Главная // Актуальные документы // РуководствоСПРАВКА
Источник публикации
М.: Стройиздат, 1978
Примечание к документу
Название документа
"Руководство по рациональной области применения неутепленных ограждающих конструкций производственных зданий"
(рекомендовано к изданию Главпромстройпроектом Госстроя СССР 10.06.1976)
"Руководство по рациональной области применения неутепленных ограждающих конструкций производственных зданий"
(рекомендовано к изданию Главпромстройпроектом Госстроя СССР 10.06.1976)
Главпромстройпроектом Госстроя СССР
10 июня 1976 года
РУКОВОДСТВО
ПО РАЦИОНАЛЬНОЙ ОБЛАСТИ ПРИМЕНЕНИЯ НЕУТЕПЛЕННЫХ
ОГРАЖДАЮЩИХ КОНСТРУКЦИЙ ПРОИЗВОДСТВЕННЫХ ЗДАНИЙ
Рекомендовано к изданию Главпромстройпроектом Госстроя СССР 10 июня 1976 г.
В Руководстве приведена методика технико-экономических расчетов, позволяющих определить область рационального применения неутепленных ограждающих конструкций на основе сравнения приведенных затрат, даны стоимостные и теплофизические характеристики ряда ограждающих конструкций, а также примеры расчетов.
Руководство предназначено для инженерно-технических работников, занимающихся проектированием ограждающих конструкций и отопительно-вентиляционных систем производственных зданий.
Основными направлениями совершенствования современного строительного производства являются повышение индустриализации строительно-монтажных работ, сокращение трудозатрат и сроков строительства, снижение массы и стоимости зданий, улучшение их технико-экономических и эксплуатационных показателей.
В отношении ограждающих конструкций эта задача решается заменой массивных конструкций, выполненных из традиционных материалов - кирпича, камня, бетона, облегченными неутепленными, главным образом листовыми и рулонными конструкциями из стали, алюминия, асбестоцемента и пластмасс.
Применение таких ограждающих конструкций наряду с сокращением сроков строительства и ускорением ввода производственных мощностей способствует использованию облегченных несущих конструкций, повышает универсальность промышленных зданий и расширяет возможности трансформации объемно-планировочных решений.
В настоящее время значительно расширен ассортимент профильных листов, выполненных на новом техническом уровне. Среди применяемых для этой цели материалов необходимо выделить металлопласты, т.е. стальные или алюминиевые листы, покрытые в заводских условиях защитными полимерными составами с применением термообработки. Скоростная технология изготовления рулонных и листовых металлопластов обеспечивает их широкое применение в строительстве. В этих конструкциях удачно сочетаются декоративность и коррозионная стойкость пластмасс с механическими свойствами металла при достаточной экономичности.
Расширяется также номенклатура и улучшается качество листовых изделий из асбестоцемента.
Исследования, проведенные в последние годы ЦНИИпромзданий при участии институтов-соисполнителей: Госхимпроект, ГИАП, Гипрохим, ВНИИГС и др., показали, что неутепленные ограждающие конструкции могут найти широкое применение в производственных зданиях при высокой экономической эффективности.
Применение неутепленных ограждающих конструкций позволяет значительно снизить массу и стоимость возведения зданий, сократить трудозатраты и сроки строительства.
