выделяется годограф прямой волны, на котором по точке излома/резкого снижения кажущейся скорости отмечается подошва сооружения.
5.1.11 Оборудование для проведения испытаний должно иметь функцию визуализации зарегистрированных сигналов сразу после их регистрации, для возможности визуального контроля качества данных в процессе проведения испытаний в соответствии с
[2], а также передавать зарегистрированные сигналы на устройство постоянного хранения информации.
При этом программное обеспечение оборудования должно иметь функцию экспорта зарегистрированных сигналов для их последующей обработки.
5.1.12 Сигналы следует регистрировать с помощью датчика, измеряющего ускорение или скорость смещения частиц оголовка сваи (акселерометра или велосиметра). При работах параллельным сейсмическим методом допускается применять скважинный приемник с геофоном, оснащенный прижимным устройством или скважинный приемник с гидрофоном.
5.1.13 Обработку зарегистрированных сигналов следует осуществлять посредством:
- сбора данных в один массив для совместной визуализации, контроля качества данных и удаления сигналов неудовлетворительного качества для каждой испытанной сваи, каждого ударного;
- амплитудной коррекции (усилением) - компенсацией ослабления сигнала, связанного с потерей части энергии возбужденного импульса;
- фильтрации (частотной и пространственной, f) - k) - отделением полезного сигнала от помех и увеличением отношения сигнал/помеха;
- осреднения накопленных сигналов - для каждой испытанной сваи, для каждого использованного ударного источника следует выполнять осреднение серии сигналов для подавления случайных помех;
- расчета длины сваи и расстояния до акустических аномалий;
- других средств обработки, при необходимости. При этом следует продемонстрировать результат дополнительных процедур в техническом отчете, обосновать выбор дополнительных процедур.
5.1.14 Расчет длины сваи и расстояния до акустических аномалий необходимо выполнять по
формуле (1).
При переводе значений времени в значения глубины необходимо задать скорость распространения упругих волн в теле сваи. При работе с данными в частотной области необходимо применять
формулу (2).
5.1.15 Скорость распространения упругих волн в свае следует принимать постоянной и определять одним из следующих способов:
- в соответствии с измерениями на сваях с известной длиной;
- по результатам измерений в соответствии с методикой профилирования с общим пунктом возбуждения методом;
- с учетом априорной информации о диапазонах изменения скорости сейсмоакустического сигнала для конструкций со схожими параметрами геометрии и материала.
5.1.16 Интерпретация данных сейсмоакустического метода заключается в определении длины и формулировании выводов о сплошности испытуемой сваи на основании анализа результатов обработки и дополнительной информации.
5.1.17 Интерпретацию данных следует проводить с привлечением сигналов, собранных с применением различных ударных источников, в соответствии требованиями, приведенными ниже:
- обработанные данные должны быть сопоставлены с набором типовых сигналов для выделения характерных особенностей
(рисунок 3). При этом сходство зарегистрированных данных с типовыми сигналами не должно использоваться в качестве единственного довода для вынесения заключения о сплошности сваи;
- изменения во вмещающих грунтах должны проявляться на зарегистрированных сигналах в виде акустических аномалий;
- глубина выделенных акустических аномалий должна быть сопоставлена с положением известных границ инженерно-геологических элементов.
Профиль сваи | Описание | Регистрируемый сигнал |
| Свая проектной длины, с постоянным сечением | |
| Свая проектной длины, с постоянным сечением, опирающаяся на грунты повышенной акустической жесткости | |
| Свая с постоянным сечением, длина которой не соответствует проекту | |
| Свая проектной длины, с увеличением акустического импеданса в нижней части | |
| Свая проектной длины, со снижением акустического импеданса в нижней части | |
| Свая проектной длины, со снижением акустического импеданса в верхней части | |
| Свая проектной длины, с увеличением акустического импеданса в верхней части | |
| Свая проектной длины, с локальным увеличением акустического импеданса | |
| Свая проектной длины, с локальным снижением акустического импеданса | |
| Свая проектной длины, с локальным увеличением акустического импеданса в верхней части | |
| Свая проектной длины, с локальным снижением акустического импеданса в верхней части | |
| Свая проектной длины, с локальным снижением акустического импеданса вблизи оголовка | |
| Свая проектной длины, с нерегулярным профилем | |
Примечание - Маркерами выделены проектные отметки верхнего и нижнего концов сваи.
Рисунок 3 - Типовые особенности сейсмоакустических сигналов
На полученных в результате обработки сигналах необходимо выделить отражения от нижнего конца сваи и нарушений сплошности бетона сваи (при наличии).
5.2 Контроль сплошности бетона свай и "стен в грунте" ультразвуковым методом
5.2.1 Требования настоящего подраздела распространяются на осуществление контроля сплошности бетона конструкций свай и "стен в грунте" ультразвуковым методом.
5.2.2 Контроль сплошности бетона свай и "стен в грунте" ультразвуковым методом следует осуществлять посредством анализа параметров ультразвуковых волн, получаемых при проведении измерений через предварительно установленные в теле конструкции трубы доступа, заполненные водой.
Примечания
1 Основным диагностическим параметром следует считать изменение времени первого вступления сигнала/скорости распространения сигнала.
2 Вспомогательным диагностическим параметром следует считать затухание сигнала.
5.2.3 Для проведения измерений необходимо синхронно перемещать источник и приемник по трубам доступа. Возбуждение и регистрацию ультразвуковых сигналов необходимо производить с заданным шагом
(рисунок 4).
Рисунок 4 - Схема проведения испытаний
свай ультразвуковым методом
5.2.4 Комплект оборудования для проведения контроля сплошности свай и "стен в грунте" ультразвуковым методом должен включать:
- ультразвуковые преобразователи (приемник, не менее 1 шт. и источник, не менее 1 шт.);
- электронный блок;
