Главная // Актуальные документы // РуководствоСПРАВКА
Источник публикации
М.: Стройиздат, 1981
Примечание к документу
Название документа
"Руководство по теплотехническому расчету светопрозрачных ограждений промышленных зданий"
"Руководство по теплотехническому расчету светопрозрачных ограждений промышленных зданий"
ПО ТЕПЛОТЕХНИЧЕСКОМУ РАСЧЕТУ СВЕТОПРОЗРАЧНЫХ
ОГРАЖДЕНИЙ ПРОМЫШЛЕННЫХ ЗДАНИЙ
Рекомендовано к изданию секцией ограждающих конструкций НТС ЦНИИПромзданий и секцией N 1 НТС НИИСФ.
Содержит материалы по теплотехническому расчету светопрозрачных ограждений, теплотехнические требования, предъявляемые к светопрозрачным ограждениям, инженерные методы расчета теплопотерь и температурных полей, а также рекомендации по применению различных видов конструкций.
Для инженерно-технических работников проектных и строительно-монтажных организаций.
Разработано ЦНИИПромзданий (канд. техн. наук Ю.П. Александров и инж. Г.П. Бондаренко) и НИИ строительной физики (д-р техн. наук В.А. Дроздов и канд. техн. наук В.К. Савин).
1.1. Настоящее Руководство распространяется на теплотехническое проектирование окон и зенитных фонарей вновь строящихся и реконструируемых промышленных зданий различного назначения.
1.2. Руководство содержит материалы по теплотехническому расчету светопрозрачных ограждений, определению размеров светопроемов, количества слоев остекления и выбору конструктивных решений.
1.3. Выбор светопрозрачных ограждений следует производить с учетом обеспечения требований санитарно-гигиенических, светотехнических, акустических и прочностных норм, а также экономичности и долговечности.
1.4. При проектировании окон и зенитных фонарей следует руководствоваться главами СНиП по проектированию промышленных предприятий, производственных зданий, естественному и искусственному освещению, строительной теплотехнике, отоплению, вентиляции и кондиционированию воздуха, строительной климатологии и геофизике, а также указаниями настоящего Руководства.
1.5. Окна и фонари должны:
обеспечивать нормируемое значение коэффициента естественной освещенности (к.е.о) в помещении;
способствовать обеспечению нормируемого значения температуры, влажности и скорости движения воздуха в помещении;
иметь долговечность не менее 20 лет;
быть удобными, экономичными и безопасными в эксплуатации.
1.6. При проектировании окон и фонарей за расчетную зимнюю температуру наружного воздуха следует принимать:
а) среднюю температуру наиболее холодной пятидневки при определении максимальных теплопотерь и расчете температурных полей светопрозрачных ограждений;
б) среднюю температуру для холодного периода года при определении теплопотерь за отопительный период.
1.7. При проектировании зданий, строительство которых планируется в районах со среднемесячной температурой наружного воздуха за июль выше 21 °C, следует предусматривать солнцезащиту световых проемов окон и зенитных фонарей.
2. ТРЕБОВАНИЯ, ПРЕДЪЯВЛЯЕМЫЕ К МИКРОКЛИМАТУ
ПОМЕЩЕНИЙ И СВЕТОПРОЗРАЧНЫМ КОНСТРУКЦИЯМ
2.1. При проектировании окон производственных зданий нормативные значения температур, влажности и скорости движения воздуха в помещениях следует принимать в соответствии с требованием санитарно-гигиенических норм с учетом особенностей технологии производства (табл. 1).
Производственные помещения | Категория работы | Нормативные значения на постоянных рабочих местах | Допустимая температура воздуха вне постоянных рабочих мест, °C |
оптимальные | допустимые |
температура воздуха, °C | относительная влажность, % | скорость движения воздуха, м/сек, не более | температура воздуха, °C | относительная влажность, %, не более | скорость движения воздуха, м/с, не более |
С незначительными избытками явного тепла (до 20 ккал/(м3·ч)) | Легкая | 20 - 22 | 30 - 60 | 0,2 | 17 - 22 | 75 | 0,3 | 15 - 22 |
Средней тяжести | 17 - 19 | 30 - 60 | 0,3 | 15 - 20 | 75 | 0,5 | 13 - 20 |
Тяжелая | 16 - 18 | 30 - 60 | 0,3 | 13 - 18 | 75 | 0,5 | 12 - 18 |
С значительными избытками явного тепла (до 20 ккал/(м3·ч)) | Легкая | 20 - 22 | 30 - 60 | 0,2 | 17 - 24 | 75 | 0,5 | 15 - 26 |
Средней тяжести | 17 - 19 | 30 - 60 | 0,3 | 16 - 22 | 75 | 0,5 | 15 - 24 |
Тяжелая | 16 - 18 | 30 - 60 | 0,3 | 13 - 70 | 75 | 0,5 | 12 - 19 |
2.2. Расчетные параметры внутреннего воздуха устанавливаются для рабочей зоны помещений.
2.3. Рабочая зона в производственных помещениях определяется в соответствии с указаниями санитарно-гигиенических норм и главы СНиП по проектированию отопления, вентиляции и кондиционирования воздуха. Рабочей зоной в помещениях производственных предприятий считается пространство высотой в 2 м над уровнем пола, а в помещениях, где люди работают, главным образом сидя, - 1,5 м над уровнем пола. Рабочая зона по ширине ограничивается расстоянием от рабочих мест до окон и наружных стен. Параметры воздуха в производственных помещениях вне рабочей зоны не нормируются.
2.4. Для устранения образования инея и наледей на внутренней поверхности остекления сопротивление теплопередаче окон и фонарей с вертикальным остеклением должно быть не менее допустимых значений сопротивлений теплопередаче

(м
2·ч·°C/ккал), указанных в табл. 2 и определенных из условия обеспечения средней температуры на внутренней поверхности светопрозрачных ограждений более 0 °C.
Температура наружного воздуха, °C | Температура внутреннего воздуха, °C |
16 | 18 | 20 | 22 |
-5 | 0,18 | 0,17 | 0,16 | 0,15 |
-10 | 0,22 | 0,21 | 0,2 | 0,19 |
-15 | 0,26 | 0,24 | 0,23 | 0,22 |
-20 | 0,3 | 0,28 | 0,26 | 0,25 |
-25 | 0,34 | 0,32 | 0,3 | 0,28 |
-30 | 0,38 | 0,35 | 0,33 | 0,31 |
-35 | 0,42 | 0,39 | 0,37 | 0,34 |
-40 | 0,46 | 0,43 | 0,4 | 0,37 |
-45 | 0,5 | 0,46 | 0,43 | 0,4 |
-50 | 0,55 | 0,5 | 0,46 | 0,43 |
2.5. Для ограничения интенсивности лучистого теплообмена между телом человека и ограждениями в зимний период года температура внутренних поверхностей светопрозрачных ограждений должна быть не менее допустимых значений