Вместе с тем применение неутепленных ограждающих конструкций влечет за собой некоторое увеличение теплопотерь. Однако это превышение потребности в тепле в ряде случаев перекрывается экономией на устройство неутепленных ограждающих конструкций, и вопрос о целесообразности их применения может быть решен на основе технико-экономических расчетов, основанных на сравнении приведенных затрат.
Руководство разработано ЦНИИпромзданий (инж. Л.З. Мотькин - руководитель темы, О.Д. Гесслер, Н.И. Карпова при участии арх. Э.И. Когана, канд. экон. наук Э.А. Наргизяна, экономистов Т.Е. Сладковой и Г.А. Осиповой, инж. Ретаха В.С.).
При разработке Руководства учтены замечания и предложения ведущих специализированных проектных организаций (Промстройпроект, ГПИ Сантехпроект, Госхимпроект и др.).
Замечания и предложения просьба направлять по адресу: Москва, И-238, Дмитровское шоссе, 46, ЦНИИпромзданий, отдел санитарной техники.
1. ОСНОВНЫЕ ОПРЕДЕЛЕНИЯ И ОБЛАСТЬ ПРИМЕНЕНИЯ
1.1. Настоящее Руководство предназначено только для определения технико-экономической целесообразности применения неутепленных ограждающих конструкций с учетом их стоимостных и теплофизических показателей и связанных с ними эксплуатационных расходов.
1.2. Неутепленными следует считать ограждающие конструкции зданий, сопротивление теплопередаче которых не превышает 0,3 м2·ч·град/ккал.
1.3. В неотапливаемых зданиях, в которых не требуется поддержание положительной температуры внутреннего воздуха, применение неутепленных ограждающих конструкций во всех случаях целесообразно.
1.4. В отапливаемых производственных зданиях, в которых в холодный период года требуется поддерживать положительную температуру внутреннего воздуха, в соответствии с указаниями
СНиП II-А.7-71 "Строительная теплотехника" требуемое сопротивление теплопередаче ограждающих конструкций не нормируется, и неутепленные ограждающие конструкции могут применяться в следующих случаях:
тепловыделения значительно превышают потери тепла (более чем на 50%) или избытки явного тепла превышают 20 ккал/м3·ч, а влаговыделения незначительны;
внутренняя поверхность стен и покрытий подвергается интенсивному воздействию лучистого тепла или омывается сухим горячим воздухом;
площадь пола помещений на одного работающего более 100 м2.
1.5. При наличии влаговыделений применение неутепленных ограждающих конструкций должно быть обосновано соответствующими расчетами, подтверждающими условия, при которых исключается конденсация влаги на внутренних поверхностях ограждающих конструкций, если это не допускается по условиям эксплуатации.
1.6. При выборе типа неутепленных ограждающих конструкций необходимо учитывать возможность конденсации на их внутренней поверхности различных газов и паров, содержащихся в воздухе помещений, что может вызвать коррозию конструкций, и предусматривать мероприятия по предотвращению коррозии.
1.7. В связи с малой тепловой инерцией неутепленных ограждающих конструкций отопительно-вентиляционные системы следует оборудовать средствами автоматического регулирования, а при необходимости и резервным оборудованием в целях надежного обеспечения заданных параметров внутреннего воздуха при колебаниях наружных температур.
2. ОСНОВНЫЕ ФАКТОРЫ, ВЛИЯЮЩИЕ НА ВЫБОР ХАРАКТЕРА
ОГРАЖДАЮЩИХ КОНСТРУКЦИЙ ОТАПЛИВАЕМЫХ ЗДАНИЙ
2.1. Выбор характера ограждающих конструкций представляет собой сложную комплексную проблему, для решения которой необходимо учитывать влияние многочисленных факторов.
