Главная // Актуальные документы // Актуальные документы (обновление 29.11.2025 по 01.01.2026) // ГОСТ (Государственный стандарт)СПРАВКА
Источник публикации
М.: ИПК Издательство стандартов, 2003
Примечание к документу
Документ
введен в действие с 01.05.2004.
Название документа
"ГОСТ 8.581-2003. Межгосударственный стандарт. Государственная система обеспечения единства измерений. Источники альфа-излучения радиометрические эталонные. Методика поверки"
(введен в действие Постановлением Госстандарта России от 26.09.2003 N 272-ст)
"ГОСТ 8.581-2003. Межгосударственный стандарт. Государственная система обеспечения единства измерений. Источники альфа-излучения радиометрические эталонные. Методика поверки"
(введен в действие Постановлением Госстандарта России от 26.09.2003 N 272-ст)
Государственного комитета
Российской Федерации
по стандартизации и метрологии
от 26 сентября 2003 г. N 272-ст
МЕЖГОСУДАРСТВЕННЫЙ СТАНДАРТ
ГОСУДАРСТВЕННАЯ СИСТЕМА ОБЕСПЕЧЕНИЯ ЕДИНСТВА ИЗМЕРЕНИЙ
ИСТОЧНИКИ АЛЬФА-ИЗЛУЧЕНИЯ РАДИОМЕТРИЧЕСКИЕ ЭТАЛОННЫЕ
МЕТОДИКА ПОВЕРКИ
State system for ensuring the uniformity of measurements.
Standard radiometric sources of