. Допустимая температура внутренней поверхности остекления определяется согласно указаниям
п. 3.3 настоящего Руководства с учетом особенностей технологического процесса, расположения рабочих мест и допустимых потерь тепла с поверхности тела человека, которые должны быть не более 60 - 80 ккал/(м
2·ч).
2.6. Светопрозрачные ограждения должны быть достаточно герметичными и ограничивать инфильтрацию наружного воздуха в помещение. Воздухопроницаемость светопрозрачных ограждений не должна превышать указанных в табл. 3.
Производственные здания | Воздухопроницаемость G, кг/(м2·ч) |
окна и световые зенитные и П-образные фонари | светоаэрационные П-образные фонари |
Со значительными избытками явного тепла (более 20 ккал/(м3·ч)) | | |
С незначительными избытками явного тепла (до 20 ккал/(м3·ч)) | | |
С кондиционированным режимом | | - |
Примечание.  - разность давлений, рассчитываемая по формуле (32). |
2.7. На внутренних поверхностях остекления окон и фонарей с вертикальным остеклением в зимний период года допускается выпадение конденсата. Конденсация влаги на внутренних поверхностях зенитных фонарей не допускается.
2.8. При эксплуатации светопрозрачных ограждений температура внутренних поверхностей переплетов окон и фонарей, а также стыковых соединений должна быть выше 0 °C.
2.9. Подоконные части стен должны защищаться от увлажнения конденсатом.
3.1. Размеры оконных проемов производственных зданий следует принимать в соответствии с требованиями главы СНиП по проектированию естественного и искусственного освещения, не превышая отклонения этих размеров от расчетных более чем на 10%.
3.2. Количество слоев остекления должно выбираться в зависимости от требуемого сопротивления теплопередаче окна

<*> с учетом указаний
п. 2.4 и
2.5 настоящего Руководства.
--------------------------------
| | ИС МЕГАНОРМ: примечание. В официальном тексте документа, видимо, допущена опечатка: таблица 9 в СНиП II-3-79 отсутствует. Возможно, имеется в виду таблица приложения 6* СНиП II-3-79. | |
<*> См.
табл. 9 главы СНиП II-3-79.
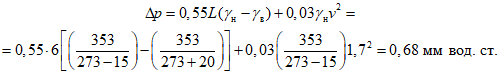
3.3. При положительных значениях

допустимое сопротивление теплопередаче окна

рассчитывается по формуле

(1)
где

- среднее термическое сопротивление у внутренней поверхности остекления.
Допускаемые температуры на внутренних поверхностях окон определяются по формуле

(2)
где

- коэффициент облученности с поверхности тела человека на поверхность окна.
При устройстве в окнах комбинированного по высоте остекления допускаемая температура на внутренней поверхности окна верхнего участка пола находится по формуле

(3)
где

,

- соответственно коэффициенты облученности между поверхностью окна и поверхностью человека;

- средняя температура внутренней поверхности остекления нижнего участка.
Коэффициенты облученности с поверхности тела человека на поверхность окна определяются с помощью графика, изображенного на рис. 1.
Рис. 1. Графики для определения коэффициента облученности
с поверхности тела человека на поверхность окна или прибора
Приближенно значение

может быть также определено по формуле

(4)
где l - расстояние от окна до рабочей зоны;
Fок - площадь окна.
Если

принимает отрицательные значения, то

принимается в
табл. 2 настоящего Руководства.
3.4. Среднее значение сопротивления теплопередаче окон

должно быть не менее требуемых его значений.
3.5. Количество слоев остекления в окнах следует определять по среднему значению сопротивления теплопередаче. При

принимается однослойное остекление; при

- двухслойное; при

- трехслойное.
В табл. 4 приведены средние значения

при различном количестве слоев остекления и разной ширине воздушной прослойки.
Количество слоев остекления | Ширина воздушной прослойки, мм | Средние значения сопротивления теплопередаче, (м2·ч·°C)/ккал |
Один | - | 0,2 |
Два | 12 | 0,36 |
15 - 20 | 0,37 |
50 | 0,4 |
100 | 0,44 |
200 и более | 0,45 |
Три | 9 + 9 | 0,5 |
12 + 112 | 0,51 |
15 + 15 | 0,52 |
100 + 100 | 0,6 |
3.6. Среднее значение сопротивления теплопередаче окон определяется по формуле

(5)
где

,

- средние значения сопротивления теплопередачи у внутренней и наружной поверхности остекления;

- среднее термическое сопротивление воздушной прослойки;

- среднее термическое сопротивление слоя остекления.
Среднее значение сопротивления теплопередачи у внутренней поверхности остекления определяется по формуле

(6)
где

- средний коэффициент теплоотдачи конвекцией, определяемый по формуле

(7)

- средний коэффициент теплоотдачи излучением, определяемый по формуле

(8)
Среднее термическое сопротивление воздушной прослойки находится по формуле

(9)
где

- средний коэффициент теплоотдачи конвекцией в воздушной прослойке, определяемый по формуле

(10)
где

,

- средние температуры на поверхностях остекления в воздушной прослойке, °C;
hв.п - ширина воздушной прослойки, м;

- средний коэффициент теплоотдачи излучением в воздушной прослойке, определяемый по формуле

(11)
Термическое сопротивление слоя остекления находится по формуле

(12)
где

- толщина стекла, м;

- коэффициент теплопроводности стекла.
Среднее сопротивление теплоотдачи у наружной поверхности согласно главе
СНиП II-3-79 "Строительная теплотехника" принимают равным:

.
3.7. Средние температуры на поверхностях трехслойного остекления окон определяют по формулам:

(13)
При этом для однослойного остекления принимают, что

, а для двухслойного

(рис. 2).
Рис. 2. Схема теплопередачи через трехслойное окно
3.8. Максимальная скорость струи воздуха

, обусловленная действием ниспадающего потока, не должна превышать нормативных значений
uн, приведенных в
табл. 1.
3.9. Максимальное значение скорости струи воздуха
(рис. 3) определяется по формуле

(14)
где u0 - средняя по площади скорость в начальном сечении струи;
b0 - ширина струи в начальном сечении.
Рис. 3. Схема проникания ниспадающего потока
воздуха в рабочую зону помещения
Средняя по площади скорость в начальном сечении струи находится по формуле

(15)
где H - высота окна.
Ширина струи в начальном сечении определяется по формуле

(16)
3.10. При проектировании естественного освещения помещений производственных зданий следует, как правило, применять типовые конструкции окон, руководствуясь при этом необходимыми размерами световых проемов, количеством слоев остекления и др. Окна, применяемые для освещения помещений промышленных зданий, приведены в
прил. 1.
3.11. Для выбора наиболее рационального решения конструкции окна необходимо выполнить теплотехнические расчеты по определению температурных полей, приведенного сопротивления теплопередаче, теплопотерь с учетом фильтрации воздуха, скорости ниспадающих потоков.
3.12. При расчете окон необходимо учитывать, что они имеют участки с различными теплозащитными качествами - средней зоны остекления, в которой температурный перепад в воздушной прослойке между поверхностями остекления не изменяется; краевых зон остекления - участков примыкания к переплетам; переплетов и участков их примыкания к наружным стенам.
С целью предотвращения образования на остеклении и переплетах инея и наледей и выявления участков концентрации температурных напряжений необходимо производить расчет температурных полей по локальным характеристикам теплообмена.
Конструкция окна считается выбранной правильно, если температуры на внутренней поверхности остекления, переплета будут выше 0 °C.
3.13. Локальные значения температуры на различных поверхностях остекления средней зоны
(рис. 4) определяются по формулам:

(17)
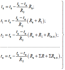
где R0 - локальные значения сопротивления теплопередаче в сечении x окна (см. рис. 4), определяемые по формуле

(18)
Рис. 4. К расчету локальных значений температуры
на различных поверхностях остекления
Локальные значения термических сопротивлений
R,
Rв, равные их средним величинам, определяются по
формулам (6),
(12).
Локальные термические сопротивления воздушных прослоек следует рассматривать как состоящие из двух термических сопротивлений пограничных слоев (см.
рис. 4) и определять из выражения
Rв.п = R'в.п + R"в.п.
Локальное термическое сопротивление воздушной прослойки определяют по формуле

(19)
где

- локальный коэффициент конвективной теплоотдачи у теплой поверхности остекления прослойки
t1, определяемый по формуле

(20)

- локальный коэффициент теплоотдачи у холодной поверхности остекления прослойки
t2, определяемый по формуле

(21)

- локальный коэффициент теплоотдачи излучением, определяемый по
формуле (8);
tm - температура в ядре воздушной прослойки, определяемая по формуле

(22)
3.14. При определении температурных полей в средней зоне остекления следует применять следующую схему расчета, основанную на методе последовательных приближений:
а) по
формуле (12) определяют термические сопротивления отдельных слоев остекления;
б) в качестве первого приближения принимают по главе
СНиП II-3-79 "Строительная теплотехника" средние значения

,
Rн = 0,05 м
2·ч·°C/ккал, а
Rв.п по
прил. 4 этой же главы СНиП. По
формуле (5) находят среднее значение
R0;
в) определяют средние значения температур на различных поверхностях остекления по
формулам (13);
г) среднюю зону остекления разбивают по высоте окна на ряд сечений -
x1,
x2, ...,
xn и по
формуле (22) определяют для них температуры в ядре воздушной прослойки;
е) находят локальные термические сопротивления
Rв.п по
формуле (19);
ж) по
формуле (6) определяют термическое сопротивление у внутренней поверхности остекления;
з) по
формуле (18) определяют локальные значения сопротивления теплопередаче;
и) по
формулам (17) находят новые уточненные значения температур на различных поверхностях остекления;
к) повторяют расчет и уточняют tm, Rв и Rв.п до тех пор, пока в двух последних приближениях эти значения будут отличаться друг от друга не более чем на 15%.
3.15. Температурные поля переплетов, краевых зон остекления, участков примыкания переплетов к наружным стенам рекомендуется рассчитывать на ЭВМ. При этом в теплотехнических расчетах следует пользоваться программой и руководством, разработанными НИИ строительной физики <1>. В расчетах коэффициент теплоотдачи у внутренней и наружной поверхностей остекления рекомендуется принимать по главе
СНиП II-3-79 "Строительная теплотехника" (

,

). Перенос тепла в воздушных прослойках рекомендуется рассматривать так же, как и в твердых телах. При этом эквивалентный коэффициент теплопроводности

находится по формуле
--------------------------------
<1> Головко М.Д., Матросов Ю.А. Программа расчета температурных полей ограждающих конструкций в условиях стационарной теплопередачи. М., ВНТИцентр П001914, 1977, с. 104. Руководство по использованию на ЭВМ с системой команд М-20 программы расчета двумерных стационарных полей ограждающих конструкций зданий. В кн.: Строительная теплофизика, М., тр. НИИСФ, 1976, вып. 17, с. 102 - 125.
3.16. Теплопотери через окна рассчитывают по формуле
где Q0 - основные потери тепла через окна, обусловленные разностью температур наружного и внутреннего воздуха;
Qд - добавочные потери тепла на нагревание наружного воздуха, поступающего в помещение за счет инфильтрации через окна.
3.17. Основные потери тепла рассчитываются по формуле

(24)
где

- среднее приведенное сопротивление теплопередаче окна.
Среднее приведенное сопротивление теплопередаче окна определяется по формуле
| | ИС МЕГАНОРМ: примечание. Формула дана в соответствии с официальным текстом документа. | |

(25)
где

- сопротивление теплопередаче средней зоны;

- среднее сопротивление теплопередаче краевых зон;

- среднее сопротивление теплопередаче переплета;
F = Fср + Fкр + Fпер, (26)
где Fср, Fкр, Fпер - соответственно площади средней зоны, краевых зон и переплета.
Сопротивление теплопередаче средней зоны находится по
формуле (5). Средние сопротивления теплопередаче краевых зон и переплета определяются из уравнений:

(27)

(28)
где

,

- соответственно средние температуры на внутренних поверхностях краевых зон и переплета;

- коэффициент теплоотдачи у внутренней поверхности ограждения.
3.18. Дополнительные потери тепла на нагревание наружного воздуха, поступающего при инфильтрации через окна, следует определять по формуле
Qд = 0,24
G0Fок(
tв -
tн), (29)
где G0 - количество воздуха, кг, проходящего за 1 ч через 1 м2 площади окна.
3.19. Количество воздуха
G0, поступающего в помещение, не должно превышать нормативных величин, указанных в
табл. 3, и определяется по формуле

(30)
где j - коэффициент воздухопроницаемости, кг/(м2·ч·мм вод. ст.);

- разность давлений воздуха у наружной и внутренней поверхностей наружных ограждающих конструкций зданий, мм вод. ст.
3.20. Коэффициент воздухопроницаемости определяется по формуле

(31)
где
B - коэффициент, определяемый для окон с деревянными переплетами по табл. 5, а с металлическими - по
табл. 6.
Вид переплетов | Количество рядов уплотнения | Уплотнения прокладками из |
полушерстяного шнура | губчатой резины | пенополиуретана |
Одинарный или двойной спаренный | 1 | 9 | 6,1 | 3,6 |
Двойной раздельный | 1 | 7,3 | 5,5 | 3,5 |
2 | 5,2 | 3,9 | 2,7 |
Тройной | 1 | 6,7 | 5,2 | 3,3 |
2 | 4,7 | 3,8 | 2,3 |
3 | 3,6 | 2,7 | 1,8 |
Характеристика окон | Материал уплотняющей прокладки | B |
Со стальными переплетами, двухстворчатое размером 1,5 x 2,2 м | Прокладка из губчатой резины | 2,7 |
Прокладка из пористой резины трубчатого профиля | 2 |
То же, размером 19 x 2,2, м | Прокладка из губчатой резины | 2,6 |
С алюминиевыми переплетами, двухстворчатое, с фрамугой размером 1,5 x 2,4 м | Прокладка из пористой резины трубчатого профиля в притворах обоих переплетов | 1,5 |
С алюминиевыми переплетами, двухстворчатое, размером 1,3 x 1,3 м | Прокладка из пористой резины трубчатого профиля | 1,8 |
Прокладка из пористой резины | 2 |
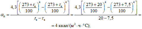
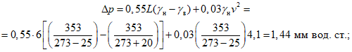
3.21. Разность давлений воздуха между наружной и внутренней поверхностями ограждающих конструкций определяют для первого этажа здания с наветренной стороны и вычисляют по формуле