2.2. Целесообразность применения тех или иных ограждающих конструкций определяется их стоимостными показателями и теплофизическими свойствами, которые в свою очередь влияют на тепловые балансы зданий и определяют капитальные вложения и эксплуатационные расходы.
2.3. Суммарная потребность здания в тепле складывается из количества тепла, необходимого для:
компенсации теплопотерь наружными ограждениями, зависящих от теплофизических свойств ограждающих конструкций и разности температур между внутренним и наружным воздухом;
нагрева приточного воздуха, зависящего от величины (кратности) воздухообмена и разности температур между наружным и внутренним воздухом.
2.4. Поскольку большинство производственных процессов сопровождается выделением газов, паров или пыли, для ассимиляции и локализации которых требуются значительные воздухообмены, потребности в тепле на нагрев приточного воздуха, как правило, превосходят количество тепла, идущего на компенсацию теплопотерь ограждающими конструкциями. Поэтому влияние теплофизических свойств ограждающих конструкций на суммарную потребность здания в тепле является весьма ограниченным, что создает предпосылки для применения неутепленных ограждающих конструкций.
2.5. Потребность здания в тепле находится в прямой зависимости от разности температур внутреннего и наружного воздуха. Чем выше расчетная температура наружного воздуха и ниже температура воздуха в здании, тем целесообразнее применение неутепленных ограждающих конструкций.
2.6. Высокая степень автоматизации и диспетчеризации управления технологическими процессами в ряде случаев сводит к минимуму или вовсе исключает необходимость постоянного пребывания людей в производственных помещениях. Это дает возможность ограничиться поддержанием температуры воздуха в помещениях лишь на уровне требований технологии, по которым, как правило, температура воздуха выше 5 °C не требуется. При такой температуре внутреннего воздуха область рационального применения неутепленных ограждающих конструкций значительно расширяется.
2.7. Стоимость тепловой энергии составляет существенную часть эксплуатационных расходов по отопительно-вентиляционным системам, теплопроизводительность которых в свою очередь зависит от характера ограждающих конструкций. В связи с этим при более низких ценах на тепловую энергию область рационального применения неутепленных ограждающих конструкций расширяется.
3. МЕТОДИКА ТЕХНИКО-ЭКОНОМИЧЕСКИХ РАСЧЕТОВ ПО ВЫБОРУ
ХАРАКТЕРА ОГРАЖДАЮЩИХ КОНСТРУКЦИЙ
3.1. Комплексный учет многочисленных факторов, влияющих на технико-экономические показатели при выборе характера ограждающих конструкций, определяется расчетом по минимуму приведенных затрат.
3.2. Приведенные затраты представляют собой сумму годовых эксплуатационных расходов и капитальных затрат, приведенных к годовой размерности в соответствии с установленным нормативным коэффициентом эффективности.
П = C + EК, руб./год. (1)
3.3. Суммы годовых эксплуатационных расходов и капитальных затрат складываются из соответствующих показателей по ограждающим конструкциям и отопительно-вентиляционным системам и определяются по формулам:
C = Cо.к + Cо.в, руб./год; (2)
К = Ко.к + Ко.в, руб. (3)