. Verification
procedure
ГОСТ 8.581-2003
Группа Т88.11
Дата введения
1 мая 2004 года
1 РАЗРАБОТАН Федеральным государственным унитарным предприятием "Всероссийский научно-исследовательский институт метрологии им. Д.И. Менделеева" (ФГУП "ВНИИМ им. Д.И. Менделеева") Госстандарта России
ВНЕСЕН Госстандартом России
2 ПРИНЯТ Межгосударственным советом по стандартизации, метрологии и сертификации (протокол N 23 от 22 мая 2003 г.)
За принятие проголосовали:
Наименование государства | Наименование национального органа по стандартизации |
Азербайджан | Азгосстандарт |
Республика Армения | Армгосстандарт |
Республика Беларусь | Госстандарт Республики Беларусь |
Грузия | Грузстандарт |
Республика Казахстан | Госстандарт Республики Казахстан |
Кыргызская Республика | Кыргызстандарт |
Республика Молдова | Молдова-Стандарт |
Российская Федерация | Госстандарт России |
Республика Таджикистан | Таджикстандарт |
Туркменистан | Главгосслужба "Туркменстандартлары" |
Республика Узбекистан | Узгосстандарт |
Украина | Госпотребстандарт Украины |
3
Постановлением Государственного комитета Российской Федерации по стандартизации и метрологии от 26 сентября 2003 г. N 272-ст межгосударственный стандарт ГОСТ 8.581-2003 введен в действие непосредственно в качестве государственного стандарта Российской Федерации с 1 мая 2004 г.
4 ВВЕДЕН ВПЕРВЫЕ
Настоящий стандарт распространяется на эталонные <1> закрытые радиометрические источники альфа-излучения 1-го и 2-го разрядов (далее - источники) с разной площадью активной поверхности и активностью в диапазонах: из плутония-239 типов 1П9, 2П9, 3П9, 4П9, 5П9, 6П9 - от 4 до 2·107 Бк; из урана-234 типов 1У4, 2У4, 3У4, 4У4, 5У4, 6У4 - от 4 до 1·103 Бк; из урана-238 типов 1У8, 2У8, 3У8, 4У8, 5У8, 6У8 - от 4 до 600 Бк, - являющиеся мерами активности радионуклидов и внешнего альфа-излучения, и устанавливает методику их первичной и периодической поверок.
--------------------------------
<1> Ранее применяли термин "образцовые".
Настоящий стандарт не распространяется на эталонные источники альфа-излучения других типов.
В настоящем стандарте использованы ссылки на следующие стандарты:
ГОСТ 8.033-96 Государственная система обеспечения единства измерений. Государственная поверочная схема для средств измерений активности радионуклидов, потока и плотности потока альфа-, бета-частиц и фотонов радионуклидных источников
ГОСТ 8.207-76 Государственная система обеспечения единства измерений. Прямые измерения с многократными наблюдениями. Методы обработки результатов наблюдений. Основные положения
ГОСТ 112-78 Термометры метеорологические стеклянные. Технические условия
ГОСТ 5556-81 Вата медицинская гигроскопическая. Технические условия
ГОСТ 12026-76 Бумага фильтровальная лабораторная. Технические условия
ГОСТ 18300-87 Спирт этиловый ректификованный технический. Технические условия
ГОСТ 20010-93 Перчатки резиновые технические. Технические условия
3 Операции и средства поверки
3.1 При проведении поверки источников выполняют следующие операции:
- проверка на отсутствие нефиксированной загрязненности источников радиоактивными веществами
(6.2);
- измерение активности радионуклидов и внешнего альфа-излучения
(6.4);
- определение погрешности
(6.5).
3.2 При проведении поверки источников применяют средства поверки, указанные в
таблице 1.
Номер пункта настоящего стандарта | Наименование и тип основного или вспомогательного средства поверки и метрологические и основные технические характеристики средства поверки |
| Термометр с диапазоном измерений от 0 до 50 °C по ГОСТ 112; средство измерений мощности дозы рентгеновского и гамма-излучений, например типа ДБГ-06 Т |
| Измеритель скорости счета импульсов типа УИМ2-2 с блоком детектирования БДЗА2-01 или аналогичные средства измерений с чувствительностью к альфа-излучению не менее 50% |
| Вторичный эталон единицы активности радионуклидов - набор радиометрических источников альфа-излучения из плутония-239 типов 1П9, 2П9, 3П9, 4П9, 5П9, 6П9 с активностью от 4 до 2·10 7 Бк; из урана-234 типов 1У4, 2У4, 3У4, 4У4, 5У4, 6У4 с активностью от 4 до 1·10 3 Бк; из урана-238 типов 1У8, 2У8, 3У8, 4У8, 5У8, 6У8 с активностью от 4 до 6·10 2 Бк, суммарное среднее квадратическое отклонение (далее - СКО)  (по ГОСТ 8.033); набор эталонных радиометрических источников альфа-излучения 1-го разряда указанных выше радионуклидов и типов, относительная погрешность  (по ГОСТ 8.033); компаратор - установка или комплекс установок со счетчиками альфа-частиц, погрешность передачи размера единицы не более 1,5% - для поверки источников 1-го разряда, не более 2% - для поверки источников 2-го разряда (по ГОСТ 8.033) |