(32)
где L - высота здания, м;

,

- объемные веса соответственно наружного и внутреннего воздуха, кг/м
3, определяемые по формуле

(33)
v - скорость ветра за январь, равная максимальной из средних скоростей по румбам, повторяемость которых составляет 16% и более, определяемая по главе СНиП II-А.6-72 "Строительная климатология и геофизика".
3.22. Нагревательные приборы под окнами следует устанавливать в тех случаях, когда в рабочей зоне помещений скорость ниспадающего потока воздуха у окон превышает допустимые значения или средняя температура на внутренней поверхности остекления больше нуля градусов, но меньше допускаемых значений

.
3.23. Выбор вида нагревательных приборов, а также параметров теплоносителя и температуры на поверхности приборов следует производить по пп. 3.33, 3.41, 3.77, 3.81 главы СНиП по проектированию отопления, вентиляции и кондиционирования воздуха.
3.24. Расчет окон при установке под ними нагревательных приборов производят в такой же последовательности, как и без нагревательных приборов.
3.25. Количество слоев остекления окон при установке нагревательных приборов принимается в зависимости от требуемого значения сопротивления теплопередаче, определяемого по
п. 2.4 настоящего Руководства.
3.26. При установке под окнами нагревательных приборов ниспадающий конвективный поток подавляется восходящей теплой струей воздуха от нагревателя

, а допустимая температура на внутренней поверхности остекления определяется по формуле

(34)
где t0 - температура поверхности нагревательного прибора, °C;

- коэффициент облученности между поверхностью тела человека и поверхностью нагревательного прибора.
3.27. Расчет окон при устройстве под ними нагревательных приборов включает выбор мощности приборов, определение места встречи теплой восходящей и холодной ниспадающей струй воздуха, определение средней температуры на внутренней поверхности остекления в зоне действия теплой струи и средней температуры на оси теплой струи, определение теплопотерь и отопительного эффекта, показывающего увеличение теплопотерь при применении нагревательных приборов.
3.28. Количество конвективного тепла, выделяемого нагревательным прибором
Qн, должно быть не менее количества тепла, теряемого окном путем конвенции

, т.е.

(35)
Количество конвективного тепла, отдаваемого нагревательным прибором, определяется по формуле

(36)
где

- средний коэффициент теплоотдачи нагревательного прибора конвекцией;
Fн - площадь нагревательного прибора.
Конвективные теплопотери через окна определяются по формуле

(37)
где

- средний коэффициент теплоотдачи окна конвекцией.
3.29. В случае если при применении нагревательного прибора удовлетворяется условие

, необходимо вычислить коэффициенты облученности

и

и выполнить теплотехнический расчет для определения средней температуры на внутренней поверхности окна в зоне действия теплой гравитационной струи.
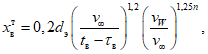
При этом расчет следует производить в следующей последовательности:
а) находим эквивалентный диаметр
dэ для выбранного нагревательного прибора по
табл. 7;
б) определяем место встречи теплой и холодной струй по формуле

(38)
в) вычисляем число Грасгофа - Gr0:

(39)
где

- коэффициент линейного расширения;
g - ускорение свободного падения;
v - кинематическая вязкость воздуха;
г) определяем среднее число Нуссельта:

(40)
где

;
д) находим средний коэффициент теплоотдачи гравитационной струи по формуле

(41)
е) средний температурный напор

вычисляем по формуле

(42)
ж) определяем среднюю температуру на оси гравитационной струи по формуле

(43)
з) определяем вновь температуру на внутренней поверхности окна в зоне действия гравитационной струи

(44)
где

(45)
и) для дальнейших расчетов принимаем среднюю температуру внутренней поверхности остекления

(46)
к) далее расчет повторяем, начиная с
п. б, подставляя в
формуле (38) вместо

значение

;
л) в результате третьего приближения получаем новое значение температуры на внутренней поверхности остекления
м) для окончательного выбора

в зоне действия теплой гравитационной струи необходимо выполнить 3 - 5 приближений, при этом температура

в последнем приближении должна отличаться от предыдущего не более чем на 0,01 °C.
Вид нагревательного прибора | Эквивалентный диаметр dэ | Характерный размер |
Цилиндр | d0 | Диаметр |
Плоская пластина с односторонним выделением тепла | | Длина |
Плоская пластина с двухсторонним выделением тепла | | |
Прямоугольная призма | | Высота, ширина |
3.30. Для выявления отопительного эффекта нагревательных приборов, определяемого из выражения

, необходимо определить полные (конвективные и лучистые) теплопотери при действии холодной
Qх и теплой
Qт струй и сопоставить их с теплопотерями окна
Qок без устройства нагревательного прибора, определяемыми по формуле

(47)
где

- коэффициент теплоотдачи;

(48)
где

- средний коэффициент теплоотдачи холодного потока;
Fх - площадь ниспадающего потока;

(49)
где

- коэффициент теплоотдачи конвекцией, определяемый по
формуле (41);

- коэффициент теплоотдачи излучением, определяемый по формуле

(50)
где

- средняя температура на внутренней поверхности остекления в зоне действия теплой струи, определяется по
формуле (46);
Fст - площадь теплой струи.
3.31. Примеры расчетов окон промышленных зданий приведены в
прил. 3 и
4.
4.1. Площади проемов зенитных фонарей следует принимать в соответствии с требованиями СНиП по проектированию естественного и искусственного освещения.
4.2. Количество слоев остекления выбирается в зависимости от требуемого сопротивления теплопередаче зенитного фонаря с учетом устранения выпадения конденсата на его внутренней поверхности.
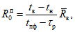
При том допускаемое сопротивление теплопередаче зенитного фонаря определяется по формуле

(51)
где tпф - температура в подфонарном пространстве;

- температура точки росы внутреннего воздуха;

- среднее термическое сопротивление у внутренней поверхности зенитного фонаря.
Температуру воздуха в подфонарном пространстве следует определять, руководствуясь отраслевыми нормативными документами или данными натурных исследований. При отсутствии этих данных температура в подфонарном пространстве определяется по формуле

(52)
где

- температурный градиент по высоте помещения [для производств с технологическими тепловыделениями до 20 ккал/(м
2·ч·°C) принимается от 0,2 до 0,5 °C/м];
L - высота помещения, м.
Температура точки росы внутреннего воздуха определяется по
табл. 8 в зависимости от относительной влажности

и температуры в рабочей зоне помещения <1>.
--------------------------------
<1> При отрицательных значениях температуры точки росы внутреннего воздуха допустимое сопротивление теплопередаче принимается согласно
п. 2.4 по
табл. 2.
Температура в рабочей зоне помещения, °C | Относительная влажность внутреннего воздуха, % |
30 | 40 | 50 | 60 | 70 |
16 | - | 2,4 | 5,6 | 8,2 | 10,5 |
17 | - | 3,3 | 6,5 | 9,2 | 11,5 |
18 | 0,2 | 4,2 | 7,4 | 10,2 | 12,5 |
19 | 1,1 | 5,1 | 8,4 | 11,1 | 13,4 |
20 | 1,9 | 6 | 9,3 | 12 | 14,4 |
21 | 2,7 | 6,9 | 10,2 | 12,9 | 15,3 |
22 | 3,4 | 7,8 | 11,1 | 13,9 | 16,3 |
24 | 5,4 | 9,6 | 13 | 15,8 | 18,2 |
Относительная влажность в помещении