Капитальные затраты (стоимость "в деле"), эксплуатационные расходы, приведенные затраты и затраты труда на стройплощадке на 1 м
2 ограждающих конструкций приведены в
табл. 1.
Таблица 1
Технико-экономические показатели по ограждающим конструкциям
на 1/м2 в рублях
N п.п. | Ограждающие конструкции | Стоимость "в деле" Ко.к, руб./м2 | Годовые эксплуатационные затраты, 4,8% от стоимости "в деле" Cо.к, руб./(год·м2) | Приведенные затраты По.к = Ко.к·0,12 + Cо.к, руб./(год·м2) | Затраты труда на стройплощадке Тр, чел.-ч·м2 | Сопротивление теплопередаче R, м2·ч·град/ккал |
| Стены утепленные | | | | | |
| Кирпичные, оштукатуренные и окрашенные ПХВ за один раз с одной стороны, толщиной, мм: | | | | | |
250 | 9,12 | 0,44 | 1,58 | 2,84 | 0,56 |
380 | 13,07 | 0,63 | 2,2 | 3,77 | 0,75 |
510 | 17,04 | 0,82 | 2,86 | 4,71 | 0,93 |
| Керамзитобетонные панели объемным весом 900 кг/м3 офактуренные с двух сторон и окрашенные ПХВ за один раз с одной стороны для зданий высотой до 15 м, толщиной, мм: | | | | | |
200 | 16,64 | 0,8 | 2,8 | 1,72 | 0,84 |
240 | 18,19 | 0,87 | 3,05 | 1,72 | 0,98 |
300 | 20,15 | 0,97 | 3,39 | 1,72 | 1,2 |
| То же, для зданий высотой до 25 м, толщиной, мм: | | | | | |
200 | 16,88 | 0,81 | 2,84 | 1,73 | 0,84 |
240 | 18,43 | 0,88 | 3,09 | 1,73 | 0,98 |
300 | 20,4 | 0,98 | 3,43 | 1,73 | 1,2 |
| Трехслойные панели типа "сэндвич" с двумя стальными профилированными плакированными листами толщиной 1 мм с утеплителем между листами из пенополиуретана, толщиной, мм: | | | | | |
50 | 19,23 | 0,92 | 3,23 | 1,09 | 1,4 |
80 | 23,3 | 1,12 | 3,92 | 1,09 | 2,13 |
| Неутепленные | | | | | |
| Из асбестоцементных листов унифицированного профиля толщиной 6 мм с установкой металлических ригелей (листы марки УВ-6-250) | 3,11 | 0,15 | 0,52 | 1,2 | 0,2 |
| То же, из асбестоцементных листов, окрашенных ПХВ | 4,03 | 0,19 | 0,67 | 1,85 | 0,2 |
| Из стального профилированного оцинкованного листа толщиной 0,8 мм, окрашенного эмалью ХП-124 по двум слоям грунта | 9,6 | 0,46 | 1,61 | 0,34 | 0,183 |
| То же, плакированного пластмассой с двух сторон | 8,77 | 0,42 | 1,47 | 0,6 | 0,183 |
| Из плоских предварительно напряженных железобетонных панелей толщиной 70 мм, длиной 6 м | 7,4 | 0,36 | 1,25 | 1,9 | 0,22 |
| Из плоских предварительно напряженных железобетонных панелей толщиной 130 мм и длиной 12 м (по серии Ст-02-19/68) | 8,5 | 0,41 | 1,43 | 0,68 | 0,272 |
| Оконные проемы | | | | | |
| Металлические переплеты по серии ПР-05-50/71 с одинарным остеклением, толщиной стекла 4 мм, размером панели 1,8 x 6 м: | | | | | |
глухая | 11,59 | 0,56 | 1,95 | 2,11 | 0,18 |
открывающаяся | 13,09 | 0,63 | 2,2 | 2,39 | 0,18 |
| Металлические переплеты по серии 1.436-6 с пакетным остеклением, размер панели 2,4 x 6 м: | | | | | |
глухая | 21,73 | 1,04 | 3,65 | 1,24 | 0,36 |
открывающаяся | 24,14 | 1,16 | 4,06 | 1,46 | 0,36 |
| Покрытия утепленные | | | | | |
| Профилированный настил толщиной 1 мм с пароизоляцией, утеплитель ПСБ-С объемным весом 35 кг/м3 толщиной 40 мм и четырехслойным рулонным ковром | 14,62 | 0,7 | 2,45 | 2,18 | 1,38 |
| Из железобетонных панелей размером 3 x 6 м, утепленные керамзитобетонными плитами объемным весом 500 кг/м3, толщиной 100 мм, цементной стяжкой и четырехслойным рулонным ковром для зданий высотой до, м: | | | | | |
15 | 14,13 | 0,69 | 2,38 | 3,21 | 0,85 |
25 | 14,25 | 0,68 | 2,39 | 3,22 | 0,85 |
