Главная // Актуальные документы // Актуальные документы (обновление 2025.01.06-2025.02.01) // Акт (форма)СПРАВКА
Источник публикации
М.: Министерство геологии СССР, 1987
Примечание к документу
Название документа
"Инструкция по гамма-каротажу при поисках и разведке урановых месторождений"
(утв. Мингео СССР 24.07.1987)
"Инструкция по гамма-каротажу при поисках и разведке урановых месторождений"
(утв. Мингео СССР 24.07.1987)
Министерством геологии СССР
24 июля 1987 года
ИНСТРУКЦИЯ
ПО ГАММА-КАРОТАЖУ ПРИ ПОИСКАХ И РАЗВЕДКЕ
УРАНОВЫХ МЕСТОРОЖДЕНИЙ
В инструкции изложены порядок проведения гамма-каротажа (ГК) при поисках и разведке месторождений урана, применяемые при этом аппаратура и оборудование, методика количественной интерпретации материалов, получаемых при каротаже месторождений различных генетических типов. Рассмотрены вопросы метрологического обеспечения аппаратуры и измерений, достоверность и оценка качества каротажных материалов. Кроме того, освещены основные особенности применения электрокаротажа методами кажущегося сопротивления (КС) и потенциала собственной поляризации (ПС) для расчленения по проницаемости пород продуктивного горизонта месторождений гидрогенного типа, предназначенных для отработки методом подземного выщелачивания.
Соблюдение требований инструкции обеспечит определение параметров рудных интервалов с допустимой при подсчете запасов урана погрешностью.
Составители: И.М. Хайкович, Л.В. Зернов, Э.Ф. Уваров, А.С. Серых, И.А. Лучин, А.К. Овчинников, В.М. Бондарев, П.И. Кириллов.
Редакционная коллегия: А.В. Мальцев (отв. редактор), И.М. Хайкович, Л.В. Зернов, В.Л. Шашкин, И.А. Лучин, Б.В. Половинкин, Э.Ф. Уваров, А.С. Серых, С.Д. Загуменников, Т.М. Комарова.
Гамма-каротаж является основным геофизическим методом получения информации о параметрах рудных тел на всех стадиях поисков, разведки и эксплуатации различных типов месторождений урана.
Со времени выпуска в 1974 г. инструкции по гамма-каротажу
[6] теория и практика геофизических исследований скважин при поисково-разведочных работах на уран получила свое дальнейшее развитие на базе совершенствования аппаратуры, технологии, методики работ и внедрения вычислительной техники. Разработка и внедрение новых каротажных радиометров с разнообразными типами и размерами детекторов гамма-квантов потребовали совершенствования традиционных приемов метрологического обеспечения аппаратуры, методики каротажных работ, обработки и интерпретации результатов измерений при гамма-каротаже, в том числе с использованием ЭВМ, а также приемов оценки достоверности получаемых при каротаже данных. Интенсивное освоение месторождений гидрогенного типа, которые характеризуются значительными нарушениями радиоактивного равновесия, потребовало более углубленного изучения радиологических характеристик и физических свойств руд в условиях естественного залегания. Это потребовало проведения одновременно с гамма-каротажем электрокаротажа методами кажущегося электрического сопротивления (КС) и потенциала собственной поляризации (ПС).
Многие разработки, выполненные после 1974 г., отражены в Дополнениях к Инструкции по гамма-каротажу
[5], в Методических рекомендациях по измерению методами каротажа технологических свойств горных пород и руд
[7], в Методических рекомендациях по оценке достоверности данных ядерно-геофизических методов опробования
[9]. Настоящая инструкция составлена на основе обобщения практического опыта, теоретических и методических разработок в области геофизического исследования скважин при поисках и разведке урановых месторождений - с учетом всех выпущенных ранее регламентирующих документов. В ней изложены порядок проведения гамма-каротажа, применяемые при этом аппаратура и оборудование, методика количественной интерпретации материалов, получаемых при каротаже месторождений различных генетических типов, а также приемы оценки достоверности. Соблюдение требований инструкции гарантирует определение параметров рудных интервалов с допустимой при подсчете запасов урана погрешностью.
Большую помощь при подготовке инструкции оказали Т.М. Комарова и М.И. Пруткина, чьи советы во многом способствовали улучшению качества изложения материала.
Приложение 16 подготовлено Э.Ф. Гарановым, Д.В. Гавриловым и Г.М. Рыжовой. При составлении
приложения 17 составители использовали материалы И.В. Торопова и Э.Г. Хасанова, которые накопили большой опыт по изучению проницаемости пород и руд продуктивного горизонта методами электрокаротажа и по интерпретации данных комплексного каротажа на месторождениях гидрогенного типа. Всем этим товарищам составители и редакционная коллегия выражают искреннюю благодарность.
Инструкция одобрена 27-й сессией Научно-методического Совета по ядерно-геофизическим методам опробования полезных ископаемых в естественном залегании.
1. ПОДГОТОВКА АППАРАТУРЫ И ОБОРУДОВАНИЯ К РАБОТЕ
1.1. Аппаратура и оборудование
1.1.1. Гамма-каротаж скважин при поисках и разведке урановых месторождений проводят одноканальными геофизическими радиометрами типа ПРМК-103 ("Обь"), РПЦ-101 ("Иртыш"); для комплексного гамма- и электрокаротажа применяют аппаратуру типа УКП-77 и АГА-201. Для записи результатов измерений используют регистраторы типа Н-381, осциллографы типа НО-65 и цифровые регистраторы, в которых реализован принцип квантования геофизической информации по глубине (регистратор КЕДР, аппаратура АГА-201).
Порядок настройки и работы с аппаратурой и регистраторами регламентируется соответствующими техническими описаниями и инструкциями по эксплуатации.
1.1.2. Для проведения каротажа разрешается использовать геофизические радиометры и регистраторы, рекомендованные в установленном порядке к производственной эксплуатации по результатам государственных или ведомственных испытаний с участием органов Госстандарта или ведомственных метрологических служб.
1.1.3. Геофизические радиометры и скважинные приборы при выпуске должны пройти метрологическую поверку на исходных образцовых средствах измерений. Энергетический порог регистрации радиометров должен быть равным 20 +/- 5 кэВ. В паспорте на СП должны быть указаны чувствительность (или цена деления) к гамма-излучению точечного радиевого источника
g (индивидуальная функция преобразования по
ГОСТ 8.009-84), имп/с на мкР/ч, и пересчетный коэффициент (номинальная функция преобразования для данного типа радиометров по
ГОСТ 8.009-84), мкР/ч на 0,01% равновесного урана. Чувствительность определяют по результатам гамма-измерений в геометрии, имитирующей условия "точечный источник в безграничной непоглощающей среде", принимая, что гамма-постоянная радия равна 840 (мкР·м
2)/(ч·мг), а пересчетный коэффициент - по измерениям на аттестованных стандартных образцах урановых рудных тел, имитирующих условия естественного залегания.
Применяемые в настоящее время радиометры имеют пересчетный коэффициент, равный (115 +/- 3) мкР/ч на 0,01% равновесного урана (см.
п. 4.2.4). Постоянство пересчетного коэффициента обеспечивает изготовитель специальным подбором толщины свинцового экрана - в зависимости от размеров монокристаллов и толщины корпуса скважинного прибора.
1.1.4. Регистраторы должны быть поверены на соответствие требованиям ТУ. Максимально допустимая погрешность аналогового регистратора не должна превышать 2% на уровне 0,9 шкалы, а цифрового регистратора - 1% при 100 и более двоичных разрядах.
1.1.5. Каротажная аппаратура и оборудование могут быть смонтированы на серийных каротажных станциях или в виде разборных установок. Каротажные станции и установки должны обеспечивать проведение необходимого комплекса геофизических исследований скважин и регистрацию результатов измерений в масштабах глубин 1:20, 1:50, 1:100, 1:200, 1:500, 1:1000. При использовании цифровых регистраторов шаг квантования по глубине должен быть не более 10 см.
1.1.6. Аппаратура и оборудование каротажной станции должны обеспечивать равномерную протяжку кабеля и диаграммной ленты с погрешностью не более 4 мм при записи десятиметрового интервала в масштабе глубин 1:50 и 1 мм при записи в масштабе 1:200 и мельче. Число слов на десятиметровом интервале, зарегистрированных цифровым регистратором информации, не должно отличаться от номинального более чем на 2%.
1.1.7. Для обеспечения работоспособности аппаратуры запрещается содержать каротажные станции (геофизические радиометры) в неотапливаемых помещениях с температурой окружающей среды ниже -5 °C. При проведении каротажа температура воздуха в салоне станции должна быть не ниже +10 °C и не выше +40 °C.
1.1.8. Каротажная станция должна быть дополнительно укомплектована:
- контрольно-измерительными приборами (ампер-вольт-омметр, мегомметр);
- диаграммной бумагой, фотобумагой и набором фотохимикатов или другими носителями информации (в зависимости от применяемого типа регистратора);
- смазочными маслами (для уплотняющих соединительных муфт и перфораторов);
- рулеткой;
- ареометром (для измерения плотности промывочной жидкости);
- аварийным инструментом, устройством для заземления;
- аптечкой (с набором медикаментов и перевязочными материалами).
1.1.9. Монокристаллы, используемые в блоках детектирования, должны по своим параметрам соответствовать требованиям ТУ, быть прозрачными, не иметь трещин, царапин, желтизны.
1.1.10. На охранный кожух детектора, свинцовый экран и корпус скважинного прибора наносят риску, соответствующую положению фотокатода ФЭУ.
1.1.11. Смену ФЭУ и монокристаллов, а также их сочленение производят при отключенном электрическом питании скважинного прибора. Для этого каркас с электрической схемой вынимают из скважинного прибора и на фотокатод ФЭУ наносят 2 - 3 капли вазелинового масла по
ГОСТ 3164-78 или силиконовой смазки. Затем на ФЭУ ставят монокристалл, амортизирующую прокладку из мягкой резины толщиной 10 - 20 мм и металлическую пластинку, надевают на блок детектирования светозащитный кожух (экран) и с помощью винта прижимают монокристалл к ФЭУ. Допускается использовать монокристаллы диаметром, меньшим диаметра ФЭУ, причем для центрирования на кристалл надевают цилиндр из легкого материала или наматывают на него хлорвиниловую изоленту.
1.1.12. Монокристаллы CsI (Tl) (или CsI (Na)) предпочтительнее использовать с фотоумножителями типа ФЭУ-85 или ФЭУ-86. При использовании фотоумножителей других типов (ФЭУ-35 или ФЭУ-67) энергетический порог регистрации устанавливают равным (40 +/- 5) кэВ.
1.2. Геофизический кабель
1.2.1. В геофизических каротажных радиометрах связь между наземным пультом и скважинным прибором осуществляется при помощи геофизического кабеля по
ГОСТ 6020-82. Тип кабеля выбирают в зависимости от условий каротажа. Технические параметры рекомендуемых кабелей даны в
прил. 1.
1.2.2. Соединение кабелей со скважинными приборами и переходными муфтами проводят согласно технической документации, прилагаемой к прибору.
1.2.3. Сопротивление изоляции оборудования и кабеля при отсоединенном скважинном приборе должно быть:
- не менее 10 МОм между корпусом подъемника и коллектором и жилами кабеля;
- не менее 5 МОм между жилой кабеля и увлажненной защитной оболочкой, а также между разными жилами кабеля.
Сопротивление изоляции измеряют мегомметром.
1.2.4. Если сопротивление между выводами коллектора и корпусом подъемника меньше 10 МОм, то коллектор нужно просушить и сменить в нем масло.
1.2.5. Для продления срока службы кабель следует оберегать от ударов и наматывать на барабан подъемника без узлов и петель. Для равномерного износа кабеля рекомендуется один-два раза в год менять местами концы его крепления на подъемнике.
1.2.6. Используемый геофизический кабель должен быть размечен. Нанесение меток проводят:
- на новом кабеле;
- при замене кабеля;
- после ремонта кабеля;
- при износе старых меток;
- после чрезмерного натяжения кабеля (например, после прихвата);
- если по результатам поверки меток установлено, что на интервале длиной 10 м смещение меток превысило 1 см.
1.2.7. Перед нанесением меток на новый кабель его предварительно "тренируют" путем не менее пятикратного спуска и подъема с дополнительным грузом.
1 2.8. Проверку меток проводят не реже одного раза в квартал, а при использовании нового кабеля - после каротажа первых пяти-шести скважин.
1.2.9. Разметку кабеля или проверку правильности расстановки меток проводят на обсаженной скважине или на специальной установке в соответствии с § 60 Технической инструкции
[13].
1.2.10. Для разметки кабеля и проверки правильности расстановки меток используют рулетки типа РС-10 и РС-20 по ГОСТ 7502-80. Метки наносят через 5 - 10 м, а для точечного каротажа - через 1 м. Погрешность установки метки не более 0,5 см.
1.2.11. Для обеспечения привязки глубин с требуемой точностью
(п. 2.2.17) при изменении диаметра кабеля необходимо с помощью корректора отрегулировать диаметр мерного ролика или наложить на желоб ролика металлическую прокладку.
1.2.12. Места нанесения меток на кабеле предварительно очищают от грязи. Метки делают из нескольких слоев полихлорвиниловой или хлопчатобумажной изоленты так, чтобы их диаметр был на 2 - 3 мм больше диаметра кабеля. На кабель можно наносить также магнитные метки, если каротажные станции имеют устройства для их нанесения. На кабель типа КГ1-2-50 КШ, используемый при каротаже подземных скважин с применением пневматического устройства, метки наносят смесью алюминиевого порошка и клея МЦ N 1.
1.2.13. Счет меток ведут от ближайшей к скважинному прибору метки, которую считают первой. Расстояние от середины монокристалла детектора до первой метки называют "ценой первой метки". Одну из меток на расстоянии 25 - 30 м от скважинного прибора делают отличной по внешнему виду от остальных; она сигнализирует о подходе скважинного прибора к устью скважины.
1.2.14. Установку меток на кабель и их проверку проводят в присутствии представителей геологической и буровой служб. По результатам этих работ составляют акт по форме
прил. 2 и делают соответствующую запись в аппаратурном журнале
(прил. 3).
1.2.15. Проводить каротаж скважин с кабелем без меток или без своевременной проверки правильности их расстановки запрещается.
1.3. Герметизация скважинных приборов
Перед использованием нового скважинного прибора или после ремонта необходимо убедиться в его герметичности. Для этого из скважинного прибора вынимают каркас с радиосхемой и отделяют его от свечи. Затем на свечу надевают резиновые уплотнительные кольца по
ГОСТ 9833-73 с внешним диаметром на 0,5 мм больше диаметра свечи и, смазав солидолом поверхность свечи и охранного кожуха скважинного прибора в месте герметизации, вставляют свечу в охранный кожух и дожимают защитным колпаком. После этого опускают скважинный прибор в наиболее глубокую скважину и периодически поднимая и опуская его на 1 - 2 м для предотвращения возможного прихвата, выдерживают в ней в течение 20 - 30 мин. При обнаружении нарушения герметичности скважинного прибора следует выявить причину и после ее устранения провести повторные испытания.
Результаты проверки герметичности скважинных приборов заносят в аппаратурный журнал
(прил. 3).
1.4. Установка энергетического порога регистрации
1.4.1. Энергетический порог регистрации гамма-излучения (П) устанавливают с помощью источников ионизирующих излучений (ИИИ) из таллия-204
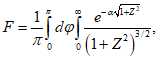
<*>. Для установки порога из корпуса скважинного прибора извлекают блок детектирования и снимают свинцовый экран, оставляя только светозащитный кожух. Включают скважинный прибор и после пятиминутного его прогрева устанавливают необходимый режим питания наземного пульта и скважинного прибора. Затем ИИИ располагают на таком расстоянии от блока детектирования, чтобы частота импульсов при первом положении переключателя делителя уровня дискриминации (делителя напряжения) составила 3000 - 4000 имп/с (но не менее 3/4 шкалы регистратора на соответствующем диапазоне) и снимают показания прибора при каждом
n-м положении переключателя делителя напряжений. По результатам измерений строят график зависимости показаний прибора от положений переключателя делителя с таким расчетом, чтобы размеры графика укладывались на листе 100 x 100 мм
(рис. 1). На графике находят абсциссу
n0 точки перегиба "
С" (как середину прямолинейного участка
АБ) и выражают ее в делениях шкалы переключателя делителя. Значение уровня дискриминации (кэВ) для каждого положения переключателя делителя
n вычисляют по формуле
П = En/n0, n = 1, 2, ..., N,
где E - энергия ИИИ (71 кэВ для 204Tl);
N - число положений переключателя.
--------------------------------
<*> Активность источника не более 1 мКи = 3,7 x 10
7 Бк.
Рис. 1. График интегрального (
1) и дифференциального
(2) спектров гамма-излучения изотопа таллия-204
для определения порога регистрации приборов
За рабочее принимают такое положение переключателя делителя, при котором значение порога равно 20 +/- 5 кэВ, если при переходе из положения n в положение n - 1 частота импульсов возрастает не более чем на 10%. Если энергетический порог 20 +/- 5 кэВ устанавливается только при первом положении переключателя (n = 1), то его принимают за рабочее положение только в том случае, если при повышении напряжения на ФЭУ на 50 В изменение частоты импульсов не превысит 10%.
При использовании каротажной аппаратуры без регистратора отсчет берут по стрелочному прибору или по цифровому индикатору.
Результаты определения энергетического порога (таблицы и графики) заносят в градуировочный журнал
(прил. 4).
Особенности установки и определения энергетического порога регистрации для отдельных типов радиометров изложены в технических инструкциях или других нормативно-технических документах.
1.4.2. Все измерения для установки и проверки порога регистрации проводят при полной длине геофизического кабеля, если это не оговорено особо инструкцией по эксплуатации аппаратуры.
1.4.3. Если не удается установить энергетический порог регистрации на уровне 20 +/- 5 кэВ, то следует заменить ФЭУ, монокристалл или изменить коэффициент усиления ФЭУ подбором напряжения питания по методике, изложенной в ТУ прибора.
1.4.4. Установку или определение энергетического порога регистрации гамма-излучения радиометра проводят при замене монокристалла, кабеля, ФЭУ и после ремонта каротажной аппаратуры.
1.5. Градуировка радиометров
1.5.1. Поскольку каротажные радиометры при выпуске аттестуются по значению пересчетного коэффициента, который в пределах допуска является постоянным
(п. 1.1.3), то при работе в полевых условиях ограничиваются поверкой индивидуальной функции преобразования путем построения градуировочной характеристики - зависимости показаний прибора от мощности экспозиционной дозы точечного радиевого источника (МЭД), мкР/ч.
1.5.2. Градуирование преследует цель - определить цену деления (для приборов с аналоговой регистрацией или стрелочным индикатором) или цену единицы наименьшего разряда кода (для приборов с цифровой регистрацией) и нелинейность градуировочной характеристики.
1.5.3. Для градуирования используют радиевые источники гамма-излучения С-41, С-42, Р-1
<*>. Источники типа ЕР разрешается использовать только в специальных контейнерах, конструкция которых приведена в
прил. 16. Источники должны быть аттестованы или поверены по массе органами Госстандарта или ведомственными метрологическими службами по разрешению Госстандарта.
--------------------------------
<*> Масса радия в источниках, используемых для градуировки, 0,1 и 1 мг.
Градуирование проводят на базе партии (отряда) периодически не реже одного раза в три месяца, а также после ремонта, смены ФЭУ, монокристалла или после длительной консервации прибора.
1.5.4. Градуирование радиометров можно проводить двумя способами. Выбор способа зависит от типа применяемой аппаратуры. Для приборов с цифровой или цифро-аналоговой регистрацией (типа АГА-201, РПЦ-101), а также с аналоговой регистрацией, если на разных диапазонах обеспечено постоянное соотношение пределов измерений (типа УКП, ПРМК-103), градуировочную характеристику предпочтительно определять способом трех точек. Для других типов каротажных приборов (типа ПКС-1000, ПРКС и т.п.) градуировочные характеристики рекомендуется строить для каждого диапазона с использованием одного источника путем изменения расстояния между источником и детектором.
1.5.5. При градуировании конкретных типов радиометров необходимо соблюдать требования технических описаний и инструкций по эксплуатации в части подготовки прибора к работе, настройки и работе с ним. Все измерения проводят при максимальном значении постоянной времени интегратора.
1.5.6. Для градуирования радиометров способом трех точек используют стандартную полевую градуировочную установку типа УПП-1 (ТИБОС,
рис. 2). При проведении измерений скважинный прибор закрепляют на установке УПП-1, располагая его таким образом, чтобы центр детектора и центр держателя радиевого источника находились не ближе 1,5 м от окружающих предметов - поверхности земли, пола, потолка, стен и т.д., и измеряют фон гамма-излучения на наиболее чувствительном поддиапазоне,
nф, с
-1.
Рис. 2. Установка поверочная полевая УПП типа ТИБОС
1 - опора; 2 - основание; 3 - патрон 7100-0009; 4 - втулка;
5 - рамка с линейкой; 6 - скважинный прибор;
7 - монокристалл; 8 - держатель; 9 - источник
Градуирование проводят в следующей последовательности.
1.5.6.1. Для приборов с цифровой регистрацией (однодиапазонные приборы) вставляют радиевый источник Р-1 в держатель и устанавливают такое расстояние между источником и детектором, чтобы на регистрирующем устройстве установился счет
n1, с
-1, соответствующий примерно 0,5 предельного значения (полного диапазона измерений данного прибора). Не перемещая этот источник, устанавливают (с противоположной стороны датчика) второй источник так, чтобы установился счет
n0, с
-1, равный примерно 0,8 предельного значения. Не перемещая второй источник, убирают первый и вновь снимают показания прибора,
n2, с
-1. Вычисление постоянной нелинейности прибора
b и нелинейности

проводят по формулам

(1.1)
а нелинейность учитывают при помощи выражения
где n - показания прибора, а N - показания, исправленные на нелинейность.
1.5.6.2. Для приборов с аналоговой регистрацией, у которых обеспечено постоянное соотношение пределов измерений на разных поддиапазонах, радиевый источник Р-1 вставляют в держатель и устанавливают на такое расстояние, чтобы на предпоследнем (
n - 1)-м поддиапазоне отсчет был на уровне 0,8 номинального значения шкалы,
n1. Не перемещая источник, устанавливают (с противоположной стороны датчика) второй радиевый источник так, чтобы показания прибора были равны 0,8 номинального значения шкалы последнего
n-го поддиапазона,
n0. Не перемещая второй источник, убирают первый, включают (
n - 1)-й поддиапазон и снимают отсчет по прибору,
n2. По полученным значениям вычисляют постоянную нелинейности прибора
b и нелинейность

по формулам

(1.3)
где ai - постоянные соотношения пределов измерений поддиапазонов прибора (a1 = 1).
Для учета нелинейности в этом случае используют выражение
N =
aini +
b(
aini)
2, (1.4)
которое приводит результаты измерений ni на i-м поддиапазоне к первому (наиболее чувствительному) диапазону.
1.5.6.3. Для определения цены деления (цены импульса или цены единицы наименьшего разряда кода) помещают радиевый источник в держатель установки УПП-1 на расстоянии
R, равном 0,8 м от детектора и на поддиапазоне, отсчет прибора на котором лежит в пределах 0,5 - 0,8 шкалы, снимают показание прибора
n и исправляют его на нелинейность по
формуле (1.2) (или
(1.4)),
N. Затем по формуле

(1.5)
где q - масса радия в источнике, мг (по результатам аттестации) для R = 0,8 подсчитывают мощность экспозиционной дозы (P).
Цену деления j подсчитывают по формуле