, %, определяется по табл. 9 в зависимости от температуры наружного воздуха, влаговыделений и кратности воздухообмена (
tв = 18 °C).
Таблица 9
Влаговыделения, ч/м3 | Характер влаговыделений | Температура наружного воздуха, °C |
-10 | -20 | -25 | -30 | -40 | -50 |
Кратность воздухообмена, 1/ч |
1 | 2 | 5 | 1 | 2 | 5 | 1 | 2 | 5 | 1 | 2 | 5 | 1 | 2 | 5 | 1 | 2 | 5 |
0 | Влаговыделения отсутствуют | 15 | 7,2 | 5,2 | 3,3 | 1,3 | 0,7 |
1 | Незначительные | 22 | 18 | 16 | 12 | 10 | 8,5 | 12 | 8,4 | 6,5 | 9,8 | 6,5 | 4,6 | 7,9 | 4,6 | 2,6 | 7,2 | 3,9 | 2 |
2 | 28 | 22 | 18 | 20 | 14 | 9,8 | 18 | 12 | 7,8 | 16 | 19,8 | 5,9 | 14 | 7,9 | 3,9 | 14 | 7,2 | 3,3 |
5 | Малые | 48 | 31 | 22 | 40 | 24 | 14 | 38 | 22 | 12 | 36 | 20 | 9,8 | 34 | 18 | 7,9 | 33 | 17 | 7,2 |
10 | Значительные | 80 | 48 | 28 | 73 | 40 | 20 | 70 | 38 | 18 | 69 | 36 | 16 | 67 | 34 | 14 | 66 | 33 | 14 |
20 | 100 | 80 | 41 | 100 | 73 | 33 | 100 | 70 | 31 | 100 | 69 | 29 | 100 | 66 | 27 | 100 | 65 | 26 |
30 | 100 | 100 | 54 | 100 | 100 | 46 | 100 | 100 | 44 | 100 | 100 | 42 | 100 | 99 | 40 | 100 | 98 | 38 |
40 | Большие | 100 | 100 | 67 | 100 | 100 | 59 | 100 | 100 | 57 | 100 | 100 | 55 | 100 | 100 | 53 | 100 | 100 | 51 |
50 | 100 | 100 | 80 | 100 | 100 | 72 | 100 | 100 | 70 | 100 | 100 | 68 | 100 | 100 | 66 | 100 | 100 | 64 |
Влаговыделения в помещении определяются расчетом, а также по отраслевым нормам или данным натурных наблюдений.
Кратность воздухообмена в помещении определяется по главе СНиП по проектированию отопления, вентиляции и кондиционирования воздуха.
4.3. Среднее значение сопротивления теплопередаче зенитных фонарей

должно быть не менее допустимых его значений, определяемых по
формуле (51).
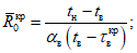
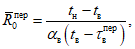
4.4. Среднее сопротивление теплопередаче определяется по
формуле (5), в которой

и

находятся согласно указаниям
п. 3.6 настоящего Руководства. Среднее значение сопротивления теплоотдачи у внутренней поверхности остекления зенитного фонаря определяется по
формуле (6). При этом средний коэффициент теплоотдачи конвекцией следует определять по формуле

(53)
Среднее термическое сопротивление воздушной прослойки находят по
формуле (9), значения

в которой определяют из выражения

(54)
4.5. Количество слоев остекления следует определять по среднему значению сопротивления теплопередаче. При

принимается однослойное остекление, при

- двухслойное, при

- трехслойное.
4.6. При проектировании естественного освещения помещений многопролетных зданий следует, как правило, применять типовые решения зенитных фонарей, основные характеристики которых приведены в
прил. 2. При выборе конструкций зенитных фонарей необходимо учитывать требования
пп. 4.1 и
4.2 настоящего Руководства. Значения сопротивления теплопередаче светопропускного заполнения зенитных фонарей различных конструкций приведены в табл. 10.
Вид светопропускающего заполнения | Количество слоев остекления | R0, (м2·ч·°C)/ккал |
Листовое силикатное стекло | 1 | 0,16 |
2 | 0,4 |
3 | 0,54 |
Стеклопакеты | 2 | 0,34 |
3 | 0,5 |
Купола и панели из органического стекла | 1 | 0,17 |
2 | 0,38 |
Профильное стекло швеллерного сечения | 1 | 0,16 |
Профильное стекло коробчатого сечения | 2 | 0,4 |
Профилированные листы из полимерных материалов | 2 | 0,36 |
1 | 0,17 |
Конструкцию зенитного фонаря следует считать выбранной правильно, если температуры на внутренних поверхностях средней зоны остекления в зимнее время будут выше точки росы, а в краевых зонах и на переплетах выше 0 °C.
4.7. Для выбранной конструкции зенитного фонаря необходимо выполнить теплотехнические расчеты по определению температурных полей, приведенного сопротивления теплопередаче, теплопотерь с учетом фильтрации воздуха.
4.8. Температурные поля переплетов и краевых зон зенитных фонарей рекомендуется рассчитывать на ЭВМ согласно
п. 3.15 настоящего Руководства. Температуры на различных поверхностях средней зоны остекления определяются по
формулам (17) с учетом расчетных зависимостей, указанных в
п. 4.4 настоящего Руководства.
4.9. Теплопотери через зенитные фонари определяются по аналогичным формулам, применяемым при расчете окон согласно
пп. 3.18 -
3.22 настоящего Руководства.
2. При расчете зенитных фонарей коэффициент
B в
формуле (31) в первом приближении следует принимать в зависимости от вида уплотнения по
табл. 5 и
6.
Количество воздуха, поступающего в помещение через зенитные фонари, следует рассчитывать по формуле
G0 = G*l1, (55)
где G* - количество воздуха, проходящего через 1 м притвора;
l1 - протяженность притвора.
Величина G зависит от скорости ветра за январь и при v, равных 1; 2; 3; 4 и 5 м/с, соответственно имеет значения 3,8; 6; 7; 8,4 и 11,8 кг/(ч·м).
4.10. В тех случаях, когда температура на внутренней поверхности остекления меньше точки росы, следует применять дополнительный обогрев подфонарного пространства. Для обогрева подфонарного пространства рекомендуется применять трубчатые нагреватели, располагаемые вдоль нижнего периметра зенитного фонаря.
4.11. Необходимое количество дополнительного тепла для устранения образования конденсата с внутренней поверхности зенитного фонаря определяют по формуле
где
qдоп - удельный расход дополнительного тепла на 1 м
2 поверхности светопропускающего заполнения, определяемый по графикам, приведенным на рис. 5 и
6;
Fф - площадь светового проема фонаря, м2.
Рис. 5. Графики для определения расхода дополнительного
тепла в зенитном фонаре с однослойным светопропускающим
заполнением для устранения образования конденсата
на внутренней поверхности остекления
Рис. 6. Графики для определения расхода дополнительного
тепла для устранения конденсата на внутренней
поверхности зенитного фонаря с двухслойным
светопропускающим заполнением
4.12. Требуемую поверхность и диаметр трубчатых нагревателей находят по следующим формулам:

(57)

(58)
где

,

- соответственно средние значения коэффициентов теплоотдачи конвекцией и излучением;
t'пф - температура воздуха в подфонарном пространстве с учетом дополнительного обогрева, определяемая по формуле;
t0 - температура поверхности нагревательного прибора;

(59)
l2 - общая длина нагревательных приборов.
Коэффициент теплоотдачи излучением определяется по формуле

(60)
4.13. Примеры теплотехнического расчета зенитного фонаря приведены в
прил. 5.
ОКНА СО СТАЛЬНЫМИ ПЕРЕПЛЕТАМИ
Схема переплета | Серия | Вес переплета, кг |
общий | 1 м2 |
| ПР-05-50/73 | 618 | 21,4 |
| 1.436-2 | 510,4 | 27,8 |
| 1.436-4 | 454,1 | 15,8 |
| 1.436-6 | 332,1 | 11,6 |
| 1.436-9 | 343,2 | 11,9 |
ЗЕНИТНЫЕ ФОНАРИ, ПРИМЕНЯЕМЫЕ ДЛЯ ЕСТЕСТВЕННОГО ОСВЕЩЕНИЯ
ПОМЕЩЕНИЙ ПРОИЗВОДСТВЕННЫХ ЗДАНИЙ
Схема фонаря | Размеры светового проема, м | Материал светопропускающего заполнения | Наименование проектной документации | Организация-разработчик |
| 1 x 1,5 | Стеклопакеты (ТУ 21-01-321-70) | Фонари зенитные для производственных зданий из легких металлических конструкций (серия 1.464-10) | ЦНИИпромзданий |
| 3 x 3 |
| 3 x 6; 3 x 12 | Стеклопакеты | Конструкции кровельных плафонов (серия 3160, разд. 85) | Промстройпроект |
| 1,2 x 1,4 | Купола и панели из органического стекла (ТУ 6-05-1486-72, ТУ 400-1-477-73, ТУ 6-05-1487-71) | Фонари зенитные для естественного освещения промышленных зданий (серия 1.464-1) | ЦНИИпромзданий |
| 1,5 x 6 |
РАСЧЕТ ОКНА МНОГОЭТАЖНОГО ЗДАНИЯ, ПРЕДНАЗНАЧЕННОГО
ДЛЯ ЭКСПЛУАТАЦИИ ПРИ РАСЧЕТНОЙ ТЕМПЕРАТУРЕ
НАРУЖНОГО ВОЗДУХА tн = -15 °C (ТАШКЕНТ)
Требуется определить размеры светового проема, количество слоев остекления и выбрать конструкцию окна для многоэтажного производственного здания при расположении рабочих мест от окна на расстоянии 4 и 1 м. Помещение имеет в плане длину 36 м и ширину 18 м. Световые проемы с ленточным остеклением ориентированы на юго-запад. В помещении выполняются зрительные работы, относящиеся к V разряду (по СНиП по проектированию естественного и искусственного освещения). Нормируемое значение коэффициента естественной освещенности составляет eн = 0,56%. Температура внутреннего воздуха tв = 20 °C.
Расчет для случая расположения рабочих мест
на расстоянии 4 м и более от окна
1. В качестве первого приближения принимаем заполнение световых проемов двухслойными стеклопакетами. По
табл. 4 находим при ширине воздушной прослойки
hв.п = 15 мм -
R0 = 0,37 м
2·ч·°C/ккал.
2. Определяем коэффициент светопропускания заполнения

согласно указаниям главы СНиП по проектированию естественного и искусственного освещения:
где

- коэффициент светопропускания одного слоя остекления;

- коэффициент затенения светового проема;

- коэффициент загрязнения заполнения.
3. Находим размеры светового проема по методике, изложенной в главе СНиП по проектированию естественного и искусственного освещения. Принимаем ленточное остекление с высотой светового проема 3 м.
4. С помощью графика, изображенного на
рис. 1, определяем коэффициент облученности

при расположении рабочих мест на расстоянии 4 м от окна:
5. Определяем допускаемую температуру на внутренней поверхности окна по
формуле (2):
6. Вычисляем требуемое значение сопротивления теплопередаче по
формуле (1):
7. Находим среднее значение сопротивления теплопередаче окна по
формуле (5), предварительно вычислив

по
формуле (12) для толщины стекла

:
Определяем сопротивления теплопередаче

и

по формулам (
6,
9):
Принимаем в качестве первого приближения

по
прил. 4 главы СНиП II-3-79 "Строительная теплотехника".
Вычисляем температуры на поверхностях остекления

и

по
формулам (13):
Подставляем значения

и

в формулы для определения

и

:
8. Определяем

:
Полученное

.
Для расчета достаточно одного приближения, так как удовлетворяются условия:
Принятая высота окна и количество слоев остекления позволяют создать требуемый микроклимат на рабочих местах.
11. Выбор конструкции окна.
По
прил. 1 выбираем типовую конструкцию окна с пакетным остеклением по серии 1.436-6. Ширина воздушной прослойки стеклопакета в такой конструкции составляет:
hв.п = 18 мм. Для выбранной конструкции производим расчет температурных полей.
12. Расчет температурных полей для средней зоны остекления:
а) определяем термические сопротивления отдельных слоев остекления по
формуле (12):
б) в качестве первого приближения принимаем:

;

;

и определяем

по
формуле (5):
в) определяем средние значения температуры на различных поверхностях остекления по
формулам (13):
г) разбиваем среднюю зону остекления на 4 сечения (по высоте): x1 = 100 мм; x2 = 1000 мм; x3 = 2000 мм; x4 = 2900 мм;
д) определяем температуры в ядре воздушной прослойки для этих сечений по
формуле (22):
е) определяем по формуле (
20,
21) локальные коэффициенты теплоотдачи конвекций при
x = 100 мм:
при x = 1000 мм:
при x = 2000 мм:
при x = 2900 мм:
ж) определяем по
формуле (11) локальные коэффициенты теплоотдачи излучением:
з) находим локальные термические сопротивления по
формуле (19):
и) определяем по
формуле (6) термическое сопротивление у внутренней поверхности остекления, предварительно вычислив коэффициенты лучистой и конвективной теплоотдачи:
к) вычисляем по
формуле (18) локальные значения сопротивления теплопередаче:
л) находим новые уточненные значения