| Неутепленные | | | | | |
| Из волнистых асбестоцементных листов унифицированного профиля по металлическим прогонам (серия листов УП-7,5-175) | 4,69 | 0,23 | 0,78 | 1,02 | 0,2 |
| Из волнистых асбестоцементных листов унифицированного профиля, окрашенных ПХВ за один раз с одной стороны | 5,15 | 0,25 | 0,87 | 1,17 | 0,2 |
| Из профилированного листа толщиной 0,9 мм, плакированного с одной стороны и окрашенного ПХВ с другой | 11,13 | 0,53 | 1,87 | 1 | 0,183 |
Примечания: 1. Показатель стоимости "в деле" определен для условий I территориального района в ценах, введенных с 1/I-1969 г. Стоимость материалов и конструкций принята по Ценнику N 1 "Средние районные сметные цены на материалы, изделия и конструкции", части I, II. Монтаж конструкций и стоимость отдельных работ определены по ЕРЕР.
2. Затраты труда на стройплощадке определены по нормам СНиП.
3. Годовые эксплуатационные расходы на амортизацию (реновация и капитальный ремонт) и затраты на текущий ремонт определены по методике ЦНИИпромзданий "Методика и нормативы для определения стоимости эксплуатации промышленных зданий на стадии их проектирования".
3.4. Капитальные затраты в устройство вентиляционных систем принимаются по сметам или могут быть ориентировочно определены по формуле
Ко.в = Ц3VКр, руб. (4)
Значения
Цз определяются по укрупненным показателям стоимости устройства вентиляционных систем на 1 м
3 в час производительности по воздуху, руб.
(табл. 2).
Таблица 2
Удельные показатели стоимости устройства
вентиляционных систем
на 1 м3 в час производительности
по воздуху в руб.
Системы | Производительность систем по воздуху, тыс. м3/ч |
10 - 20 | 25 - 70 |
Приточные: | | |
без очистки воздуха | 0,095 | 0,070 |
с одноступенчатой очисткой | 0,125 | 0,110 |
Вытяжные: | | |
без очистки воздуха | 0,055 | 0,045 |
с одноступенчатой очисткой | 0,130 | 0,100 |
Примечания 1. Показатели составлены для I группы строек и I территориального района.
2. По системам без очистки воздуха в показателях учтены следующие работы:
устройство вентиляционных камер с жалюзийными решетками, клапанами и т.п.;
монтаж вентиляторов и электродвигателей с устройством виброизолирующих оснований;
подвеска стальных воздуховодов с установкой фасонных частей, дроссель-клапанов и т.п.;
установка выхлопных труб;
окраска воздуховодов, отсосов и выхлопных труб;
пуск и регулировка систем.
3. По системам с очисткой воздуха, кроме указанных в
п. 2, учтены работы по монтажу самоочищающихся масляных фильтров для приточных систем и циклонов для вытяжных систем.
3.5. Сумма годовых эксплуатационных расходов по отопительно-вентиляционным системам может быть определена по формуле
Cо.в = А + Р + Пр + Т + Э, руб./год. (5)
Сумма первых трех членов в формуле годовых эксплуатационных расходов может быть представлена в долях от капитальных вложений и составит
А + Р + Пр = 0,2Ко.в + 0,2·0,2Ко.в + 0,3(0,2 + 0,04)Ко.в =
= 0,312Ко.в, руб./год. (6)
Таким образом, сумма годовых эксплуатационных расходов может быть представлена в виде
Cо.в = 0,312Ко.в + Т + Э, руб./год. (7)
3.6. Годовая стоимость тепла определяется по формуле
Т = QгодЦ1·10-6, руб./год. (8)
3.7. Годовая потребность в тепле определяется по формуле
Qгод = (qо + qв)mn(tв - tср.от), ккал/год. (9)
3.8. Удельные потери тепла ограждающими конструкциями здания определяются по формуле