- устройство измерения глубины погружения ультразвуковых преобразователей (энкодер);
- набор кабелей для погружения преобразователей и передачи данных. Подробные требования к применяемому оборудованию содержатся в ГОСТ Р 71039-2023
(раздел 5).
5.2.5 Для проведения испытаний в процессе изготовления конструкции в составе арматурного каркаса должны быть установлены стальные или полимерные трубы доступа. Внутренний диаметр труб доступа должен быть достаточным для свободного перемещения по ним ультразвуковым преобразователям.
5.2.6 Подробные рекомендации по подготовке конструкции к проведению испытаний содержатся в ГОСТ Р 71039-2023
(раздел 6).
5.2.7 При отсутствии в комплекте оборудования энкодеров или выявлении проблем с их работоспособностью регистрация глубины погружения ультразвуковых датчиков должна осуществляться с помощью разметки на кабелях для погружения преобразователей.
Разметка наносится с шагом 50 мм в соответствии с ГОСТ Р 71039-2023
(пункт 7.6) и должна быть устойчивой к влаге и механическому воздействию на протяжении испытаний.
5.2.8 Методика проведения испытаний определяется согласно ГОСТ Р 71039-2023
(раздел 7).
5.2.9 Интерпретация данных осуществляется согласно методике, описанной в ГОСТ Р 71039-2023
(приложение Г).
5.2.10 Обработка данных осуществляется согласно методике, описанной в ГОСТ Р 71039-2023
(приложение Д).
5.3 Контроль сплошности бетона свай и "стен в грунте" термометрическим методом
5.3.1 Требования настоящего подраздела распространяются на осуществление контроля сплошности бетона свай и "стен в грунте" термометрическим методом.
5.3.2 Неразрушающий контроль качества бетона термометрическим методом следует осуществлять измерением температуры в процессе твердения бетона через установленные в составе арматурного каркаса конструкции трубы доступа с помощью термометрического зонда
(рисунок 5) или с применением закладных кос температурных датчиков.
Рисунок 5 - Схема проведения контроля сплошности
бетона конструкций термометрическим методом
Значения температуры, измеренной термодатчиками, необходимо передавать на персональный компьютер для дальнейшей визуализации, обработки и интерпретации.
5.3.3 Требования к установке труб доступа должны соответствовать
5.2.
Присутствие жидкостей (воды, бентонита и др.) в трубах доступа не допускается.
Во избежание попадания в полость труб доступа бурового раствора, цементного молока, грунтового материала и прочего на верхнем и нижнем концах труб должны быть установлены герметичные заглушки.
5.3.4 При планировании сроков проведения испытаний следует учитывать используемые добавки, замедляющие или ускоряющие сроки схватывания и твердения бетона в соответствии с
[1].
Срок проведения испытаний следует назначать не ранее, чем через 8 ч, но не позднее, чем через 48 ч после окончания бетонирования.
5.3.5 Время проведения испытания устанавливается программой испытаний, согласованной с заказчиком.
Полученные в результате мониторинга сведения следует использовать для планирования испытаний конструкций со сходными геометрическими размерами и свойствами бетонной смеси.
5.3.6 Термометрический зонд должен быть оснащен температурными датчиками (не менее 4 шт.), расположенными в двух взаимно перпендикулярных плоскостях, проходящих через ось зонда, откалиброван.
Поверка температурных датчиков зонда должна быть подтверждена свидетельством о поверке, выданном аккредитованной организацией.
5.3.7 Регистрацию значений температуры необходимо выполнять в процессе опускания термометрического зонда от верхнего до нижнего конца трубы доступа.
Термометрический зонд следует опускать с постоянной скоростью, не превышающей рекомендации производителя оборудования.
Измерения должны быть выполнены во всех трубах доступа, установленных в испытуемой свае в соответствии с
[3].
Допускается погрешность измерения температуры не более 1 °C.
5.3.8 Шаг записи (регистрации) значений температуры должен принимать значения от 50 до 100 мм.
Каждое зарегистрированное значение температуры должно быть соотнесено:
с глубиной опускания термометрического зонда;
объектом;
испытуемой сваей;
трубой доступа;
датой и временем.
5.3.9 Глубина опускания термометрического зонда в трубу доступа должна регистрироваться устройством измерения перемещения или соответствующими отметками на кабеле.
Пределы допускаемой абсолютной погрешности измерения перемещения должны составлять не более 5 см.
5.3.10 Электронный блок должен записывать в память прибора значения температуры и соответствующие им значения глубины опускания термометрического зонда в трубу доступа.
Дискретность индикации глубины должна составлять не более 0,05 м.
5.3.11 В процессе проведения испытаний необходимо вести журнал проведения испытаний.
Журнал проведения испытаний должен содержать:
название объекта;
обозначение фундамента;
номер испытуемой сваи;
сведения о применяемой аппаратуре;
дату и время проведения испытаний;
схему взаимного расположения, номер, длину, материал, внутренний диаметр и отметку верха труб доступа;
примечания, содержащие необходимую дополнительную информацию о свае и испытаниях.
5.3.12 Перед представлением зарегистрированных данных следует определять значение температуры в каждой точке измерения.
За среднеизмеренные значения температуры в точке измерения необходимо принимать средние арифметические показания температурных датчиков.
5.3.13 Представление зарегистрированных данных для каждой сваи следует выполнять в виде температурных профилей (графиков изменения значений среднеизмеренной температуры в свае в зависимости от глубины) для каждой трубы доступа или косы температурных датчиков.
5.3.14 Для каждой сваи следует выполнять расчет среднего температурного профиля.
За значение температуры среднего температурного профиля сваи на каждой отметке погружения термометрического зонда следует принимать среднее арифметическое значение для профилей, зарегистрированных во всех трубах доступа.
5.3.15 В верхней и нижней частях сваи, на участках длиной около 1 диаметра сваи, вводят поправку на снижение значений температуры, связанного с рассеиванием тепла в радиальном и продольном направлениях. Измеренная кривая Tmeasured(z) аппроксимируется функцией Tfit(z)