,

,
t1,
t2, которые приведены в табл. 11:
Таблица 11
X, мм | Температура, °C |
| t1 | t2 | |
100 | 5,7 | 5,1 | -9,2 | 9,7 |
1000 | 6,5 | 5,9 | -9,5 | -10,1 |
2000 | 6,8 | 6,2 | -9,6 | -10,2 |
2900 | 6,8 | 6,2 | -9,6 | -10,2 |
Повторять расчет нет необходимости, так как принятые в первом приближении значения Rв = 0,133 (м2·ч·°C)/ккал и Rв.п = 0,18 (м2·ч·°C)/ккал отличаются от второго приближения не более чем на 15%;
м) определяем с помощью ЭВМ (рис. 7) температурные поля переплетов, краевых зон остекления и участков примыкания к переплетам.
Рис. 7. Изотермическое температурное поле
(а) и распределение температур на различных поверхностях
остекления и металлического переплета (б)
13. Расчет потерь тепла через окно:
а) определяем основные потери тепла
Q0, вычислив предварительно приведенное сопротивление теплопередаче окна по
формуле (25).
Находим
Fср,
Fкр,
Fпер,

,

по
рис. 7:
Fкр = 0,1 м2;
Fпер = 0,07 м2; Fср = (3 - 0,17) = 2,83 м2;
Определяем среднее значение сопротивления теплопередачи краевой зоны остекления и переплета по формулам (
27,
28):
Подставляем полученные значения

,

,
Fср,
Fкр,
Fпер в
формулу (25):
б) определяем дополнительные потери тепла на нагревание наружного воздуха, поступающего при его инфильтрации через окно.
Находим по
формуле (30) количество воздуха
G0, поступающего в помещение через окно:
При этом
Для окон с металлическими переплетами и уплотнением из губчатой резины по
табл. 6 находим
B = 2,7
G0 = 3,07·0,68 = 2,08 кг/(м2·ч).
Qд = 0,24G0Fок(tв - tн) = 0,24·2,08·3(20 + 15) =
= 52,5 ккал/ч.
Определяем суммарные теплопотери через окно:
Q = Q0 + Qд = 288 + 52,5 = 340,5 ккал/ч.
Расчет для случая расположения рабочих мест
на расстоянии 1 м и более от окна
1. Повторяем действия по
пп. 1,
2 и
3 выполненного выше расчета. При этом принимаем
R0 = 0,37 (м
2·ч·°C)/ккал;

; высоту ленточного остекления
H = 3 м.
2. Определяем коэффициент облученности

при расположении рабочих мест на расстоянии 1 м от окна с помощью графика
(рис. 1):
3. Находим допускаемую температуру на внутренней поверхности остекления по
формуле (2):
При этом имеем

.
4. Определяем требуемое сопротивление теплопередаче

по
формуле (1):
5. Вычисляем по
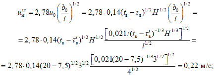
формуле (14) скорость ниспадающего потока воздуха вблизи окна:
Таким образом установлено, что требования строительных и санитарных норм не выполняются, т.е.
В этом случае необходимо устанавливать под окном нагревательные приборы.
6. Определяем мощность нагревательного прибора, в качестве которого принимаем бетонную отопительную панель длиной 1000 мм с поверхностью нагрева 0,57 м2.
Температура на поверхности панели составляет
t0 = 80 °C. Определяем конвективные теплопотери нагревательного прибора по
формуле (36):
Находим по
формуле (37) конвективные теплопотери окна при отсутствии нагревательного прибора:
т.е. мощность выбранного нагревательного прибора достаточна для локализации холодного ниспадающего потока.
7. Находим коэффициент облученности

по графикам
(рис. 1):
8. Вычисляем допускаемую температуру на внутренней поверхности остекления по
формуле (34):
9. Определяем среднюю температуру на внутренней поверхности окна в зоне действия теплой гравитационной струи и теплопотери окна. Расчет выполняем на ЭВМ.
На основания расчета получены следующие результаты:
xв = 1,43 м;

;

;

, т.е. 191,5 > 118,8 + 66,4.
10. Определяем по формулам (
48,
49) полные потери тепла в зоне действия теплой и холодной струй:
11. Определяем полные потери тепла через окно при отсутствии нагревательного прибора по
формуле (47):
12. Отопительный эффект равен:
Таким образом, устройство под окном нагревательного прибора увеличивает теплопотери через окна на 3%.
РАСЧЕТ ОКНА ЗДАНИЯ, ПРЕДНАЗНАЧЕННОГО ДЛЯ ЭКСПЛУАТАЦИИ
ПРИ РАСЧЕТНОЙ ТЕМПЕРАТУРЕ НАРУЖНОГО ВОЗДУХА
tн = -25 °C (МОСКВА)
Требуется определить размеры световых проемов, количество слоев остекления и выбрать конструкцию окна для многоэтажного производственного здания при расположении рабочих мест от окна на расстоянии 6 и 2 м.
Рассматриваемое помещение имеет размер в плане 36 x 18 м. В помещении выполняются зрительные работы, относящиеся к V разряду, согласно главе СНиП по проектированию естественного и искусственного освещения. Нормируемое значение коэффициента естественной освещенности составляет eн = 1%. Температура внутреннего воздуха tв = 20%.
Расчет для случая расположения рабочих мест
на расстоянии 6 м и более от окна
1. В качестве первого приближения принимаем заполнение световых проемов двухслойными стеклопакетами. По
табл. 4 выбираем ширину воздушной прослойки
hв.п = 20 мм. При этом сопротивление теплопередаче стеклопакета составляет
R0 = 0,37 (м
2·ч·°C)/ккал.
2. Определяем коэффициент светопропускания заполнения
3. Находим площадь световых проемов окон по методу, изложенному в главе СНиП по проектированию естественного и искусственного освещения. Необходимая площадь световых проемов составляет 129,6 м
2. Принимаем ленточное остекление световых проемов с высотой проема 3,6 м.
4. Определяем по
рис. 1 коэффициент облученности при расположении рабочих мест на расстоянии 6 м от окна:
5. Вычисляем допускаемую температуру на внутренней поверхности окна по
формуле (2):
6. Определяем требуемое значение сопротивления теплопередаче по
формуле (1):
7. Находим среднее значение сопротивления теплопередаче окна по
формуле (5):
Результаты расчета показывают, что

и

, для расчета достаточно одного приближения.
8. Вычисляем скорость ниспадающего потока воздуха вблизи окна по
формуле (14):
При этом выполняется условие
п. 3.9 
.
Выбираем окно с остеклением двухслойными стеклопакетами, имеющими ширину воздушной прослойки hв.п = 18 мм.
9. Расчет температурных полей:
а) определяем термическое сопротивление отдельных слоев остекления по
формуле (12):
б) в качестве первого приближения принимаем:
в) определяем среднее значение температур на различных поверхностях остекления по
формулам (13):
г) разбиваем среднюю зону остекления на 4 сечения
x1 = 100 мм; x2 = 1000 мм; x3 = 3000 мм; x4 = 3500 мм;
д) определяем температуры в ядре воздушной прослойки для указанных сечений:
е) определяем локальные коэффициенты теплоотдачи конвекцией:
при x = 100 мм:
при x = 1000 мм:
при x = 3000 мм:
при x = 3500 мм:
ж) определяем локальные коэффициенты теплоотдачи излучением:
з) находим локальные термические сопротивления -
Rв.п по
формуле (19):
и) определяем значение коэффициентов конвективной и лучистой теплоотдачи и термическое сопротивление у внутренней поверхности остекления по
формуле (7):
к) вычисляем локальные значения сопротивления теплопередаче по
формуле (18):
Находим новые уточненные значения