Примечания 1 Допускают применение компараторов с плоскопараллельными ионизационными камерами, а также установок с вакуумными камерами для размещения источников и детекторов. 2 Допускают применение других средств поверки, обеспечивающих заданную точность. 3 Набор эталонных источников альфа-излучения, используемых для поверки, может быть ограничен по диапазону и типам в зависимости от перечня поверяемых источников. |
4 Требования безопасности
4.1 При подготовке к поверке источников и ее проведении соблюдают правила работы с радиоактивными веществами, которые должны соответствовать требованиям нормативных документов <1>, а также инструкциям по мерам безопасности.
--------------------------------
<1> На территории Российской Федерации действуют основные санитарные
правила обеспечения радиационной безопасности
[1] и
нормы радиационной безопасности
[2].
4.2 Рабочее место поверителя оснащают защитными экранами, например типа 2ЭН, кюветами для временного хранения наборов источников, пинцетами по нормативным документам, резиновыми перчатками по
ГОСТ 20010, фильтровальной бумагой по
ГОСТ 12026, ватой по
ГОСТ 5556, этиловым спиртом по
ГОСТ 18300.
Примечание - Количество этилового спирта, необходимое при испытаниях на загрязненность поверхностей радиоактивными веществами путем снятия мазков, составляет 2 см3 на мазок.
5 Условия поверки и подготовка к ней
5.1 При проведении поверки источников соблюдают следующие условия:
Температура окружающего воздуха, °C ................................... | 20 +/- 5 |
Мощность дозы гамма-излучения на рабочем месте:
мкР/ч ...................................................................................... | Не более 25 |
мкЗв/ч .................................................................................... | Не более 0,25. |
5.2 Перед проведением поверки выполняют следующие подготовительные работы:
- компаратор подготовляют к работе в соответствии с техническими документами на компаратор;
- поверяемые источники разделяют на группы и к ним подбирают однотипные эталонные источники в соответствии с
3.2 так, чтобы номинальные значения активности радионуклидов в эталонных и поверяемых источниках различались не более чем в 10 раз при активности радионуклидов более 10
3 Бк. При измерениях источников с активностью не более 10
3 Бк допускают различие в номинальных значениях активности до 100 раз.
При внешнем осмотре устанавливают:
- наличие паспорта на источник (или комплект источников);
- соответствие номера и маркировки на источнике данным, указанным в паспорте;
- отсутствие изгибов подложки, царапин, вмятин и повреждений защитного слоя источника;
- отсутствие загрязнений подложки и защитного слоя источника.
6.2 Проверка на отсутствие нефиксированной загрязненности источников радиоактивными веществами
6.2.1 Подложку источника, кроме его активной поверхности, протирают ватным тампоном, смоченным этиловым спиртом. Отсутствие радиоактивных загрязнений на тампоне проверяют с помощью измерителя счета импульсов с блоком детектирования альфа-излучения БДЗА2-01.
Примечание - Допускают удаление отдельных загрязнений с поверхностей источника ватным тампоном, смоченным этиловым спиртом.
6.2.2 Источники с обнаруженным нефиксированным загрязнением радиоактивными веществами или с поврежденным защитным слоем дальнейшей поверке не подлежат.
При опробовании проверяют уровень фона и показания компаратора от контрольного источника, которые должны соответствовать установленным техническими документами на компаратор. Для контроля работы компаратора может быть использован один из эталонных источников.
6.4 Измерение активности радионуклидов и внешнего альфа-излучения
6.4.1 Активность радионуклидов и внешнее альфа-излучение измеряют с помощью компаратора относительным методом в идентичных геометрических условиях путем сравнения скоростей счета импульсов от поверяемого и эталонного источников с многократной сменой источников
(6.4.2), с однократной сменой источников
(6.4.3).
Примечание - Измерения с многократной сменой источников предпочтительны, их применяют с целью исключить систематическую погрешность, обусловленную нестабильностью показаний поверочной установки. Измерения с однократной сменой источников проводят на установках, нестабильность показаний которых мала и не влияет на погрешность передачи размера единиц. Выбор того или иного способа измерений зависит от технических и конструктивных особенностей поверочной установки и уровня активности источников.
При проведении измерений скорость счета импульсов должна быть не более