(3)
где
для верхней части температурного профиля:
Tmax - среднее значение температуры на ближайшем к области ввода поправок участке температурного профиля, на котором значения температуры изменяются незначительно, °C;
Tmin - значение температуры, выбираемое таким образом, чтобы точка перегиба функции Tfit(z) была близка к температуре воздуха на момент измерений, °C;
z - отметка верха бетона сваи, м;
| | ИС МЕГАНОРМ: примечание. Обозначения даны в соответствии с официальным текстом документа. | |

- "временной" параметр, м;
для нижней части температурного профиля:
Tmax - среднее значение температуры на ближайшем к области ввода поправок участке температурного профиля, на котором значения температуры изменяются незначительно, °C;
Tmin - температура вмещающих грунтов (по справочным данным), °C;
z0 - отметка нижнего конца сваи, м.
5.3.16 Поправку в зарегистрированные в верхней и нижней части сваи значения температуры следует вводить по формуле

(4)
где Tcor - значения температуры с введенными поправками, °C.
5.3.17 Для пересчета зарегистрированных в свае значений температуры в значения эффективного радиуса следует использовать один из двух методов перерасчета:
- пересчет на основании одной калибровочной точки;
- пересчет на основании нескольких калибровочных точек.
5.3.18 Интерпретация результатов должна включать три этапа работ:
1) анализ отклонения температурных профилей, зарегистрированных в диаметрально противоположных трубах доступа, от средних значений с целью выявления смещения или наклона арматурного каркаса сваи относительно оси сваи;
2) выделение локальных отклонений значений температуры от нормы и анализ выявленных аномалий с привлечением дополнительной информации для каждого профиля;
3) анализ графиков изменения эффективного радиуса в зависимости от глубины, полученных в результате пересчета значений температуры в значения эффективного радиуса.
5.3.19 Интерпретация данных должна включать:
анализ температурных профилей: выделение локальных аномалий температуры;
анализ графиков изменения эффективного радиуса сваи в зависимости от глубины.
5.3.20 Если в результате совместного анализа характерных особенностей температурных профилей с имеющимися данными об инженерно-геологических условиях температурная аномалия интерпретируется в качестве изменения температуропроводности вмещающей среды в температурные профили на данном участке, допустимо ввести поправки.
6 Методы определения контроля качества ограждений котлованов и массивов из грунтоцементных свай
6.1 Контроль качества грунтоцементных свай и колонн методом сейсмоакустического каротажа
6.1.1 Требования настоящего подраздела распространяются на осуществление контроля качества грунтоцементных свай и колонн методом сейсмоакустического каротажа.
6.1.2 Обследование ГЦС и колонн методом сейсмоакустического каротажа следует осуществлять посредством возбуждения упругих волн в заполненной водой скважине в теле сваи и регистрацией приемником колебаний волн разных типов, распространяющихся по жидкости, внутренней поверхности ствола скважины, телу сваи и окружающему сваю грунту
(рисунок 6). Скорости распространения этих волн, их динамические характеристики и спектральный состав несут информацию о геометрии и упругих параметрах тела сваи.
а) потенциальный каротаж; б) дифференциальный каротаж;
в) межскважинное просвечивание; 1 - источник колебаний;
2 - приемник колебаний; 3 - направление перемещения
датчиков; 4 - траектории распространения упругих волн;
5 - скважина; 6 - грунтоцемент
Рисунок 6 - Системы наблюдений при сейсмоакустическом
контроле качества грунтоцементных свай и массивов
6.1.3 В теле ГЦС распространяется два типа волн: объемная продольная волна и гидроволна
(рисунок 7).
Рисунок 7 - Волновая картина с выраженными
годографами продольной волны и гидроволны
при сейсмоакустическом обследовании ГЦС
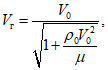
6.1.4 Интервальные скорости распространения продольной объемной волны Vp и гидроволны Vг рассчитываются по временам пробега волн при известных взаимных расположениях источника и приемника колебаний и траекториях пробега волн.
Скорость гидроволны определяют по формуле

(5)
где

- плотность жидкости, кг/м
3;
V0 - скорость звука в жидкости, м/с;

- модуль сдвига материала околоскважинного пространства, Н/м
2.
Через определенное при анализе волновой картины значение Vг дается оценка скорости поперечных волн Vs использованием формулы Уайта

(6)
где

- плотность материала грунтоцементной сваи (определяется по результатам лабораторных испытаний), кг/м
3.
6.1.5 Переход от определенных значений скоростей упругих волн и плотности материала к пределу прочности материала

следует осуществлять по корреляционным зависимостям, полученным в результате сопоставлений с прямыми определениями предела прочности по образцам керна, проведенных в соответствии с
ГОСТ 10180 или
ГОСТ 28570.
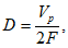
6.1.6 По спектральным характеристикам зарегистрированных волн и значениям их скоростей определяют времена прихода колебаний, дошедших от источника до границы между телом сваи и грунтом, на этом основании следует рассчитывать эффективный диаметр сваи D

(7)
где F - частота максимума модуля спектра, Гц.
6.1.7 Контроль качества одиночной ГЦС выполняют в три этапа:
- первый цикл наблюдений следует выполнять по методике "потенциального каротажа" (
рисунок 6, а): один из датчиков (источник или приемник) необходимо располагать неподвижно на забое скважины, в то время как второй (приемник или источник, соответственно) следует перемещать по стволу скважины с заданным шагом, не превышающим 0,5 м, до устья скважины;
- второй цикл наблюдений следует выполнять по методике "дифференциального каротажа" (
рисунок 6, б): источник и приемник необходимо фиксировать на постоянной базе, не более 1,0 м, и совместно перемещать снизу вверх по стволу скважины с шагом не более 0,5 м;
- третий цикл наблюдений также следует выполнять по методике "дифференциального каротажа" на увеличенной до 2,0 м базе между источником и приемником. Шаг между точками наблюдения составляет не более 0,5 м.
6.1.8 Сроки проведения испытаний назначают после набора прочности грунтоцементом, но не ранее чем через 14 сут от сооружения конструкции.
6.1.9 При подготовке к проведению испытаний для осуществления доступа к внутренним точкам ГЦС следует изготавливать измерительные скважины диаметром не менее 80 мм.
Расположение измерительных скважин необходимо назначать максимально близко к положению лидерной скважины, использованной при изготовлении ГЦС.
Забой измерительной скважины следует располагать ниже проектного конца сваи.
Перед проведением испытаний скважины должны быть заполнены водой.
6.1.10 При отборе керна из скважины, в случае выделения интервалов с включением несвязных грунтов, следует выполнять обсадку скважины для предотвращения обрушения ее стенок.
В качестве обсадки скважины следует применять полимерные трубы доступа.
Диаметр обсадной трубы следует назначать в зависимости от диаметра применяемого оборудования и диаметра скважины исходя из необходимости обеспечения плотного контакта трубы доступа и грунтоцементного массива.
6.1.11 Оборудование для сейсмоакустического каротажа состоит из аппаратурного комплекса, включающего в себя:
излучатель (электроискровой источник, "спаркер") для возбуждения сигнала;
скважинный зонд для приема сигнала;
регистратор и персональный компьютер для регистрации данных.
6.1.12 В качестве излучателя следует использовать контейнер, заполненный соленой водой с разрядными электродами. Располагать контейнер следует на конце токоведущей магистрали - коаксиального высоковольтного кабеля. При этом при размещении контейнера должно быть предусмотрено его свободное перемещение по стволу скважины.
Токоведущую магистраль следует подключать к блоку возбуждения (накопительному блоку), включающему в себя:
накопительные конденсаторы;
схему заряда;
высоковольтный коммутатор;
схему управления и синхронизации с приемно-регистрирующей аппаратурой.
Допускается использование в качестве источника питания установки бытовой электросети 220 В/50 Гц.
Потребляемая мощность зависит от величины накопленной электрической энергии и числа циклов "заряд - разряд" в единицу времени.
Необходимая электрическая энергия "разряда" для работы в скважинах глубиной до 50 м не должна превышать 150 Дж. При одном цикле в секунду потребляемая мощность не должна превышать 150 Вт.
6.1.13 Прием упругих волн давления следует осуществлять с помощью зонда диаметром не более 40 мм и длиной не более 0,5 м на один канал, содержащего внутри пьезоприемники (гидрофоны).
Зонд следует размещать на конце многожильного экранированного кабеля, соединяющего приемники с регистрирующей аппаратурой.
6.1.14 Регистрацию данных следует осуществлять с помощью регистратора на базе стандартного аналого-цифрового преобразователя, аналогового усилителя, в комплект которого должен входить персональный компьютер, позволяющий сохранять регистрируемые данные и выполнять визуальный контроль качества регистрируемых данных.
6.1.15 Обработка данных должна включать следующие процедуры:
редакцию записанных трасс, контроль качества и монтажа итоговых сейсмограмм в координатах "время - глубина" для всего ствола скважины;
кинематическую обработку сейсмограмм с построением годографов волн двух типов - объемных продольных волн и гидроволн. Определение интервальных скоростей распространения волн Vp и Vг. Фиксацию глубин образования вторичных волн обоих типов на возможных неоднородностях сваи;
расчет скоростей распространения поперечных волн
Vs по
формуле (6). Построение скоростной модели разреза по значениям
Vp и
Vs;
расчет динамического модуля сдвига