(1.6)
где Nф - значение фонового гамма-излучения.
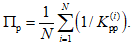
1.5.7. Результаты измерений ni переводят в мкР/ч по формуле
Если нелинейность
(1.1) превышает 3%, то для проведения графической интерпретации рекомендуется построить градуировочные характеристики для всех поддиапазонов, подсчитав по
формуле (1.7) значения мощностей доз на уровне 0,15, 0,30, 0,45, 0,60, 0,75, 0,90 каждой шкалы.
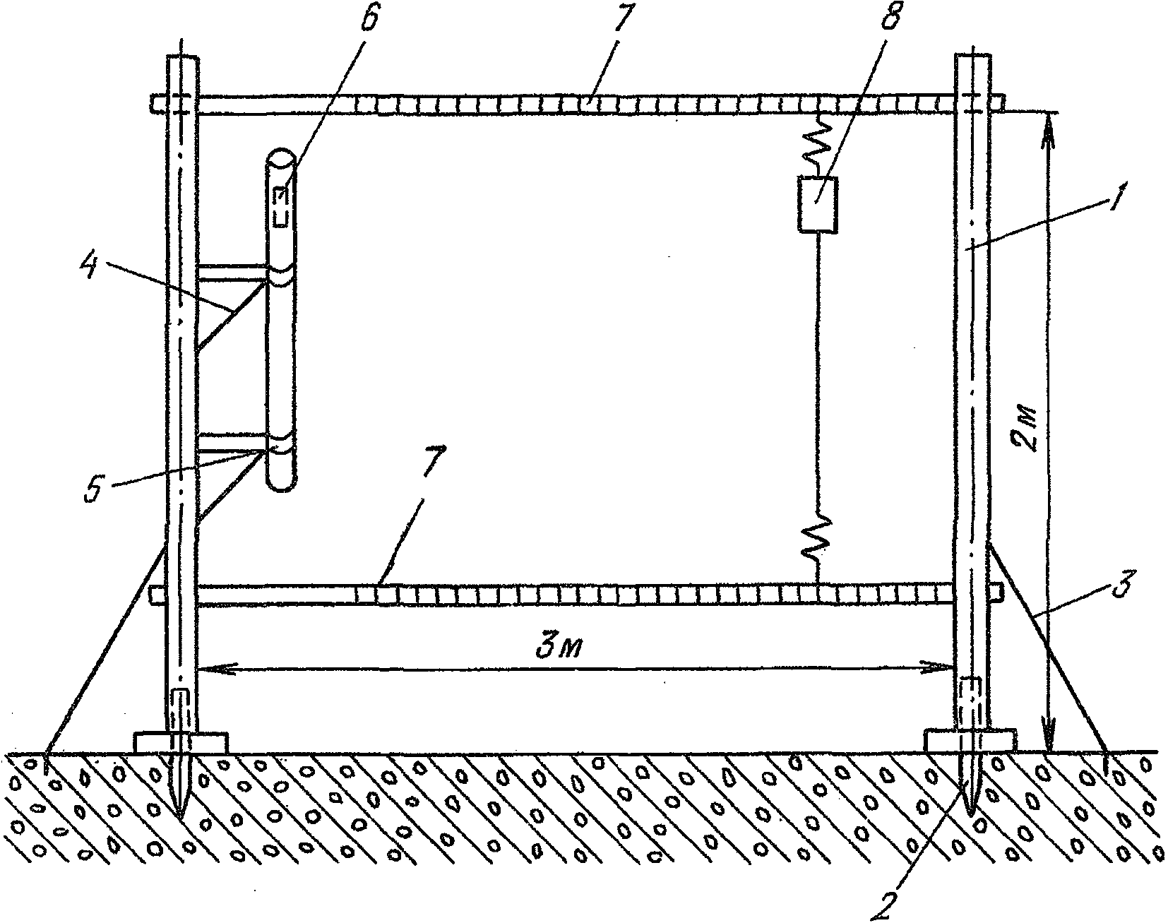
1.5.8. Для градуирования радиометров с помощью одного источника применяют полевую градуировочную установку ПГУ
(рис. 3). Эту установку располагают на ровной площадке, удаленной от строений на расстояние не менее 2 м, или же в закрытом помещении так, чтобы источник и детектор находились на расстоянии не менее 2,0 м от стен и потолка помещения.
Рис. 3. Схематическое изображение
полевой градуировочной установки ПГУ
1 - стойки; 2 - штыри; 3 - тяги; 4 - кронштейны;
5 - устройство для крепления скважинного прибора;
6 - детектор скважинного прибора; 7 - стяжки;
8 - радиевый источник
Все измерения на градуировочной установке типа ПГУ проводят на расстояниях между источником и детектором от 0,3 до 2,5 м при максимальном значении постоянной времени интегратора. До начала градуирования и после записывают положение нуля регистратора. Затем измеряют фоновое гамма-излучение, для чего в течение 1 - 2 мин регистрируют показания прибора на I - II поддиапазонах. После этого помещают источник на такие расстояния (R) от детектора, чтобы на каждом поддиапазоне отсчеты составляли 0,15, 0,30, 0,45, 0,60, 0,75, 0,90 от номинального значения шкалы. Для градуирования первых двух поддиапазонов используют источники с массой радия 0,1 мг, для остальных поддиапазонов - с массой радия 1 мг.
Для построения градуировочных характеристик по оси абсцисс наносят значение мощностей экспозиционных доз
P, рассчитанные по
формуле (1.5) для заданных расстояний
R, а по оси ординат - соответствующие им показания прибора
n. Через полученные точки проводят линию, экстраполируют ее до пересечения с осью абсцисс и полученную точку принимают за начало координат
(рис. 4). При этом на третьем и более высоких поддиапазонах величину фонового гамма-излучения можно не учитывать.
Рис. 4. Пример построения градуировочной характеристики
Для перевода показаний прибора в мкР/ч при проведении интерпретации с помощью ЭВМ градуировочные характеристики аппроксимируют выражением вида
применяя для оценки параметров a и b метод наименьших квадратов.
1.5.9. Поправки на нелинейность вводят со значений, для которых нелинейность
(1.1) ((1.3)) превышает 3%. Нелинейность градуировочных характеристик не должна превышать 10%. В противном случае необходимо выявить причину нелинейности, устранить ее и вновь провести градуирование.
1.5.10. Для измерений по
пп. 1.5.6 и
1.5.8 можно использовать пересчетное устройство, цифровой или аналоговый регистраторы радиометров. Во всех случаях суммарная экспозиция измерений должна обеспечивать отсчеты с погрешностью не более 0,5%.
1.5.11. Если в результате градуирования радиометров будет установлено, что чувствительность к радиевому источнику
g (
g = 1/
j, где
j определено по
формуле (1.6) или же
g =
b в
формуле (1.8) для первого поддиапазона) отличается от значения, приведенного в паспорте радиометра
(п. 1.1.3) более чем на 20% или же между поддиапазонами соотношение нарушено более чем на 5%, то проведение гамма-каротажа с таким радиометром запрещается. Прибор подлежит ремонту и последующему градуированию или метрологической поверке.
1.5.12. По окончании градуирования производят измерения контрольным источником гамма-излучения
<*>, поместив его в строго фиксированное положение относительно детектора скважинного прибора. Предварительно производят запись "нуля" регистратора и фона гамма-излучения. При контрольных измерениях на разных поддиапазонах источник размещают таким образом, чтобы показания прибора составили 0,4 - 0,8 шкалы регистратора.
--------------------------------
<*> Для контроля чувствительности рекомендуется использовать источники интенсивностью не более 1000 мкР/ч.
Измерения, выполненные контрольным источником сразу после градуирования (I0), являются опорными и их заносят в журнал градуирования с указанием положения контрольного источника относительно детектора гамма-квантов.
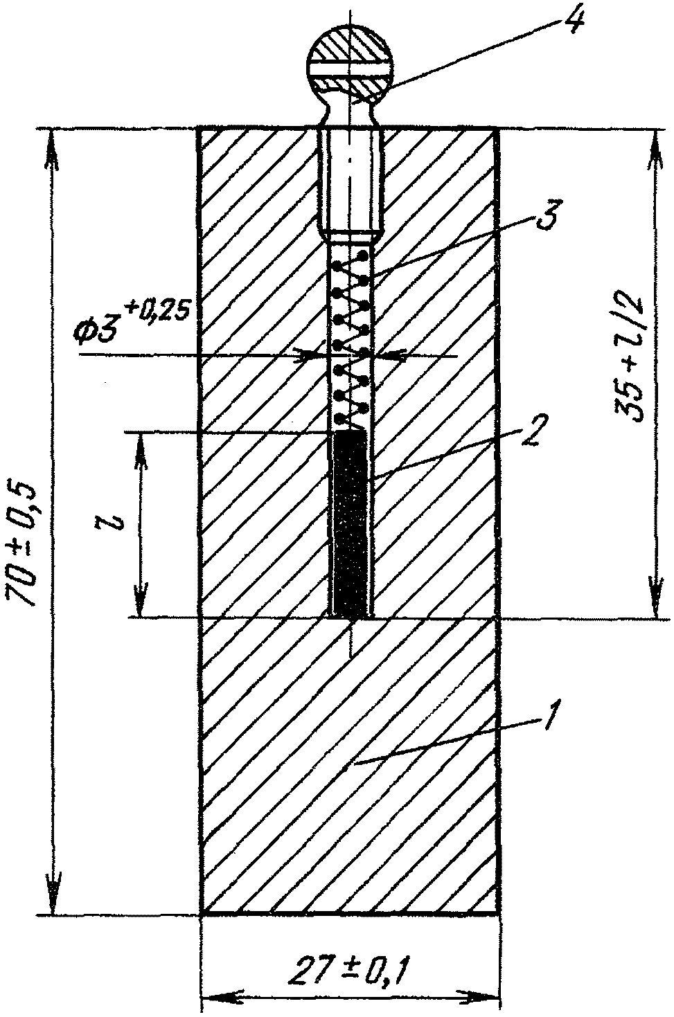
Наиболее удобными для контрольных измерений являются цилиндрические источники из железа толщиной не менее 2 мм, наружным диаметром 100 мм, внутренним диаметром от 30 до 65 мм (в зависимости от диаметра скважинного прибора) и высотой 100 мм. Внутрь цилиндра насыпают тщательно перемешанный рудный материал, в который для устранения сегрегации добавляют цемент и воду. Контрольный источник герметизируют, и он пригоден для использования по истечении месяца после изготовления. Контроль чувствительности таким источником рекомендуется проводить по максимальному отсчету, путем его перемещения вдоль корпуса скважинного прибора.
1.5.13. Результаты градуирования и контрольных измерений (в том числе на диаграммных лентах и других носителях) хранят вместе с журналом градуирования
(прил. 4).
1.5.14. Для контроля за стабильностью работы радиометров в период между градуированиями производят измерения контрольного источника в тех же условиях и в той же геометрии, какие были при проведении опорных измерений,
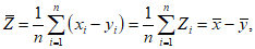
I. По результатам измерений с контрольным источником в градуировочном журнале строят график стабильности работы аппаратуры и проводят сравнение результатов измерений с опорным по формуле

(1.9)
Если

, то до проведения каротажа необходимо выявить причину расхождения, устранить ее и вновь провести градуирование. При каротаже измерения контрольного источника проводят до и после каротажа каждой скважины или два раза в смену: до начала и после окончания работы.
Если расхождения контрольных измерений с опорными обнаружены после каротажа или после рабочей смены, то результаты каротажа бракуют.
2. ПРОВЕДЕНИЕ РАБОТ НА СКВАЖИНЕ
2.1. Подготовка скважины к проведению каротажа
2.1.1. Подготовку скважины к проведению каротажа в соответствии с ТУ
[13] и проектом работ геологоразведочного подразделения осуществляет буровая бригада. Готовность скважины оформляют актом
(прил. 5), который составляют геолог, ответственный за буровые работы, и буровой мастер. При отсутствии акта проводить каротаж скважин запрещается. Исключение составляют скважины картировочного бурения и скважины подземного бурения глубиной до 100 м. Каротаж таких скважин проводят после записи в буровом журнале о готовности скважины к каротажу, которую производит буровой мастер. Запись должна содержать сведения о глубине скважины.
2.1.2. Каротажный отряд должен прибыть на скважину до окончания подготовительных работ и выполнить следующие операции.
Установить автомашину так, чтобы подъемник находился на расстоянии не менее 10 м от устья скважины, а ось барабана подъемника располагалась в горизонтальном положении; автомашину затормозить и под колеса положить колодки.
Проверить работоспособность подъемных устройств.
Проверить (путем внешнего осмотра) надежность узлов сочленения геофизического кабеля со скважинным прибором и надежность крепления дополнительного груза к скважинному прибору (если он используется).
Проверить работоспособность пульта прибора и всего комплекта аппаратуры
(п. 1.1) и провести контрольные измерения
(п. 1.5.12).
Установить и закрепить на устье скважины блок-баланс или блок-трубу.
2.1.3. Подготовка к каротажу скважин подземного бурения включает следующие операции.
Установить прибор и подъемник (лебедку) так, чтобы оградить их от попадания влаги и грязи.
Проверить работоспособность аппаратуры и провести контрольные измерения
(п. 1.5.12).
Если каротаж проводят с применением штанг, то необходимо соединить скважинный прибор с первой штангой, предварительно проверив качество резьбы. Подготовку пневматического устройства для подачи скважинного прибора к забою скважины ведут в соответствии с рекомендациями
прил. 6.
2.1.4. Каротаж скважин с радоновыделением, искажающим результаты гамма-каротажа, проводят после их промывки или продувки в течение трех часов. Если в процессе промывки активность промывочной жидкости возрастает более чем в три раза, то ее нельзя использовать для дальнейшей промывки.
В процессе каротажа сухих скважин с интенсивным радоновыделением проводят их продувку сжатым воздухом, обеспечивая тем самым снижение влияния радона на показания прибора до уровня, не превышающего двукратного фона гамма-излучения вмещающих пород.
2.2. Гамма-каротаж скважин
2.2.1. Для проведения каротажа скважинный прибор опускают в скважину так, чтобы первая метка была на устье скважины. Затем устанавливают на ноль показания счетчика глубин, отключают лентопротяжный механизм и включают прибор для визуального наблюдения за интенсивностью гамма-излучения.
2.2.2. Спуск скважинного прибора проводят со скоростью не более 1500 м/ч. При спуске необходимо обеспечить по возможности равномерное движение скважинного прибора, регулируя скорость спуска тормозом подъемника, по индикаторному прибору оценивать интенсивность и положение аномальных интервалов. При подходе к забою скорость движения скважинного прибора уменьшают до 50 м/ч. Соприкосновение скважинного прибора с забоем определяют по увеличению стрелы прогиба кабеля. Для облегчения определения момента соприкосновения прибора с забоем в глубоких скважинах к скважинному прибору подвешивают дополнительный груз.
2.2.3. По достижении забоя кабель натягивают, отрывают скважинный прибор от забоя, включают механизм регистрации и начинают подъем скважинного прибора с записью результатов измерений на используемое регистрирующее устройство.
2.2.4. Привязку данных каротажа скважин по глубине проводят по первой отбитой на регистраторе метке. Глубину этой метки рассчитывают по формуле
M = (N - 1)L + l - m, м, (2.1)
где N - номер отбитой метки;
L - расстояние между метками, м;
l - цена первой метки, м;
m - расстояние от точки отбивки меток до устья скважины, м.
2.2.5. Гамма-каротаж скважины проводят, как правило, в масштабе глубин 1:200. Допускается применение масштабов 1:500 и 1:1000 с обоснованием их в проекте работ.
"Детализационный" каротаж проводят в масштабах по глубине - 1:50 или 1:20 - в зависимости от мощности рудных интервалов.
При подходе к аномальному интервалу подъем скважинного прибора прекращают, включают необходимый для регистрации интенсивности излучения поддиапазон и продолжают подъем скважинного прибора до выхода из аномального интервала и достижения ближайшей метки глубин. Если максимальная интенсивность гамма-излучения на аномальном интервале превысит 50 мкР/ч, то этот интервал, как правило, детализируют. Значение интенсивности аномалий, подлежащих детализации, обосновывают в проекте работ.
Для проведения детализационного гамма-каротажа скважинный прибор по выходе из аномального интервала останавливают, отключают регистрирующее устройство (лентопротяжный механизм) и опускают к подошве интервала, после чего включают масштаб регистрации 1:50 (1:20) и начинают подъем скважинного прибора со скоростью детализационного каротажа.
2.2.6. Подъем скважинного прибора при гамма-каротаже с аналоговой регистрацией не должен превышать значений, указанных в
табл. 1.
Таблица 1
Скорость подъема скважинного прибора при каротаже
с аналоговой регистрацией в масштабе 1:200 и мельче
Размер монокристалла блока детектирования, мм | Постоянная времени RC, с | Скорость каротажа, м/ч |
30 x 70 (30 x 40) | 0,5 - 1,0 | 1000 |
18 x 40 (18 x 30) | 1,0 - 2,0 | 700 |
10 x 40 | 2,0 - 5,0 | 500 |
Для приборов с цифровой регистрацией скорость каротажа может быть увеличена до 1500 м/ч для больших монокристаллов и до 1000 м/ч - для монокристаллов размером 10 x 40 мм.
2.2.7. При детализационном каротаже скорость подъема скважинного прибора не должна превышать значений, указанных в
табл. 2.
Таблица 2
Скорость подъема скважинного прибора
при детализационном каротаже с аналоговой регистрацией
Размер монокристалла блока детектирования, мм | Постоянная времени RC, с | Скорость каротажа, м/ч |
30 x 70 | 0,5 - 1,0 | 180 |
30 x 40 | 0,5 - 1,0 | 150 |
18 x 40 (18 x 30) | 2,0 - 5,0 | 100 |
10 x 10 (10 x 40) | 2,0 - 5,0 | 60 |
Если известно, что мощность рудных интервалов более 1 м, то скорость детализационного каротажа может быть увеличена в два раза в сравнении со значениями, приведенными в
табл. 2.
Для приборов с цифровой регистрацией скорость детализационного каротажа с большими монокристаллами может быть увеличена до 1000 м/ч, а с монокристаллами размером 10 x 40 мм - до 500 м/ч.
При наличии автоматического отметчика времени контроль за скоростью каротажа осуществляют по меткам времени на диаграммной ленте. Скорость каротажа можно также контролировать секундомером - по интервалу времени прохождения двух соседних меток глубин. При этом значения скорости каротажа записывают на диаграммной ленте или в аппаратурном журнале.
2.2.8. При детализационном гамма-каротаже аномалия должна быть зарегистрирована с выходом во вмещающие породы не менее, чем по 1,0 м с каждой стороны рудного интервала. На гидрогенных месторождениях детализацию обычно проводят по всему продуктивному горизонту.
Запись аномалий сложной формы однаканальными аналоговыми регистраторами можно проводить с переключением поддиапазонов. Для этого по достижении 0,8 - 0,9 (0,1 - 0,2) шкалы скважинный прибор останавливают, переключают поддиапазон и через интервал времени, равный 3RC вновь включенного поддиапазона, продолжают подъем.
2.2.9. Прокаротированный интервал при детализационном гамма-каротаже должен содержать по крайней мере одну метку глубины.
2.2.10. При появлении контрольной метки, указывающей на близость скважинного прибора к устью скважины, скорость каротажа уменьшают и при появлении следующей метки прекращают каротаж, извлекают скважинный прибор и проводят контрольные измерения по
п. 1.5.13.
2.2.11. Точечный каротаж скважин проводят в тех случаях, когда трудно осуществить непрерывную запись. Шаг измерений по вмещающим породам 0,5 - 1 м; при детализации рудных интервалов мощностью более 0,3 - 0,1 м; детализацию интервалов мощностью меньше 0,3 м проводят с шагом 0,05 м. Расстояние между точками определяют по метровым отметкам на кабеле и с помощью мерной линейки. Измерения проводят при большом RC прибора с экспозицией более 3RC.
2.2.12. Длина недокаротированного интервала обосновывается проектом работ.
2.2.13. По окончании каротажа оператор определяет длину недокаротированного интервала, проверяет наличие привязки данных по глубине, записей по контролю стабильности работы аппаратуры, наличие на диаграммной ленте меток глубин, меток времени и сведений об использованных поддиапазонах.
2.2.14. Оценку качества гамма-каротажа проводят по результатам контрольного каротажа не менее, чем в 3% скважин, не реже одного раза в месяц. Контрольный каротаж проводят по отдельным рудным интервалам скважин равномерно во времени и дополняют измерениями в безрудных скважинах в объеме до 10% от их общего числа; длина контролируемого интервала по каждой контролируемой безрудной скважине - не менее 10 м.
2.2.15. Контрольный каротаж проводят другим скважинным прибором. Допускается проводить контрольный каротаж тем же скважинным прибором, если он выполняется другим оператором. Во всех случаях для проведения контрольного каротажа рекомендуется привлекать более опытного специалиста.
2.2.16. При проходке скважин в рыхлых неустойчивых породах допускается замена контрольного каротажа наблюдениями на контрольно-поверочной скважине. Измерения на контрольно-поверочной скважине проводят не реже одного раза в период между соседними градуировками. Такой вид контроля должен быть обоснован проектом работ.
2.2.17. Глубины рудных интервалов, определенные по результатам основного и контрольного каротажа, не должны различаться более чем на
20 см в скважинах глубиной до 300 м,
50 см " от 300 до 500 м,
100 см " от 500 до 1000 м,
150 см " от 1000 до 2000 м,
200 см " от 2000 до 3000 м.
3. ОФОРМЛЕНИЕ И ПЕРВИЧНАЯ ОБРАБОТКА МАТЕРИАЛОВ КАРОТАЖА
3.1. Материалы, полученные при каротаже скважин, являются первичными документами, которые служат для определения параметров рудных интервалов, поэтому их подчистка не допускается. Заголовки первичных каротажных диаграмм оформляют в соответствии с
прил. 7. Все записи на каротажной диаграмме, внесенные непосредственно в процессе каротажа, должны быть сохранены и после оформления каротажных лент. На забракованных материалах должна стоять запись "брак" с указанием его характера и причин и подпись лица, забраковавшего работу.
Все первичные материалы подписываются оператором, проверяются и подписываются инженером-геофизиком, ответственным за проведение каротажных работ. Проверка включает оценку правильности привязки данных гамма-каротажа по глубине. При этом результаты измерений относят к середине монокристалла. При комплексном каротаже кажущееся сопротивление относят к середине между сближенными (B, A) электродами, а величину потенциала естественного электрического поля - к удаленному измерительному электроду (M). Ось глубин разбивают на интервалы, кратные пяти, десяти и двадцати метрам - в зависимости от масштаба регистрации. Разбивку глубин выполняют отдельно для каждого метода.
3.2. На каротажную диаграмму наносят:
масштаб регистрации данных гамма-каротажа в мкР/ч на см записи (для каждого поддиапазона) или масштабную линейку (для учета нелинейности);
масштаб регистрации данных каротажа по методу КС - значение удельного сопротивления

, Ом·м на 1 см записи;
масштаб регистрации поля ПС - число милливольт, соответствующих отрезку длиной 2 см; на правом конце отрезка ставят знак "+", на левом "-", причем для обеспечения правильности полярности электроды M и N должны быть присоединены соответственно к выводам M и N на пульте.
| | ИС МЕГАНОРМ: примечание. Нумерация пунктов дана в соответствии с официальным текстом документа. | |
3.5. При первичной обработке каротажных диаграмм и их подготовке к интерпретации должны быть проверены:
расстояния между метками глубины (погрешность расстановки меток глубины не должна превышать 2%);
правильность определения глубины забоя;
фактическая скорость подъема скважинного прибора. Скорость рассчитывают путем деления расстояния между метками глубины (м) на время, затраченное на прохождение этого расстояния (по меткам времени).
3.6. При графическом способе интерпретации аномальные участки гамма-каротажных диаграмм копируют или перестраивают с целью выражения результатов измерений в мкР/ч и учета нелинейности аппаратуры. Перестройку проводят по точкам, отстоящим друг от друга по оси глубин на расстоянии 2 мм.
3.7. При точечном каротаже скважин первичным материалом служат данные, занесенные в журнал каротажа. Каждая запись должна иметь привязку по глубине. При графическом способе интерпретации данные точечного гамма-каротажа наносят на миллиметровую бумагу. При этом по оси глубин применяют масштаб 1:20 или 1:50, а по оси интенсивностей (мкР/ч) масштаб выбирают с таким расчетом, чтобы максимальное значение гамма-аномалии не превышало 10 - 20 см. Каждый аномальный интервал должен быть вычерчен с выходом в нормальное поле не менее, чем на 0,5 м.
3.8. При обработке данных каротажа на ЭВМ подготовку информационного массива ведут в соответствии с описанием, прилагаемым к программно-математическому обеспечению.
3.9. Для геологической документации с каротажных диаграмм могут быть сняты копии. Копии снимают в масштабе геологической колонки без поправок на нелинейность аппаратуры. При копировании диаграмм метода ПС устраняют перенос начала отсчета.
3.10. При использовании цифровой регистрации с выводом данных каротажа на машинный носитель информации первичным документом является непосредственно машинный носитель с зарегистрированной информацией. Каждый рудный интервал или группу интервалов по скважине, каротированных в одинаковых условиях, сопровождают служебной информацией, которая содержит все необходимые сведения для организации ее обработки на ЭВМ. Форма паспорта интервала дана в
прил. 8.
4. КОЛИЧЕСТВЕННАЯ ИНТЕРПРЕТАЦИЯ ДАННЫХ ГАММА-КАРОТАЖА
4.1.1. Количественную интерпретацию данных гамма-каротажа проводят с целью определения мощностей рудных интервалов и массовых долей урана. Интерпретация основана на связи этих параметров с формой и интенсивностью зарегистрированной при каротаже аномалии. При этом в результаты измерений должны быть внесены все необходимые поправки - на поглощение гамма-излучения промывочной жидкостью и обсадными трубами, на нарушение радиоактивного равновесия между ураном и радием, между радоном и радием, на наличие в рудах тория и калия, на влажность руд.
Поправки на поглощение гамма-излучения промывочной жидкостью и обсадными трубами определяются конструкцией скважины и скважинного прибора, а поправки на нарушение радиоактивного равновесия, наличие в урановых рудах тория и калия, на влажность руд определяют по результатам специальных работ, которые являются неотъемлемой частью всего комплекса геофизических исследований при гамма-каротаже.
4.1.2. На стадии поисков и оценки месторождений результаты интерпретации данных гамма-каротажа используют для предварительной оценки параметров рудных интервалов. Одновременно проводят сбор материала для изучения состояния радиоактивного равновесия и эффекта отжатия радона, распределения тория и калия и влажности руд и находят оценки поправочных коэффициентов.
На стадиях предварительной, детальной и эксплуатационной разведки полученные оценки поправочных коэффициентов уточняют и при необходимости подтверждают результатами специальных методических работ. При этом в результаты количественной интерпретации гамма-каротажа при определении параметров рудных по урану интервалов вносят уточненные значения поправочных коэффициентов.
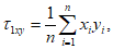
4.2. Пересчетный коэффициент
4.2.1. При интерпретации данных гамма-каротажа принимают, что массовая доля урана изменяется только в направлении вдоль оси скважины. При этом измеренная интенсивность гамма-излучения
I(
z) связана с массовой долей урана
q(
x) зависимостью

(4.1)
где

- гамма-аномалия над бесконечно тонким пластом с единичным содержанием урана, причем

;
K - коэффициент, численно равный показанию прибора в единицах мощности экспозиционной дозы точечного радиевого источника (мкР/ч) при измерении внутри бесконечной однородной среды с единичной массовой долей урана в равновесии со своими продуктами распада.
4.2.2. Результаты измерений при гамма-каротаже приводят к условиям сухой необсаженной скважины. Определенный в таких условиях коэффициент
K (п. 4.2.1) называют пересчетным коэффициентом и обозначают
K0. Пересчетный коэффициент
K0 зависит от элементного состава руд, который характеризуют двумя параметрами:
коэффициентом приведения к нормальной среде

(4.2)
и эффективным атомным номером

(4.3)
где pi, Zi и Ai - соответственно, массовая доля, атомный номер и атомная масса i-го химического элемента, входящего в состав руды.
Произведение

однозначно зависит от
Zэф, как это показано на
рис. 5. Для урановых руд

практически равно 1,0.
Рис. 5. Зависимость произведения

от
Zэф
для равновесных урановых руд
4.2.3. Параметры

и
Zэф рассчитывают по данным полных химических анализов объединенной пробы, составленной из групповых проб по 30 - 40 рудным пересечениям, равномерно распределенным по площади месторождения. Если в пределах месторождения урановые руды приурочены к различным геохимическим зонам или различным типам пород, то параметры