(10)
3.9. Удельная потребность в тепле на нагрев приточного воздуха определяется по формуле
qв = V·Кр·0,288, ккал/(ч·град), (11)
где 0,288 - объемная теплоемкость воздуха, ккал/(м3·град).
3.10. Годовая стоимость электроэнергии (за отопительный период) определяется по формуле
Э = VКрmn·0,3·10-3Ц2, руб./год, (12)
где 0,3·10-3 - средний расход электроэнергии на перемещение в вентиляционных системах воздуха, кВт·ч/м3.
3.11. Приведенные затраты по ограждающим конструкциям здания составят
По.к = П1F1 + П2F2 + ... + ПnFn, руб./год. (13)
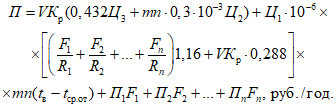
3.12. Общие приведенные затраты по зданию (на отопительно-вентиляционные устройства и ограждающие конструкции) могут быть определены по следующему выражению:

(14)
Преобразуя это выражение, получим

(15)
3.13. Экономическая эффективность применения неутепленных ограждающих конструкций определяется по минимуму приведенных затрат. Применение неутепленных ограждающих конструкций целесообразно, если разность приведенных затрат по сравниваемым вариантам удовлетворяет условию

(16)
3.14. Сравнение вариантов зданий с различными ограждающими конструкциями проводится в идентичных условиях (объемно-планировочные решения, воздухообмены и параметры внутреннего и наружного воздуха, цены на тепловую и электрическую энергию и отопительно-вентиляционные системы). Используя
формулы (15) и
(16), получим разность приведенных затрат

(17)
4. ГРАФИЧЕСКИЙ СПОСОБ ОПРЕДЕЛЕНИЯ ОБЛАСТИ РАЦИОНАЛЬНОГО
ПРИМЕНЕНИЯ НЕУТЕПЛЕННЫХ ОГРАЖДАЮЩИХ КОНСТРУКЦИЙ
4.1. С некоторым приближением область рационального применения неутепленных ограждающих конструкций для ряда заданных условий может быть определена по графику на рисунке.
График для определения области рационального применения
неутепленных ограждающих конструкций
1 - асбестоцементные волнистые листы или тонкостенные
железобетонные панели при tв = 5 °C; 2 - то же,
при tв = 16 °C; 3 - профилированные стальные листы
при tв = 5 °C; 4 - то же, при tв = 16 °C
4.2. Кривые на графике получены путем решения
выражения (17) относительно
Ц1 при условии равенства приведенных затрат по сравниваемым вариантам

:

(18)
Таким образом, кривые на графике представляют собой пограничные линии равных приведенных затрат по сравниваемым вариантам зданий с утепленными и неутепленными ограждающими конструкциями.
4.3. Пограничные линии равных приведенных затрат получены путем расчетов по
формуле (18) для внутренних температур воздуха
tв = 5 °C и
tв = 16 °C.
В расчетах в качестве утепленных ограждающих конструкций приняты керамзитобетонные стеновые панели или трехслойные панели "сэндвич" с эффективным утеплителем, а также утепленные совмещенные кровли. Варианты неутепленных ограждающих конструкций приведены на графике. График составлен для условия продолжительности работы производств в течение суток (m = 24 ч) и следующих параметров воздуха:
Расчетная температура наружного воздуха для проектирования отопления tн, град | -10 | -20 | -30 | -40 |
Продолжительность отопительного периода n, сут | 122 | 185 | 282 | 246 |
Средняя температура отопительного периода tср.от, град | 4,5 | -0,7 | -6,2 | -10,2 |
4.4. Область рационального применения неутепленных ограждающих конструкций для указанных в
п. 4.3 условий располагается ниже соответствующих линий равных приведенных затрат.
5. ПРОВЕДЕНИЕ РАСЧЕТОВ НА ЭВМ
5.1. При проведении серий расчетов для решения типологических задач и при сравнении многочисленных вариантов ограждающих конструкций целесообразно использовать ЭВМ.
5.2. Для проведения расчетов на ЭВМ составлена программа "Эффективность-2", которая находится в ЦНИИпромзданий.
5.3. Программа написана на алгоритмическом языке АЛГОЛ-60 для транслятора ТА-1М и отлаживалась на ЭВМ М-222, однако после незначительной модификации может быть использована для работы на других ЭВМ 2-го поколения. Она применима для вычислений при различных объемах зданий, площадей ограждающих конструкций, их теплофизических показателей, различных климатических условиях, продолжительности работы производства в течение суток, кратности воздухообмена и температур внутреннего воздуха и может быть модернизирована для работы с другими данными.
6. ЭКОНОМИЧЕСКАЯ ЭФФЕКТИВНОСТЬ ПРИМЕНЕНИЯ
НЕУТЕПЛЕННЫХ ОГРАЖДАЮЩИХ КОНСТРУКЦИЙ
6.1. Годовая экономическая эффективность применения неутепленных ограждающих конструкций определяется разностью приведенных затрат по
формуле (17).
6.2. Снижение капитальных затрат при применении неутепленных ограждающих конструкций составит
| | ИС МЕГАНОРМ: примечание. Формула дана в соответствии с официальным текстом документа. | |