околоскважинного пространства по
формуле (5). Расчет предела прочности на одноосное сжатие

использованием корреляционных зависимостей;
спектральный анализ волн двух типов. Выбор окон расчета спектров продольной и гидроволны. Построение модулей спектров для двух типов волн вдоль ствола скважины. Определение эффективного диаметра сваи осуществляют по
формуле (7);
другие средства обработки, при необходимости. При этом следует продемонстрировать результат добавленных процедур в техническом отчете, обосновать выбор дополнительных процедур.
6.1.16 При интерпретации результатов потенциального каротажа по выделенным годографам продольных волн и гидроволн следует определять скорости распространения продольных волн, гидроволн и поперечных волн с различными окнами осреднения (по 3 или 5 точкам измерения) от шага между положениями приемников до интервала исследований.
6.1.17 При интерпретации результатов дифференциального каротажа необходимо выделять интервалы резких изменений скорости распространения продольных волн и гидроволн, а также анализировать спектры колебаний для определения эффективного диаметра скважины в зависимости от глубины.
6.1.18 Отклонения всех параметров более чем на два стандартных отклонения от медианных значений по стволу измерительной скважины необходимо интерпретировать как аномально-дефектные участки ГЦС.
6.2 Контроль качества грунтоцементных массивов методом межскважинного сейсмоакустического просвечивания
6.2.1 Требования настоящего подраздела распространяются на осуществление контроля качества грунтоцементных массивов для оценки степени однородности и физико-механических характеристик грунтоцементного массива методом межскважинного сейсмоакустического просвечивания (МСП).
6.2.2 Просвечивание между скважинами следует осуществлять по схеме томографической съемки (для каждого положения точки возбуждения должны быть использованы все положения точки приема).
Распределение скорости распространения сейсмических волн в пределах массива закрепленных грунтов в межскважинном пространстве следует определять при помощи алгоритма сейсмической кинематической томографии.
6.2.3 Построение начальной модели необходимо осуществлять на основании результатов потенциального каротажа скважин, участвующих в МСП.
Вопрос о количестве накоплений при неизменном положении источника и приемника решается в зависимости от уровня механических шумов во время производства сейсмоакустических работ.
6.2.4 При подготовке к проведению испытаний необходимо в грунтоцементном массиве пробурить контрольные скважины внутренним диаметром не менее 80 мм и заполнить их водой.
Количество и расположение контрольных скважин определяют программой испытаний с учетом требований
СП 45.13330,
СП 120.13330.
6.2.5 В случае использования скважинных источников поперечных волн выбор межскважинного расстояния определяют с учетом эффективной дальности возбуждения полезного сигнала для данного типа источника, устанавливаемой по согласованию с производителем оборудования.
Требования к аппаратуре для проведения сейсмоакустического каротажа приведены в
6.1.
6.2.6 Обработка данных должна включать в себя следующие операции:
монтаж записанных трасс в сейсмограммы ОПВ, визуальный контроль качества;
пикировку первых вступлений волн для всех положений источников и приемников в двух скважинах в двухмерном варианте и всех, участвующих в обследовании грунтоцементного массива, в варианте трехмерной томографии;
составление входных массивов для программы томографического обращения {Xи; Yи; Zи; Xп; Yп; Zп; t} - координаты источника, координаты приемника и время пробега волны от источника к приемнику;
составление матрицы начальной модели скоростного строения межскважинного пространства с использованием результатов потенциального каротажа для скважин, участвующих в просвечивании, и результатов расчета средних скоростей распространения по лучам для равных глубин расположения источников и приемников;
расчет двух- или трехмерной сетки для модели скоростного строения разреза или куба;
построение скоростной модели двухмерного разреза или трехмерного грунтоцементного массива по значениям скорости распространения продольных волн Vp и, при выполнении специальных наблюдений, по значениям скорости распространения поперечных волн Vs;
расчет предела прочности на одноосное сжатие с использованием корреляционных зависимостей и пересчет разреза или куба скоростей в разрез или куб значений предела прочности на одноосное сжатие;
анализ степени однородности грунтоцементного массива согласно статистическим и пространственным критериям;
другие средства обработки, при необходимости. При этом следует продемонстрировать результат дополнительных процедур в техническом отчете, обосновать выбор дополнительных процедур.
6.2.7 Интерпретация результатов МСП должна включать следующие этапы работ:
1) выделение аномальных значений скорости продольных волн в межскважинном пространстве по следующим признакам:
- отклонению значения скорости от медианного (на два и более стандартных отклонения);
- статистической оценке интенсивности и геометрических размеров (площади на разрезе) выделенных аномалий;
2) выделение аномалий отклонения предела прочности на одноосное сжатие по абсолютным значениям от медианного из определенных и от проектного значения;
3) сопоставление сейсмоакустических данных с данными лабораторных определений по кернам, извлеченным из измерительных скважин.
6.3 Опытно-методические работы
При контроле качества ограждений котлованов и массивов из грунтоцементных свай по согласованию с заказчиком допускается проведение опытно-методических работ с целью: разработки и корректировки методики основных измерений, оценки их стоимости. Также возможна оценка качества обследования путем проведения измерений совместно с другими методами контроля (разрушающими, альтернативными геофизическими, прямыми измерениями).
7 Методы контроля качества фундаментных плит и обделки тоннелей
7.1 Контроль качества фундаментных плит и обделки тоннелей импакт-эхо методом
7.1.1 Требования настоящего подраздела распространяются на осуществление контроля качества фундаментных плит и обделки тоннелей с применением импакт-эхо метода для оценки их интегральных характеристик обделки (толщина или скорость продольной волны в бетоне) и описания состояния контакта "конструкция - грунт".
7.1.2 Контроль качества фундаментных плит и обделки тоннелей импакт-эхо методом следует осуществлять путем создания стоячих волн в обделке тоннеля в результате отражения волны от верхней и нижней поверхностей конструкции
(рисунок 8), при помощи инициации свободных затухающих колебаний от механического удара. Верхнюю границу спектра ударного импульса определяют длительностью удара, которая зависит от массы ударного источника, механических свойств ударного источника и испытуемой конструкции.
Рисунок 8 - Принципиальная схема импакт-эхо метода
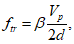
7.1.3 Частоту резонанса ftr следует определять по формуле