, где

- разрешающее (мертвое) время поверочной установки, с, определяемое в соответствии с
приложением А. Если скорость счета импульсов превышает указанный предел, рекомендуется ослабить альфа-излучение источника, установив перед детектором дырчатые или решетчатые коллиматоры. Не допускается ослаблять альфа-излучение ограничением активной поверхности источника.
6.4.2 При многократной смене источников измерения выполняют в следующем порядке.
6.4.2.1 Измеряют последовательно скорости счета импульсов
ni от эталонного источника
nоi, от поверяемого источника
nпi и фона
nфi. Измерения повторяют
m раз, но не менее пяти (желательно не менее 10 раз), получая ряд значений скоростей счета импульсов
nо1,
nп1,
nф1, ...,
nоm,
nпm,
nфm. Время одного измерения выбирают от 10 до 300 с.
При выборе времени одного измерения и числа измерений целесообразно воспользоваться формулой для относительного СКО S результатов измерений скорости счета импульсов при наличии фона
где tп и tф - полное время измерений скоростей счета импульсов от источника вместе с фоном nп и от фона nф соответственно.
Следует иметь в виду, что оптимальное соотношение времени измерений скоростей счета импульсов от фона и источника вместе с фоном определяют по формуле

,
т.е. при большой скорости счета импульсов от источника время измерений счета импульсов от фона может быть уменьшено.
Примечание - При измерениях с многократной сменой источников допускают делать перерыв между отдельными сериями измерений.
6.4.2.2 Для каждой i-й серии измерений вычисляют отношение скоростей счета импульсов от поверяемого и эталонного источников Ri с поправками на фон и разрешающее (мертвое) время по формуле

(1)
и получают ряд значений R1, R2, ..., Rm.
6.4.2.3 Среднее арифметическое значение отношений скоростей счета импульсов

рассчитывают по формуле

. (2)
6.4.2.4 Активность радионуклидов в поверяемом источнике Aп и его внешнее альфа-излучение Фп определяют, соответственно, по формулам:

; (3)

, (4)
где Aо и Фо - активность радионуклидов и внешнее альфа-излучение эталонного источника, соответственно, на установленную дату.
Примечание - Рекомендуется приводить (пересчитывать) результаты измерений на начало полугодия или квартала, или месяца.
6.4.3 При однократной смене источников измерения выполняют в следующем порядке.
6.4.3.1 Измеряют скорость счета импульсов от эталонного источника
nоi k раз, но не менее пяти (желательно не менее 10 раз). Время одного измерения выбирают от 10 до 300 с. Измеряют скорость счета импульсов от поверяемого источника
nпi k раз. Измеряют скорость счета импульсов фона
nфi k раз. При выборе времени измерений следует руководствоваться оценками по
6.4.2.1.
6.4.3.2 Вычисляют среднее арифметическое значение

результатов измерений скоростей счета импульсов от эталонного источника

, от поверяемого источника

и фона

по формуле

. (5)
6.4.3.3 Отношение средних арифметических значений результатов измерений скоростей счета импульсов от поверяемого и эталонного источников

с поправками на фон и разрешающее время вычисляют по формуле

. (6)
Активность радионуклидов в поверяемом источнике
Aп и его внешнее альфа-излучение Ф
п рассчитывают по
формулам (3) и
(4) соответственно.
Примечание - При поверке отдельных источников или группы близких по номинальным значениям активности источников измерения скорости счета импульсов от эталонного источника допускается выполнять в два этапа: например проводят пять измерений скорости счета импульсов (далее - измерения) от эталонного источника, затем 10 измерений от поверямого источника и снова пять измерений от эталонного источника. Затем проводят измерения фона и т.д.
В этом случае среднее арифметическое значение результатов измерений скорости счета импульсов от эталонного источника определяют по результатам 10 измерений (пять плюс пять измерений). Для следующего поверяемого источника используют пять предшествующих и пять последующих измерений от эталонного источника. Все вычисления проводят по
формулам (5),
(6). При оценке суммарного СКО по
формуле (17) нестабильность компаратора не учитывают.
6.5 Определение погрешности
6.5.1 Погрешность результатов измерений активности радионуклидов или внешнего альфа-излучения при многократной смене источников по
6.4.2 определяют в следующем порядке.
Относительное СКО отношения средних арифметических значений результатов измерений скоростей счета импульсов

определяют по формуле

(7)
Относительную погрешность среднего арифметического значения результатов измерений активности радионуклидов или внешнего альфа-излучения поверяемого источника

при доверительной вероятности
P = 0,95 определяют по формуле

, (8)
где

- оценка относительного суммарного СКО среднего арифметического значения результатов измерений, вычисляемая по формуле

, (9)
где

- относительная погрешность эталонного источника, указанная в свидетельстве на него, для вторичного эталона вместо

подставляют

из свидетельства на вторичный эталон, %;

- относительная неисключенная систематическая погрешность компаратора
(приложение Б), %;

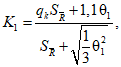
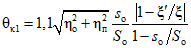
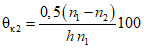
- относительная неисключенная систематическая погрешность, обусловленная неточностью определения разрешающего (мертвого) времени компаратора, %, вычисляемая по формуле