(19)
6.3. Снижение трудоемкости при устройстве неутепленных ограждающих конструкций определяется по формуле

(20)
6.4. Единовременный эффект от ускорения ввода в действие производственного объекта определяется по формуле
Эв = EнФ (Ту - Тн), тыс. руб. (21)
ПРИМЕРЫ РАСЧЕТОВ
Пример 1. Определить экономическую целесообразность применения неутепленных ограждающих конструкций (асбестоцементные листы) для производственного здания объемом 100 000 м3, возводимого в Ростове-на-Дону.
В качестве аналога для технико-экономического сравнения принимается здание с керамзитобетонными стеновыми панелями и совмещенной кровлей. Остекление для обоих вариантов принято одинарное.
Исходные данные:
цена тепловой энергии,

;
продолжительность отопительного периода, n = 175 сут;
ИС МЕГАНОРМ: примечание.
Обозначение дано в соответствии с официальным текстом документа.
средняя температура отопительного периода,

;
число часов работы производства, m = 24 ч в сутки;
температура внутреннего воздуха,

;
поверхность утепленных ограждающих конструкций,

:
стен

;
остекления

;
покрытия

;
поверхность неутепленных ограждающих конструкций,

:
стен

; (3024·1,4 = 4234);
остекления

;
покрытия

(7200·1,4 = 10 080)
(в скобках даны поверхности с учетом волнистости для расчета теплопотерь);
сопротивление теплопередаче утепленных ограждающих конструкций,

:
стен

;
остекления

;
покрытия

;
сопротивление теплопередаче неутепленных ограждающих конструкций,

:
стен и покрытий

;
остекления

;
приведенные затраты по утепленным ограждающим конструкциям,

:
стены

;
остекление

;
покрытие

;
приведенные затраты по неутепленным ограждающим конструкциям,

:
стены

;
остекление

;
покрытие

.
Значения Ц1 принимаются по себестоимости тепла или по Прейскуранту N 09-01 Госплана СССР.
Значения n и tср.от принимаются по СНиП II-А.6-72 "Строительная климатология и геофизика".
Значения
По.к и
R принимаются по
табл. 1.
Определяем разность приведенных затрат по сравниваемым вариантам, подставляя значения в
формулу (17),
Таким образом, применение неутепленных ограждающих конструкций в данном случае целесообразно, так как дает снижение приведенных затрат на 11 314 руб./год.
Пример 2. Пользуясь условиями примера 1, определить снижение трудоемкости при переходе с утепленных на неутепленные ограждающие конструкции. Расчет проводится по
формуле (20).
Подставляя значения трудоемкости и поверхности ограждающих конструкций, получим:
для утепленных ограждающих конструкций
для неутепленных ограждающих конструкций
Снижение трудоемкости