(8)
где Vp - скорость продольной волны в бетонной обделке или плите, м/с;
d - толщина плиты/обделки, м;

- коэффициент для материала конструкции (железобетона).
7.1.4 Для возбуждения сигнала следует использовать латунные и металлические молотки или сферические ударные источники с весом бойка менее 100 г.
Сбор данных необходимо осуществлять с четырех взаимно противоположных сторон от точки регистрации сигнала при нанесении серии ударов на удалении не более 0,1 м.
7.1.5 В процессе проведения работ следует вести полевой журнал и фиксировать: номера файлов, содержащих волновые формы; особенности геометрии сооружения; значения пикетажных табличек; значения расстояния от точки проведения измерений до пикетажной таблички или другой опорной точки; описание факторов, способных повлиять на результат измерений.
7.1.6 При использовании комплекта оборудования с двумя регистрирующими датчиками, оценку скорости продольных волн
Vp для использования в
формуле (8) следует проводить в соответствии с
[4] и по схеме измерений:
регистрирующие каналы располагать на расстоянии 30 - 50 см на фиксированной базе измерений;
ударным источником производить серию ударов в точке, находящейся на одной оси с установленными регистрирующими каналами;
определять интервальную скорость продольной волны по разнице времен прихода сигнала, для каждой точки определения скорости проводить два измерения с перпендикулярной ориентацией датчиков.
7.1.7 Перед началом испытаний плиты или обделки необходимо выполнить визуальный осмотр объекта и сбор данных о его техническом состоянии; оценить состояние поверхности, доступность объекта для обследования, выделить участки, требующие детального обследования. По результатам анализа имеющейся информации должна быть составлена программа испытаний.
7.1.8 Перед установкой датчика на точку наблюдения ее необходимо очистить от грунта, пыли, жидкости, льда и других посторонних материалов.
Должен быть обеспечен плотный контакт датчика с поверхностью объекта исследования. Для этого необходимо выбрать гладкую поверхность без выбоин и очистить поверхность от мелкого мусора.
7.1.9 Применяемое оборудование должно удовлетворять требованиям
5.1.11 -
5.1.12.
7.1.10 Ударный элемент должен иметь сферическую форму или сферический наконечник, а также иметь возможность передавать достаточную энергию для получения амплитудного спектра с одним преобладающим пиком. Продолжительность удара
ts должна быть меньше, чем ожидаемое время прохождения продольной волны туда и обратно, то есть:

[4].
7.1.11 Регистрирующий датчик должен иметь частотную характеристику, позволяющую без потерь регистрировать колебания в диапазоне 1 - 20 кГц.
7.1.12 Обработка данных должна включать:
просмотр полевых материалов и отбраковку некачественных данных;
предварительную обработку данных для увеличения соотношения сигнал/шум;
мультипликативную обработку данных. Для подавления вторичных резонансных пиков и выделения основного резонанса необходимо выполнять мультипликативную обработку данных, заключающуюся в перемножении спектров сигналов, полученных для одной точки наблюдения с изменением взаимного положения источника и приемника;
построение карт атрибутов мультипликативных спектров сигнала: частоты толщинного резонанса ftr; толщины плиты d/скорости продольной волны Vp;
другие средства обработки, при необходимости. При этом следует продемонстрировать результат дополнительных процедур в техническом отчете, обосновать выбор дополнительных процедур.
7.1.13 Интерпретация результатов носит качественный характер и заключается в разделении зон нормального и нарушенного состояния материала и локализации зон нарушения контакта "конструкция - грунт".
В качестве основы сравнительной методики интерпретации допустимо использовать отношение значения атрибута в данной точке к его медианному значению, вычисленному по внеаномальному (вне нарушения) набору данных.
7.2 Контроль качества фундаментных плит и обделки тоннелей методом анализа отклика (виброакустическим методом)
7.2.1 Требования настоящего подраздела распространяются на осуществление контроля качества фундаментных плит и обделки тоннелей с применением метода анализа отклика (виброакустического метода) для обнаружения крупных нарушений контакта монолитных плит с грунтом основания.
7.2.2 Обследование фундаментных плит следует осуществлять по сети наблюдений, в которой расстояние между соседними точками в плане не превышает 4 м.
Оптимальным для решения задачи оценки контактных условий является шаг 2 - 4 м между соседними точками акустических наблюдений.
7.2.3 Обследование тоннельной обделки следует осуществлять с шагом между сечениями: для тоннелей диаметром менее 6 м - не более 5 колец обделки, диаметром более 6 м - не более 3 колец обделки.
Точки возбуждения и регистрации данных следует равномерно распределять по внутренней поверхности выбранного для обследования сегмента обделки.
7.2.4 В случае применения анализа отклика для поиска неоднородностей бетона конструкции шаг между соседними точками измерения вдоль оси обследуемого тоннеля должен составлять не более 2 м.
Для получения статистически достоверной выборки атрибутов отклика общее количество точек наблюдения для обследуемой конструкции должно составить не менее 200.
7.2.5 Для возбуждения колебаний фундаментных плит и обделки следует использовать резиновые киянки, металлические молотки и молотки из твердого пластика с весом бойка более 400 г.
7.2.6 В каждой точке акустических наблюдений необходимо производить серию ударов (не менее 4) в разных точках вблизи расположения приемного датчика, на удалении 10 - 30 см от точки его установки, для снижения влияния габаритных и структурных резонансов, возникающих в конструкции.
Результаты измерений усредняются.
7.2.7 При использовании ударного источника без датчика силы работы следует выполнять согласно методике анализа атрибутов нормированного сигнала, позволяющей охарактеризовать характер поглощения энергии при помощи определения атрибутов энергии нормированного сигнала En, площади нормированного спектра Sn средневзвешенной частоты fs, определяемых в соответствии с формулами:

(9)

(10)

(11)
где A0(t) - значение нормированного сигнала в момент времени t усл. ед.;
t = 0, ... T, где T - длительность сигнала, мс;