и
Zэф определяют отдельно для каждой зоны или типа пород. При расчете необходимо учитывать влажность руд в естественном залегании.
4.2.4. Для количественной интерпретации данных гамма-каротажа скважин, вскрывающих руды с массовой долей урана до 0,5%, пересчетный коэффициент
K0 принимают равным:
120 мкР/ч на 0,01% равновесного урана - для руд, у которых 6 < Zэф < 10 (ураноносные угли);
115 мкР/ч на 0,01% равновесного урана - для руд, у которых 10 <= Zэф <= 18 (силикатные и карбонатные руды);
110 мкР/ч на 0,01% равновесного урана - для руд, у которых 18 < Zэф < 24 (руды с большим содержанием железа или других тяжелых элементов).
4.2.5. Высокие массовые доли урана в руде повышают ее эффективный атомный номер (
Zэф) по сравнению с
Zэф вмещающих пород, что приводит к нарушению прямой пропорциональной зависимости между зарегистрированной интенсивностью гамма-излучения и массовой долей урана в руде. Учет высоких массовых долей осуществляют путем приведения ("трансформации") результатов измерений
Iизм к величинам, которые были бы получены для руд с параметрами
N и
Zэф рудообразующей основы,
Iтр. Трансформацию применяют в том случае, если измеренные значения превысят предельно допустимые значения, приведенные в
табл. 3.
Таблица 3
Предельно допустимые значения интенсивностей гамма-излучения
при гамма-каротаже, интерпретацию результатов которого
проводят без трансформации
Zэф рудообразующей основы | Предельная интенсивность, мкР/ч |
 ,  | 4 500 |
 ,  | 6 500 |
 ,  | 10 000 |
Для трансформации используют данные
табл. 4.
Таблица 4
Трансформированные значения интенсивности гамма-излучения
для интерпретации результатов гамма-каротажа
богатых урановых руд
Массовая доля урана (q), % | Zэф < 10 | 10 <= Zэф <= 18 | 18 < Zэф < 24 |
Iизм, мкР/ч | Iтр, мкР/ч | Iизм, мкР/ч | Iтр, мкР/ч | Iизм, мкР/ч | Iтр, мкР/ч |
0,4 | 4 600 | 4 800 | | | | |
0,6 | 6 800 | 7 200 | 6 700 | 6 900 | | |
0,8 | 9 000 | 9 600 | 8 800 | 9 200 | | |
1,0 | 11 000 | 12 000 | 10 900 | 11 500 | 10 500 | 11 000 |
2,0 | 21 000 | 24 000 | 20 900 | 23 000 | 20 500 | 22 000 |
4,0 | 40 000 | 48 000 | 39 500 | 46 000 | 39 000 | 44 000 |
6,0 | 57 000 | 72 000 | 56 500 | 69 000 | 55 500 | 66 000 |
8,0 | 72 000 | 96 000 | 72 000 | 92 000 | 71 500 | 88 000 |
10,0 | 86 000 | 120 000 | 86 000 | 115 000 | 85 500 | 110 000 |
15,0 | 120 000 | 180 000 | 120 000 | 172 500 | 120 000 | 165 000 |
20,0 | 150 000 | 240 000 | 150 000 | 230 000 | 150 000 | 220 000 |
25,0 | 175 000 | 300 000 | 175 000 | 287 500 | 175 000 | 275 000 |
30,0 | 198 000 | 360 000 | 198 000 | 345 000 | 198 000 | 330 000 |
Трансформацию данных гамма-каротажа осуществляют при интерпретации результатов каротажа (
пп. 4.4 и
4.5) путем замены результатов измерений
Iизм, выраженных в мкР/ч, соответствующими трансформированными значениями
Iтр - после введения поправок на нелинейность градуировочных характеристик, на нарушение радиоактивного равновесия между ураном и радием
Kрр и на отжатие радона P в каждое значение
Iизм (п. 4.3.4).
4.3. Поправочные коэффициенты
4.3.1. Поправки на поглощение гамма-излучения промывочной жидкостью П
б находят из
табл. 5 по эквивалентной толщине слоя промывочной жидкости Т
б. Значение Т
б находят по формуле

(4.4)
где

- плотность промывочной жидкости, г/см
3;
2r0 - диаметр скважины, см;
2R - диаметр скважинного прибора, см.
Таблица 5
Поправки на поглощение гамма-излучения
промывочной жидкостью Пб
Эквивалентная толщина слоя промывочной жидкости Тб, г/см2 | Значения Пб | Эквивалентная толщина слоя промывочной жидкости Тб, г/см2 | Значения Пб |
0,0 | 1,0 | 7,5 | 0,80 |
0,5 | 0,98 | 8,0 | 0,80 |
1,0 | 0,96 | 8,5 | 0,79 |
1,5 | 0,94 | 9,0 | 0,78 |
2,0 | 0,93 | 9,5 | 0,77 |
2,5 | 0,91 | 10,0 | 0,76 |
3,0 | 0,90 | 10,5 | 0,76 |
3,5 | 0,89 | 11,0 | 0,75 |
4,0 | 0,88 | 11,5 | 0,74 |
4,5 | 0,86 | 12,0 | 0,74 |
5,0 | 0,85 | 13,0 | 0,72 |
5,5 | 0,84 | 14,0 | 0,71 |
6,0 | 0,83 | 15,0 | 0,70 |
6,5 | 0,82 | 16,0 | 0,69 |
7,0 | 0,81 | | |
Результаты вычислений округляют до 0,5 г/см
2. Плотность промывочной жидкости определяют ареометром или используют данные, полученные буровой службой. Диаметр скважины определяют по данным кавернометрии
(прил. 9). Если скважина обсажена без предварительной кавернометрии, то 2
r0 принимают равным номинальному диаметру бурения.
Если рудовмещающие породы однородны по своей структуре, то при неизменяемой технологии бурения и неизменяемом номинальном диаметре бурения диаметр скважины в пределах рудного интервала, как правило, сохраняется постоянным. Изменчивость фактических диаметров скважин оценивают путем расчета для каждой из выделенных зон среднего диаметра скважины

и среднего квадратического отклонения

по формулам

(4.5)
где

- диаметр
i-го интервала по результатам кавернометрии;
n - число исследуемых интервалов.
Если поправки на поглощение для значений

и

отличаются от поправок для

не более чем на 3%, то при интерпретации в результаты гамма-каротажа вводят поправку, соответствующую значению

. При этом, если такая закономерность установлена по 20 рудным интервалам из 10 и более скважин, то в дальнейшем объем кавернометрии сокращают до 10% от числа всех рудных интервалов, а результаты кавернометрии используют для уточнения среднего диаметра

.
4.3.2. Поправки на поглощение гамма-излучения обсадными трубами П
0 находят из
табл. 6 по толщине стенки обсадных труб Т
0, мм.
Таблица 6
Поправки на поглощение гамма-излучения обсадными трубами, П0
Толщина обсадных труб, Т0, мм | Значения П0 | Толщина обсадных труб, Т0, мм | Значения П0 |
0,0 | 1,00 | 5,5 | 0,82 |
0,5 | 0,98 | 6,0 | 0,80 |
1,0 | 0,96 | 6,5 | 0,79 |
1,5 | 0,95 | 7,0 | 0,78 |
2,0 | 0,93 | 7,5 | 0,76 |
2,5 | 0,91 | 8,0 | 0,75 |
3,0 | 0,90 | 8,5 | 0,74 |
3,5 | 0,88 | 9,0 | 0,72 |
4,0 | 0,87 | 10,0 | 0,70 |
4,5 | 0,85 | 12,0 | 0,66 |
5,0 | 0,84 | | |
4.3.3. Поправки на нарушение радиоактивного равновесия между радием и ураном в урановых рудах определяются коэффициентом радиоактивного равновесия
Kрр, который вычисляют по формуле
Kрр = qRa/qU, доли ед., (4.6)
где qRa и qU - соответственно массовые доли радия в единицах равновесного урана (1 г U ~ 3,4·10-7 г Ra) и урана.
4.3.3.1.
Kрр определяют по результатам анализов проб керна, начиная с первых скважин, пробуренных на месторождении. Основные закономерности изменения
Kрр в плане и разрезе месторождения устанавливают на этапе предварительной разведки. При этом выход керна для изучения
Kрр должен быть достаточно высоким (не менее 70%) и представительно характеризовать разновидности руд и геохимические зоны с возможным нарушением радиоактивного равновесия.
На этапе детальной и эксплуатационной разведок проводят уточнение выявленных закономерностей. При этом на месторождениях с равновесными рудами (или близкими к равновесным) для уточнения Kрр можно использовать керн из скважин с выходом до 50%.
При наличии горных выработок полученные по керну закономерности должны быть подтверждены данными бороздового опробования.
4.3.3.2. После извлечения керна измеряют интенсивность его гамма-излучения с шагом 5 - 10 см. Результаты измерений сравнивают с данными гамма-каротажа и используют для привязки проб керна по глубине и для отбора проб на анализы. Перед отбором проб керн промывают для удаления глинистой корки или снимают верхний слой, интенсивно пропитанный промывочной жидкостью.
4.3.3.3. При отборе проб керна необходимо выполнять следующие требования:
- секции проб отбирают из каждой геохимической зоны в литологически однородных породах - отдельно для окисленных и неокисленных;
- нельзя объединять в одну пробу материал из разных рейсов;
- при мощности рудного интервала менее 1 м рекомендуется отбирать секции пробы длиной не более 30 см, для рудных интервалов мощностью от 1 до 2 м длина секции до 50 см, при мощности более 2 м длину секции можно увеличить до 1 м и более;
- для месторождений гидрогенного типа длину секций у границ рудного интервала уменьшают до 10 - 20 см.
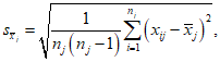
4.3.3.4. В отобранных пробах определяют массовые доли урана и радия и для каждого рудного интервала в границах с кондиционной массовой долей урана подсчитывают средние массовые доли урана, радия и Kрр по формулам

(4.7)

(4.8)

(4.9)
где

,

- соответственно, массовые доли урана и радия (в единицах равновесного урана) в
i-й секции, а
li - ее длина.
Для определения Kрр можно использовать групповую пробу, составленную из секционных проб.
Результаты опробования керна по каждому рудному интервалу наносят на геологическую колонку.
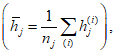
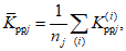
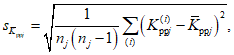
4.3.3.5. Значения
Kрр по всем рудным интервалам объединяют в выборки в зависимости от их принадлежности к геохимическим зонам, морфологическим элементам залежей, литологическим типам и технологическим сортам руд. Обработку выборок проводят при наличии в каждой из них данных по 30 и более значениям
Kрр не менее, чем из 10 скважин. По всем значениям
Kрр в выборке вычисляют среднее значение

и среднее квадратическое отклонение
s по формулам

(4.10)

(4.11)
где

- значение
Kрр в
i-м рудном пересечении.
4.3.3.6. Если
s <= 0,10, то полученное значение
Kрр (4.10) применяют для интерпретации, причем, если

, то принимают
Kрр, равным единице.
При
s > 0,10 необходимо убедиться в однородности выборки. Для этого по значениями

строят вариационный график в следующей последовательности: весь диапазон измерения
Kрр разбивают на 5 - 6 групп - в зависимости от размера выборки, в каждой группе подсчитывают среднее значение

и число случаев (частость), затем по оси абсцисс откладывают значения

, а по оси ординат - соответствующее значение частостей, и по полученным точкам строят график. Неоднородность обычно приводит к появлению на вариационном графике двух и более максимумов. В этом случае необходимо выявить, соответствуют ли эти максимумы определенным зонам, различным типам руд и т.д. При выявлении таких зон выборку разделяют и для каждой из них повторяют процедуру по
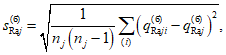
п. 4.3.3.5. Если же вариационный график имеет один максимум, то необходимо проверить, не включены ли в выборку отдельные интервалы (скважины) из других зон или залежей. Для этой цели рекомендуется воспользоваться критерием Смирнова
[6] путем сравнения статистики

(4.12)
где
s определено
формулой (4.11), с ее критическим значением для соответствующих значений доверительной вероятности P и числа наблюдений
N (прил. 10). Рекомендуется считать выборку однородной, если

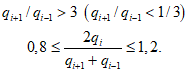
при P = 0,95; если

при P = 0,99, то

по
формуле (4.12) не принадлежит выборке; вопрос о принятии той или иной гипотезы, когда

решается в зависимости от конкретных условий. Если

не принадлежит выборке, то соответствующее значение
Kрр следует отбросить. Операцию проверки однородности повторяют до получения однородной выборки, т.е. когда
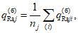
s (4.11) станет меньше 0,25. Количество отбрасываемых значений не должно превышать 5% от общего числа членов в выборке.
4.3.3.7. Если установлено, что выборка однородна при 0,10 < s < 0,25, то для учета нарушения радиоактивного равновесия между радием и ураном при интерпретации данных гамма-каротажа рекомендуется определять непосредственно поправку на это нарушение, Пр, путем подсчета ее по формуле

(4.13)
4.3.3.8. Если для выполнения условия
s < 0,25 требуется отбросить более 5% значений от общего числа членов в выборке, то принимают меры для увеличения объема выборки и проводят оценку возможной зависимости
Kрр от массовой доли радия в рудных интервалах или от их мощности (метропроцента).
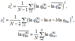
4.3.3.9. Наличие возможной зависимости Kрр от массовой доли радия в рудных интервалах или от их мощности (метропроцента) можно также установить по t-статистике

(4.14)

(4.15)

(4.16)
где hi - длина i-го рудного интервала.
Статистика
t (4.14) имеет распределение Стьюдента с 2(
N - 1) степенями свободы. Рекомендуется считать, что
t не значимо отлично от нуля, если

при
P = 0,95; если

при
P = 0,99, то
t значимо отличается от нуля; вопрос о принятии той или иной гипотезы при

решается в зависимости от конкретных условий. Критические значения
t-статистики приведены в
прил. 11.
Если
t (4.14) значимо отлично от нуля, то делают вывод о наличии зависимости
Kрр от массовой доли радия в рудных интервалах или от их мощности (метропроцента).
| | ИС МЕГАНОРМ: примечание. Текст дан в соответствии с официальным текстом документа. | |
4.3.3.10. Для построения зависимости
Kрр от массовой доли радия в рудных интервалах (мощности, метропроцента) весь диапазон массовых долей радия в границах рудных по урану интервалов (мощностей, метропроцента) в выборке разбивают на 5 - 6 групп с таким расчетом, чтобы в каждую группу попало не менее 6 значений. В каждой группе подсчитывают среднее значение массовых долей радия

(мощностей

, метропроцента
mqi), среднее значение коэффициента радиоактивного равновесия

и среднюю квадратическую погрешность

,

- по формулам

(4.17)

(4.18)

(4.19)
где nj - число значений в j-й группе.
Подсчитанные по формулам значения наносят на график, причем по оси абсцисс откладывают значения

(

,

), а по оси ординат - соответствующие значения

, и через полученные точки проводят плавную линию так, чтобы она не выходила за пределы
(4.19). Полученную зависимость (зависимости) используют при введении поправок на нарушение радиоактивного равновесия.
4.3.3.11. Отличительной особенностью месторождений гидрогенного типа является наличие радиевых ореолов у границ рудных интервалов. Для их учета проводят изучение зависимости бортовой массовой доли радия на границах рудных по урану интервалов

от средней массовой доли радия в этих интервалах

. Эту зависимость устанавливают по результатам анализов секционных проб керна в следующей последовательности.
Первоначально для каждого рудного интервала по
формуле (4.8) подсчитывают средневзвешенную массовую долю радия в рудном интервале,

. Затем отдельно для подошвы и для кровли этих интервалов рассчитывают бортовые массовые доли радия

, соответствующие заданной бортовой массовой доле урана

, по формуле

(4.20)
где qU и qRa - соответственно, массовые доли урана и радия в секции, примыкающей к границе рудного интервала со стороны рудного тела;

и

- то же, в примыкающей к рудному интервалу безрудной секции, причем

.
Формула (4.20) получена в предположении, что при переходе от безрудной секции к рудной массовые доли урана и радия изменяются по линейному закону.
Полученные значения

и

группируют в выборки в зависимости от их принадлежности к геохимическим зонам, литологическим типам и технологическим сортам руд, морфологическим элементам залежей, к кровле или подошве рудных интервалов. Обработку выборок для получения статистически значимых оценок проводят при наличии в каждой из них 30 и более пар.
Весь диапазон значений

по каждой выборке разбивают на 5 - 6 групп с таким расчетом, чтобы в каждую группу попало не менее 6 значений, а центр первой группы (с малыми значениями

) был близок к

. В каждой группе подсчитывают среднее значение массовой доли радия

, среднее значение бортовой массовой доли радия

и среднюю квадратическую погрешность

,

, пользуясь формулами

(4.21)

(4.22)
где
nj - число пар значений (

,

) в
j-й группе.
Найденные пары наносят на график, откладывая по оси абсцисс значения

, а по оси ординат - соответствующие значения

. Через точки и начало координат проводят плавную линию так, чтобы она не выходила за пределы

и аппроксимируют ее выражением вида

(4.23)
Для получения оценок коэффициентов
a и
b рекомендуется использовать метод наименьших квадратов для логарифмов

и

.
По дисперсионному отношению

(4.24)
где

(4.25)
проверяют значимость полученной
зависимости (4.23) путем сравнения
F (4.24) с критическими значениями
Fv,v-1-статистики для
v =
N - 1 и заданной вероятности P
(прил. 12). Если вычисленное значение

для P = 0,99, то гипотеза о равенстве дисперсий должна быть отвергнута и
зависимость вида (4.23) является значимой; если

для P = 0,95, то

не зависит от

и при определении границ рудных интервалов можно пользоваться средним арифметическим значением

; если

, вопрос о принятии той или иной гипотезы решается в зависимости от конкретных условий.
Типичный график зависимости

от

показан на
рис. 6.
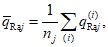
Рис. 6. Зависимость бортовой массовой доли радия

,
соответствующей 10 тыс. долям процента урана, от средней
массовой доли радия в рудном интервале,

:
1 - в кровле; 2 - в подошве; 3 - среднее из значений
в кровле и подошве; сплошная линия - аппроксимация
измеренных значений выражением

4.3.4. Поправки на нарушение радиоактивного равновесия между радоном и радием в околоскважинном пространстве ("отжатие радона")
4.3.4.1. При бурении рудных интервалов в проницаемых породах может происходить нарушение радиоактивного равновесия между радоном и радием вследствие отжатия от скважины радоносодержащих вод фильтратом промывочной жидкости. Это приводит к занижению интенсивности гамма-излучения и, как следствие, к неверному определению параметров рудных интервалов по гамма-каротажу. Если при сопоставлении данных интерпретации гамма-каротажа по радию (Kрр = 1) с данными опробования керна на радий данные гамма-каротажа будут систематически занижены более чем на 5%, то проводят специальные опытно-методические работы для выявления причин расхождения и определения поправочного коэффициента на эффект "отжатия радона".
4.3.4.2. Эффект нарушения равновесия между радоном и радием в зонах возможного отжатия пластовых вод можно установить по результатам режимных наблюдений в гидрогеологических скважинах, создавая в них дополнительное гидростатическое давление путем налива воды. Для этой цели выбирают скважины, по которым в течение месяца не проводились опытные работы, а фильтр установлен в рудоносном горизонте. Перед наливом воды проводят гамма-каротаж рудного интервала и по величине гамма-излучения в безрудных интервалах убеждаются в отсутствии радона в наполняющей скважину жидкости. Затем заливают воду и спустя 3 - 4 ч проводят повторный гамма-каротаж. Уменьшение интенсивности гамма-излучения свидетельствует о наличии эффекта отжатия радона.
4.3.4.3. Уточнить наличие зон проникновения фильтрата промывочной жидкости можно по данным электрокаротажа методом БКЗ. Для надежного определения этой зоны удельное электрическое сопротивление промывочной жидкости должно в 2 - 3 раза отличаться от удельного электрического сопротивления пластовых вод.
4.3.4.4. Для определения поправки на эффект отжатия радона в околоскважинном пространстве можно использовать результаты режимных наблюдений. Для этого по завершении бурения скважину каротируют и измеряют ее диаметр с помощью каверномера. Затем скважину обсаживают глухими обсадными трубами, промывают водой с целью удаления шлама и промывочной жидкости и проводят повторный гамма-каротаж. Дальнейшие режимные наблюдения проводят в течение 25 - 30 суток, причем в течение первых суток каротаж проводят через каждые 8 ч, затем в течение трех суток один раз в сутки, а в дальнейшем - через 2 суток.
4.3.4.5. По результатам гамма-каротажа, проведенного до обсадки, выделяют рудный интервал с выходом во вмещающие породы и расположенный в проницаемых породах, подсчитывают площадь гамма-аномалии S0, мкР/ч·см, и умножают ее на П0-поправку на поглощение гамма-излучения в обсадных трубах. В этих же границах подсчитывают площади аномалий по результатам режимных наблюдений, Si. Полученные значения Si наносят на график, по оси ординат которого откладывают Si, а по оси абсцисс - время t, полагая для S0 t = 0, и соединяют точки плавной кривой. График зависимости площади аномалии от времени при наличии эффекта отжатия радона в проницаемых породах будет возрастающим. Поправку на отжатие радона P находят по отношению Si в конце графика к значению S0.
Режимные наблюдения выполняют по 3 - 5 скважинам.
Поправку на отжатие радона находят как среднее из поправок P по всем рудным интервалам в проницаемых породах исследуемой залежи.
4.3.4.6. Если в пробах с кондиционным выходом керна известны значения массовых долей радия, то поправку на отжатие радона определяют как отношение массовой доли радия в рудном интервале по данным анализа керна к массовой доле радия по результатам гамма-каротажа этого же интервала и подсчетом среднего значения отношений в пределах исследуемой залежи.
4.3.4.7. Для определения поправки на отжатие радона можно пользоваться данными каротажа по методу КНД-м, если известно значение Kрр для данного рудного интервала. Поскольку отношение массовой доли радия по гамма-каротажу (qRa) к массовой доле урана по методу КНД-м (qU) определяет суммарную поправку, то поправку на отжатие радона подсчитывают по формуле
P = Kрр/(qRa/qU). (4.26)
4.3.4.8. Поправку на отжатие радона в результаты гамма-каротажа вводят, если P >= 1,05.
4.3.5. Для определения суммарного поправочного коэффициента на нарушение радиоактивного равновесия и на отжатие радона, а также для изучения зависимостей между бортовой массовой долей радия в рудных по урану интервалах и средним содержанием в них радия можно воспользоваться результатами интерпретации данных гамма-каротажа на радий и данных метода КНД-м на уран. Методика определения этих поправок и зависимостей аналогична изложенной в
пп. 4.3.3 -
4.3.4.
4.3.6. Поправки на гамма-излучение в рудах тория и калия
4.3.6.1. На урановых месторождениях массовые доли тория и калия, как правило, не превышают кларковых значений, поэтому их обычно учитывают только при интерпретации гамма-каротажа на месторождениях гидрогенного типа с низкими содержаниями урана в рудах.
4.3.6.2. Изучение распределения тория и калия проводят по результатам лабораторных анализов проб керна, отобранных для изучения
Kрр. По данным анализов вычисляют средние значения массовых долей тория и калия,

и

(%) в рудных интервалах не менее, чем по 20 скважинам. Затем подсчитывают эквивалентный по интенсивности гамма-излучения вклад тория и калия в результаты гамма-каротажа по формуле

(4.27)
Поправки на наличие в рудах тория и калия вводят в том случае, если

, где

- заданная бортовая массовая доля урана.
Если окажется, что

в среднем не превышает 10% средней массовой доли урана на месторождении, то, независимо от коэффициента вариации тория и калия, вводят единую поправку, вычисленную по
формуле (4.27), исходя из средних значений
qTh и
qK.
Если
(4.27) больше 10%, но не превышает 50% от массовой доли урана в рудах, то единую поправку на наличие в рудах тория и калия вводят в том случае, когда коэффициенты вариаций массовых долей тория и калия не превышают 50%.
4.3.6.3. Если

не удовлетворяет требованиям
п. 4.3.6.2, то при определении поправок на наличие в рудах тория и калия следует придерживаться правил, рекомендуемых для изучения
Kрр (
пп. 4.3.3.1 -
4.3.3.8).
4.3.7. Влажность (В) определяют раздельно для каждой литологической разности пород. По каждой разности должно быть выполнено не менее 20 определений, по которым подсчитывают среднее значение.
Поправку на влажность вводят в том случае, если она больше 0,03.
4.4. Интерпретация результатов гамма-каротажа с помощью ЭВМ
4.4.1. Интерпретацию проводят, как правило, с использованием ЭВМ.
Данные, занесенные на машинный носитель информации непосредственно в процессе каротажа, вводят в ЭВМ и готовят для последующей обработки с помощью специального программно-математического обеспечения. Служебная информация вводится автономно и готовится по форме
прил. 8.
При аналоговой регистрации данные гамма-каротажа, предназначенные для интерпретации на ЭВМ, нужно предварительно "оцифровать", т.е. представить своими значениями, следующими друг за другом с шагом квантования

. Результаты оцифровки выражают непосредственно в мкР/ч или в миллиметрах диаграммной ленты, округляя результаты оцифровки до 0,5 мм, а перевод в мкР/ч осуществляют на ЭВМ путем ввода в программу градуировочной характеристики. Оцифровку проводят вручную или с помощью фотосчитывателя (ФО-14, ФО-18 и др.). Диаграммы гамма-каротажа над одиночными рудными пропластками мощностью до 0,5 м рекомендуется оцифровывать от их максимума. Форма журнала подготовки исходных данных для обработки на ЭВМ дана в
прил. 8. Результаты оцифровки переносят на машинный носитель информации в форматах, регламентированных программно-математическим обеспечением для интерпретации каротажных данных.
4.4.2. Для интерпретации данных гамма-каротажа на ЭВМ используют программы из отраслевого или государственного фонда алгоритмов и программ, реализующие двухэтапный процесс вычислений. На первом этапе определяют массовую долю радия в отдельных элементарных десятисантиметровых пропластках и выражают ее в расчете на воздушно-сухое состояние. На втором этапе находят границы рудных интервалов и массовую долю в них урана.
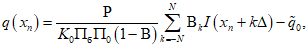
4.4.3. Массовую долю радия q в единицах равновесного урана в точках xn вдоль оси скважины вычисляют по программам, реализующим счет по формуле

(4.28)
где
K0 - пересчетный коэффициент (мкР/ч на 0,01% равновесного урана,
п. 4.2.4);
П
б и П
0 - поправочные коэффициенты на поглощение гамма-излучения промывочной жидкостью
(п. 4.3.1) и обсадными трубами
(п. 4.3.2);

- результаты измерений гамма-излучения в точках

, мкР/ч;

- шаг квантования по глубине (10 см);
Bk - коэффициенты, зависящие от плотности руды, конструкции скважины и скважинного прибора и от угла встречи скважины с рудным пересечением;
N - число точек, выбранных с таким расчетом, чтобы

отличалась от единицы не более чем на 0,005;
- поправка на наличие в рудах тория и калия
(4.27).
Вычисления по
формуле (4.28) позволяют уверенно разделять пропластки, отстоящие друг от друга, не менее, чем на

(20 см).
Коэффициенты B
k для условий, соответствующих проведению гамма-каротажа со скважинными приборами 28 (25) мм, 36 (38) мм и 51 (54) мм для

приведены в
прил. 13. Этими коэффициентами можно пользоваться, если скважина пересекает рудный интервал под углом,

60°. При выборе коэффициентов B
k плотность руды и диаметр скважины округляют до ближайших табличных значений
прил. 13, а изменение плотности промывочной жидкости не учитывают. Допускается линейная интерполяция коэффициентов по плотности руды и диаметру скважины с обязательной проверкой отличия

от единицы.
Появление на выходе ЭВМ отрицательных значений, превышающих по абсолютной величине 10% от ближайшего локального максимума, свидетельствует о неправильном выборе коэффициентов Bk или об ошибках в исходных данных.
Если условия каротажа отличны от табличных
прил. 13, то коэффициенты B
k предварительно рассчитывают по специальным программам.
4.4.4. Последовательность вычислительных процедур при определении мощностей (границ) рудных интервалов и массовых долей в них урана зависит от типа месторождения и выявленных закономерностей поведения коэффициента радиоактивного равновесия.
4.4.4.1. На месторождениях эндогенного типа (когда вблизи рудных тел отсутствуют радиевые ореолы, приводящие к изменению
Kрр у границ рудных интервалов) вычисленные по
формуле (4.28) значения
q(
xn) делят на
Kрр, а массовую долю распространяют на интервал