, (10)
где

- относительная погрешность определения разрешающего (мертвого) времени компаратора, %;
K1 - множитель, используемый при расчете результатов измерений с многократной сменой источников. При числе измерений 10 и более множитель
K1 может быть принят равным двум (
K1 = 2). Более точное значение множителя следует определять в соответствии с
ГОСТ 8.207 по формуле

(11)
где
qk - коэффициент Стьюдента для доверительной вероятности 0,95
(приложение В);

.
Погрешностью из-за нестабильности компаратора при многократной смене источников пренебрегают.
Примечание - Вычисленное по
формуле (8) значение относительной погрешности равно значению относительной расширенной неопределенности с коэффициентом охвата
k = 2, вычисляемой в соответствии с
[3],
[4].
6.5.2 Погрешность среднего арифметического значения результатов измерений активности радионуклидов или внешнего альфа-излучения при однократной смене источников по
6.4.3 определяют в следующем порядке.
Рассчитывают относительные значения СКО, %, умноженные на коэффициенты влияния, для среднего арифметического значения результатов измерений скоростей счета импульсов от эталонного, поверяемого источников и фона

,

,

, соответственно, по формулам:

(12)

(13)

(14)
где nоi, nпi, nфi - скорости счета импульсов от эталонного источника, от поверяемого источника и фона соответственно;

,

,

- средние арифметические значения результатов измерений скоростей счета импульсов от эталонного источника, от поверяемого источника и фона соответственно;
k - число измерений.
Рассчитывают СКО отношений средних арифметических значений результатов измерений скоростей счета импульсов

от поверяемого источника, эталонного источника и фона

,

,

, %, по формуле

. (15)
Относительную погрешность среднего арифметического значения результатов измерений активности радионуклидов или внешнего альфа-излучения поверяемого источника

, %, при доверительной вероятности 0,95 вычисляют по формуле

, (16)
где

- оценка относительного суммарного СКО результата измерений, %, вычисляемая по формуле

, (17)
где

- относительная неисключенная систематическая погрешность, обусловленная нестабильностью показаний компаратора за интервал времени от начала измерений эталонного источника до начала измерений конкретного поверяемого источника, %, по данным исследований или поверки компаратора
(приложение Б);
K2 - множитель, используемый при расчете результатов измерений с однократной сменой источников. При числе измерений 10 и более множитель
K2 может быть принят равным двум (
K2 = 2). Более точное значение множителя следует определять в соответствии с
ГОСТ 8.207 по формуле
где
qk - коэффициент Стьюдента для доверительной вероятности 0,95
(приложение В);

.
Примечание - Вычисленное по
формуле (16) значение относительной погрешности равно значению относительной расширенной неопределенности с коэффициентом охвата
k = 2, вычисляемой в соответствии с
[3],
[4].
6.5.3 Погрешность среднего арифметического значения результатов измерений активности радионуклидов и внешнего альфа-излучения

не должна превышать установленной в
ГОСТ 8.033. Для активности радионуклидов в эталонных источниках 1-го разряда значение

должно быть не более 3% - 4%; в эталонных источниках 2-го разряда - не более 4% - 6%. Для внешнего альфа-излучения эталонных источников 1-го разряда значение

должно быть не более 4% - 5%, 2-го разряда - не более 5% - 6%. В случае превышения установленных значений