, где

- частота дискретизации;
n - количество отсчетов в спектре;
i = 1, 2 ... n, S0(i) - значение нормированного спектра в i-й точке;
f(i) - значение частоты в i-й точке.
7.2.8 При использовании в качестве ударного источника молотка с датчиком силы исследование необходимо выполнять в соответствии с методикой расчета кривой мобильности для каждой из точек обследования согласно
[5].
В качестве параметра, характеризующего взаимодействие конструкции с грунтом, следует использовать мобильность M(f) (mobility, "спектр механического адмиттанса")
S(f) = M(f)·F(f), (12)
где S(f) - спектр зарегистрированного сигнала;
F(f) - спектр силовой характеристики ударного импульса, записанный датчиком, установленным на молотке.
7.2.9 В соответствии с
[5] основными анализируемыми атрибутами для кривой мобильности необходимо считать:
- среднее значение мобильности в частотном диапазоне 100 - 800 Гц Mav;
- угол наклона кривой мобильности в полосе частот 0 - 40 Гц, "динамическая жесткость" Kd;
- угол наклона линии тренда (линейной регрессии) для кривой мобильности в частотном диапазоне 100 - 800 Гц Mp/N;
- отношение пикового значения кривой мобильности в полосе частот 0 - 100 Гц к Mav, "индекс пустот".
7.2.10 Подготовку точек конструкции к проведению испытаний необходимо осуществлять, руководствуясь требованиями, изложенными в
7.1.
7.2.11 Применяемое оборудование должно соответствовать требованиям, изложенным в
5.1.
Примечание - Оборудование, применяемое для сейсмоакустического обследования свайных фундаментов и "стен в грунте", может быть использовано для выполнения работ методом анализа отклика.
7.2.12 Для визуального контроля качества зарегистрированных данных непосредственно в процессе проведения испытаний необходимо наличие у используемого оборудования функции просмотра спектра регистрируемых сигналов.
7.2.13 Обработка данных включает в себя:
просмотр полевых материалов и отбраковку некачественных данных;
предварительную обработку данных, реализуемую рядом процедур, призванных улучшить качество данных и увеличить соотношение сигнал/шум: группировку сигналов; удаление постоянной составляющей; пространственную фильтрацию; расчет и нормировку спектров для каждого сигнала;
построение карт атрибутов: энергии сигнала; максимального абсолютного значения амплитуды; добротности/Q-фактора; частоты, соответствующей максимальной амплитуде (fAmax);
другие средства обработки, при необходимости. При этом следует продемонстрировать результат дополнительных процедур в техническом отчете, обосновать выбор дополнительных процедур.
7.2.14 При выполнении анализа атрибутов нормированного отклика, в качестве основных расчетных параметров следует принимать: энергию нормированного сигнала; площадь нормированного спектра; средневзвешенную частоту.
При выполнении анализа кривой мобильности необходимо рассчитывать параметры, указанные в
7.2.9.
7.2.15 В качестве основы сравнительной методики интерпретации допускается принимать отношение значения атрибута в данной точке измерений Ai к нормальному (медианному) значению данного атрибута Aim для исследуемого участка конструкции.
7.2.16 При анализе нормированного отклика следует использовать атрибуты энергии нормированного сигнала, площади нормированного спектра и средневзвешенной частоты.
Примечание - Резкое возрастание энергии нормированного сигнала и одновременное уменьшение атрибутов средневзвешенной частоты и площади нормированного спектра свидетельствует о нарушенном контакте:
Ena < Enb, Sna > Snb, fsa > fsb, (13)
где a - хороший контакт;
b - плохой контакт соответственно.
7.2.17 При анализе атрибутов кривой мобильности следует учитывать их связь со следующими параметрами системы "конструкция - грунт":
1) среднее значение мобильности Mav;
2) "динамическую жесткость" Kd;
3) угол наклона линии тренда Mp/N;
4) "индекс пустот".
7.2.18 Для выделения аномальных точек наблюдения с возможным нарушением контактных условий следует проводить оценку отклонений значений атрибута энергии сигнала от среднего (или медианного) их значения с помощью дополнительных исследований. В качестве таких исследований могут выступать:
1) Получение выборок значений атрибутов на объекте контроля в местах, где качество контакта известно по прямым исследованиям. Методика таких работ должна включать:
а) получение выборок значений атрибутов;
б) оценку отклонения среднего (или медианного) значения выборок, полученных в местах частичного (ослабленного) контакта и нарушенного контакта от среднего (или медианного) значения, полученного в местах плотного контакта;
в) использование этих оценок на всем объекте контроля.
2) Получение подобных выборок на физической модели, для которой качество контакта задано на стадии создания модели.
Для атрибута энергии сигнала следует применять "эмпирический критерий".
Если абсолютное значение рассчитанного атрибута отклика превышает медианные значения по выборке в 2 - 3 раза, данные по точке наблюдения необходимо проанализировать во временной и частотной областях "вручную".
7.3 Контроль качества фундаментных плит и обделки тоннелей методом георадарного профилирования
7.3.1 Требования настоящего подраздела распространяются на осуществление контроля качества фундаментных плит и обделки тоннелей методом георадарного профилирования для определения наличия дефектов в бетоне, обводненных участков грунта за бетонной обделкой, оценки стояния контакта "конструкция - грунт", а также проверки наличия и геометрии армирования с помощью передачи излучающей антенной электромагнитного импульса с последующей регистрацией откликов с помощью приемной антенны.
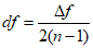
7.3.2 Разрешающую способность георадиолокационного профилирования по вертикали (глубине) следует определять как минимальное расстояние между отражающими поверхностями, при котором их можно наблюдать как две отражающие границы и составляющее не менее 1/4 длины волны
.
Горизонтальную разрешающую способность (размер первой зоны Френеля) необходимо определять исходя из необходимости разделения объектов по горизонтали на глубине
h на расстояние не менее диаметра эффективной области отражения:
.
7.3.3 Центральную частоту антенны следует выбирать исходя из требуемой глубинности исследований (толщины обделки и предполагаемой мощности зоны цементации), требуемой разрешающей способности или размеров обследуемого объекта, шага армирования.
7.3.4 Для улучшения соотношения сигнал/шум необходимо использовать накопление сигналов. При этом следует учитывать, что накопление сигнала неэффективно для когерентных помех, таких как аппаратурный шум или воздушные отражения.
Число накоплений необходимо выбирать исходя из аппаратурных особенностей применяемого георадара и с учетом необходимости снижения числа накоплений одновременно с сохранением высокого соотношения сигнал/помеха.
7.3.5 При картировании протяженных границ (граница "конструкция - грунт" или "тампонаж - грунт") необходимо прокладывать профили от скважины или шурфа в направлении другой скважины или шурфа или иных опорных пунктов определения параметров исследуемого разреза.
При поиске и картировании протяженных объектов, длина которых намного больше поперечных размеров, профили располагаются перпендикулярно к объекту.
7.3.6 При поиске и картировании изометричных в плане локальных объектов следует проектировать ряд параллельных профилей, покрывающий обследуемую площадь.
При поиске аномальных зон, отличающихся от вмещающей среды по своим физическим или электромагнитным свойствам, длину профилей следует выбирать так, чтобы они начинались и заканчивались на участке с типичным разрезом, соответствующем ненарушенному состоянию, при этом пересекая аномальную зону.