- по

в обе стороны от точки
xn, в которой был взят отсчет. Границы рудных интервалов устанавливают в пределах интервалов, в которых массовая доля равна заданной бортовой,

. Исключение составляет случай, когда массовая доля в
i-м пропластке (
qi) и в соседних с ним пропластках (
qi-1 и
qi+1) связаны соотношением

(4.29)
При этом границу проводят через середину элементарного пропластка

. Если два рудных интервала разделены безрудным мощностью

и меньше, то их объединяют в один. Исключение составляет случай, когда один из рудных интервалов вместе с безрудным имеет среднюю массовую долю меньше

.
Среднюю массовую долю урана в выделенных границах находят путем вычисления среднего арифметического значения по всем элементарным пропласткам, заключенным между ними, включая точки, через которые проходит граница интервала.
При наличии корреляционной связи между Kрр и мощностью рудных интервалов или массовой долей в них радия предварительно по изложенной методике находят границы рудных интервалов, полагая Kрр равным 1. В выделенных границах подсчитывают среднее значение массовой доли радия и мощность, и в каждый рудный пропласток вводят поправку, найденную из графика корреляционной зависимости, после чего уточняют границы рудных интервалов и подсчитывают среднюю массовую долю урана.
4.4.4.2. На месторождениях гидрогенного типа, которые характеризуются наличием радиевых ореолов вблизи рудных тел, определение границ рудных по урану интервалов проводят, используя зависимость бортовой массовой доли радия

от средней массовой доли радия в рудном интервале,

(см.
п. 4.3.3.11). Программу обработки на ЭВМ строят в этом случае по следующему алгоритму:
1) выделяют интервалы, внутри которых массовая доля радия больше или равна заданной

, где (
Kрр/P) - поправка на нарушение радиоактивного равновесия между радием и ураном и на отжатие радона. Если два интервала, в каждом из которых

разделены безрудным пропластком мощностью

и менее, то их объединяют в один. Исключение составляет случай, когда один из присоединяемых интервалов вместе с безрудным пропластком имеет среднюю массовую долю меньше

;
2) в выделенных границах подсчитывают среднюю массовую долю радия

как среднее арифметическое значение массовых долей в элементарных пропластках

, попавших в этот интервал;
3) для найденного значения

по графику зависимости

от

для кровли и подошвы рудных интервалов находят соответствующие значения

, выделяют интервал, в котором массовая доля больше

и в границах этого интервала подсчитывают среднее значение массовой доли радия

;
4) процедуру по
п. 3 повторяют до тех пор, пока границы рудного интервала перестанут изменяться. Эти границы определяют мощность рудного интервала;
5) для расчета средней массовой доли урана в выделенных границах рудных интервалов делят среднее значение массовой доли радия

на
Kрр (п. 4.3.3.5) и P
-1 (п. 4.3.4). Если между
Kрр и мощностью рудных интервалов или массовой долей в них радия установлена корреляционная связь, то массовую долю урана находят делением

на
Kрр, найденный по соответствующему корреляционному графику.
4.5. Графический способ интерпретации
4.5.1. Графический способ интерпретации применяют при отсутствии ЭВМ, а также для оперативной обработки каротажных материалов.
4.5.2. В основу графического способа интерпретации данных гамма-каротажа положена зависимость
S = K0·q·hв, (4.30)
где
S - площадь гамма-аномалии с учетом всех поправочных коэффициентов по
п. 4.3;
q - средняя массовая доля урана в рудном интервале;
hв - мощность рудного интервала в границах оруденения по стволу скважины (видимая мощность);
Интерпретацию проводят в два этапа: вначале определяют границы (мощность) рудных интервалов, а затем - среднюю массовую долю в них урана.
4.5.3. В зависимости от формы гамма-аномалии для определения границ рудного интервала по стволу скважины (видимой мощности) применяют следующие способы:
- способ Z1/2, основанный на нахождении положения точек, в которых интенсивность гамма-излучения равна половине максимальной;
- способ Iз, основанный на нахождении положения точек, в которых интенсивность гамма-излучения равна заданному значению (способ заданной интенсивности);
- способ Z0, основанный на измерении крутизны крыльев гамма-каротажных диаграмм.
4.5.3.1. Способ определения границ выбирают в зависимости от проекции на ось глубин "прямолинейного" отрезка крыла графика гамма-аномалии, продолженного до пересечения с уровнем фона - интенсивностью гамма-излучения вмещающих пород (отрезок
bф на
рис. 7).
Рис. 7. Пример, иллюстрирующий выбор способа определения
границ уранового оруденения по стволу скважины:

; 2
R = 36 мм; 2
r0 = 136 мм
Если угол встречи скважины с рудным телом

, а
bф <= 2
bт, где
bт найдено по
рис. 8, то граница между рудным телом и вмещающими породами резкая, и для ее нахождения применяют один из способов
Z1/2 или
Z0. Если
bф > 2
bт, то переход от рудного тела к вмещающим породам постепенный и границу находят способом заданной интенсивности
Iз.
Рис. 8. Номограмма для выбора способа определения границ
уранового рудного тела.
Плотность руды, г/см3: 1 - 1,25; 2 - 1,5; 3 - 2,0;
4 - 2,5; 5 - 3,0; 6 - 3,5
Если

, то значение
bф до сравнения с
bт умножают на

.
4.5.3.2. Способ
Z1/2 применяют для интерпретации диаграмм гамма-каротажа, соответствующих рудным телам с резкими границами при переходе к вмещающим породам. По этому способу для определения мощности рудного интервала по стволу скважины измеряют ширину гамма-аномалии - расстояние между точками на диаграмме гамма-каротажа, в которых интенсивность гамма-излучения равна полуразности между максимальной интенсивностью и интенсивностью во вмещающих породах,
Z1/2 (отрезок
CD на
рис. 9). Если угол встречи скважины с рудным телом

, то по соответствующему графику
рис. 10 находят для данного
Z1/2 мощность
h =
hв. Если

, то найденное из диаграммы гамма-каротажа значение
Z1/2 следует предварительно умножить на

, найти по соответствующему графику
рис. 10 истинную мощность
h и разделить ее на

. Полученное значение определяет видимую мощность рудного интервала по стволу скважины,
hв.
Рис. 9. Пример определения границ уранового оруденения
способом Z1/2:

; 2
R = 36 мм; 2
r0 = 87 мм
Рис. 10. Номограммы для определения мощности рудного
пересечения способом Z1/2.
Диаметр скважины, мм: 1 - 40; 2 - 80; 3 - 120;
4 - 200; 5 - 300.
Плотность руды, г/см3: а - 3,5; б - 3,0; в - 2,5;
г - 2,0; д - 1,5; е - 1,25
Для нахождения положения границ рудного интервала по оси глубин необходимо из середины отрезка, соединяющего точки, в которых интенсивность гамма-излучения равна половине максимальной (отрезок
CD на
рис. 9), опустить на ось глубин перпендикуляр и из точки пересечения перпендикуляра с осью глубин отложить в обе стороны отрезки

. Концы этих отрезков (точки
E и
F на
рис. 9) и определяют границы рудного интервала по стволу скважины.
Если диаграмма гамма-каротажа не имеет четкого максимума, то ее ширину определяют по расстоянию между проекциями на ось глубин точек, в которых "прямолинейные" отрезки крыльев графика гамма-аномалии делятся пополам.
Если ширина гамма-аномалии
Z1/2 >= 50 см, то как следует из графиков
рис. 10, границы рудного интервала находят непосредственно по точкам, в которых интенсивность гамма-излучения равна 1/2
Imax - полуразности между максимальной интенсивностью и интенсивностью во вмещающих породах (так называемый способ 1/2
Imax; отрезок
AB на
рис. 9).
4.5.3.3. Способ заданной интенсивности
Iз применяют для определения положения границ рудных интервалов с заданной балансовой массовой долей урана при непрерывном и постепенном изменении массовой доли по мощности, когда диаграмма гамма-каротажа имеет "прямолинейный" участок, простирающийся не менее, чем на

(

- плотность руды, г/см
3) по оси скважины. По этому способу границы рудных интервалов находят по проекциям на ось глубин точек, в которых интенсивность гамма-излучения равна заданной. Заданную интенсивность вычисляют по формуле

(4.31)
где
qз - заданная бортовая массовая доля урана в рудах, а остальные обозначения те же, что и в
пп. 4.2 и
4.3.
Заданная интенсивность
Iз не должна выходить за пределы "прямолинейных" участков диаграммы гамма-каротажа (см.
рис. 7).
4.5.3.4. Способ
Z0 применяют при интерпретации данных гамма-каротажа, соответствующих чередованию маломощных (менее 20 см) рудных и безрудных пропластков с резкими границами (см.
п. 4.5.3.1), для определения положения границ крайних рудных пропластков. Для определения мощности рудного интервала по этому способу по диаграмме гамма-каротажа измеряют расстояние
Z0 между проекциями на ось глубин точек пересечения "прямолинейных" участков крыльев гамма-аномалий с уровнем фона (отрезок
CD на
рис. 11) и по номограмме
рис. 12 находят значение 2
l0. Если угол скважины с рудным телом

, то значение мощности
h =
hв находят по формуле
h = Z0 - 2l0. (4.32)
Рис. 11. Пример, иллюстрирующий применение способа
Z0
для определения границ рудного тела:

; 2
R = 36 мм; 2
r0 = 96 мм
Рис. 12. Номограммы для определения мощности рудного тела
способом Z0 (зависимость 2l0 от диаметра скважины 2r0).
Плотность руды, г/см3: 1 - 1,25; 2 - 1,5; 3 - 2,0;
4 - 2,5; 5 - 3,0; 6 - 3,5
Если

, то найденное из номограммы (см.
рис. 12) значение 2
l0 следует предварительно разделить на

.
Для нахождения границ рудного интервала на оси глубин необходимо от проекций на эту ось точек пересечения "прямолинейных" участков крыльев гамма-аномалии с уровнем фона (точки
C и
D на
рис. 11) отложить внутрь аномалии отрезки

. Концы этих отрезков (точки
E и
F на
рис. 11) и определят границы рудного интервала по стволу скважины.
4.5.3.5. Угол встречи скважины с рудным интервалом

для пластовых и жильных месторождений определяют по геологическому разрезу.
4.5.4. Среднюю массовую долю урана в рудном интервале находят по формуле
где S - площадь каротажной диаграммы (мкР·см)/ч;
hв - видимая мощность рудного пересечения, см;
K0 - пересчетный коэффициент, мкР/(ч·0,01%U).
При наличии в скважине промывочной жидкости, обсадных труб, когда руды неравновесные и в них присутствуют торий и калий, в площадь
SU, полученную непосредственно по результатам гамма-каротажа, вводят соответствующие поправки и для вычисления
q в
(4.33) применяют
S, подсчитанную по формуле

(4.34)
в которой все обозначения соответствуют принятым в
п. 4.3.
4.5.4.1. Контур, в пределах которого измеряют площадь гамма-аномалии
S, устанавливают в зависимости от способа определения границ рудного интервала. Если границы найдены способом
Z1/2, то для определения контура следует со стороны кровли и подошвы рудного интервала параллельно оси глубин провести линию, соответствующую интенсивности гамма-излучения вмещающих пород, до пересечения с перпендикулярами к оси глубин из точек, соответствующих границам рудного интервала (
рис. 13, контур
ABCDEFG). Если уровень интенсивности гамма-излучения вмещающих пород четко не прослеживается, то в качестве этого уровня принимают линию, проведенную параллельно оси глубин из ближайшей к крылу гамма-аномалии точки перегиба графика или из ближайшего локального минимума - в зависимости от величины интенсивности (см.
рис. 13, линия
EF).
Рис. 13. Примеры оконтуривания графиков гамма-аномалий
для подсчета площадей:

; 2
R = 36 мм; 2
r0 = 89 мм;

Если границы рудного интервала определены способом
Iз, то гамма-аномалию оконтуривают графиком гамма-каротажа, осью глубин и перпендикулярами к оси глубин из точек, соответствующих границам рудного интервала (
рис. 13, контур
A1B1C1D1E1F1).
4.5.4.2. Площадь S измеряют в границах замкнутого контура с помощью планиметра или подсчитывают по формуле трапеций. В обоих случаях площадь предварительно выражают в квадратных сантиметрах, а затем с учетом масштабов по оси глубин и оси интенсивностей выражают в (мкР·см)/ч.
Измерения планиметром проводят не менее двух раз и, если результаты различаются менее, чем на погрешность планиметра, для расчетов используют их среднее арифметическое значение. При больших расхождениях измерения повторяют.
4.5.4.3. В некоторых случаях крылья гамма-аномалий от рудных тел с балансовым оруденением могут быть осложнены ореолами забалансовых руд. Для исключения влияния таких ореолов рекомендуется использовать способ
Z1/2 для определения положения границ рудных интервалов, а при подсчете массовой доли использовать кривую насыщения, если истинная мощность
h такова, что

(

- плотность руды, г/см
3) или зависимость от мощности
h отношения площади гамма-аномалии непосредственно над рудным телом (
s) ко всей площади гамма-аномалии (
S), когда

.
При определении положения точек, соответствующих половине максимальной интенсивности, ореол забалансовых руд в расчет не принимают и за 1/2
Imax берут значение, равное половине разности между максимальной интенсивностью и интенсивностью гамма-излучения вмещающих пород со стороны кровли и подошвы интервала
(рис. 14).
Рис. 14. Примеры интерпретации гамма-аномалий, крылья
которых осложнены ореолами забалансовых руд:

; 2
R = 36 мм; 2
r0 = 89 мм;

4.5.4.4. Для определения средней массовой доли урана в рудном интервале с помощью кривых насыщения по найденной истинной мощности этого интервала из соответствующего графика
рис. 15 находят
f(
h) =
Imax/
I0 и подсчитывают искомую массовую долю урана по формуле

(4.35)
где Imax - максимальная интенсивность гамма-излучения в границах рудного интервала с учетом всех поправочных коэффициентов;
K0 - пересчетный коэффициент.
Рис. 15. Кривые насыщения для измерений в скважинах
различных диаметров, мм:
1 - 40; 2 - 80; 3 - 120; 4 - 200; 5 - 300.
Плотность руды, г/см3: а - 3,5; б - 3,0; в - 2,5;
г - 2,0; д - 1,5; е - 1,25
4.5.4.5. Для определения средней массовой доли урана с использованием зависимости отношения
s/
S от истинной мощности
h подсчитывают площадь
s непосредственно над рудным интервалом, предварительно исключив фон, соответствующий интенсивности гамма-излучения вмещающих пород (площадь
ABCDE на
рис. 14). Если уровень фона со стороны кровли и подошвы различный, то для оконтуривания проводят "усредненную" линию фона (отрезок
AE на
рис. 14). Затем по соответствующему графику
рис. 16 находят для заданной истинной мощности
h значение
s/
S и путем деления вычисленной площади
s на отношение
s/
S находят площадь
S (см
2). К полученному значению необходимо теперь прибавить
s0 - площадь, ограниченную уровнем фона, осью глубин и линиями, проведенными перпендикулярно оси глубин из точек, соответствующих границам рудного интервала (площадь
A1AEE1 на
рис. 14), и выразить сумму
S1 =
S +
s0 в (мкР·см)/ч. Среднюю массовую долю урана в рудном интервале находят по
формуле (4.33).

Рис. 16. Зависимость отношения
s/
S от мощности
рудного тела h в скважинах различных диаметров, мм:
1 - 40; 2 - 80; 3 - 120; 4 - 200; 5 - 300.
Плотность руды, г/см3: а - 3,5; б - 3,0; в - 2,5;
г - 2,0; д - 1,5; е - 1,25
5. ОЦЕНКА ДОСТОВЕРНОСТИ РЕЗУЛЬТАТОВ КАРОТАЖА
5.1. Оценка случайной погрешности
5.1.1. Случайная погрешность исходных параметров рудных интервалов (мощности, массовой доли урана) определяется суммой погрешностей измерений на скважине, поправочных коэффициентов и результатов интерпретации.
5.1.2. Стабильность работы аппаратуры в период между градуировками оценивают по результатам измерений контрольного источника гамма-излучения до и после каротажа или до и после окончания рабочей смены (
пп. 1.5.12 -
1.5.14). Результаты отдельных измерений не должны отличаться от опорных, выполненных при градуировке, более чем на 10%. Погрешность работы аппаратуры в период между градуировками характеризуют средним квадратическим отклонением

(5.1)
где Ri - результаты отдельных измерений (обычно среднее из измерений до и после каротажа);
R - опорные измерения;
n - число измерений.
Значение s для нормально работающей аппаратуры не должно превышать 7%.
5.1.3. Погрешность измерений при каротаже оценивают по результатам сравнения площадей каротажных диаграмм по контрольной скважине или площадей (или средних интенсивностей) каротажных диаграмм основного (Sо) и контрольного (Sк) каротажей.
Если для проведения контрольного каротажа используют контрольную скважину, то относительное среднее квадратическое отклонение подсчитывают по формуле

(5.2)
где

- площадь гамма-аномалии при
i-м каротаже контрольной скважины;
Sк - паспортное значение площади гамма-аномалии (мкР·см)/ч;
n - число каротажей.
При проведении контрольного каротажа на производственных скважинах
(п. 2.2.14) относительное среднее квадратическое отклонение подсчитывают по формуле

(5.3)
где

и

- соответственно, площади гамма-аномалий при основном и контрольном каротаже, (мкР·см)/ч, или значения средних интенсивностей гамма-излучения в пределах контролируемого интервала, мкР/ч;
n - число пар измерений.
Результаты отдельных измерений

не должны отличаться от
Sк (или от

) более чем на 10%, а погрешность измерений, подсчитанная по
формулам (5.2) или
(5.3), при
n > 20 не должна превышать 7%.
5.1.4. Погрешности поправочных коэффициентов, найденных по результатам опробования керна и на основании опытно-методических работ, определяют следующим образом.
Меру рассеяния среднего значения поправочного коэффициента (например, Kрр), характеризуют величиной

(5.4)
а погрешность среднего значения

- значением

(5.5)
Число
n рекомендуется выбирать с таким расчетом, чтобы

с доверительной вероятностью 0,95 не превышала 5%, т.е. чтобы

.
5.1.5. Случайную погрешность гамма-каротажа оценивают путем сравнения результатов интерпретации основных и контрольных измерений одних и тех же рудных интервалов.
Погрешность определения мощности рудных интервалов (m) характеризуют средним квадратическим отклонением и подсчитывают по формуле

(5.6)
где

и

- соответственно, мощность рудного интервала по результатам интерпретации основного и контрольного каротажей.
Погрешность определения метропроцента mq характеризуют относительным средним квадратическим отклонением и подсчитывают по формуле

(5.7)
где

и

- соответственно, метропроцент по результатам интерпретации основного и контрольного каротажей.
Погрешность определения мощности (sm) при n > 20 не должна превышать 7 см, а метропроцента (smq) - 7%.
5.2. Оценка систематической погрешности
5.2.1. Результаты гамма-каротажа на месторождениях равновесных урановых руд в условиях, когда проведение гамма-каротажа не осложнено мешающими факторами, которые учитывают с помощью поправочных коэффициентов, дают непосредственно сведения о параметрах рудных интервалов без систематической погрешности и не требуют подтверждения результатами контрольного геологического опробования.
5.2.2. При использовании данных гамма-каротажа для подсчета запасов урана на месторождениях с нарушенным радиоактивным равновесием или при наличии осложняющих проведение каротажа факторов (притоки радоновых вод, появление неконтролируемых каверн и т.д.) достоверность подсчетных параметров (мощность, метропроцент, массовая доля урана) должна быть подтверждена данными геологического опробования керна по части скважин или же данными метода КНД-м.
5.2.3. Пересечения рудных интервалов, по которым проводят сопоставление, должны быть равномерно распределены по месторождению с учетом его геологического строения. Сопоставление проводят отдельно для всех типов руд, принадлежащих различным геохимическим зонам.
5.2.4. Ответственность за качество геологического опробования несет геологическая служба. Скважины, предназначенные для сопоставлений, должны иметь выход керна по рудному интервалу не менее 75%. При отборе керновых проб рекомендуется руководствоваться требованиями
п. 4.3.3.3.
5.2.5. Данные о сопоставляемых параметрах рудных интервалов группируют по классам содержаний (или мощностей). За основу группирования принимают данные геологического опробования. Должно быть выделено не менее трех классов, соответствующих забалансовым, балансовым (среднего качества) и богатым рудам.
5.2.6. Систематическое расхождение мощностей и массовых долей в каждом из выделенных классов оценивают по разности средних значений

(5.8)
где xi и yi - результаты единичных определений мощности (массовой доли) по основному и контрольному методам;
Zi = xi - yi;
n - число сопоставляемых пар;

и

- средние значения результатов основного и контрольного (геологического) методов.
Статистическую значимость полученного среднего расхождения

по
формуле (5.8) оценивают по
t-статистике

(5.9)
Если при доверительной вероятности P = 0,95 и данном числе степеней свободы (сопоставлений)

вычисленное по
формуле (5.9) значение

, то отличие

от нуля считают случайным и констатируют отсутствие систематической погрешности. Если при P = 0,99

, то между

и

есть систематическое расхождение, определяемое значением
(5.8). Если

, то необходимо увеличить число сопоставлений.
Значения

для P = 0,95 и P = 0,99 даны в
прил. 11.
5.2.7. Величину и значимость систематических расхождений в определении метропроцента в каждом из выделенных классов содержаний (или мощностей) оценивают по
формулам (5.8) -
(5.9) с заменой
Zi и

величинами

и

, где
xi и
yi - результаты основного и контрольного методов соответственно.
Для оценки принадлежности крайних членов совокупности (
Zi или

) к одной выборке рекомендуется воспользоваться статистикой Смирнова

(5.10)
где

- среднее значение.
Выборку считают однородной, если

при P = 0,95; если

при P = 0,99, то соответствующее значение
Zi следует отбросить; вопрос о принятии той или иной гипотезы при

решается в зависимости от конкретных условий. Количество отбрасываемых значений не должно превышать 5% от числа членов в выборке.
Значения

Смирнова для P = 0,95 и P = 0,99 даны в
прил. 10.
5.2.8. При большом диапазоне изменений параметров рудных интервалов для оценки абсолютных и относительных систематических погрешностей по всему массиву параметров можно вместо вычисления оценок по
пп. 5.2.5 -
5.2.7 построить уравнение линейной связи между результатами основных
x и контрольных
y определений этих параметров вида
ay +
bx +
c = 0 по схеме, приведенной в
прил. 14. Предварительно рекомендуется убедиться в наличии линейной связи по специально построенному графику зависимости
x от
y.
5.2.9. В каждом из выделенных по
п. 5.2.5 классе результаты определений параметров рудных интервалов по гамма-каротажу должны быть проконтролированы данными геологического (контрольного) опробования не менее чем по 30 интервалам из 20 и более скважин.
Общее число пар основных и контрольных определений параметров рудных интервалов для построения линейной связи по
п. 5.2.8 - не менее 30.
5.2.10. При отсутствии статистически значимых систематических расхождений между результатами гамма-каротажа (
x) и данными контрольного метода опробования (
y) подсчитывают случайные расхождения между параметрами рудных интервалов, определенными каждым из методов. Подсчет ведут по формуле

(5.11)
для мощностей рудных интервалов и по формуле

(5.12)
для метропроцента.
5.3. Данные гамма-каротажа признают достоверными, если:
значения случайных погрешностей определения параметров рудных интервалов
(п. 5.1.5) не превышают 7 см по мощности и 7% - по метропроценту;
систематические составляющие погрешностей определения параметров рудных интервалов статистически незначимы
(п. 5.2.6);
средние квадратические расхождения между параметрами рудных интервалов по гамма-каротажу и по данным контрольного (геологического) метода не превышают 25 см по мощности и 25% - по метропроценту
(п. 5.2.10).
6. МЕТРОЛОГИЧЕСКОЕ ОБЕСПЕЧЕНИЕ АППАРАТУРЫ
6.1. К измерениям на скважине допускается аппаратура, отдельные функциональные элементы которой или комплект в целом прошли метрологическую поверку ведомственной метрологической службой и которая подготовлена в соответствии с требованиями, изложенными в
разд. 1.
6.2. Поверка аппаратуры производится при выпуске и не реже одного раза в год при эксплуатации, а также после ремонта, который может влиять на метрологические параметры.
7. ОРГАНИЗАЦИЯ РАБОТ И ОТЧЕТНОСТЬ
7.1.1. Все геофизические работы на скважине выполняются каротажным отрядом, состав которого определяется объемом работ в соответствии с утвержденным проектом и сметой.
7.1.2. Обязанности инженерно-технического персонала каротажного отряда
7.1.2.1. Руководитель каротажной службы (отряда) отвечает за своевременное проведение каротажа, его качество, следит за правильностью исполнения каротажных работ в соответствии с утвержденным проектом и настоящей инструкцией, ведет сводный журнал учета каротажа, отвечает за соблюдение правил техники безопасности, намечает (совместно с геологом) интервалы опробования керна и отбора проб, составляет отчет о выполненной работе, внедряет передовые методы и организует занятия по повышению квалификации ИТР и рабочих.
7.1.2.2. Инженер-оператор (или техник-оператор) проводит работы на скважине, отвечает за качество и оформление первичных материалов, следит за сохранностью и исправностью оборудования и аппаратуры, проводит градуировку, профилактический осмотр и ремонт каротажной аппаратуры и оборудования.
7.1.2.3. Инженер (или техник) интерпретатор проводит оперативную количественную интерпретацию данных каротажа, готовит материалы для обработки на ЭВМ и осуществляет прием результатов обработки. При необходимости для камеральной обработки результатов каротажа в экспедициях и ГРП создается группа интерпретаторов, возглавляемая инженером-геофизиком, состав которой обосновывается проектом работ.
7.1.3. Обязанности рабочих отряда, включая шофера, устанавливает руководитель каротажной службы (отряда).
7.1.4. Руководитель каротажной службы должен ознакомить инженерно-технический персонал, выполняющий каротажные работы, с настоящей инструкцией и обеспечить ее выполнение.
7.2.1. Каротажная служба, входящая в состав геологоразведочной (поисковой) экспедиции (партии), представляет отчетность по форме и в сроки, установленные вышестоящей организацией для всей экспедиции (партии).
7.2.2. Текущий отчет по каротажным работам должен содержать следующие данные:
запланированные виды каротажных исследований, их объемы и данные о выполнении плана;
краткие сведения о методике и технике работ и интерпретации результатов;
итоговые данные по проведенным работам с выводами;
оценку качества полевых материалов по результатам их приемки
(прил. 15);
материалы, подтверждающие достоверность поправочных коэффициентов и полученных результатов в целом;
предложения по усовершенствованию методики и техники работ.
7.2.3. В отчет по подсчету запасов, представляемый в ГКЗ при Совете Министров СССР, должны входить следующие материалы.
7.2.3.1. Методическая записка с кратким описанием:
использованной каротажной аппаратуры и оборудования, их технического состояния и методов поверки;
методики и техники проведения каротажа с оценкой достоверности и точности подсчетных параметров;
методики изучения состояния радиоактивного равновесия между радием и ураном, радоном и радием, распределения в рудах тория и калия и установленные закономерности;
методики количественной интерпретации данных гамма-каротажа с обоснованием величин введенных поправочных коэффициентов;
методики и техники других видов каротажа, использованных для определения подсчетных параметров.
7.2.3.2. Приложения, в которые включены:
выборочные (типовые) данные градуировки аппаратуры;
копии паспортов (свидетельств) ИИИ 226Ra, используемых при проведении каротажных работ;
карты или таблицы мест отбора проб для изучения радиоактивного равновесия и распределения в рудах тория и калия;
таблицы результатов полных химических анализов объединенных проб, расчет по ним коэффициентов приведения к нормальной среде