проводят повторные измерения при увеличенном числе или времени измерений или измерения с многократной сменой источников вместо однократной.
6.5.4 Результаты измерений и расчетов записывают в журнал или протокол поверки и заверяют подписью поверителя. При автоматизированной системе обработки измерений на ЭВМ хранят копии свидетельств о поверке, заверенные подписью поверителя.
7 Оформление результатов поверки
7.1 На источники, отвечающие всем требованиям к эталонным радиометрическим источникам альфа-излучения, выдают свидетельство о поверке <1>. Оборотная сторона свидетельства о поверке должна содержать следующие данные:
--------------------------------
<1> На территории Российской Федерации действуют правила по метрологии
[5] (здесь и далее).
- дату, на которую приведены значения активности радионуклидов или внешнего альфа-излучения;
- значение активности радионуклидов или внешнего альфа-излучения (или обе характеристики);
- погрешность среднего арифметического значения результатов измерений активности радионуклидов с указанием доверительной вероятности;
- рекомендованное значение периода полураспада радионуклида.
7.2 Свидетельство о поверке выдают сроком на 3 года.
7.3 На источники, не удовлетворяющие требованиям настоящего стандарта, выдают извещение о непригодности с указанием причин. В дальнейшем эти источники в обращение не допускают.
(обязательное)
МЕТОД ИЗМЕРЕНИЙ РАЗРЕШАЮЩЕГО (МЕРТВОГО) ВРЕМЕНИ КОМПАРАТОРА
А.1 Данный метод распространяется на компараторы, используемые при измерениях скорости счета импульсов от источника.
А.2 Измерения разрешающего (мертвого) времени выполняют в следующем порядке.
А.2.1 Опытным путем подбирают два источника излучения для одновременного их размещения в компараторе, каждый из которых создает скорость счета импульсов n, имп·с-1, примерно равную

,
где

- ожидаемое мертвое время, с.
При подборе источников могут быть использованы разные типы альфа-источников, маски, закрывающие часть активной поверхности источников, комбинации из нескольких источников.
А.2.2 Устанавливают первый источник в компаратор, вместо второго источника устанавливают чистую подложку (без радиоактивного вещества). Измеряют скорость счета импульсов от первого источника n1. Общее число импульсов, зарегистрированное при измерении, должно быть не менее 107.
А.2.3 Не изменяя положения первого источника, на место чистой подложки (без радиоактивного вещества) устанавливают второй источник и измеряют суммарную скорость счета импульсов от двух источников n12.
А.2.4 Не изменяя положения второго источника, удаляют первый источник и на его место устанавливают чистую подложку. Изменяют скорость счета импульсов от второго источника n2.
А.3 Разрешающее (мертвое) время

, с, вычисляют по формуле

.
А.4 Проводят 3 - 5 измерений разрешающего (мертвого) времени

и вычисляют среднее значение

. Относительную погрешность измерений мертвого времени

принимают равной максимальному отклонению от среднего значения разрешающего (мертвого) времени, %:

.
Результаты считают удовлетворительными при погрешности не более 20%.
А.5 Данный метод является основным методом определения разрешающего (мертвого) времени компаратора. Радиотехнические методы определения разрешающего времени допускают применять только в случае совпадения полученных с их помощью результатов измерений с результатами измерений, полученными с помощью метода в соответствии с настоящим приложением.
(справочное)
ОЦЕНКА НЕИСКЛЮЧЕННЫХ СИСТЕМАТИЧЕСКИХ ПОГРЕШНОСТЕЙ
КОМПАРАТОРА
И 
Б.1 Неисключенная систематическая погрешность компаратора учитывает две составляющие, обусловленные: влиянием неравномерности активного слоя источников

и влиянием деформации или различием в толщине подложек сличаемых источников

.
Б.1.1 Неисключенная систематическая погрешность, обусловленная влиянием неравномерности активного слоя источников, возникает в тех компараторах, в которых чувствительность всего детектора в целом различна для разных участков активной поверхности источников. Значение

для источников с активной поверхностью 100 и 160 см
2 определяют по формуле

,
где

и

- неравномерность активного слоя у эталонного и поверяемого источников, соответственно, по их паспорту

, %;
sо и Sо - площадь с максимальным отклонением активности радионуклидов и площадь активной поверхности всего источника соответственно. Отношение sо/Sо принимают равным 0,06 и 0,1 для источников с активной поверхностью 160 и 100 см2 соответственно;

- относительное изменение эффективности регистрации частиц всего детектора для краевых участков источников по отношению к среднему при заданных расстояниях между источником и детектором.
Б.1.2 Отношение

определяют перемещением источника альфа-излучения с активной поверхностью 10 см
2 в двух взаимно перпендикулярных направлениях в пределах площади активной поверхности поверяемых источников с измерением скорости счета импульсов
ni от источника в каждой точке. Отношение