7.3.7 Перед началом испытаний конструкции необходимо провести визуальный осмотр объекта и сбор данных о его техническом состоянии. По результатам анализа имеющейся информации должна быть составлена программа испытаний.
7.3.8 Распределение профилей наблюдения вкрест сечения тоннеля следует выбирать исходя из необходимости перемещения антенного блока георадара вдоль обследуемой конструкции.
При включении в зону обследования верхней части тоннелей необходимо применение антенны, оснащенной досылочной штангой, или использование передвижных лесов или подъемников.
7.3.9 При проектировании измерительной сети (минимального расстояния между профилями, расстояния между трассами на профиле) следует ориентироваться на размеры первой зоны Френеля для целевой глубины (см.
7.3.2). В этом случае расстояние между профилями следует назначать таким образом, чтобы первые зоны Френеля на целевой глубине пересекались не более чем на 50% (по площади).
Расстояние между трассами на профиле следует выбирать из расчета пересечения первых зон Френеля не более чем на 80 - 90%.
7.3.10 При использовании высокочастотных антенн, работающих в отрыве от поверхности, допускается измерение с движущегося средства.
7.3.11 При обследовании обделки тоннелей следует проводить измерения в непосредственной близости от тоннелепроходческого комплекса согласно СП 122.13330.2023
(пункт 5.7.3.8).
7.3.12 Георадар, применяемый при исследовании, должен состоять из: устройства синхронизации; блока питания; генератора сигналов; антенны (одной или нескольких); аналого-цифрового преобразователя и устройства управления; регистрации и визуализации принятых сигналов.
7.3.13 Антенный блок георадара должен быть оснащен датчиком перемещения или иным устройством, позволяющим осуществить точную привязку профилей измерения к участку обследования и отмечать определенные события на радарограмме.
7.3.14 Для осуществления анализа данных в поле и своевременного внесения исправлений в параметры регистрации сигналов (развертка, усиление, количество накоплений) необходимо предусматривать возможность визуализации результатов измерений непосредственно на площадке обследования.
7.3.15 В состав электронного блока управления, регистрации и визуализации должны входить цифровой компьютер или микропроцессорное устройство; графический дисплей; устройство для хранения результатов измерений.
Оборудование должно позволять передавать зарегистрированные данные на устройство постоянного хранения информации.
При этом программное обеспечение оборудования должно иметь функцию экспорта зарегистрированных сигналов в распространенные форматы хранения текстовых или геофизических данных для их последующей обработки.
7.3.16 Обработка данных включает следующие процедуры:
коррекцию шкалы времен, длины профиля;
задание параметров визуализации данных (подбор цветовой схемы кодирования уровней амплитуд),
задание параметров регулировки усиления (для получения записи, контрастной по всей временной развертке);
подавление горизонтальных осей синфазности;
полосовую фильтрацию (улучшение соотношения сигнал - шум);
дополнительные процедуры обработки сигналов: подбор профиля усиления; преобразование Гильберта; различные виды фильтрации в скользящих окнах (нерезкое маскирование, сглаживание средним).
При этом следует продемонстрировать результаты процедур обработки в техническом отчете, обосновать выбор процедур обработки.
7.3.17 Для получения информации о глубине положения границ и/или объектов необходимо определять скорость распространения электромагнитных волн в исследуемой среде одним из следующих способов:
определением значений диэлектрической проницаемости материала по табличным данным;
определением скорости волны в среде по гиперболам дифракции от объектов с известной глубиной залегания;
георадиолокационным зондированием с изменением расстояния между источником и приемником;
определением значений диэлектрической проницаемости материала по заранее известному расстоянию от точки излучения сигнала до отражающей границы (фиксированному расстоянию между скважинами или известной толщине конструкции).
7.3.18 Зондирование необходимо проводить в случае, если определение глубины границ с заданной точностью другими способами невозможно:
отсутствие объектов дифракции в разрезе;
недостаточное количество точек прямых наблюдений;
большой горизонтальный градиент влажности.
7.3.19 Атрибутный анализ следует применять с целью увеличения достоверности принимаемого решения, а также для упрощения интерпретации данных при выделении аномальных участков повышенной влажности, областей разуплотнения, пустот под бетонными конструкциями.
Атрибутный анализ георадиолокационных данных подразумевает использование различных характеристик, вычисляемых при обработке георадиолокационных сигналов (трасс).
В качестве атрибутов следует использовать: энергию сигнала; максимум амплитуды сигнала; Q-фактор; эффективную ширину спектра; частоту спектрального максимума; средневзвешенную частоту; коэффициент корреляции между ансамблями соседних трасс и пр. Атрибуты могут представлять собой несколько уровней обработки сигналов, примером такого атрибута может послужить эксцентриситет закона распределения значений амплитуд трассы или группы трасс.
При вычислении атрибута допустимо использовать несколько уровней обработки сигналов:
предварительную обработку сигнала (вычисление спектра, нормировку спектра, цензурирование значений амплитуд и пр.);
параметризацию особенностей вычисления самого атрибута (примером может послужить уровень, на котором необходимо брать ширину полосы для Q-фактора);
постобработку атрибута (сглаживание, осреднение, нормирование и пр.).
Выбор типа атрибута, количества анализируемых атрибутов, параметров предварительной и последующей обработки необходимо настраивать на эталонных участках (примером может послужить: эталон 1 - ситуация с подтвержденным нарушением, эталон 2 - ситуация с подтвержденным отсутствием нарушения). Подтверждение статуса эталона (присутствие\отсутствие) проводят:
по участкам, где нарушение контролируется визуально;
по прямым исследованиям;
по впоследствии (после измерений) вскрытым участкам;
для случаев, когда вскрытие невозможно - по другому методу, обладающему большей достоверностью, но не способному заместить используемый метод из-за низкой производительности контроля и высокой трудоемкости и стоимости его реализации.
Полученные значения атрибута A следует отстраивать как функции от длины профиля L. Подобный подход подразумевает независимый анализ функций Ai(L), т.е. "один атрибут - одна функция". В случае площадной съемки (объект снимается множеством параллельных профилей) значения атрибутов следует отстраивать как карты Ai(x, y), также анализируя их отдельно по принципу "один атрибут - одна карта".
В случае неэффективности этих подходов следует применять объединение атрибутов в комплексы.
7.3.20 Для выявления областей неплотного контакта на границе "обделка - вмещающий массив" в соответствии с требованиями
СП 120.13330, получения сведений о состоянии армирования конструкций и наличии внутренних неоднородностей материала на радарограммах следует выделять ось синфазности, соответствующую контакту "конструкция - грунт" в соответствии с требованиями
СП 22.13330, а также гиперболы дифракции, соответствующие арматурной сетке.
7.3.21 Допускается считать неплотным контакт "конструкция - грунт" в случае проявления следующих показателей:
существенных изменений амплитуд сигнала на оси синфазности, соответствующей контакту "конструкция - грунт", указывающих на изменение коэффициента отражения;