и эффективного атомного номера
Zэф - для обоснования принятого значения пересчетного коэффициента
K0;
расчет случайных погрешностей измерений по данным основного и контрольного каротажей;
итоговые таблицы результатов контроля анализов порошковых проб и их статистическая обработка;
результаты сопоставления данных каротажа и опробования керна (если в этом была необходимость) и материалы их статистической обработки.
Первичные материалы в подлинниках представляются в ГКЗ по требованию.
8. ОХРАНА ТРУДА И ТЕХНИКА БЕЗОПАСНОСТИ
8.1.1. До начала работ весь персонал должен быть ознакомлен с основными правилами охраны труда и техники безопасности при каротаже, о чем в журнале инструктажа должна быть произведена соответствующая запись.
8.1.2. При проведении каротажных работ на всех этапах поисков и разведки урановых месторождений необходимо строго соблюдать требования следующих нормативных документов: Правила безопасности при геологоразведочных работах, утвержденные Госгортехнадзором СССР 20.03.79 г.
[11], Нормы радиационной безопасности
НРБ-76 и основные санитарные правила
ОСП-72/80, утвержденные Главным Государственным санитарным врачом СССР 18.01.80 г.
[8], Типовые правила пожарной безопасности для промышленных предприятий, утвержденные Главным управлением пожарной охраны МВД СССР 21.07.75 г.
[14].
8.1.3. Ответственность за соблюдение правил техники безопасности, в том числе радиационной, а также за принятие мер по охране труда несут начальник, главный инженер, главный геофизик и руководитель каротажной службы экспедиции (партии).
8.1.4. Должностные лица и инженерно-технические работники, допустившие проведение каротажных работ с нарушением правил охраны труда и техники безопасности, привлекаются к дисциплинарной, административной или уголовной ответственности в порядке, установленном законодательством СССР.
8.1.5. Для предупреждения несчастных случаев необходимо:
организовать каротажные работы в соответствии с требованиями
разд. 1 настоящей инструкции;
ознакомить и обучить работающих с правилами безопасного проведения каротажных работ и обеспечить строгое их выполнение;
установить ограждения движущихся частей и механизмов;
содержать оборудование, механизмы и инструменты в исправном состоянии;
содержать в чистоте и порядке помещения и рабочие места;
снабдить работников спецодеждой, спецобувью, защитными средствами и предохранительными устройствами в соответствии с действующими нормами и правилами;
строго соблюдать правила охраны труда и техники безопасности, пожарной безопасности и производственной санитарии.
8.1.6. Каждый исполнитель до начала работ обязан проверить состояние рабочего места, исправность оборудования и инструментов. Категорически запрещается проводить работы с неисправными механизмами, оборудованием и инструментами.
8.1.7. В рабочих помещениях, на буровой и в каротажной станции должно быть обеспечено нормальное освещение рабочих мест.
8.1.8. При каротажной станции должна быть аптечка с набором медикаментов и перевязочных материалов для оказания первой помощи и огнетушитель.
8.1.9. При каждом несчастном случае следует:
немедленно оказать пострадавшему медицинскую помощь;
прекратить работу до устранения неисправности или причин, вызвавших несчастный случай.
Расследование и учет всех несчастных случаев должны производиться в строгом соответствии с "
Положением о расследовании и учете несчастных случаев на производстве", утвержденным ВЦСПС 20.05.66 г. с изменениями от 24.03.75 г.
8.2. Основные правила техники безопасности при каротаже
8.2.1. При работе на буровой скважине необходимо:
установить каротажную станцию таким образом, чтобы была обеспечена хорошая видимость между станцией и устьем скважины, а ось барабана подъемника была горизонтальна и перпендикулярна оси скважины;
надежно укрепить блок-баланс над устьем скважины таким образом, чтобы плоскость ролика проходила через середину барабана подъемника перпендикулярно к его оси, а геофизический кабель опускался по оси скважины;
закрепить станцию ручным тормозом и подложить под колеса автомобиля колодки или специальные упоры;
проверить исправность тормозных механизмов подъемника, качество ограждений и надежность механического крепления муфты и скважинного прибора;
проверить действие подъемника бурового станка;
удалить с буровой посторонних лиц.
8.2.2. Запрещается проводить каротажные работы на буровой:
если подготовка скважины не отвечает требованиям
разд. 2 настоящей инструкции;
при сильном газировании скважины, аномальном поглощении промывочной жидкости и при наличии препятствий для прохождения скважинного прибора в скважине;
во время грозы.
В отдельных случаях при наличии препятствий для прохождения скважинного прибора и прихвата геофизического кабеля или скважинного прибора по решению начальника партии (отряда) каротаж скважины можно проводить принудительным способом с помощью буровых штанг, внутрь которых помещают кабель. При этом спуск буровых штанг производят без вращения.
8.2.3. Между каротажной станцией и устьем скважины не должно находиться предметов, препятствующих движению кабеля.
8.2.4. Перед включением подъемника машинист обязан установленным сигналом предупредить окружающих о начале подъема или спуска скважинного прибора (кабеля).
8.2.5. При спуске или подъеме кабеля у подъемника должен находиться машинист. При неисправности кабелеукладчика направлять кабель, наматываемый на барабан подъемника, разрешается только с помощью специального рычага.
8.2.6. Спуск геофизического кабеля с ручного подъемника разрешается только при снятых ручках и при наличии надежно действующего тормоза.
8.2.7. При длительных остановках подъемника необходимо пользоваться храповиком. Собачку храповика можно опускать только при заторможенном барабане подъемника.
8.2.8. По окончании спуска геофизического кабеля в скважину на барабане подъемника должно оставаться не менее половины ряда витков кабеля.
8.2.9. Во время работы подъемника запрещается:
смазывать движущиеся части механизмов;
регулировать приводные цепи и ремни;
тормозить движущиеся части при помощи каких-либо предметов, не предназначенных для этой цели, а также непосредственно руками или ногами;
переступать через движущийся кабель, браться за него руками, касаться, наклоняться и поправлять на нем метки.
8.2.10. Во избежание затаскивания скважинного прибора на ролик блок-баланса в 25 - 30 м от скважинного прибора на кабеле должна быть установлена хорошо различимая предупредительная метка. Скорость подъема скважинного прибора при подходе к устью скважины после появления предупредительной метки должна быть не более 150 м/ч.
8.2.11. При сильном натяжении кабеля в случае его прихвата персоналу запрещается находиться между устьем скважины и подъемником.
8.3. Обращение с электрооборудованием
8.3.1. Перед проведением каротажа корпус каротажной станции, рамы подъемника и другие устройства должны быть надежно заземлены. Сопротивление заземляющего устройства не должно превышать 400 Ом, а в грунтах с высоким удельным сопротивлением и в вечной мерзлоте 10 Ом. Удельное сопротивление заземляющего устройства определяется прибором МС-08. Для заземления агрегатов следует использовать контур заземления буровой.
8.3.2. Каротажное оборудование должно подключаться к электрической сети напряжением не более 380 В. Подключение каротажной станции к электрической сети буровой установки производится лицом, имеющим на то право - после окончания сборки электросхемы станции.
8.3.3. Кабель, соединяющий электрооборудование с электрической сетью, должен быть подвешен на высоте не менее 2 м и располагаться в местах, где нет проходов и где исключена возможность его повреждения.
8.3.4. Разборка и сборка электрических схем разрешается только при выключенных источниках питания. Запрещается пользоваться соединительными проводами, кабелями, выключателями и т.д. с оголенными и незащищенными выводами.
8.3.5. Зарядку и ремонт аккумуляторов должны выполнять лица, знакомые с соответствующими инструкциями и знающие способы безопасного выполнения этих работ.
8.4. Правила пожарной безопасности
8.4.1. При выполнении каротажных работ персонал партии (отряда) должен руководствоваться Типовыми правилами пожарной безопасности для промышленных предприятий
[14]. При возникновении пожара каждый работник должен занять свое место согласно предписанию и четко выполнять обязанности по ликвидации пожара. Ответственность за соблюдение правил противопожарной безопасности возлагается на начальника партии (отряда).
8.4.2. Производственные помещения и автомашины каротажной партии должны быть оборудованы противопожарным инвентарем; на автомашине каротажной станции должны быть огнетушитель, топор, лопата, ведро, кошма.
8.4.3. Запрещается пользоваться открытым огнем на расстоянии до 15 м от буровой и 10 м от каротажной станции.
8.4.4. Ветошь и другие обтирочные материалы должны храниться в плотно закрытых железных ящиках. Использованный обтирочный материал запрещается хранить в помещениях и на каротажной станции.
8.5. Меры радиационной безопасности
8.5.1. При проведении работ по гамма-каротажу необходимо соблюдать Правила безопасности при геологоразведочных работах, утвержденные Мингео СССР 20 марта 1979 г.
[11], и Нормы радиационной безопасности
НРБ-76 и основные санитарные правила работы с радиоактивными веществами и другими источниками ионизирующих излучений
ОСП-72/80 N 2120-80, утвержденные Главным Государственным санитарным врачом СССР 18 января 1980 г.
[8].
8.5.2. Работы с закрытыми источниками гамма-излучения (в дальнейшем - источники, источник), их хранение, транспортирование в партиях (экспедициях) могут производиться только после получения подразделением, предполагающим использовать источники, санитарного паспорта, выдаваемого местными органами санитарно-эпидемиологической службы (СЭС).
8.5.3. К работе с источниками, а также к проведению каротажа допускаются лица не моложе 18 лет, прошедшие медицинский осмотр (после инструктажа и сдачи экзаменов по общей и радиационной технике безопасности).
8.5.4. Учет и хранение источников ведет специально выделенное лицо из числа персонала подразделения, проводящее каротаж и назначаемое приказом по подразделению (экспедиции, партии).
8.5.5. Источники должны храниться в отдельных хранилищах, оборудованных защитными средствами (шкафы, контейнеры, сейфы и др.) в условиях, исключающих доступ к ним посторонних лиц.
8.5.6. Выдача источников для проведения работ производится ответственным лицом (см.
п. 8.5.4) после письменного разрешения начальника подразделения (проводящего работы с источниками) или лица им официально уполномоченного с обязательной регистрацией выдачи и возврата в приходно-расходном журнале учета движения источников в подразделении.
8.5.7. При транспортировании источников должны выполняться Правила безопасности при транспортировании радиоактивных веществ (
ПБТРВ-73 N 2539), утвержденные Главным Государственным санитарным врачом СССР 27 декабря 1973 г.
[10].
8.5.8. При обнаружении утери или хищении источников начальник подразделения, использующего источники, должен немедленно информировать об этом вышестоящую организацию, местные органы СЭС и внутренних дел и действовать в дальнейшем по их указанию.
8.5.9. Дозы облучения, получаемые персоналом при работе с источниками, определяются расчетами и по данным проводимых в установленном порядке дозиметрических измерений, в том числе путем проведения индивидуального дозиметрического контроля. Примерный расчет поглощенной дозы облучения дан в
прил. 18.
8.5.10. Во избежание превышения предельно-допустимой дозы облучения (ПДД), установленной
НРБ-76, необходимо:
- использовать экраны, контейнеры, щипцы или захваты и другие защитные и дистанционные приспособления для экранирования источников и их удаления от исполнителей;
- сокращать по мере возможности время работы с источниками;
- максимально удалять источники от работающих.
ПДД внешнего облучения организма человека гамма-излучением с энергией до 3 МэВ установлена 5 бэр в год.
РЕКОМЕНДУЕМЫЕ ДЛЯ ПРИМЕНЕНИЯ ГЕОФИЗИЧЕСКИЕ КАБЕЛИ
(ГОСТ 6020-82)
Марка кабеля | Число и номинальный диаметр проволок токопроводящих жил (число и номинальный диаметр проволок внутреннего проводника коаксиальной пары) | Номинальный наружный диаметр, мм | Электрическое сопротивление изоляции жил кабеля (электрическое сопротивление изоляции коаксиальной пары), не менее, МОм/км 1-й категории качества | Электрическое сопротивление токопроводящих жил кабеля (электрическое сопротивление внутреннего проводника коаксиальной пары), не более, Ом/км | Глубина скважины до ..., м |
КГ1-2-50 КШ | (14 x 0,30 + 12 x 0,43) | 9,0 | (5000) | (30,00) | 250 |
КГ3-3-70 Ш | 19 x 0,25 | 12,4 | - | 50,00 | 400 |
(Для изгот. зонда) | 1 x 0,68 + 6 x 0,50 (7 x 0,37) | 18,5 | 200 (2000) | 40 (30) | 1000 |
КГ1-30-90 | 7 x 0,37 | 6,3 | 5000 | 24,31 | 2000 |
КГ1-30-180 | 7 x 0,37 | 6,3 | 10 000 | 24,31 | 2000 |
КГ3-18-70 ШМ | 1 x 0,52 + 18 x 0,50 | 19,4 | 150 | 38,00 | 2000 |
КГ3-60-90 | 7 x 0,37 | 10,2 | 5000 | 25,53 | 2000 |
КГ3-70-180 | 7 x 0,37 | 10,3 | 10 000 | 25,53 | 6000 |
Примечание. КГ - кабель геофизический; первое число - количество жил в кабеле; второе число - разрывное усилие кабеля, не менее, кН; третье число - максимально допустимая температура в призабойной зоне скважины; К - кабель с одной коаксиальной парой; Ш - кабель в шланговой оболочке; М - кабель в маслостойкой оболочке. |
--------------------------------
<*> Описание данной марки кабеля в ГОСТ 6020-82 отсутствует.
промера и установки меток геофизического кабеля
Мы, нижеподписавшиеся, т.т. ___________________________________________
___________________________________________________________________________
___________________________________________________________________________
составили настоящий акт на промер и установку меток геофизического
кабеля типа _________________, длиной _____ м, установленного на подъемнике
каротажной станции типа ________, зав. N ___________
Длина промеренного кабеля _________________ м, изменение длины кабеля
по сравнению с предыдущим промером:
Укорочение (удлинение) _______________ м, кабель промерялся (тип ленты
и дата ее поверки) ________________________________________________________
Цена нулевой (первой) метки _______________________ м
Примечание:
___________________________________________________________________________
(масса груза, характеристика промывочной жидкости и т.п.)
N меток | Расстояние между метками, м | Длина геофизического кабеля, м | Примечание |
было | установлено | было | установлено |
0 - 1 | 10,10 | 10,00 | 15,10 | 15,00 | |
1 - 2 | 9,90 | 10,00 | 24,90 | 25,00 | |
2 - 3 | 10,00 | 10,00 | 35,00 | 35,00 | |
..... | ..... | ..... | ..... | | |
Оператор ________________________ (подпись)
Уч. геолог ________________________ (подпись)
Ст. бур. мастер ________________________ (подпись)
Организация _______________________________________________________________
каротажной станции типа _____________ N _________ Прибор, тип _____________
N ________ Регистратор, тип __________ N _______ СП, тип ________ N _______
Дата | Время | Вид работы и подготовка аппаратуры к работе (ремонт, градуировка, разметка кабеля, каротаж и т.п.) | Кто проводил (должность, Ф. И. О.) | Подписи |
| от | до |
1 | 2 | 3 | 4 | 5 | 6 |
| | | | | |
установки порога регистрации и градуировки каротажных приборов
Исходные данные: диаграммная лента N __________
от "_____" ________________ 19.....
Скважинный прибор типа _________________ N _______________ с монокристаллом
________________ N ___________ размером _______________, ФЗУ, типа ________
________ N ___________ Температура окружающего воздуха _________________ °C
Тип и номер ИИИ из радия-226 и количество в нем радия (по паспорту) _______
___________________________________________________________________________
Тип и номер ИИИ из таллия-204 для определения порога регистрации __________
___________________________________________________________________________
Контрольный источник типа ________________ N ____________
Постоянная времени интегратора ___________ с
Величина порога регистрации __________ кэВ
Положение переключателя делителя | Средние показания прибора, мм, или деления масштабной линейки | Разность между показаниями прибора при 2-х смежных положениях переключателя делителя | Примечание |
1 | 2 | 3 | 4 |
1 | 90 | 1 | |
2 | 89 | 3 | |
3 | 86 | 6 | |
4 | 80 | 3 | |
... | ... | ... | |
Окончание прил. 4
Вид измерений | Расстояние между источником и детектором, м, или местонахождения СП в СО, м | Рассчитанное значение МЭД от источника, мкР/ч | Поддиапазон | Средние показания прибора (мм диаграммной ленты или деления шкалы) | Примечание |
Градуировочная установка | | фон | 1 | 4 | |
| фон | 2 | 2 | |
| фон | 3 | 1 | |
2 | 20 | 1 | 10 | |
... | ... | ... | ... | |
Обработал: (Ф.И.О., должность, подпись) ____________________
Проверил: (Ф.И.О., должность, подпись) _____________________
о готовности скважины для проведения каротажа
___________________________________________________________________________
Скважина N ___________ Участок ____________________________________________
Промывочная жидкость __________________ Удельный вес ______________________
Вязкость ______________________ Содержание песка __________________________
Проработка ствола скважины ________________________________________________
(диаметр, тип коронки, интервал
___________________________________________________________________________
и время)
Глубина скважины _________________ м
Наличие уступов, обвалов, пробок, их глубина ____________________________ м
___________________________________________________________________________
Как проходил последний спуск инструмента, наблюдались ли остановки ________
___________________________________________________________________________
Как проходил последний подъем инструмента, наблюдались ли затяжки _________
___________________________________________________________________________
Состояние наземного оборудования (исправность электрооборудования бурового
станка) ___________________________________________________________________
___________________________________________________________________________
Геолог______________________ (подпись)
Буровой мастер ______________________ (подпись)
ПОДГОТОВКА ПНЕВМАТИЧЕСКОГО УСТРОЙСТВА ДЛЯ КАРОТАЖА
ПОДЗЕМНЫХ СКВАЖИН
При подготовке к работе пневматического устройства, предназначенного для доставки скважинного прибора к забою горизонтальных, восстающих и наклонных (без промывочной жидкости) скважин, необходимо:
- проверить наличие резиновых прокладок в пробке-сальнике;
- проверить сочленяемость штанг друг с другом, для чего при необходимости зачищают выступы и заусенцы в местах сочленения;
- надеть пробку-сальник на кабель со стороны скважинного прибора и отрегулировать его отверстие для свободного прохода кабеля без существенных потерь воздуха;
- соединить вентиль со штангами, а скважинный прибор с поршнем;
- проверить работу устройств в целом. Для этого на ровной поверхности укладывают 50 - 70 м сочлененных штанг, а скважинный прибор вставляют в штанги через патрубок, который закрывают пробкой-сальником. Подав от компрессора в систему сжатый воздух, проверяют возможность передвижения скважинного прибора по штангам. Если в каротируемых скважинах ожидают наличие радона, то диаметр поршня устанавливают с расчетом большей возможности прохождения воздуха для продувки скважин. Вентиль должен плавно регулировать подачу воздуха в систему;
- проверить надежность работы фиксатора обратного хода, который должен обеспечивать передвижение штанг только в сторону скважины. Для этого в фиксаторе закрепляют штангу (параллельно стойке), к которой присоединяют груз массой, равной массе комплекта штанг. При проскальзывании штанги или при наличии в ней вмятин фиксатор до соответствующей регулировки или ремонта не применяют;
- упаковать штанги в пакеты по 10 штук для доставки к месту работы на транспортной тележке. Концы штанг должны быть защищены от повреждений, например резиновыми мешками. Транспортировка штанг россыпью не допускается.
ФОРМА ЗАГОЛОВКА КАРОТАЖНОЙ ДИАГРАММЫ
______________________________ ______________________________
(организация) (дата)
Скважина N ____________
диаметр, мм _______________________________________________________________
интервал глубины, м _______________________________________________________
Обсадные трубы
диаметр, мм _______________________________________________________________
интервал, м _______________________________________________________________
толщина стенок, мм _____________________
плотность промывочной жидкости _______________________ г/см3
вид исследования __________________________________________________________
каротажная станция ____________________________ N ______
(тип)
Приборы ____________ N ___________, ____________ N ____________, постоянная
(тип) (тип)
времени ______________ (экспозиция), с (или шаг квантования, см) __________
Регистраторы ____________ N ___________, ____________ N ____________ (и тип
(тип) (тип)
машинного носителя)
Машинный носитель __________ N __________
(тип)
Скважинный прибор ____________ N ________, ____________ мм
(тип)
Монокристалл ___________ N ___________, ФЭУ ___________ N _________________
(тип) (тип)
Контрольный источник ____________ N ____________
(тип)
Дата градуирования "______" ____________ 19 г.
Зонд ____________________, N ___________, коэффициент зонда _______________
(тип, размер)
Цена 1-й метки _______ м. Расстояние от устья до точки отметки меток ____ м
Глубина скважины по каротажу ___________ м
Скорость регистрации, м/ч | Интервал, м | Масштаб глубин |
1 | 2 | 3 |
| | |
Каротировал ____________________
Обработал _____________________
Проверил ______________________
ФОРМА ПАСПОРТА РУДНОГО ИНТЕРВАЛА ДЛЯ МАШИННОЙ ИНТЕРПРЕТАЦИИ
___________________________________
(наименование организации)
1. Дата ____________________
2. Скважина N __________
3. Скважинный прибор N ____________ (диаметр _________ мм)
4. Градуировка N __________ от "______" ___________ 19 г.
5. Диаметр скважины __________ мм (фактический)
6. Плотность руды _______________ г/см3
7. Плотность промывочной жидкости _________________ г/см3
8. Толщина обсадных труб ____________ мм
9. Поправка на поглощение гамма-излучения в промывочной жидкости
и в обсадных трубах ____________________________________________________
10. Принятое значение поправок ____________________
11. Коэффициенты

:

12. Пересчетный коэффициент ________________ (

или

)
___________________________________________________________________________
13. Должность, Ф.И.О. и подпись лица, проводившего оцифровку ______________
___________________________________________________________________________
14. Должность, Ф.И.О. и подпись лица, проверившего оцифровку и правильность
заполнения журнала ________________________________________________________
Глубина, м | Номер поддиапазона | Данные гамма-каротажа (мкР/ч или мм шкалы) |
| | |
Кавернометрию проводят для определения средних диаметров скважин, знать которые необходимо для проведения количественной интерпретации результатов гамма-каротажа.
Измерения проводят каверномерами, у которых отклонение от линейной характеристики не более 10%, а погрешность определения диаметра менее 0,5 см.
При работе с каверномерами применяются следующие масштабы измерений диаметров (m): 10, 5, 2 и 1 см диаметра на 1 см шкалы.
При записи каверномером с омическим датчиком, рассчитанным на работу с трехжильным кабелем, для получения заданного масштаба необходимо, чтобы при подключении измерительного канала к контрольному шунту R0 отклонение пишущего устройства l0 было бы равным CR0/m, см, где C - постоянная каверномера.
Силу тока устанавливают при том же режиме работы канала, при котором производят запись кавернограммы.
При работе с каверномером, рассчитанным на работу с трехжильным кабелем, следует стабилизировать силу тока питания, включив в ее цепь большее балластное сопротивление.
При работе с омическим датчиком на одножильном кабеле масштаб записи устанавливают по величине сопротивления датчика каверномера при фиксированных значениях диаметра. Отклонение пишущего устройства должно быть равно m(d2 - d1) при изменении сопротивления датчика (или эквивалентного ему сопротивления) на r2 - r1, где r1 и r2 - сопротивления датчика для диаметров d1 и d2, m - масштаб регистрации.
Для контроля выбранного масштаба рекомендуется проводить запись показаний регистратора при фиксированных положениях рычагов каверномера.
Допустимую скорость перемещения прибора устанавливают опытным путем.
Допустимой считается скорость, при которой показания отличаются от показаний при очень малой скорости для одних и тех же пластов не более чем на 5%.
Максимально допустимое значение скорости 1500 м/ч.
Градуирование каверномера производят с помощью градуировочных колец. Для исключения влияния люфта градуировку каверномера производят дважды. Первый раз при увеличении отклонения рычагов (прямой ход), второй - при уменьшении (обратный ход).
По результатам измерений строят график зависимости