вычисляют по формуле

,
где

- среднее значение скоростей счета импульсов по всем точкам, имп·с
-1.
В качестве

выбирают значение

с наибольшим отклонением от единицы.
Б.1.3 Неисключенную систематическую погрешность, обусловленную влиянием деформации подложки или различия в толщине подложки, определяют для всех компараторов, за исключением проточных

счетчиков (т.е. без входного окна). Допускаемое отклонение принимают равным +/- 0,5 мм.
Б.1.4 Для определения погрешности в компаратор устанавливают альфа-источник с наибольшей по размеру активной поверхностью и с активностью порядка 103 - 104 Бк. Измеряют среднюю скорость счета импульсов от источника n1 (число зарегистрированных импульсов при измерениях должно быть не менее 107).
Под источник или под его борта подкладывают пластинки толщиной 0,5 - 1 мм. Измеряют скорость счета импульсов для смещенного положения источника n2.
Б.1.5 Значение

для допускаемого отклонения в деформации подложки 0,5 мм определяют по формуле

,
где h - смещение источника при втором измерении, мм.
Б.1.6 Неисключенную систематическую погрешность компаратора

рассчитывают по формуле

.
Б.2 Неисключенную систематическую погрешность

, обусловленную нестабильностью показаний компаратора, определяют экспериментально при поверке компаратора и при его эксплуатации в следующем порядке.
Помещают в компаратор источник альфа-излучения, создающий скорость счета импульсов порядка 104 имп·с-1. Время одного измерения устанавливают 1000 с. Измерения проводят в течение всего рабочего дня (8 ч), исключая период установления рабочего режима компаратора.
По данным изменений находят наибольшее изменение скорости счета импульсов

за любой 1 ч рабочего времени, за 2 ч, за 3 ч, ..., за 8 ч.
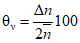
Относительную неисключенную систематическую погрешность, обусловленную нестабильностью показаний компаратора за любой требуемый интервал времени

, рассчитывают по формуле

,
где

- средняя скорость счета импульсов в этом интервале, имп·с
-1.
Результаты определения нестабильности компаратора являются основанием для ограничения интервала времени между измерениями эталонного и поверяемого источников, их используют в формулах оценки погрешности измерений источников.
(справочное)
ТАБЛИЦА КОЭФФИЦИЕНТОВ РАСПРЕДЕЛЕНИЯ СТЬЮДЕНТА
Коэффициенты распределения Стьюдента
qk приведены в
таблице В.1 для расчета множителя
K по
формулам (8) и
(16) при доверительной вероятности
P = 0,95.
Число измерений | Коэффициент Стьюдента qk |
3 | 4,3 |
4 | 3,2 |
5 | 2,8 |
6 | 2,6 |
7 | 2,5 |
8 | 2,4 |
9 | 2,3 |
10 | 2,3 |
11 | 2,2 |
12 | 2,2 |
13 | 2,2 |
14 | 2,2 |
15 | 2,1 |
20 | 2,1 |
25 | 2,1 |
30 | 2,0 |
60 | 2,0 |
(справочное)
БИБЛИОГРАФИЯ
| Основные санитарные правила обеспечения радиационной безопасности (ОСПОРБ-99). СП 2.6.1.799-99. - Минздрав России, 2000 |
| Нормы радиационной безопасности (НРБ-99). СП 2.6.1.758-99. - Минздрав России, 1999 |
| Guide to the Expression of Uncertainty in Measurement: First edition. - ISO, Switzerland, 1993. - 101 p. |
| РМГ 43-2001 Государственная система обеспечения единства измерений. Применение "Руководства по выражению неопределенности измерений" |
| ПР 50.2.006-94 Государственная система обеспечения единства измерений. Порядок проведения поверки средств измерений |
УДК 539.164.089.6:006.354 | | Т88.11 | |
Ключевые слова: поверка, методика поверки, радиометрические источники, источники альфа-излучения, активность радионуклидов, эталоны |