заметных изменений в волновой картине (появление хаотической волновой картины);
появление в волновой картине "звона", начинающегося от границы системы "обделка - вмещающий массив", а также связанных с ним повышенных значений энергии, локализуемых после применения амплитудного преобразования Гильберта.
7.4 Опытно-методические работы
При контроле качества фундаментных плит и обделки тоннелей по согласованию с заказчиком допускается проведение опытно-методических работ с целью разработки и корректировки методики основных измерений; оценки их стоимости; контроля качества измерений.
(рекомендуемое)
ВОЗМОЖНОСТИ И ОГРАНИЧЕНИЯ МЕТОДОВ
А.1 Сейсмоакустический метод контроля длины и сплошности свай:
А.1.1 Метод позволяет обнаруживать и локализовывать по глубине значительные неоднородности ствола сваи, резкие изменения поперечного сечения сваи, а также включения инородного материала в бетоне.
А.1.2 В случае повышенных значений акустической жесткости вмещающей среды (скальные грунты, плотные глины и др.) и/или повышенных значений отношения длина/диаметр испытуемой сваи не всегда возможно выделение отражения от нижнего конца сваи и контроль сплошности сваи.
А.1.3 Метод не позволяет:
контролировать длину и сплошность свай с ненормируемыми по размерам сечения и материалу характеристиками (свай-РИТ; CFA-свай в неоднородных грунтах; грунтоцементных свай);
определить сплошность сваи ниже первой значительной акустической аномалии;
обнаружить нарушения сплошности у нижнего конца сваи (на участке в пределах ~ 10% от длины сваи);
определить геометрические размеры и физические свойства нарушений сплошности и сделать вывод о природе выявленных нарушений сплошности.
Примечание - Метод может быть применен для обследования конструкций указанного типа при соответствующем обосновании в программе работ.
А.2 Ультразвуковой метод контроля сплошности свай и стен в грунте:
А.2.1 Метод позволяет:
контролировать сплошность бетона конструкций любой длины от нижней отметки труб доступа до верхней отметки бетона конструкции;
производить оценку геометрических размеров и физических свойств выявленных нарушений сплошности бетона при использовании дополнительных исследований по методике межскважинной ультразвуковой томографии;
производить приблизительную оценку прочности бетона конструкции при условии ввода поправок в измеряемую скорость прохождения волны и проведения дополнительных измерений для локализации зон нарушения сплошности.
А.2.2 Метод не позволяет:
сделать вывод о сплошности бетона конструкции за пределами плоскостей между осями труб доступа, в том числе вывод о сплошности защитного слоя бетона;
сделать вывод о природе выявленных нарушений сплошности.
А.2.3 Метод не предназначен для контроля сплошности бетона свай диаметром менее 500 мм.
А.3 Термометрический метод контроля сплошности свай и стен в грунте
А.3.1 Метод позволяет:
проводить контроль сплошности бетона и осуществлять приемку конструкции в минимальные сроки после ее изготовления;
обнаружить изменения поперечного сечения конструкции, включения бетона с нарушенным составом или инородного материала как внутри, так и снаружи арматурного каркаса;
локализовать по глубине нарушения сплошности бетона конструкции, проводить оценку их расположения и геометрических размеров;
обнаружить смещение или наклон арматурного каркаса относительно оси конструкции;
- проводить оценку эффективного радиуса при испытании свай;
- контролировать сплошность длинных свай небольшого диаметра (менее 500 мм), для которых ограничено применение ультразвукового и сейсмоакустического методов контроля сплошности свай.
А.3.2 Сроки проведения испытаний ограничены интервалом времени, когда температура в конструкции близка к максимальным значениям.
А.3.3 Метод испытаний не позволяет сделать вывод о природе выявленных нарушений сплошности.
А.4 Акустические и георадиолокационные методы обследования фундаментных плит и обделки тоннелей
А.4.1 Результатом совместной интерпретации георадиолокационного профилирования и акустической съемки являются карты распределения различных динамических атрибутов сигнала с выделенными участками потенциального:
- дефектного материала конструкции;
- нарушения контакта "конструкция - грунт".
А.4.2 Основным недостатком данных методов является отсутствие регламентированных критериев определения качества контакта "бетон - грунт" и видов возможных нарушений указанного контакта на данный момент.
А.4.3 Использование акустического метода без учета априорной информации и георадиолокационного профилирования не позволяет сделать выводы о физической природе происхождения выделенных зон аномального значения атрибутов.
А.4.4 Метод анализа отклика/виброакустический метод не позволяет определить нарушение контакта с грунтовым массивом для плитоподобных конструкций толщиной более 0,6 м.
А.4.5 Не допускается применение метода георадиолокационного профилирования при обследовании конструкций из бетона, не набравшего проектную прочность согласно
СП 63.13330, а также сред, насыщенных бентонитовыми растворами.
А.4.6 Эффективность георадиолокационного зондирования может быть снижена при использовании высокочастотных антенных блоков на железобетонных конструкциях с плотной сеткой армирования.
А.5 Сейсмоакустические методы контроля грунтоцементных свай и массивов
А.5.1 Сейсмоакустический каротаж позволяет:
оценить степень однородности грунтоцементной сваи в параметрах вариации предела прочности на одноосное сжатие грунтоцемента;
дать оценку упругих и прочностных характеристик материала ГЦС в зависимости от глубины в случае определения скоростей продольных и гидроволн;
дать оценку эффективного диаметра конструкции с применением инструментов спектрального анализа.
А.5.2 Метод не позволяет определять форму реального сечения сваи.
А.5.3 Метод требует подготовки свай для проведения испытаний - бурения измерительной скважины определенного диаметра глубиной более длины сваи и заполнения ее водой.
А.5.4 Сейсмоакустические методы исследования искусственно закрепленных массивов позволяют оценить качество закрепления грунтов грунтоцементными секущими сваями.
А.5.5 Качество грунтоцементного массива выражается в количественной мере предела прочности на одноосное сжатие в зависимости от координат произвольной точки в грунтоцементном массиве.
| Руководство по контролю качества скрытых работ геофизическими методами при строительстве подземных объектов, включая объекты метрополитена, на территории Москвы (Утверждено Заместителем Мэра Москвы в Правительстве Москвы по вопросам градостроительной политики и строительства А.Ю. Бочкаревым 23 июня 2021 г.) |
| ASTM D5882-16 | Стандартный метод испытания на целостность глубоких фундаментов при ударе с малой деформацией (Standard test method for low strain impact integrity testing of deep foundations) |
| ASTM D7949-14 | Стандартные методы испытаний для профилирования тепловой целостности бетонных глубоких фундаментов (Standard test methods for thermal integrity profiling of concrete deep foundations) |
| ASTM C1383-15 | Стандартный метод испытания для измерения скорости продольных волн и толщины бетонных плит импакт-эхо методом (Standard test method for measuring the P-wave speed and the thickness of concrete plates using the impact-echo method) |
| ASTM C1740-16 | Стандартная практика оценки состояния бетонных плит методом импульсного отклика (Standard practice for evaluating the condition of concrete plates using the impulse-response method) |
УДК 624.1:006.354 | |
Ключевые слова: контроль качества скрытых работ, геофизические методы, сейсмоакустические методы, ультразвуковые методы, термометрический метод, метрополитен, подземный объект |