от диаметра градуировочных колец
d. За величину

берут среднее из измерений при прямом и обратном ходе. Точка пересечения градуировочной характеристики с осью абсцисс дает значение начального диаметра.
Градуировку каверномера, рассчитанного на работу с 3-жильным кабелем, производят не реже одного раза в месяц, а с одножильным - не реже одного раза в неделю.
Для измерений каверномер опускают до забоя скважины и при подъеме производят запись кавернозности в масштабе глубин 1:200; в рудных интервалах диаметр каверн записывают в масштабе 1:50 с обязательной фиксацией меток глубин в начале и конце рудной зоны.
Если в скважине есть обсаженные участки, то работу каверномера проверяют по результатам измерений внутреннего диаметра обсадной трубы с точно известным размером. В необсаженной скважине работу каверномера проверяют путем контрольных измерений с помощью градуировочных колец.
Перед записью кавернограмм необходимо зарегистрировать:
- положение нулевой линии или отклонение регистратора при сжатых рычагах прибора;
- отклонение пишущего устройства при нахождении прибора в градуировочном кольце при полностью раскрытых рычагах прибора.
Контрольное перекрытие кавернограмм не проводится. Точность измерений диаметра оценивают при записи в колонне.
Заголовок диаграмм кавернометрии оформляют согласно
прил. 7.
Диаграммы считают пригодными, если расстояние между метками глубин (с учетом масштаба записи) соответствует требованию
п. 3.5.
Значение диаметров на ленте наносят через интервалы, кратные 10 мм.
При контрольных измерениях на диаграмме подписывают диаметр градуировочного кольца, а на диаграммах, соответствующих измерению обсадных труб, - их фактический диаметр.
С обработанных диаграмм кавернометрии могут быть сняты копии для геологической документации.
В пределах аномального участка средний диаметр скважин по данным кавернометрии вычисляют по формуле
2r0 = Sк/hк,
где Sк - площадь кавернограммы в интервале аномального участка, см2 (с учетом масштаба записи);
hк - мощность аномального участка по кавернограмме, см.
Площадь кавернограммы Sк определяют планиметром или вычисляют по формуле для площади трапеции. В этом случае участок кавернограммы предварительно оцифровывают с шагом 2 мм, что при масштабе записи по оси глубин 1:50 соответствует десятисантиметровому интервалу по стволу скважины.
ЗНАЧЕНИЕ СТАТИСТИКИ СМИРНОВА
а) при доверительной вероятности P = 0,95%

v | | v | | v | | v | | v | |
1 | | 11 | 2,47 | 21 | 2,80 | 31 | 2,97 | 41 | 3,08 |
2 | | 12 | 2,52 | 22 | 2,82 | 32 | 2,98 | 42 | 3,09 |
3 | 1,41 | 13 | 2,56 | 23 | 2,84 | 33 | 3,00 | 43 | 3,10 |
4 | 1,71 | 14 | 2,60 | 24 | 2,86 | 34 | 3,01 | 44 | 3,11 |
5 | 1,92 | 15 | 2,64 | 25 | 2,88 | 35 | 3,02 | 45 | 3,12 |
6 | 2,07 | 16 | 2,67 | 26 | 2,90 | 36 | 3,03 | 46 | 3,13 |
7 | 2,18 | 17 | 2,70 | 27 | 2,91 | 37 | 3,04 | 47 | 3,14 |
8 | 2,24 | 18 | 2,73 | 28 | 2,93 | 38 | 3,05 | 48 | 3,14 |
9 | 2,35 | 19 | 2,75 | 29 | 2,94 | 39 | 3,06 | 49 | 3,15 |
10 | 2,41 | 20 | 2,78 | 30 | 2,96 | 40 | 3,07 | 50 | 3,16 |
б) при доверительной вероятности P = 0,99%

v | | v | | v | | v | | v | |
1 | | 11 | 2,69 | 21 | 3,11 | 31 | 3,31 | 41 | 3,43 |
2 | | 12 | 2,75 | 22 | 3,13 | 32 | 3,32 | 42 | 3,44 |
3 | 1,41 | 13 | 2,81 | 23 | 3,16 | 33 | 3,34 | 43 | 3,45 |
4 | 1,73 | 14 | 2,86 | 24 | 3,18 | 34 | 3,35 | 44 | 3,46 |
5 | 1,97 | 15 | 2,90 | 25 | 3,20 | 35 | 3,36 | 45 | 3,47 |
6 | 2,16 | 16 | 2,95 | 26 | 3,22 | 36 | 3,38 | 46 | 3,48 |
7 | 2,31 | 17 | 2,98 | 27 | 3,24 | 37 | 3,39 | 47 | 3,49 |
8 | 2,43 | 18 | 3,02 | 28 | 3,26 | 38 | 3,40 | 48 | 3,50 |
9 | 2,53 | 19 | 3,05 | 29 | 3,28 | 39 | 3,41 | 49 | 3,51 |
10 | 2,62 | 20 | 3,08 | 30 | 3,29 | 40 | 3,42 | 50 | 3,52 |
а) при доверительной вероятности P = 0,95%

v | t | v | t | v | t | v | t |
| | 11 | 2,2010 | 22 | 2,0379 | 50 | 2,0086 |
2 | 4,3027 | 12 | 2,1788 | 24 | 2,0639 | 60 | 2,0003 |
3 | 3,1824 | 13 | 2,1604 | 26 | 2,0555 | 70 | 1,9944 |
4 | 2,7764 | 14 | 2,1448 | 28 | 2,0484 | 80 | 1,9901 |
5 | 2,5706 | 15 | 2,1314 | 30 | 2,0423 | 90 | 1,9867 |
6 | 2,4469 | 16 | 2,1199 | 32 | 2,0369 | 100 | 1,9840 |
7 | 2,3646 | 17 | 2,1098 | 34 | 2,0322 | 200 | 1,9719 |
8 | 2,3060 | 18 | 2,1009 | 36 | 2,0281 | 300 | 1,9679 |
9 | 2,2622 | 19 | 2,0930 | 38 | 2,0244 | 400 | 1,9659 |
10 | 2,2281 | 20 | 2,0860 | 40 | 2,0211 | 500 | 1,9647 |
б) при доверительной вероятности P = 0,99%

v | t | v | t | v | t | v | t |
| | 11 | 3,1058 | 22 | 2,8188 | 50 | 2,6778 |
2 | 9,9248 | 12 | 3,0545 | 24 | 2,7969 | 60 | 2,6603 |
3 | 5,8409 | 13 | 3,0123 | 26 | 2,7787 | 70 | 2,6479 |
4 | 4,6041 | 14 | 2,9768 | 28 | 2,7633 | 80 | 2,6387 |
5 | 4,0321 | 15 | 2,9467 | 30 | 2,7500 | 90 | 2,6316 |
6 | 3,7074 | 16 | 2,9208 | 32 | 2,7385 | 100 | 2,6259 |
7 | 3,4995 | 17 | 2,8982 | 34 | 2,7284 | 200 | 2,6006 |
8 | 3,3554 | 18 | 2,8784 | 36 | 2,7195 | 300 | 2,5923 |
9 | 3,2498 | 19 | 2,8609 | 38 | 2,7116 | 400 | 2,5882 |
10 | 3,1693 | 20 | 2,8453 | 40 | 2,7045 | 500 | 2,5857 |
ЗНАЧЕНИЕ СТАТИСТИКИ Fv,v-1
а) при доверительной вероятности P = 0,95%
v | F | v | F | v | F |
| | 11 | 3,67 | 21 | 2,44 |
2 | 799,50 | 12 | 3,43 | 22 | 2,39 |
3 | 39,16 | 13 | 3,25 | 23 | 2,34 |
4 | 15,10 | 14 | 3,09 | 24 | 2,30 |
5 | 9,30 | 15 | 2,95 | 25 | 2,25 |
6 | 6,98 | 16 | 2,84 | 26 | 2,22 |
7 | 5,69 | 17 | 2,74 | 27 | 2,18 |
8 | 4,90 | 18 | 2,65 | 28 | 2,15 |
9 | 4,36 | 19 | 2,57 | 29 | 2,12 |
10 | 3,96 | 20 | 2,51 | 30 | 2,09 |
б) при доверительной вероятности P = 0,99%
v | F | v | F | v | F |
| | 11 | 5,98 | 21 | 3,29 |
| | 12 | 5,24 | 22 | 3,20 |
3 | 199,17 | 13 | 4,81 | 23 | 3,11 |
4 | 46,19 | 14 | 4,50 | 24 | 3,02 |
5 | 22,46 | 15 | 4,25 | 25 | 2,94 |
6 | 14,51 | 16 | 3,94 | 26 | 2,88 |
7 | 10,79 | 17 | 3,75 | 27 | 2,82 |
8 | 8,68 | 18 | 3,69 | 28 | 2,76 |
9 | 7,34 | 19 | 3,54 | 29 | 2,71 |
10 | 6,42 | 20 | 3,40 | 30 | 2,66 |
КОЭФФИЦИЕНТЫ B
k, ИСПОЛЬЗУЕМЫЕ ДЛЯ ИНТЕРПРЕТАЦИИ
РЕЗУЛЬТАТОВ ГАММА-КАРОТАЖА
Значения коэффициентов Bk рассчитаны применительно к серийным скважинным приборам диаметром 2R = 51 мм, 36 мм и 28 мм с учетом смещения оси скважинного прибора относительно оси скважины. Расчеты проведены по формуле
в которой
где

- плотность руды;

- плотность промывочной жидкости;
2r0 - диаметр скважины;
2R - диаметр скважинного прибора;
d - толщина обсадных труб.
Приведенные значения коэффициентов соответствуют случаю, когда угол встречи скважины

с пластом 90°. Ими можно пользоваться, если

.
Исходными данными для выбора коэффициентов являются диаметр скважинного прибора 2
R, диаметр скважины 2
r0, плотность руды

, плотность промывочной жидкости

. Изменение плотности промывочной жидкости практически не влияет на коэффициенты B
k и потому в таблицах приведены их значения для воды

. Очень мало изменяются коэффициенты B
k по мере роста диаметра скважины, если его значения больше 250 - 300 мм. Поэтому в условиях сухой необсаженной скважины с диаметром больше 300, но меньше 500 мм, следует использовать приведенные в таблице значения, соответствующие диаметру скважины 300 мм; если скважина наполнена промывочной жидкостью, то в интервале диаметров от 250 до 500 мм можно использовать коэффициенты B
k, соответствующие диаметру 250 мм. Наличие обсадных труб также незначительно изменяет коэффициенты B
k и при их выборе обсадные трубы в расчет не принимаются.
Если в процессе разведки месторождения будет установлено, что фактическая плотность руды

отличается от приведенных в таблице значений более чем на 0,1 г/см
3, то соответствующие этой плотности значения B
k можно найти путем линейной интерполяции по

. Если погрешность определения диаметра скважины меньше половины интервала по 2
r0, то при выбросе B
k можно применять линейную интерполяцию и по диаметру скважины 2
r0.
Поскольку скважинный прибор диаметром 51 (54) мм применяют главным образом при каротаже гидрогенных месторождений урана, изменение плотности