или 46,7%.
Пример 3. Определить максимальную цену тепловой энергии, при которой целесообразно применить в качестве ограждающих конструкций стальной профилированный лист для производственного здания объемом 195 000 м3. В качестве аналога для сравнения принято здание с кирпичными стенами толщиной 380 мм и совмещенной утепленной кровлей. Здания располагаются в городах Иркутске и Ташкенте.
Исходные данные:
n = 241 сут (Иркутск); | n = 130 сут (Ташкент); |
tср.от = -8,9 °C (Иркутск); | tср.от = 2,4° C (Ташкент); |
m = 24 ч; | |
tв = 5 °C; | |
для Иркутска
для Ташкента
Таким образом, применение неутепленных конструкций в климатических условиях Иркутска целесообразно при цене тепловой энергии не более 0,92 руб./Гкал, а в климатических условиях Ташкента - не более 9,1 руб./Гкал.
Пример 4. Определить ориентировочно, при каких расчетных температурах наружного воздуха целесообразно применение в качестве ограждающих конструкций стального профилированного листа при цене тепловой энергии 4,5 руб./Гкал и tв = 5 °C.
По графику (см.
рис.) находим, что применение таких ограждающих конструкций целесообразно при расчетных температурах наружного воздуха не ниже -21 °C.
Ход решения показан на графике (см.
рис.).
ПРИНЯТЫЕ ОБОЗНАЧЕНИЯ И РАЗМЕРНОСТИ
Обозначение | Размерность | Наименование величин |
C | руб./год | Годовые эксплуатационные расходы |
Cо.к | " | Годовые эксплуатационные расходы по ограждающим конструкциям |
Cо.в | " | То же, по отопительно-вентиляционным устройствам |
Eн | 1/год | Нормативный коэффициент эффективности капитальных вложений в строительстве |
К | руб. | Капитальные затраты |
| " | Разность капитальных затрат |
Ко.к | " | Капитальные затраты на ограждающие конструкции |
Ко.в | " | То же, на отопительно-вентиляционные системы |
Ц1 | руб./Гкал | Цена (тариф) на тепловую энергию |
Ц2 | руб./кВт·ч | Цена (тариф) на электрическую энергию |
Ц3 | руб./(м3·ч) | Удельная стоимость устройства вентиляции (на 1 м3/ч производительности систем) |
V | м3 | Объем здания (помещения) |
Кр | об/ч | Кратность воздухообмена |
А = 0,2Ко.в | руб./год | Амортизационные отчисления |
Р = 0,2А | " | Стоимость текущего ремонта |
Пр = 0,3 (А + Р) | " | Общеобъектные и прочие расходы |
Т | руб./год | Годовая стоимость тепла |
Э | " | Годовая стоимость электроэнергии |
Qгод | ккал/год | Годовая потребность в тепле на отопительно-вентиляционные нужды |
qо | ккал/(ч·град) | Удельные потери тепла ограждающими конструкциями |
qв | " | Удельная потребность в тепле на нагрев приточного воздуха |
m | ч | Число часов работы отопительно-вентиляционных систем в течение суток |
n | сутки | Продолжительность отопительного периода |
tв | град | Температура внутреннего воздуха |
tср.от | " | Средняя температура отопительного периода |
| | ИС МЕГАНОРМ: примечание. Обозначения даны в соответствии с официальным текстом документа. | |
|
F2, F2, ..., Fn | м2 | Поверхность ограждающих конструкций (стен, покрытия, остекления) |
R1, R2, ..., Rn | м2·ч·°C/ккал | Сопротивление теплопередаче ограждающих конструкций (стен, покрытия, остекления) |
П | руб./год | Общие приведенные затраты по зданию (на отопительно-вентиляционные устройства и ограждающие конструкции) |
П1, П2, ..., Пn | руб./(м2·год) | Удельные приведенные затраты по отдельным видам ограждающих конструкций (стены, покрытие, остекление) |
По.в | руб./год | Приведенные затраты по отопительно-вентиляционным устройствам |
| " | Разность приведенных затрат по сравниваемым вариантам |
| чел.-ч/м2 | Удельная трудоемкость устройства ограждающих конструкций (стен, покрытия, остекления) |
| чел.-ч | Разность трудоемкости |
Ф | тыс. руб. | Стоимость досрочно введенных в действие производственных фондов |
Т0 | год | Продолжительность строительства здания |
Примечание. Приведенные в расчетных формулах обозначения с индексом "н" относятся к неутепленным ограждающим конструкциям, с индексом "у" - к утепленным.