,

,
t1 и
t2, которые даны в табл. 12.
Таблица 12
X, мм | Температура, °C |
| t1 | t2 | |
100 | 2,5 | 1,7 | -17,5 | -18,4 |
1000 | 3,5 | 2,8 | -18 | -18,7 |
3000 | 4 | 3,3 | -18,2 | -18,8 |
3500 | 4,1 | 3,3 | -18,2 | -18,9 |
Повторный расчет не производим, так как принятые в первом приближении значения Rв = 0,133 (м2·ч·°C)/ккал и Rв.п = 0,18 (м2·ч·°C)/ккал отличаются от второго приближения не более чем на 15%;
| | ИС МЕГАНОРМ: примечание. Обозначения пунктов даны в соответствии с официальным текстом документа. | |
м) температурные поля переплетов краевых зон стекления, участков примыкания к переплетам рассчитаны на ЭВМ и показаны на рис. 8.
Рис. 8. Изотермическое температурное поле
(а) и распределение температур на различных поверхностях
остекления и деревянного переплета (б)
10. Расчет потерь тепла через окно:
а) определяем основные потери тепла
Q0, вычислив предварительно приведенное сопротивление теплопередаче окна по
формуле (25).
Находим
Fср,
Fкр,
Fпер,

,

по
рис. 8:
Fкр = 0,04·2 = 0,08 м2;
Fср = 3,6 - 2Fкр - 2Fпер = 3,6 - 0,04·2 - 0,07·2 = 3,45 м2;
F'пер = 0,02·2 = 0,04 м2;
F"пер = 0,015·2 = 0,03 м2;
Определяем среднее значение сопротивления теплопередаче краевых зон остекления и переплета
Находим приведенное сопротивление теплопередаче окна

по
формуле (27):
б) определяем дополнительные потери тепла на нагревание наружного воздуха, поступающего при инфильтрации через окно.
Находим количество воздуха
G0, поступающего в помещение через окно, по
формуле (30):
Для окон с деревянными переплетами и с уплотнением из пенополиуретана по
табл. 5 находим
B = 3,6;
G0 = 3,18·1,44 = 4,58 кг/(м2·ч).
Qд = 0,24G0Fок(tв - tн) = 0,24·4,58·3,6(24 + 25) =
= 178 ккал/ч.
Q = Q0 + Qд = 434,4 + 178 = 612,4 ккал/ч.
Расчет для случая расположения рабочих мест
на расстоянии 2 м и более от окна
1. Повторяем действия по
пп. 1,
2 и
3 выполненного выше расчета. При этом принимаем
R0 = 0,37 (м
2·ч·°C)/ккал;

, высоту ленточного остекления световых проемов
H = 3,6 м.
2. Находим по графику
(рис. 1) коэффициент облученности

при расположении рабочих мест на расстоянии 2 м от окна.
3. Определяем допускаемую температуру на внутренней поверхности окна по
формуле (2):
4. Находим требуемое сопротивление теплопередаче:
5. Определяем скорость ниспадающего потока воздуха по
формуле (14):
Таким образом, имеем:

,

,

.
В этом случае необходимо устройство под окнами дополнительных нагревательных приборов.
6. Определяем мощность нагревательного прибора. Выбираем в качестве нагревательных приборов бетонные отопительные панели с поверхностью нагрева Fн = 0,57 м2. Длина панели составляет 1000 мм. Температуру на поверхности панели принимаем t0 = 110 °C. Вычисляем конвективные теплопотери нагревательного прибора:
Находим конвективные теплопотери через окно при отсутствии нагревательных приборов по
формуле (37):
При этом выполняется условие

, т.е. мощность нагревательного прибора достаточна для локализации холодного ниспадающего потока.
7. По номограмме на
рис. 1 определяем коэффициент облученности

:
8. Вычисляем допускаемую температуру на внутренней поверхности остекления по
формуле (34):
Выполняем на ЭВМ теплотехнический расчет и определяем среднюю температуру на внутренней поверхности окна в зоне действия теплой гравитационной струи, а также теплопотери и отопительный эффект. В результате пяти приближений находим, что место встречи теплой и холодной струй находится на расстоянии

, средняя температура на внутренней поверхности окна в зоне действия теплой струи

, а в зоне холодного ниспадающего потока

. Следовательно,

. Конвективные теплопотери в зоне действия теплой струи составляют
Qт = 205,4 ккал/ч, а в зоне холодного ниспадающего потока -
Qх = 102,9 ккал/ч. Таким образом,

, т.е. 328,4 > (205,4 + 102,9).
12. Определяем полные (конвективные и лучистые) теплопотери окна от действия теплой и холодной струй и сопоставляем их с теплопотерями окна без устройства нагревательного прибора:
Отопительный эффект Эн равен
Теплопотери окна при установке дополнительных нагревательных приборов увеличиваются на 1%.
ТЕПЛОТЕХНИЧЕСКИЙ РАСЧЕТ ЗЕНИТНОГО ФОНАРЯ
Требуется проверить возможность образования конденсата при зимних условиях эксплуатации на внутренней поверхности зенитного фонаря, установленного в покрытии производственного здания, расположенного в Москве, и при необходимости предусмотреть меры для устранения конденсата. Размер светового проема фонаря 1,2 x 1,4 м. Светопропускающее заполнение выполнено из двухслойного стеклопакета. Высота помещения
L = 6 м; градиент повышения температуры по высоте помещения

. Относительная влажность внутреннего воздуха в помещении

, температура в рабочей зоне помещения
tв = 18 °C, теплопередача у внутренней поверхности остекления

.
Согласно главе II-А.6-72 СНиП "Строительная климатология и геофизика", средняя температура наиболее холодной пятидневки для Москвы составляет
tн = -25 °C. По
формуле (52) определяем температуру в подфонарном пространстве:
tпф = 18 + 0,5(6 - 2) = 20 °C.
По
формуле (17) определяем температуру на внутренней поверхности остекления зенитного фонаря. При этом значение

принимаем по
табл. 10.
Для
tв = 18 °C и

по
табл. 8 определяем температуру точки росы, которая составляет

.
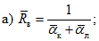
Температура на внутренней поверхности зенитного фонаря ниже точки росы, что указывает на возможность образования на ней конденсата. Для его устранения необходимо устройство дополнительного обогрева подфонарного пространства, который выполняется с помощью трубчатых нагревателей, размещаемых по нижнему периметру опорного контура фонаря.
Общая длина нагревателей составляет 5 м. По графику
(рис. 6) для

и
tн = -25 °C определяем дополнительный расход тепла на 1 м
2 светового проема
qдоп = 380 ккал/(м2·ч).
По
формуле (56) находим дополнительный расход тепла на один фонарь
Qдоп = 380·1,2·1,4 = 638 ккал/ч.
По
формуле (59) определяем температуру в подфонарном пространстве
Принимаем температуру нагревателей 80 °C и по
формулам (36) и
(60) определяем коэффициенты теплоотдачи конвекцией и излучением:
Площадь теплоотдающей поверхности нагревателей определяем по
формуле (57):
Принимаем диаметр трубчатых нагревателей d0 = 7 см.