ограничено интервалом 1,5 - 2,5 г/см
3.
Диаметр скважинного прибора 28 (25) мм
Сухая необсаженная скважина
Bk |  , г/см 3 |
1,25 | 1,5 | 2,0 | 2,5 | 3,0 | 3,5 |
1 | 2 | 3 | 4 | 5 | 6 | 7 |
Диаметр скважины 40 мм |
B0 | 3,4175 | 2,9990 | 2,4663 | 2,1436 | 1,9300 | 1,7789 |
B1 | -1,1928 | -1,0111 | -0,7694 | -0,6165 | -0,5114 | -0,4349 |
B2 | 0,0657 | 0,0768 | 0,0821 | 0,0794 | 0,0747 | 0,0696 |
B3 | -0,0785 | -0,0693 | -0,0554 | -0,0462 | -0,0396 | -0,0347 |
B4 | 0,0191 | 0,0221 | 0,0231 | 0,0217 | 0,0199 | 0,0181 |
B5 | -0,0228 | -0,0204 | -0,0170 | -0,0148 | -0,0131 | -0,0117 |
B6 | 0,0107 | 0,0114 | 0,0111 | 0,0100 | 0,0090 | 0,0081 |
B7 | -0,0103 | -0,0095 | -0,0081 | -0,0073 | -0,0065 | -0,0059 |
Диаметр скважины 60 мм |
B0 | 3,8257 | 3,3581 | 2,7587 | 2,3935 | 2,1497 | 1,9766 |
B1 | -1,4276 | -1,2197 | -0,9414 | -0,7639 | -0,6413 | -0,5518 |
B2 | 0,1031 | 0,1140 | 0,1162 | 0,1102 | 0,1025 | 0,0949 |
B3 | -0,0882 | -0,0803 | -0,0674 | -0,0579 | -0,0507 | -0,0452 |
B4 | 0,0240 | 0,0280 | 0,0293 | 0,0278 | 0,0257 | 0,0236 |
B5 | -0,0258 | -0,0238 | -0,0209 | -0,0186 | -0,0167 | -0,0152 |
B6 | 0,0128 | 0,0140 | 0,0138 | 0,0127 | 0,0115 | 0,0105 |
B7 | -0,0118 | -0,0111 | -0,0100 | -0,0092 | -0,0083 | -0,0076 |
Диаметр скважины 80 мм |
B0 | 4,1851 | 3,6761 | 3,0206 | 2,6189 | 2,3503 | 2,1678 |
B1 | -1,6253 | -1,3970 | -1,0892 | -0,8918 | -0,7543 | -0,6544 |
B2 | 0,1232 | 0,1360 | 0,1385 | 0,1311 | 0,1221 | 0,1125 |
B3 | -0,0907 | -0,0852 | -0,0743 | -0,0654 | -0,0579 | -0,0526 |
B4 | 0,0251 | 0,0300 | 0,0325 | 0,0313 | 0,0296 | 0,0271 |
B5 | -0,0264 | -0,0253 | -0,0229 | -0,0209 | -0,0187 | -0,0175 |
B6 | 0,0134 | 0,0149 | 0,0152 | 0,0142 | 0,0135 | 0,0121 |
B7 | -0,0121 | -0,0118 | -0,0110 | -0,0103 | -0,0091 | -0,0088 |
Диаметр скважины 100 мм |
B0 | 4,4956 | 3,9523 | 3,2498 | 2,8160 | 2,5274 | 2,3199 |
B1 | -1,7867 | -1,5427 | -1,2117 | -0,9989 | -0,8494 | -0,7404 |
B2 | 0,1282 | 0,1444 | 0,1492 | 0,1485 | 0,1324 | 0,1226 |
B3 | -0,0885 | -0,0856 | -0,0771 | -0,0699 | -0,0622 | -0,0566 |
B4 | 0,0237 | 0,0298 | 0,0334 | 0,0329 | 0,0311 | 0,0291 |
B5 | -0,0261 | -0,0255 | -0,0237 | -0,0227 | -0,0201 | -0,0184 |
B6 | 0,0128 | 0,0149 | 0,0157 | 0,1042 | 0,0142 | 0,0132 |
B7 | -0,0118 | -0,0118 | -0,0114 | -0,0114 | -0,0098 | -0,0090 |
Диаметр скважины 120 мм |
B0 | 4,7607 | 4,1887 | 3,4470 | 2,9891 | 2,6806 | 2,4601 |
B1 | -1,9154 | -1,6593 | -1,3103 | -1,0845 | -0,9270 | -0,8113 |
B2 | 0,1213 | 0,1417 | 0,1507 | 0,1447 | 0,1352 | 0,1252 |
B3 | -0,0835 | -0,0829 | -0,0771 | -0,0706 | -0,0646 | -0,0594 |
B4 | 0,0207 | 0,0280 | 0,0329 | 0,0327 | 0,0311 | 0,0292 |
B5 | -0,0247 | -0,0248 | -0,0237 | -0,0224 | -0,0209 | -0,0195 |
B6 | 0,0117 | 0,0143 | 0,0156 | 0,0150 | 0,0141 | 0,0132 |
B7 | -0,0113 | -0,0115 | -0,0113 | -0,0109 | -0,0103 | -0,0097 |
Диаметр скважины 150 мм |
B0 | 5,0844 | 4,4778 | 3,6898 | 3,2016 | 2,8721 | 2,6359 |
B1 | -2,0583 | -1,7894 | -1,4210 | -1,1818 | -1,0144 | -0,8912 |
B2 | 0,0977 | 0,1250 | 0,1412 | 0,1383 | 0,1302 | 0,1209 |
B3 | -0,0750 | -0,0777 | -0,0753 | -0,0706 | -0,0655 | -0,0609 |
B4 | 0,0158 | 0,0242 | 0,0310 | 0,0315 | 0,0302 | 0,0285 |
B5 | -0,0225 | -0,0234 | -0,0230 | -0,0223 | -0,0211 | -0,0198 |
B6 | 0,0099 | 0,0129 | 0,0150 | 0,0146 | 0,0139 | 0,0130 |
B7 | -0,0103 | -0,0101 | -0,0109 | -0,0108 | -0,0103 | -0,0097 |
Диаметр скважины 200 мм |
B0 | 5,4755 | 4,8287 | 3,9851 | 3,4618 | 3,1082 | 2,8541 |
B1 | -2,2045 | -1,9235 | -1,5365 | -1,2833 | -1,1054 | -0,9744 |
B2 | 0,0457 | 0,0840 | 0,1117 | 0,1149 | 0,1104 | 0,1029 |
B3 | -0,0669 | -0,0724 | -0,0741 | -0,0713 | -0,0671 | -0,0633 |
B4 | 0,0089 | 0,0184 | 0,0262 | 0,0279 | 0,0275 | 0,0261 |
B5 | -0,0200 | -0,0216 | -0,0226 | -0,0222 | -0,0209 | -0,0199 |
B6 | 0,0068 | 0,0104 | 0,0129 | 0,0134 | 0,0130 | 0,0123 |
B7 | -0,0090 | -0,0100 | -0,0108 | -0,0107 | -0,0100 | -0,0096 |
Диаметр скважины 250 мм |
B0 | 5,7450 | 5,0704 | 4,1899 | 3,6429 | 3,2724 | 3,0066 |
B1 | -2,2849 | -1,9974 | -1,6002 | -1,3394 | -1,1559 | -1,0204 |
B2 | -0,0022 | 0,0446 | 0,0820 | 0,0902 | 0,0882 | 0,0826 |
B3 | -0,0667 | -0,0736 | -0,0769 | -0,0751 | -0,0718 | -0,0683 |
B4 | 0,0029 | 0,0136 | 0,0218 | 0,0240 | 0,0237 | 0,0226 |
B5 | -0,0193 | -0,0212 | -0,0227 | -0,0227 | -0,0219 | -0,0210 |
B6 | 0,0049 | 0,0086 | 0,0113 | 0,0119 | 0,0117 | 0,0110 |
B7 | -0,0087 | -0,0099 | -0,0108 | -0,0109 | -0,0105 | -0,0100 |
Диаметр скважины 300 мм |
B0 | 5,9385 | 5,2448 | 4,3379 | 3,7743 | 3,3925 | 3,1186 |
B1 | -2,3306 | -2,0401 | -1,6369 | -1,3715 | -1,1845 | -1,0464 |
B2 | -0,0406 | 0,0125 | 0,0575 | 0,0695 | 0,0699 | 0,0656 |
B3 | -0,0712 | -0,0785 | -0,0824 | -0,0808 | -0,0779 | -0,0746 |
B4 | -0,0032 | 0,0076 | 0,0171 | 0,0197 | 0,0196 | 0,0187 |
B5 | -0,0194 | -0,0219 | -0,0237 | -0,0239 | -0,0233 | -0,0225 |
B6 | 0,0027 | 0,0066 | 0,0097 | 0,0104 | 0,0102 | 0,0098 |
B7 | -0,0085 | -0,0100 | -0,0111 | -0,0113 | -0,0110 | -0,0107 |
Диаметр скважинного прибора 28 (25) мм
Скважина заполнена промывочной жидкостью
Bk |  , г/см 3 |
1,25 | 1,5 | 2,0 | 2,5 | 3,0 | 3,5 |
1 | 2 | 3 | 4 | 5 | 6 | 7 |
Диаметр скважины 40 мм |
B0 | 3,3896 | 2,9750 | 2,4475 | 2,1284 | 1,9167 | 1,7672 |
B1 | -1,1790 | -0,9987 | -0,7595 | -0,6082 | -0,5041 | -0,4285 |
B2 | 0,0651 | 0,0760 | 0,0811 | 0,0784 | 0,0737 | 0,0687 |
B3 | -0,0781 | -0,0686 | -0,0549 | -0,0456 | -0,0391 | -0,0343 |
B4 | 0,0190 | 0,0220 | 0,0228 | 0,0214 | 0,0196 | 0,0170 |
B5 | -0,0228 | -0,0202 | -0,0168 | -0,0146 | -0,0129 | -0,0116 |
B6 | 0,0106 | 0,0114 | 0,0110 | 0,0099 | 0,0089 | 0,0080 |
B7 | -0,0103 | -0,0093 | -0,0081 | -0,0072 | -0,0064 | -0,0058 |
Диаметр скважины 60 мм |
B0 | 3,7301 | 3,2755 | 2,6920 | 2,3374 | 2,1009 | 1,9339 |
B1 | -1,3794 | -1,1766 | -0,9062 | -0,7339 | -0,6149 | -0,5278 |
B2 | 1,1012 | 0,1113 | 0,1126 | 0,1066 | 0,0991 | 0,0019 |
B3 | -0,0869 | -0,0784 | -0,0655 | -0,0560 | -0,0489 | -0,0432 |
B4 | 0,0241 | 0,0279 | 0,0286 | 0,0270 | 0,0249 | 0,0231 |
B5 | -0,0255 | -0,0231 | -0,0203 | -0,0180 | -0,0162 | -0,0144 |
B6 | 0,0128 | 0,0141 | 0,0135 | 0,0123 | 0,0112 | 0,0105 |
B7 | -0,0116 | -0,0106 | -0,0098 | -0,0089 | -0,0081 | -0,0071 |
Диаметр скважины 80 мм |
B0 | 4,0028 | 3,5167 | 2,8905 | 2,5083 | 2,2532 | 2,0714 |
B1 | -1,5341 | -1,3149 | -1,0211 | -0,8331 | -0,7025 | -0,6074 |
B2 | 0,1210 | 0,1319 | 0,1323 | 0,1247 | 0,1159 | 0,1070 |
B3 | -0,0896 | -0,0828 | -0,0713 | -0,0621 | -0,0545 | -0,0489 |
B4 | -0,0256 | 0,0302 | 0,0316 | 0,0301 | 0,0283 | 0,0262 |
B5 | 0,0263 | -0,0244 | -0,0221 | -0,0199 | -0,0177 | -0,0161 |
B6 | -0,0134 | 0,0151 | 0,0147 | 0,0136 | 0,0129 | 0,0118 |
B7 | 0,0121 | -0,0112 | -0,0107 | -0,0098 | -0,0086 | -0,0079 |
Диаметр скважины 100 мм |
B0 | 4,2142 | 3,7037 | 3,0460 | 2,6436 | 2,3733 | 2,1809 |
B1 | -1,6477 | -1,4173 | -1,1066 | -0,9070 | -0,7686 | -0,6675 |
B2 | 0,1278 | 0,1400 | 0,1416 | 0,1339 | 0,1243 | 0,1147 |
B3 | -0,0883 | -0,0834 | -0,0733 | -0,0645 | -0,0575 | -0,0520 |
B4 | 0,0253 | 0,0304 | 0,0327 | 0,0317 | 0,0298 | 0,0276 |
B5 | -0,0260 | -0,0249 | -0,0228 | -0,0205 | -0,0187 | -0,0171 |
B6 | 0,0134 | 0,0150 | 0,0152 | 0,0145 | 0,0135 | 0,0125 |
B7 | -0,0119 | -0,0116 | -0,0110 | -0,0100 | -0,0091 | -0,0084 |
Диаметр скважины 120 мм |
B0 | 4,3732 | 3,8453 | 3,1638 | 2,7464 | 2,4652 | 2,2649 |
B1 | -1,7275 | -1,4892 | -1,1670 | -0,9599 | -0,8158 | -0,7104 |
B2 | 0,1254 | 0,1398 | 0,1433 | 0,1358 | 0,1264 | 0,1167 |
B3 | -0,0851 | -0,0818 | -0,0732 | -0,0654 | -0,0586 | -0,0512 |
B4 | 0,0240 | 0,0296 | 0,0326 | 0,0316 | 0,0300 | 0,0279 |
B5 | -0,0251 | -0,0244 | -0,0277 | -0,0210 | -0,0190 | -0,0175 |
B6 | 0,0128 | 0,0146 | 0,0152 | 0,0143 | 0,0136 | 0,0126 |
B7 | -0,0116 | -0,0114 | -0,0109 | -0,0103 | -0,0093 | -0,0086 |
Диаметр скважины 150 мм |
B0 | 4,5324 | 3,9892 | 3,2842 | 2,8506 | 2,5592 | 2,3513 |
B1 | -1,8008 | -1,5546 | -1,2222 | -1,0081 | -0,8593 | -0,7502 |
B2 | 0,1118 | 0,1307 | 0,1376 | 0,1315 | 0,1224 | 0,1130 |
B3 | -0,0812 | -0,0784 | -0,0715 | -0,0647 | -0,0587 | -0,0537 |
B4 | 0,0206 | 0,0280 | 0,0316 | 0,0310 | 0,0292 | 0,0272 |
B5 | -0,0153 | -0,0235 | -0,0221 | -0,0207 | -0,0191 | -0,0177 |
B6 | 0,0077 | 0,0140 | 0,0149 | 0,0141 | 0,0132 | 0,0122 |
B7 | -0,0104 | -0,0100 | -0,0106 | -0,0102 | -0,0095 | -0,0089 |
Диаметр скважины 200 мм |
B0 | 4,6646 | 4,1053 | 3,3820 | 2,9367 | 2,6374 | 2,4237 |
B1 | -1,8420 | -1,5930 | -1,2547 | -1,0366 | -0,8848 | -0,7735 |
B2 | 0,0874 | 0,1093 | 0,1211 | 0,1176 | 0,1100 | 0,1015 |
B3 | -0,0759 | -0,0752 | -0,0697 | -0,0637 | -0,0582 | -0,0535 |
B4 | 0,0194 | 0,0258 | 0,0299 | 0,0294 | 0,0278 | 0,0259 |
B5 | -0,0224 | -0,0224 | -0,0212 | -0,0200 | -0,0187 | -0,0174 |
B6 | 0,0110 | 0,0131 | 0,0143 | 0,0146 | 0,0127 | 0,0118 |
B7 | -0,0102 | -0,0104 | -0,0102 | -0,0098 | -0,0092 | -0,0086 |
Диаметр скважины 250 мм |
B0 | 4,6962 | 4,1336 | 3,4064 | 2,9588 | 2,6580 | 2,4435 |
B1 | -1,8366 | -1,5822 | -1,2505 | -1,0329 | -0,8814 | -0,7703 |
B2 | 0,0679 | 0,0921 | 0,1609 | 0,1051 | 0,0987 | 0,0910 |
B3 | -0,0765 | -0,0757 | -0,0700 | -0,0640 | -0,0587 | -0,0541 |
B4 | 0,0179 | 0,0242 | 0,0284 | 0,0280 | 0,0264 | 0,0245 |
B5 | -0,0218 | -0,0219 | -0,0208 | -0,0196 | -0,0183 | -0,0171 |
B6 | 0,0105 | 0,0126 | 0,0138 | 0,0132 | 0,0123 | 0,0115 |
B7 | -0,0099 | -0,0102 | -0,0098 | -0,0095 | -0,0089 | -0,0083 |
Диаметр скважинного прибора 36 (38) мм
Сухая необсаженная скважина
Bk |  , г/см 3 |
1,25 | 1,5 | 2,0 | 2,5 | 3,0 | 3,5 |
1 | 2 | 3 | 4 | 5 | 6 | 7 |
Диаметр скважины 40 мм |
B0 | 3,4459 | 3,0244 | 2,4860 | 2,1604 | 1,9441 | 1,7913 |
B1 | -1,2110 | -1,0268 | -0,7824 | -0,6274 | -0,5208 | -0,4433 |
B2 | 0,0709 | 0,0819 | 0,0862 | 0,0830 | 0,0779 | 0,0725 |
B3 | -0,0802 | -0,0706 | -0,0570 | -0,0476 | -0,0409 | -0,0359 |
B4 | 0,0201 | 0,0234 | 0,0239 | 0,0224 | 0,0206 | 0,0188 |
B5 | -0,0234 | -0,0206 | -0,0175 | -0,0152 | -0,0135 | -0,0121 |
B6 | 0,0111 | 0,0122 | 0,0115 | 0,0103 | 0,0093 | 0,0084 |
B7 | -0,0106 | -0,0093 | -0,0084 | -0,0075 | -0,0067 | -0,0061 |
Диаметр скважины 60 мм |
B0 | 3,9189 | 3,4404 | 2,8246 | 2,4496 | 2,1984 | 2,0199 |
B1 | -1,4882 | -1,2733 | -0,9856 | -0,8012 | -0,6736 | -0,5805 |
B2 | 0,1207 | 0,1309 | 0,1309 | 0,1235 | 0,1146 | 0,1058 |
B3 | -0,0932 | -0,0854 | -0,0726 | -0,0624 | -0,0548 | -0,0489 |
B4 | 0,0268 | 0,0311 | 0,0321 | 0,0307 | 0,0286 | 0,0263 |
B5 | -0,0273 | -0,0252 | -0,0226 | -0,0199 | -0,0179 | -0,0162 |
B6 | 0,0140 | 0,0155 | 0,0150 | 0,0141 | 0,0130 | 0,0119 |
B7 | -0,0125 | -0,0116 | -0,0109 | -0,0097 | -0,0087 | -0,0080 |
Диаметр скважины 80 мм |
B0 | 4,3390 | 3,8125 | 3,1309 | 2,7132 | 2,4321 | 2,2313 |
B1 | -1,7258 | -1,4865 | -1,1635 | -0,9549 | -0,9102 | -0,7040 |
B2 | 0,1519 | 0,1637 | 0,1630 | 0,1534 | 0,1420 | 0,1311 |
B3 | -0,0980 | -0,0928 | -0,0825 | -0,0728 | -0,0652 | -0,1591 |
B4 | 0,0287 | 0,0345 | 0,0368 | 0,0359 | 0,0336 | 0,0313 |
B5 | -0,0284 | -0,0272 | -0,0254 | -0,0231 | -0,0211 | -0,0194 |
B6 | 0,0147 | 0,0169 | 0,0169 | 0,0163 | 0,0152 | 0,0140 |
B7 | -0,0140 | -0,0125 | -0,0122 | -0,0111 | -0,0103 | -0,0095 |
Диаметр скважины 100 мм |
B0 | 4,7043 | 4,1376 | 3,4016 | 2,9475 | 2,6409 | 2,4211 |
B1 | -1,9220 | -1,6645 | -1,3135 | -1,0857 | -0,9268 | -0,8100 |
B2 | 0,1642 | 0,1797 | 0,1816 | 0,1719 | 0,1594 | 0,1473 |
B3 | -0,0958 | -0,0944 | -0,0869 | -0,0786 | -0,0715 | -0,0655 |
B4 | 0,0272 | 0,0344 | 0,0386 | 0,0383 | 0,0363 | 0,0340 |
B5 | -0,0281 | -0,0279 | -0,0267 | -0,0247 | -0,0230 | -0,0214 |
B6 | 0,0144 | 0,0168 | 0,0179 | 0,0175 | 0,0164 | 0,0153 |
B7 | -0,0128 | -0,0130 | -0,0129 | -0,0120 | -0,0112 | -0,0104 |
Диаметр скважины 120 мм |
B0 | 5,0179 | 4,4177 | 3,6359 | 3,1510 | 2,8238 | 2,5885 |
B1 | -2,0804 | -1,8076 | -1,4360 | -1,1935 | -1,0232 | -0,8979 |
B2 | 0,1621 | 0,1842 | 0,1887 | 0,1797 | 0,1678 | 0,1553 |
B3 | -0,0898 | -0,0916 | -0,0876 | -0,0813 | -0,0747 | -0,0691 |
B4 | 0,0239 | 0,0323 | 0,0374 | 0,0384 | 0,0372 | 0,0351 |
B5 | -0,0262 | -0,0270 | -0,0268 | -0,0257 | -0,0239 | -0,0224 |
B6 | 0,0130 | 0,0159 | 0,0178 | 0,0173 | 0,0168 | 0,0158 |
B7 | -0,0121 | -0,0127 | -0,0128 | -0,0125 | -0,0116 | -0,0109 |
Диаметр скважины 150 мм |
B0 | 5,4018 | 4,7618 | 3,9257 | 3,4047 | 3,0512 | 2,7972 |
B1 | -2,2579 | -1,9711 | -1,5753 | -1,3163 | -1,1341 | -0,9995 |
B2 | 0,1402 | 0,1688 | 0,1837 | 0,1781 | 0,1671 | 0,1552 |
B3 | -0,0780 | -0,0842 | -0,0849 | -0,0811 | -0,0763 | -0,0716 |
B4 | 0,0176 | 0,0277 | 0,0360 | 0,0371 | 0,0361 | 0,0344 |
B5 | -0,0233 | -0,0251 | -0,0258 | -0,0255 | -0,0244 | -0,0233 |
B6 | 0,0106 | 0,0141 | 0,0170 | 0,0170 | 0,0162 | 0,0155 |
B7 | -0,0107 | -0,0118 | -0,0122 | -0,0124 | -0,0119 | -0,0114 |
Диаметр скважины 200 мм |
B0 | 5,8659 | 5,1787 | 4,2775 | 3,7156 | 3,3327 | 3,0569 |
B1 | -2,4419 | -2,1404 | -1,7218 | -1,4456 | -1,2510 | -1,1067 |
B2 | 0,0846 | 0,1263 | 0,1550 | -0,1568 | 0,1495 | 0,1396 |
B3 | -0,0643 | -0,0747 | -0,0812 | -0,0800 | -0,0769 | -0,0733 |
B4 | 0,0091 | 0,0207 | 0,0303 | 0,0338 | 0,0334 | 0,0321 |
B5 | -0,0199 | -0,0225 | -0,0249 | -0,0249 | -0,0242 | -0,0233 |
B6 | 0,0071 | 0,0112 | 0,0147 | 0,0159 | 0,0155 | 0,0148 |
B7 | -0,0090 | -0,0104 | -0,0118 | -0,0118 | -0,0117 | -0,0118 |
Диаметр скважины 250 мм |
B0 | 6,1832 | 5,4645 | 4,5206 | 3,9299 | 3,5536 | 3,2388 |
B1 | -2,5433 | -2,2347 | -1,8043 | -1,5190 | -1,3345 | -1,1666 |
B2 | 0,0301 | 0,0820 | 0,1227 | 0,1302 | 0,1327 | 0,1191 |
B3 | -0,0600 | -0,0726 | -0,0818 | -0,0825 | -0,0824 | -0,0790 |
B4 | 0,0022 | 0,0147 | 0,0260 | 0,0292 | 0,0308 | 0,0298 |
B5 | -0,0180 | -0,0214 | -0,0244 | -0,0251 | -0,0255 | -0,0247 |
B6 | 0,0046 | 0,0091 | 0,0129 | 0,0140 | 0,0144 | 0,0140 |
B7 | -0,0083 | -0,0101 | -0,0116 | -0,0121 | -0,0123 | -0,0119 |
Диаметр скважины 300 мм |
B0 | 6,4107 | 5,6697 | 4,6951 | 4,0816 | 3,6695 | 3,3695 |
B1 | -2,6025 | -2,2901 | -1,8524 | -1,5532 | -1,3554 | -1,2020 |
B2 | 0,0144 | 0,0454 | 0,0950 | 0,1058 | 0,1064 | 0,1004 |
B3 | -0,0623 | -0,0757 | -0,0860 | -0,0867 | -0,0859 | -0,0832 |
B4 | 0,0045 | 0,0087 | 0,0209 | 0,0231 | 0,0253 | 0,0246 |
B5 | -0,0178 | -0,0215 | -0,0250 | -0,0277 | -0,0260 | -0,0253 |
B6 | 0,0022 | 0,0069 | 0,0112 | 0,0108 | 0,0126 | 0,0122 |
B7 | -0,0079 | -0,0099 | -0,0118 | -0,0140 | -0,0124 | -0,0121 |
Диаметр скважинного прибора 36 (38) мм
Скважина заполнена промывочной жидкостью
Bk |  , г/см 3 |
1,25 | 1,5 | 2,0 | 2,5 | 3,0 | 3,5 |
1 | 2 | 3 | 4 | 5 | 6 | 7 |
Диаметр скважины 40 мм |
B0 | 3,4367 | 3,0158 | 2,4798 | 2,1553 | 1,8468 | 1,7875 |
B1 | -1,2064 | -1,0230 | -0,7792 | -0,6247 | -0,4474 | -0,4412 |
B2 | 0,0707 | 0,0814 | 0,0859 | 0,0827 | 0,0420 | 0,0722 |
B3 | -0,0801 | -0,0707 | -0,0568 | -0,0474 | -0,0239 | -0,0357 |
B4 | 0,0120 | 0,0230 | 0,0238 | 0,0224 | 0,0111 | 0,0187 |
B5 | -0,0233 | -0,0208 | -0,0174 | -0,0152 | -0,0075 | -0,0121 |
B6 | 0,0111 | 0,0119 | 0,0114 | 0,0103 | 0,0051 | 0,0084 |
B7 | -0,0105 | -0,0096 | -0,0084 | -0,0075 | -0,0036 | -0,0061 |
Диаметр скважины 60 мм |
B0 | 3,8453 | 3,3762 | 2,7732 | 2,4065 | 2,1611 | 1,9867 |
B1 | -1,4510 | -1,2402 | -0,9583 | -0,7778 | -0,6532 | -0,5623 |
B2 | 0,1191 | 0,1284 | 0,1279 | 0,1206 | 0,1117 | 0,1031 |
B3 | -0,0924 | -0,0842 | -0,0712 | -0,0609 | -0,0534 | -0,0476 |
B4 | 0,0268 | 0,0308 | 0,0316 | 0,0302 | 0,0279 | 0,0257 |
B5 | -0,0271 | -0,0249 | -0,0222 | -0,0194 | -0,0174 | -0,0158 |
B6 | 0,0140 | 0,0153 | 0,0147 | 0,0139 | 0,0127 | 0,0116 |
B7 | -0,0124 | -0,0115 | -0,0107 | -0,0094 | -0,0085 | -0,0077 |
Диаметр скважины 80 мм |
B0 | 4,1773 | 3,6704 | 3,0156 | 2,6152 | 2,3461 | 2,1544 |
B1 | -1,6440 | -1,4131 | -1,1024 | -0,9023 | -0,7637 | -0,6621 |
B2 | 0,1493 | 0,1591 | 0,1569 | 0,1471 | 0,1358 | 0,1251 |
B3 | -0,0972 | -0,0911 | -0,0798 | -0,0698 | -0,0622 | -0,0561 |
B4 | 0,0294 | 0,0344 | 0,0360 | 0,0348 | 0,0325 | 0,0300 |
B5 | -0,0284 | -0,0269 | -0,0248 | -0,0222 | -0,0202 | -0,0185 |
B6 | 0,0150 | 0,0168 | 0,0165 | 0,0158 | 0,0146 | 0,0135 |
B7 | -0,0130 | 0,0124 | -0,0120 | -0,0108 | -0,0099 | -0,0091 |
Диаметр скважины 100 мм |
B0 | 4,4390 | 3,9035 | 3,2089 | 2,7825 | 2,4954 | 2,2901 |
B1 | -1,7895 | -1,5442 | -1,2126 | -0,9981 | -0,8490 | -0,7397 |
B2 | 0,1628 | 0,1746 | 0,1731 | 0,1625 | 0,1502 | 0,1385 |
B3 | -0,0963 | -0,0925 | -0,0835 | -0,0743 | -0,0670 | -0,0609 |
B4 | 0,0292 | 0,0353 | 0,0379 | 0,0370 | 0,0349 | 0,0325 |
B5 | -0,0282 | -0,0273 | -0,0259 | -0,0236 | -0,0218 | -0,0201 |
B6 | 0,0150 | 0,0172 | 0,0174 | 0,0168 | 0,0158 | 0,0146 |
B7 | -0,0131 | -0,0127 | -0,0126 | -0,0115 | -0,0105 | -0,0098 |
Диаметр скважины 120 мм |
B0 | 4,6398 | 4,0826 | 3,3583 | 2,9096 | 2,6116 | 2,3963 |
B1 | -1,8946 | -1,6393 | -1,2929 | -1,0590 | -0,9118 | -0,7969 |
B2 | 0,1647 | 0,1790 | 0,1794 | 0,1677 | 0,1566 | 0,1444 |
B3 | -0,0926 | -0,0909 | -0,0840 | -0,0773 | -0,0690 | -0,0631 |
B4 | 0,0277 | 0,0346 | 0,0381 | 0,0363 | 0,0357 | 0,0334 |
B5 | -0,0272 | -0,0268 | -0,0260 | -0,0255 | -0,0223 | -0,0207 |
B6 | 0,0144 | 0,0170 | 0,0174 | 0,0156 | 0,0161 | 0,0151 |
B7 | -0,0125 | -0,0124 | -0,0126 | -0,0131 | -0,0109 | -0,0102 |
Диаметр скважины 150 мм |
B0 | 4,8478 | 4,2678 | 3,5141 | 3,0479 | 2,7340 | 2,5086 |
B1 | -1,9936 | -1,7296 | -1,3693 | -1,1356 | -0,9719 | -0,8518 |
B2 | 0,1542 | 0,1723 | 0,1769 | 0,1678 | 0,1561 | 0,1442 |
B3 | -0,0860 | -0,0869 | -0,0822 | -0,0758 | -0,0692 | -0,0638 |
B4 | 0,0248 | 0,0323 | 0,0372 | 0,0368 | 0,0354 | 0,0333 |
B5 | -0,0255 | -0,0260 | -0,0254 | -0,0242 | -0,0223 | -0,0208 |
B6 | 0,0133 | 0,0158 | 0,0172 | 0,0166 | 0,0160 | 0,0150 |
B7 | -0,0119 | -0,0123 | -0,0123 | -0,0119 | -0,0109 | -0,0102 |
Диаметр скважины 200 мм |
B0 | 5,0249 | 4,4263 | 3,6477 | 3,1652 | 2,8394 | 2,6059 |
B1 | -2,0601 | -1,7903 | -1,4211 | -1,1811 | -1,0132 | -0,8896 |
B2 | 0,1271 | 0,1503 | 0,1609 | 0,1546 | 0,1442 | 0,1332 |
B3 | -0,0791 | -0,0817 | -0,0792 | -0,0740 | -0,0686 | -0,0637 |
B4 | 0,0217 | 0,0296 | 0,0352 | 0,0352 | 0,0336 | 0,0316 |
B5 | -0,0235 | -0,0244 | -0,0243 | -0,0234 | -0,0222 | -0,0208 |
B6 | 0,0120 | 0,0147 | 0,0165 | 0,0160 | 0,0151 | 0,0142 |
B7 | -0,0108 | -0,0116 | -0,0117 | -0,0115 | -0,0109 | -0,0103 |
Диаметр скважины 250 мм |
B0 | 5,0795 | 4,4752 | 3,6893 | 3,2023 | 2,8735 | 2,6379 |
B1 | -2,0645 | -1,7945 | -1,4245 | -1,1841 | -1,0158 | -0,8919 |
B2 | 0,1045 | 0,1307 | 0,1450 | 0,1409 | 0,1318 | 0,1217 |
B3 | -0,0785 | -0,0812 | -0,0788 | -0,0739 | -0,0688 | -0,0640 |
B4 | 0,0201 | 0,0279 | 0,0336 | 0,0337 | 0,0321 | 0,0302 |
B5 | -0,0228 | -0,0238 | -0,0237 | -0,0229 | -0,0217 | -0,0204 |
B6 | 0,0115 | 0,0142 | 0,0159 | 0,0155 | 0,0147 | 0,0138 |
B7 | -0,0105 | -0,0112 | -0,0113 | -0,0111 | -0,0106 | -0,0100 |
Диаметр скважинного прибора 51 (54) мм
Сухая необсаженная скважина
Плотность руд,  , г/см 3 | B0 | B1 | B2 | B3 | B4 | B5 | B6 | B7 |
Диаметр скважины 60 мм |
1,5 | 3,853 | -1,563 | 0,238 | -0,122 | 0,049 | -0,035 | 0,021 | -0,015 |
2,0 | 3,168 | -1,229 | 0,229 | -0,108 | 0,050 | -0,033 | 0,022 | -0,015 |
2,5 | 2,743 | -1,010 | 0,207 | -0,095 | 0,047 | -0,029 | 0,019 | -0,013 |
Диаметр скважины 80 мм |
1,5 | 4,372 | -1,877 | 0,303 | -0,137 | 0,055 | -0,038 | 0,023 | -0,016 |
2,0 | 3,599 | -1,495 | 0,291 | -0,128 | 0,059 | -0,038 | 0,025 | -0,016 |
2,5 | 3,118 | -1,243 | 0,268 | -0,117 | 0,058 | -0,036 | 0,024 | -0,015 |
Диаметр скважины 100 мм |
1,5 | 4,832 | -2,145 | 0,345 | -0,140 | 0,054 | -0,037 | 0,023 | -0,016 |
2,0 | 3,988 | -1,727 | 0,337 | -0,138 | 0,063 | -0,039 | 0,025 | -0,017 |
2,5 | 3,456 | -1,448 | 0,313 | -0,130 | 0,064 | -0,039 | 0,026 | -0,016 |
Диаметр скважины 120 мм |
1,5 | 5,233 | -2,367 | 0,364 | -0,134 | 0,049 | -0,035 | 0,022 | -0,015 |
2,0 | 4,326 | -1,919 | 0,362 | -0,140 | 0,062 | -0,039 | 0,025 | -0,016 |
2,5 | 3,753 | -1,617 | 0,341 | -0,136 | 0,065 | -0,040 | 0,026 | -0,016 |
Диаметр скважины 150 мм |
1,5 | 5,726 | -2,622 | 0,362 | -0,120 | 0,041 | -0,031 | 0,019 | -0,013 |
2,0 | 4,746 | -2,141 | 0,373 | -0,135 | 0,057 | -0,036 | 0,023 | -0,014 |
2,5 | 4,129 | -1,823 | 0,362 | -0,141 | 0,066 | -0,040 | 0,023 | -0,014 |
Диаметр скважины 200 мм |
1,5 | 6,322 | -2,890 | 0,318 | -0,096 | 0,028 | -0,025 | 0,015 | -0,011 |
2,0 | 5,258 | -2,381 | 0,351 | -0,120 | 0,045 | -0,032 | 0,022 | -0,015 |
2,5 | 4,588 | -2,044 | 0,356 | -0,138 | 0,061 | -0,039 | 0,025 | -0,015 |
Диаметр скважины 250 мм |
1,5 | 6,730 | -3,044 | -0,258 | -0,077 | 0,018 | -0,020 | 0,007 | -0,006 |
2,0 | 5,624 | -2,531 | 0,314 | -0,103 | 0,026 | -0,019 | 0,011 | -0,010 |
2,5 | 4,893 | -2,162 | 0,321 | -0,128 | 0,052 | -0,037 | 0,020 | -0,013 |
Скважина заполнена промывочной жидкостью
Плотность руд,  , г/см 3 | B0 | B1 | B2 | B3 | B4 | B5 | B6 | B7 |
Диаметр скважины 60 мм |
1,5 | 3,826 | -1,549 | 0,236 | -0,122 | 0,049 | -0,035 | 0,021 | -0,015 |
2,0 | 3,146 | -1,218 | 0,229 | -0,107 | 0,049 | -0,032 | 0,021 | -0,015 |
2,5 | 2,726 | -1,000 | 0,205 | -0,094 | 0,047 | -0,029 | 0,019 | -0,013 |
Диаметр скважины 80 мм |
1,5 | 4,265 | -1,821 | 0,298 | -0,136 | 0,055 | -0,038 | 0,023 | -0,016 |
2,0 | 3,512 | -1,446 | 0,284 | -0,126 | 0,059 | -0,037 | 0,025 | -0,016 |
2,5 | 3,043 | -1,201 | 0,262 | -0,115 | 0,057 | -0,036 | 0,024 | -0,015 |
Диаметр скважины 100 мм |
1,5 | 4,622 | -2,035 | 0,340 | -0,140 | 0,055 | -0,038 | 0,023 | -0,016 |
2,0 | 3,813 | -1,630 | 0,324 | -0,135 | 0,062 | -0,039 | 0,026 | -0,017 |
2,5 | 3,306 | -1,363 | 0,301 | -0,126 | 0,062 | -0,038 | 0,026 | -0,017 |
Диаметр скважины 120 мм |
1,5 | 4,905 | -2,196 | 0,358 | -0,138 | 0,054 | -0,037 | 0,022 | -0,015 |
2,0 | 4,052 | -1,770 | 0,347 | -0,137 | 0,062 | -0,039 | 0,026 | -0,017 |
2,5 | 3,516 | -1,487 | 0,324 | -0,131 | 0,065 | -0,040 | 0,026 | -0,017 |
Диаметр скважины 150 мм |
1,5 | 5,224 | -2,373 | 0,370 | -0,138 | 0,054 | -0,035 | 0,018 | -0,008 |
2,0 | 4,312 | -1,312 | 0,362 | -0,139 | 0,064 | -0,041 | 0,028 | -0,018 |
2,5 | 3,743 | -1,614 | 0,338 | -0,134 | 0,066 | -0,040 | 0,027 | -0,017 |
Диаметр скважины 200 мм |
1,5 | 4,507 | -2,503 | 0,350 | -0,119 | 0,038 | -0,023 | 0,011 | -0,007 |
2,0 | 4,555 | -2,031 | 0,352 | -0,129 | 0,054 | -0,030 | 0,018 | -0,012 |
2,5 | 3,963 | -1,723 | 0,338 | -0,133 | 0,063 | -0,037 | 0,024 | -0,016 |
Диаметр скважины 250 мм |
1,5 | 5,598 | -2,519 | 0,312 | -0,107 | 0,036 | -0,027 | 0,018 | -0,012 |
2,0 | 4,638 | -2,051 | 0,329 | -0,126 | 0,056 | -0,036 | 0,023 | -0,016 |
2,5 | 4,035 | -1,740 | 0,317 | -0,128 | 0,060 | -0,037 | 0,023 | -0,015 |
ПОСТРОЕНИЕ УРАВНЕНИЯ ЛИНЕЙНОЙ СВЯЗИ
МЕЖДУ ДВУМЯ СЛУЧАЙНЫМИ ПЕРЕМЕННЫМИ
Если диапазон изменения парных сопряженных наблюдений (xi, yi) i = 1, 2, ..., n значителен, то для оценки уровня систематических погрешностей по всем данным можно воспользоваться анализом линейной связи вида
При этом предполагается, что отношение погрешностей наблюдений над
y и
x -

- известное постоянное число, а отклонение результатов наблюдений от линии связи
(1) подчиняется нормальному закону. Оценки коэффициентов уравнения связи

,

и

и дисперсий

и

вычисляются по формулам

(2)
или

(3)
где

(5)
причем

.
Значения параметра

оценивают по результатам расчетов случайных погрешностей.
При отсутствии систематических погрешностей между x и y статистически должны выполняться условия

(6)
и как следствие

.
Оценку значимости выполнения
условий (6) рекомендуется проводить в следующей последовательности.
Оценивают значимость вычисленного значения

. Для этого строят уравнение связи вида
a1y + b1x = 0, (7)
коэффициенты a
1 и
b1 которого вычисляют по
формулам (2) и
(3), где

,

,

и

заменены следующими величинами

(8)
| | ИС МЕГАНОРМ: примечание. Нумерация формул дана в соответствии с официальным текстом документа. | |

(8)
При

статистика

(9)
должна статистически незначимо отличаться от единицы. Поскольку
F имеет
Fv,v-1-распределение при
v =
n - 1, то рекомендуется считать, что если

при P = 0,95, то

; если

при P = 0,99, то

значимо отличается от нуля; вопрос о принятии той или иной гипотезы при

решается в зависимости от конкретных условий. Критические значения
Fv,v-1 при P = 0,95 и P = 0,99 приведены в
прил. 12.
Если

статистически незначимо отличается от нуля, то проверку гипотезы

(или
y =
x) оценивают по статистике

(10)
путем ее сравнения с критическим значением этой статистики
Fn,n-1 при заданной доверительной вероятности P. Если вычисленное по
формуле (10) значение

при P = 0,95, то

; если

при P = 0,99, то

и

статистически различны; вопрос о принятии той или иной гипотезы, когда

решается в зависимости от конкретных условий. Критические значения статистики
Fn,n-1 при P = 0,95 и P = 0,99 приведены в
прил. 12.
Если

статистически значимо отличается от нуля, то проверку гипотезы

осуществляют по статистике

(11)
которая имеет Fn-1,n-2 распределение, путем ее сравнения с критическим значением при заданной доверительной вероятности P. При этом рекомендуется руководствоваться описанными выше принципами.
Как показывает опыт, при отсутствии значимого отличия

от

и

отличаются от единицы не более чем на 10%.
При проведении вычислений по описанной выше схеме необходимо проверить однородность выборки. Для этой цели вычисляют статистику Смирнова

(12)
и сравнивают ее с критическим значением для соответствующей доверительной вероятности P
(прил. 10).
ОЦЕНКА КАЧЕСТВА ПОЛЕВЫХ МАТЕРИАЛОВ
1. Результаты каротажа каждой скважины подлежат тщательному контролю, который осуществляет контрольно-интерпретационная партия (группа) при приемке первичных материалов в обработку.
2. Проверке подвергаются все параметры и условия проведения каротажа: наличие меток глубин и правильность их нанесения, скорость регистрации, стабильность работы аппаратуры, запись информации, объем каротажных измерений и др. Качество результатов измерений оценивают по градуировочным материалам и по контрольным измерениям при каротаже.
3. Погрешность регистрации данных каротажа, отклонение градуировочных записей от номинальных значений и расхождение первичных и контрольных измерений должны находиться в пределах, указанных в данной инструкции для каждого вида измерений.
4. Качество материалов характеризуется тремя оценками: "хорошо", "удовлетворительно" и "брак":
а) хорошее качество - результаты измерений полностью соответствуют требованиям настоящей инструкции;
б) удовлетворительное качество - результаты измерений не выходят за пределы допустимых погрешностей, но имеются дефекты в записи диаграмм (либо в записи информации на перфолентах и запоминающих устройствах), а также другие дефекты и упущения в первичной документации, не исключающие возможность использования полученной информации;
в) брак - диаграммы (перфоленты, запоминающие устройства) содержат погрешности, превышающие допустимые; данные каротажа имеют упущения и помехи, которые нельзя устранить при обработке, а материал нельзя использовать для решения задач, поставленных перед данным видом исследования.
ПРИМЕНЕНИЕ ИСТОЧНИКОВ ТИПА ЕР ИЗ
226Ra ДЛЯ ГРАДУИРОВКИ
ГЕОФИЗИЧЕСКИХ РАДИОМЕТРОВ
Источники гамма-излучения типа ЕР из
226Ra имеют оболочку из платино-иридиевого сплава и для удобства использования их помещают в пеналы из оргстекла. Спектр гамма-излучения этих источников отличается от спектра источников типа Р-1, С-41 и др., внешний корпус которых изготовлен из стали или латуни и которые используют для градуировки геофизических радиометров. Для корректировки спектров источники типа ЕР помещают в рассеиватель, внешний вид которого приведен на чертеже (см.
рис. П.1).
Рис. П.1. Схематический рисунок рассеивателя
с источником ЕР:
1 - рассеиватель из алюминиевого сплава; 2 - источник ЕР;
3 - пружина; 4 - винт-пробка канала рассеивателя
Рассеиватель представляет собой цилиндр, изготовленный из алюминиевого сплава марки Д16, диаметром (27 +/- 0,5) мм. С торца этого цилиндра просверлено отверстие диаметром (3 + 0,25) мм для помещения в нем источника типа ЕР без внешнего пенала из оргстекла. Отверстие просверливают по оси цилиндра с таким расчетом, чтобы геометрический центр опущенного в него источника совпадал с центром рассеивателя. Если l - длина источника (мм), то глубина отверстия от торца рассеивателя должна равняться (35 + l/2) мм. Отверстие закрывают пробкой на резьбе, изготовленной из того же материала, что и рассеиватель. Чтобы исключить возможное смещение источника, на его торцы накладывают амортизирующие прокладки и пружину.
Перед использованием источники в рассеивателе должны быть аттестованы по массе 226Ra методом сличения с рабочим эталоном радия или образцовым источником типа Р-1 (С-41 и др.). Полученная при аттестации масса ma будет отличаться от истинной массы радия в источнике на значение Kп - коэффициент, учитывающий ослабление гамма-излучения и корректирующую способность рассеивателя.
ОСОБЕННОСТИ ПРОВЕДЕНИЯ ЭЛЕКТРОКАРОТАЖА ПРИБОРАМИ
КОМПЛЕКСНОГО КАРОТАЖА ТИПА УКП-77
1.1. При поисково-разведочных работах на гидрогенных месторождениях урана, локализованных в горизонтах осадочных пород, результаты стандартного электрокаротажа методами кажущегося сопротивления (КС) и потенциала естественного электрического поля (ПС) используют для литологического расчленения геологического разреза, увязки его по профилям в пределах участков месторождений или месторождения в целом и для разделения пород продуктивного горизонта по проницаемости.
1.2. Плохая устойчивость стенок буровых скважин при работе в хорошо обводненных рыхлых отложениях осадочного чехла требует сокращения времени на проведение обязательного комплекса геофизических исследований скважин. Это достигается использованием аппаратуры комплексного каротажа типа УКП-77 со скважинными приборами КСП, обеспечивающей одновременную регистрацию данных гамма-каротажа и электрических параметров - кажущегося сопротивления

и потенциала естественного электрического поля
UПС. Кроме того, совместная регистрация комплекса параметров обеспечивает надежную их увязку по глубине, что особенно важно при разделении пород и руд на литолого-фильтрационные типы.
1.3. Для обеспечения надежной интерпретации результатов стандартного электрокаротажа исполнитель должен располагать определенными сведениями об особенностях геологического разреза по результатам документации керна опорных скважин, о карбонатности и пределах изменения кажущегося электрического сопротивления горных пород и руд различных литологических разностей, об удельных сопротивлениях пластовых вод

, промывочной жидкости

и ее фильтрата

.
1.4. Карбонатность пород продуктивного горизонта определяют по данным химического анализа проб керна, характеризующих определенный литологический тип, одновременно с определением в них содержания глинисто-алевритистой фракции.
1.5. Значения

определяют по пробам пластовых вод, а

и

- по пробам промывочной жидкости. Объем проб - 0,5 л.
1.5.1. Пробы пластовых вод отбирают из каждого продуктивного горизонта по гидрогеологическим скважинам (одиночным или гидрогеологическим кустам) в период откачки. Перед измерением

проба должна отстояться для удаления нерастворимых примесей.
1.5.2. Отбор проб промывочной жидкости проводят периодически один раз в месяц, а также при смене технологии ее приготовления. Фильтрат промывочной жидкости получают путем отстаивания или фильтрации отобранной пробы. Пробы рекомендуется отбирать при бурении продуктивного горизонта.
1.6. Для определения

,

и

используют лабораторный резистивиметр типа ПР-1 с погрешностью измерений не более 10%. Погрешность оценивают в соответствии с инструкцией по работе с прибором по результатам измерений растворов химически чистой поваренной соли с известным значением сопротивления

. Периодичность поверки - один раз в квартал при систематических измерениях или перед каждым измерением при эпизодических.
1.7. Полученные значения

,

и

используют для оценки минерализации пластовых вод, промывочной жидкости и ее фильтрата, для чего одновременно с измерениями этих величин измеряют температуру жидкостей и приводят значения

,

и

к температуре 20 °C по формуле

(1)
где
t - измеренная температура жидкости при определении ее удельного сопротивления, град C. По значениям

значение минерализации соответствующей жидкости находят из графика, приведенного на
рис. П.2.
Рис. П.2. Зависимость удельного электрического сопротивления
водного раствора поваренной соли

от ее концентрации (
q)
при температуре 20 °C
1.8. Наиболее благоприятными условиями для применения электрокаротажа при расчленении пород продуктивного горизонта по проницаемости (степени глинистости) являются следующие:
для метода КС - массовая доля карбонатного цемента не более 3% в пересчете на CO2, минерализация пластовых вод не более 6 г/л;
для метода ПС - массовая доля карбонатного цемента не более 3% в пересчете на CO2, минерализация пластовых вод и фильтрата промывочной жидкости различаются не менее, чем в 1,5 раза, в геологическом разрезе пород исследуемого горизонта присутствует хотя бы один глинистый пласт с относительно постоянной долей глинисто-алевритовой фракции;
при проходке скважин и подготовке их к каротажу промывочная жидкость должна быть приготовлена по одному технологическому рецепту, а технология ее приготовления не должна существенно меняться в период проведения работ на месторождении.
2. Требования к аппаратуре и оборудованию
2.1. Каротажный зонд готовят из многожильного (не менее трех жил) шлангового геофизического кабеля. Каждую жилу кабеля припаивают к одному из трех электродов.
2.2. Электроды зонда обычно готовят из свинцового провода с сердцевиной из трех стальных проволок или из листового свинца. Длина электрода не должна превышать 1 см. Расстояние между электродами устанавливают с погрешностью не более 2%.
Допускается использование электрического зонда, изготовленного непосредственно на предварительно изолированном корпусе скважинного прибора (типа КСП).
2.3. При выборе длины зонда следует руководствоваться требованиями детальности литологического расчленения разреза. Необходимо также учитывать, что расчленение пород продуктивного горизонта по проницаемости можно уверенно проводить, если мощность проницаемых и непроницаемых пропластков больше удвоенной длины зонда. Для выбора оптимального размера зонда привлекают результаты бокового каротажного зондирования (БКЗ) градиент-зондами кровельного типа В0,05А 0,25М; В0,05А 0,50М; В0,10А 1,00М; В0,10А 1,50М; В0,20А 2,00М; В0,40А 4,00М; В0,80А 8,00М или зондами подошвенного типа таких же размеров. В качестве оптимального электрического зонда принимают такой зонд, при котором для проницаемых пород продуктивного горизонта мощностью более, чем в два раза превышающей размер зонда, удельное электрическое сопротивление

отличается от кажущегося электрического сопротивления

не более чем на 10%.
Опыт работ на гидрогенных месторождениях с аппаратурой УКП-77 показывает, что оптимальные размеры получаются при использовании кровельных градиент-зондов В0,10А 1,00М и В0,05А 0,50М.
2.4. Коэффициент зонда
k0 определяют в соответствии с требованиями инструкции
[13]. Для стандартизации результатов измерений рекомендуется определять коэффициент зонда методом сличения с зондом, для которого коэффициент
k0 известен.
2.5. Контроль настройки каналов КС и ПС проводят периодически (не реже одного раза в квартал), а также после ремонта аппаратуры.
Контроль канала КС проводят путем измерения тока генератора, питающего электроды AB, при нескольких значениях сопротивления нагрузки, охватывающих весь диапазон измеряемых значений

.
Проверку правильности настройки канала ПС проводят с помощью устройства, вырабатывающего фиксированные значения

с шагом 5, 10, 20 мВ.
2.6. Для обеспечения идентичности результатов электрокаротажа рекомендуется проводить сличение результатов измерений каналов КС и ПС на специальной контрольно-поверочной скважине или на модельных установках, имитирующих условия работ на скважине с известным набором

. Контрольно-поверочную скважину оборудуют в обводненном горизонте осадочных пород путем обсадки ее полиэтиленовой трубой, в которой рассверлены сквозные отверстия разной скважностью - для имитации пластов различного сопротивления.
3. Электрокаротаж скважин
3.1. Стандартный электрокаротаж скважин проводят в том же масштабе по оси глубин, что и гамма-каротаж
(п. 2.2.5).
3.2. Скорость электрокаротажа определяется скоростью подъема скважинного прибора при гамма-каротаже с аналоговой регистрацией (
пп. 2.2.6,
2.2.7).
3.3. Масштаб регистрации диаграмм КС и ПС выбирают с таким расчетом, чтобы минимальное значение

в пределах продуктивного горизонта было больше 10 мм, а амплитуда сигнала ПС (
UПС) в интервале проницаемых пород - не менее 2 см. На диаграммах ПС в пределах продуктивного горизонта по возможности не должно быть переносов.
3.4. Настройку каналов КС и ПС и установку масштабов регистрации проводят непосредственно перед каждым каротажем скважины, в соответствии с инструкцией по технической эксплуатации приборов. Результаты настройки - масштабы регистрации

и
UПС, "нулевая" линия канала КС - должны быть зарегистрированы на диаграммной ленте.
По окончании электрокаротажа скважины на диаграммную ленту вновь записывают результаты настройки каналов КС и ПС. Эти данные служат для контроля за сползанием нулевой линии

, за правильностью установки коэффициента зонда и масштаба регистрации
UПС.
3.5. Оформление диаграмм электрокаротажа должно соответствовать требованиям
разд. 3 настоящей инструкции.
3.6. Качество первичных материалов оценивают по результатам сопоставления основного и контрольного каротажей. Объем контрольного электрокаротажа определяется объемом контрольного гамма-каротажа
(п. 2.2.14). Требования к контрольному каротажу должны соответствовать требованиям
п. 2.2.15.
Расхождения между результатами основного и контрольного каротажей не должны превышать 10%. В противном случае необходимо выяснить и устранить причину расхождений, а каротаж провести заново.
Расхождения глубин экстремальных точек на графиках КС и ПС по основному и контрольному каротажам не должны превышать значений, приведенных в
п. 2.2.17.
4. Интерпретация данных электрокаротажа
4.1. Расчленение разреза на литологические горизонты проводят по комплексу данных электро- и гамма-каротажа с привлечением литологических характеристик отдельных горизонтов по данным керна. Для выбора и обоснования методических приемов расчленения геологического разреза на каждом месторождении составляют типовой (средненормальный) и корреляционный геолого-геофизические разрезы.
4.1.1. Для составления типового разреза используют данные каротажа и геологическую документацию керна опорных скважин, с помощью которой проводят увязку каротажных диаграмм с литологическим разрезом по скважинам. Расчленение следует вести возможно дробнее, но чтобы каждый из выделенных пропластков выделялся самостоятельно. На разрез выносят среднюю глубину, возраст, пределы изменения мощности отдельных горизонтов, литологическую колонку, краткое геологическое описание пород, диаграммы каротажа. В геологическом описании особо выделяют факторы, влияющие на электрические параметры: глинистость Cгл, карбонатность Cк, водонасыщенность, минерализацию вод, состав скелета пород, присутствие минералов с аномальными электрическими свойствами (сульфиды, органическое вещество и др.).
4.1.2. Построению корреляционных разрезов предшествует выбор реперных горизонтов (слоев) - характерных участков диаграмм, уверенно прослеживаемых в сопоставляемых разрезах. В качестве реперов можно использовать, например, выдержанные пласты плотных песчаников, известняков и мергелей, которые выделяются максимумами на диаграммах КС и минимумами на диаграммах гамма-каротажа, однородные пласты глин, характеризующиеся низкими и достаточно постоянными сопротивлениями и более высокой по отношению к вмещающим породам интенсивностью гамма-излучения и т.д.
Корреляционные разрезы располагают по линии наибольшей изменчивости геологических параметров (геологического строения). На каротажных диаграммах коррелируемых скважин выделяют основные реперы и соединяют их кровли и подошвы. Количество корреляционных разрезов - от 3 до 5 на месторождении. Количество разрезов должно быть обосновано проектом работ.
4.1.3. На типовые корреляционные разрезы выносят результаты литологической интерпретации каротажных данных.
4.2. Для расчленения горных пород продуктивного горизонта по проницаемости по результатам интерпретации данных электрокаротажа используют корреляционные зависимости между электрическим сопротивлением горных пород

(абсолютным или относительным) и (или) относительным значением потенциала поляризации
UПС, с одной стороны, и параметрами, характеризующими фильтрационные свойства пород, с другой (показатель глинистости (
Cгл), коэффициент фильтрации (
Kф) и др.).
4.3. Показатель глинистости, Cгл, характеризующий относительное содержание в породе глинисто-алевритистых частиц размером менее 0,05 мм, устанавливают по результатам гранулометрического анализа керновых проб.
Значение коэффициента фильтрации получают опытным путем на гидрогеологических скважинах

или рассчитывают по данным гранулометрического анализа керновых проб и пористости

, [
1,
12].
При отборе проб следует руководствоваться результатами интерпретации диаграмм

и
UПС (п. 4.4). При наличии четких литологических контактов, совпадающих с границами пластов, полученными в результате интерпретации диаграмм электрокаротажа, пробы отбирают по данным макроскопического описания керна. При постепенном изменении электрических свойств горных пород пробы отбирают поинтервально с таким расчетом, чтобы в пределах интервала изменение электрических параметров не превышало 15%. Перед отбором проб керн очищают от шлама и глинистой корки.
4.4. Интерпретацию графиков

и
UПС проводят в пределах продуктивного горизонта, который находят по реперным горизонтам, выделенным в результате сопоставления графиков электрокаротажа с типовыми и корреляционными разрезами.
4.4.1. При определении границ по графикам

следует соблюдать следующие правила [
3,
4].
Для кровельного градиент-зонда:
- если удельное электрическое сопротивление пласта

больше удельного электрического сопротивления вмещающих пород

, то кровлю пласта находят по точкам, в которых

, а подошву по точкам, в которых

(см.
рис. П.3, точки
a и
b);
- если

, то кровлю пласта находят по точкам, в которых

, а подошву по точкам, в которых

(см.
рис. П.3, точки
b и
d).
Рис. П.3. Пример определения границ пластов и

по данным

кровельного градиент-зонда
Для подошвенного градиент-зонда:
| | ИС МЕГАНОРМ: примечание. Текст дан в соответствии с официальным текстом документа. | |
если

, то кровлю пласта находят по точкам, в которых

, а подошву по точкам, в которых

(см.
рис. П.4, точки
a и
b);
если

, то кровлю пласта находят по точкам, в которых

, а подошву по точкам, в которых

(см.
рис. П.4, точки
b и
г).
Рис. П.4. Пример определения границ пластов и

по графикам

подошвенного градиент-зонда
Значения

определяют по графикам

, зарегистрированным зондом оптимального размера по пластам, мощность которых больше удвоенного размера зонда. При этом, если

, то

равно среднему значению в выделенных границах пласта, за исключением интервала, равного длине зонда
L, примыкающего к пласту с низким сопротивлением; если

, то

равно среднему значению

в выделенных границах пласта.
4.4.2. Для определения границ пластов с разными значениями
UПС используют способы

и способ заданного значения

. Отсчет значений
UПС при определении

производят от "линии глин". Опорные значения для проведения этой линии в пределах продуктивного горизонта выделяют по низким значениям

(от 2 до 5 Ом·м). "Линия глин" наиболее уверенно выделяется при наличии в разрезе двух опорных пластов глин мощностью не менее 1 м со значением
Cгл >= 60%
(рис. П.5).
Рис. П.5. Пример расчленения горных пород на проницаемые
и непроницаемые с помощью каротажа ПС при постепенном
изменении Cгл:
1 - проницаемые; 2 - непроницаемые
Способ

применяют в том случае, когда проекция на ось глубин "прямолинейного" отрезка крыла аномалии

мощностью более 1 м не превышает 0,4 м. По этому способу границы пластов определяют по точкам, соответствующим середине "прямолинейного" отрезка крыла аномалии (
рис. П.6, точка
Ж).
Рис. П.6. Пример расчленения горных пород на проницаемые
и непроницаемые по данным ПС
Способ заданного значения

применяют, когда проекция на ось глубин "прямолинейного" отрезка крыла аномалии

больше 0,4 м. По этому способу границы пластов определяют непосредственно по точкам на оси глубин, в которых

(см.
рис. П.6, точка
И). Значение

определяют по графику корреляционной зависимости

от
Cгл (п. 4.5), где

- максимальное значение

в пределах продуктивного горизонта, соответствующее, как правило, пластам песков мощностью не менее 1 м со значениями
Cгл, соответствующими коэффициенту фильтрации 1 м в сутки и более (см.
рис. П.5).
4.5. Для построения корреляционной зависимости между электрическими (

и

) и физическими (
Cгл и
Kф) параметрами весь диапазон изменений
Cгл (или
Kф) разбивают на 5 - 6 групп с таким расчетом, чтобы в каждую группу попало не менее 10 значений. В каждой группе подсчитывают среднее значение
Cгл (или
Kф), средние значения параметров

и

и средние квадратические погрешности их определения по формулам

(2)

(3)
где x - оцениваемый параметр, а nj - число значений этого параметра в j-й группе.
Подсчитанные по
формулам (2) значения наносят на график, по оси абсцисс которого откладывают параметры
Cгл,
Kф, а по оси ординат параметры

,

, и через полученные точки проводят плавную линию так, чтобы она не выходила за пределы прямоугольника со сторонами

(
рис. П.7,
П.8).
Рис. П.7. График корреляционной зависимости между
электрическим сопротивлением пластов

и глинистостью
(Cгл) (Cгл характеризуется фракцией менее 0,05 мм)
Рис. П.8. График корреляционной зависимости между
относительной амплитудой ПС (

и глинистостью пород (
Cгл)
(Cгл характеризуется фракцией менее 0,5 мм)
Для получения более устойчивых связей при построении корреляционных зависимостей рекомендуется перейти от

и

к их обратным величинам

и

, связь которых с параметрами
Cгл и
Kф можно аппроксимировать линейной зависимостью.
Если в пределах продуктивного горизонта уверенно прослеживается реперный горизонт с большим значением

(например, песчаный пласт мощностью более 1 м со значением

, то устойчивость корреляционных связей можно повысить, если перейти от

к

. В тех случаях, когда наблюдается изменение в плане в пределах одних и тех же литологических разностей, рекомендуется перейти к относительным величинам

, где отсчет значений

проводят от "линии глин"
(п. 4.4.2).
4.6. Разделение пород на проницаемые и непроницаемые производят по граничным значениям электрических параметров

(или

) и

. При этом к проницаемым относятся пласты, у которых эти параметры больше граничных. Значения

(или

) и

устанавливают по графикам корреляционной зависимости

или

и

от
Cгл, а граничные значения
Cгл определяет геологическая служба по данным гидрогеологических наблюдений.
При благоприятных условиях данные электрокаротажа методами КС и ПС можно использовать для разделения проницаемых пород на разновидности с определенными пределами изменения
Cгл или для выделения литолого-фильтрационных типов пород, используя для этой цели корреляционные связи между

и

и
Cгл и
Kф.
5. Оценка погрешности данных электрокаротажа
5.1. Погрешность измерений методами КС и ПС оценивают:
- по записям перед началом и после окончания каротажа: КС - по напряжению на резисторе с известным сопротивлением, включенным в цепь токового электрода зонда, ПС - по напряжению, вводимому в измерительную цепь с градуировочного компенсатора поляризации
(п. 3.4);
- сравнением измерений по результатам основного и повторного каротажей
(п. 3.6).
5.2. Допустимая относительная погрешность

измерения КС при аналоговой регистрации должна быть меньше значения
[13]

(4)
где

- порог чувствительности.
5.3. Допустимая погрешность измерения ПС - 5% от регистрируемой амплитуды сигнала. Сползание "линии глин" на диаграммах ПС не должно превышать 0,2 максимальной амплитуды на интервале измерений (100 м).
5.4. На месторождениях, где электрокаротаж использовался для расчленения пород продуктивного горизонта по проницаемости, результаты интерпретации должны быть заверены данными, полученными по керну. Сопоставление выполняют путем сравнения мощностей проницаемых и непроницаемых пород геологического разреза, выделяемых электрокаротажем и по геологическому описанию керна, заверенному данными гранулометрических анализов. В сопоставляемой выборке должно быть не менее 30 интервалов из 20 и более скважин. По выделенным на диаграммах КС пластам мощностью более удвоенной длины зонда и на диаграммах ПС пластам мощностью более 1 м допустимые расхождения не должны превышать 10%.
5.5. При использовании данных электрокаротажа для расчленения разреза по коэффициентам фильтрации, рассчитанным по гранулометрическому составу, результаты определения Kф должны быть заверены результатами, полученными по данным опытных гидрогеологических работ. Сопоставление выполняют по всем гидрогеологическим скважинам и кустам гидрогеологических скважин, где определялся Kф и выполнен электрокаротаж. Полученные расхождения в оценке Kф не должны превышать 0,5 - 1 м в сутки.
РАСЧЕТ ПОГЛОЩЕННОЙ ДОЗЫ, ПОЛУЧАЕМОЙ ИСПОЛНИТЕЛЯМИ
РАБОТ ПРИ ГАММА-КАРОТАЖЕ
При гамма-каротаже выделяются три вида работ, связанные с использованием ИИИ: настройка энергетического порога, градуировка и контроль стабильности аппаратуры.
Расчет дозы в рентгенах на расстоянии R, см, от источника активностью A, мКи, в течение T ч, производится по формуле
Д = Г·A·T/R2,
где Г - гамма-постоянная источника, равная 8,4 Р·см2/(ч·мКи) для радиевого источника, 5·10-3 Р·см2/(ч·мКи) для источника 204Tl.
1. Настройка энергетического порога регистрации
Для настройки энергетического порога регистрации гамма-квантов используют источник 204Tl с максимальной активность 1 мКи. Для выбора положения установки источника потребуется примерно 3 мин, когда источник будет приближен к исполнителю на 30 см. Полученная при этом доза облучения равна
Д1 = 5·10-3·1·3/(60·302) = 3·10-7 Р = 3·10-4 мР.
При проведении измерений на каждом из 8 положений делителя оператор находится в течение 16 мин не ближе 1 м от источника. Доза облучения при этом равна
Д2 = 5·10-3·1·16/(60·1002) = 1,3·10-7 Р = 1,3·10-4 мР.
Кроме того, оператор тратит 10 мин на переноску источника к прибору и обратно, находясь на расстоянии 0,5 м от источника
Д3 = 5·10-3·1·10/(60·502) = 3·10-7 Р = 3·10-4 мР.
Суммарная доза облучения, таким образом, составит
Д1 + Д2 + Д3 = 3·10-4 + 1,3·10-4 + 3·10-4 = 7,3·10-4 мР.
В год проводится не более четырех настроек энергетического порога, так что годовая доза не превысит 3·10-3 мР.
2. Градуировка радиометров
Операции градуировки проводят в стационарных условиях на базе партии (экспедиции) с использованием радиевых источников с максимальной активностью 1 мКи. Для градуировки пяти поддиапазонов потребуется не более 2 ч. При этом оператор 30 раз приблизится к источнику на расстояние 30 см, причем на каждое приближение источника потребуется 0,5 мин. В общей сложности оператор будет находиться на расстоянии от источника 30 см не более 15 мин. При этом доза облучения составит
Д1 = 8,4·1·15/(60·302) = 2,3·10-3 Р = 2,3 мР.
Остальное время (105 мин) оператор будет находиться на расстоянии не менее 1 м от источника, а доза облучения не превысит
Д2 = 8,4·1·105/(60·1002) = 1,5·10-3 Р = 1,5 мР.
Кроме того, оператор затратит 10 мин на доставку источника к градуировочной установке и обратно. Радиевые источники переносят держателем на расстоянии 50 см, что создаст дозу облучения
Д3 = 8,4·1·10/(60·502) = 5,6·10-4 Р = 0,56 мР.
В целом в году проводят не более 6 градуировок. Суммарная доза облучения при этом составит
(Д1 + Д2 + Д3)·6 = (2,3 + 1,5 + 0,6)·6 = 27 мР.
3. Работы при каротаже скважин
При каротаже скважин основным источником радиационной опасности являются источники, используемые для поверки стабильности работы аппаратуры, максимальная активность которых 1000 мкР/ч. На операцию поверки затрачивается порядка 3 мин, когда оператор будет находиться на расстоянии 30 см от источника. Полученная доза равна
Д1 = 1000·3/(60·302) = 6·10-2 мкР.
Кроме того, оператор затратит 5 мин на доставку источника, находясь на расстоянии 0,5 м от источника. Доза облучения при этом равна
Д2 = 1000·5/(60·502) = 4·10-2 мкР.
Поскольку контроль чувствительности проводят до и после рабочей смены (до и после каротажа), а в течение года на оператора приходится до 200 каротажей, то получаемая доза облучения в год не превысит величины
(Д1 + Д2)·400 = (6 + 4)·10-2·400 = 40 мкР = 0,04 мР.
Суммарная доза облучения при гамма-каротаже составит, таким образом, величину, не более 27,043 мР в год.
1. Бабушкин В.Д., Плотников И.И., Чуйко В.М. Методы изучения фильтрационных свойств неоднородных пород. - М.: Недра, 1974.
2. Большев Л.Н., Смирнов В.В. Таблицы математической статистики. - М.: Наука, 1983.
3. Вендельштейн Б.Д., Резванов Р.А. Геофизические методы определения параметров нефтегазовых коллекторов. - М.: Недра, 1978.
4. Дахнов В.Н. Интерпретация результатов геофизических исследований разрезов скважин. - М.: Недра, 1972.
5. Дополнения к инструкции по гамма-каротажу при поисках и разведке урановых месторождений. Вып. 1974 г. - Л., 1981.
6. Инструкция по гамма-каротажу при поисках и разведке урановых месторождений / Под ред. Ю.В. Хромова. - М.: Мингео СССР, 1974.
7. Методические рекомендации по измерению методами каротажа технологических свойств горных пород и руд / Под ред. Б.М. Колесова. - Л., 1980.
8.
Нормы радиационной безопасности НРБ и основные санитарные правила работы с радиоактивными веществами и другими источниками излучений.
ОСП-72/80. - М.: Энергоиздат, 1981.
9. Оценка достоверности ядерно-геофизических методов опробования на месторождениях твердых полезных ископаемых. МУ 41-06-027-83 (методические рекомендации). - М.: ВНИИЯГГ, 1983.
10. Правила безопасности при транспортировании радиоактивных веществ
(ПБТРВ-73). - М.: Атомиздат, 1974.
11. Правила безопасности при геологических работах. - М.: Недра, 1979.
12. Справочное руководство гидрогеолога / Под ред. В.М. Максимова. - Л.: Недра, 1967.
13. Техническая инструкция по проведению геофизических исследований в скважинах. - М.: Недра, 1985.
14. Типовые правила пожарной безопасности для промышленных предприятий. - М.: ВИЭМС, 1976.