Главная // Актуальные документы // РуководствоСПРАВКА
Источник публикации
М.: Стройиздат, 1970
Примечание к документу
Название документа
"Руководство по проектированию жилых и общественных зданий с железобетонным каркасом, возводимых в сейсмических районах"
"Руководство по проектированию жилых и общественных зданий с железобетонным каркасом, возводимых в сейсмических районах"
ПО ПРОЕКТИРОВАНИЮ ЖИЛЫХ И ОБЩЕСТВЕННЫХ ЗДАНИЙ
С ЖЕЛЕЗОБЕТОННЫМ КАРКАСОМ, ВОЗВОДИМЫХ
В СЕЙСМИЧЕСКИХ РАЙОНАХ
"Руководство по проектированию жилых и общественных зданий с железобетонным каркасом, возводимых в сейсмических районах" составлено институтами ТбилЗНИИЭП и ЦНИИСК им. В.А. Кучеренко при участии МИСИ им. В.В. Куйбышева и НИИЖБа в развитие главы
СНиП II-А.12-69 "Строительство в сейсмических районах. Нормы проектирования" и "Инструкции по определению сейсмической нагрузки для зданий и сооружений", Госстройиздат, 1962.
В составлении отдельных положений, включенных в Руководство, приняли участие АИСМ, ГПИ им. В.И. Ленина, ИСМиС АН Грузинской ССР, ИСС Госстроя Туркменской ССР, ИССиС АН Таджикской ССР, Казахский Промстройниипроект, Казгорстройпроект, КиевЗНИИЭП, ОИСИ, ТашЗНИИЭП, ТбилНИИСМ, Фундаментпроект, ЦНИИЭП жилища, ЦНИИЭП учебных зданий и другие институты, направившие составителям материалы, предложения и замечания по ряду вопросов.
Отдельные разделы Руководства составлены:
раздел 1 - ТбилЗНИИЭПом (канд. техн. наук А.М. Кимберг, В.Н. Шаишмелашвили, инж. К.А. Завриев);
раздел 2 - ЦНИИСКом им. В.А. Кучеренко (канд. техн. наук Я.М. Айзенберг);
раздел 3 - ТбилЗНИИЭПом (канд. техн. наук А.М. Кимберг, В.Д. Топуридзе, В.Н. Шаишмелашвили, инж. К.А. Завриев) при участии НИИЖБа (д-р техн. наук, проф. А.П. Васильев, канд. техн. наук Ю.Д. Быченков).
Приложения отредактированы кандидатами техн. наук Э.Е. Сигаловым (МИСИ им. В.В. Куйбышева), Т.Н. Чачава и инж. К.А. Завриевым (ТбилЗНИИЭП).
Приложения разработаны: канд. техн. наук Я.М. Айзенбергом (
Приложения 5,
12), кандидатами техн. наук В.К. Егуповым, Т.А. Командриной, инж. В.Н. Голобородько
(Приложение 10), канд. техн. наук Э.Е. Сигаловым (
Приложения 2,
3,
4,
7,
8,
11), кандидатами техн. наук В.С. Преображенским, В.Ф. Шепелевым
(Приложение 9) и канд. техн. наук Ю.Д. Быченковым
(Приложение 13).
Отзывы и предложения следует направлять по адресам: Тбилиси, 86, проспект Важа Пшавела, V квартал, ТбилЗНИИЭП и Москва, Ж-389, 2-я Институтская, д. 6, ЦНИИСК им. В.А. Кучеренко.
Редакторы - кандидаты техн. наук Я.М. Айзенберг, А.М. Кимберг, В.Н. Шаишмелашвили.
Руководство составлено в развитие главы
СНиП II-А.12-69 "Строительство в сейсмических районах. Нормы проектирования".
Руководство распространяется на проектирование зданий с железобетонным сборным, сборно-монолитным и монолитным каркасом для районов с сейсмичностью 7 - 9 баллов и содержит сведения относительно основных принципов проектирования каркасных зданий в сейсмических районах, конструктивных систем каркаса, схем разрезки сборных каркасов на элементы, характеристик различных типов заполнения.
В Руководстве приведены основные положения по определению сейсмических нагрузок, действующих на каркасные здания, а также необходимые данные для определения несущей способности конструкций в расчетном сочетании нагрузок с учетом сейсмических воздействий.
В приложениях даны материалы по расчету рамных и рамно-связевых каркасных зданий различной этажности, а также формулы, графики и таблицы для определения расчетных параметров.
В последние годы осуществлялись различные исследования поведения каркасных железобетонных зданий при сейсмическом воздействии (вопросы сейсмостойкости сборных конструкций, расчета свободных и вынужденных колебаний, несущей способности, пространственной работы, учета локальных разрушений и др.). Многие из этих исследований продолжаются и в настоящее время.
По мере завершения исследований предполагается включать их результаты в последующие издания Руководства.
В качестве приложений к настоящему Руководству приведены результаты некоторых работ, опубликованных до этого разрозненно в отдельных изданиях. Многие из них уже нашли применение в практическом проектировании.
Результаты работ, приведенные в Приложениях 2
(п. 2),
8 и
10, не использовались на практике и требуют накопления исходных данных, а потому пока могут использоваться в исследовательских целях. После апробации указанных результатов и накопления дополнительных исходных данных будут разработаны рекомендации по применению этих материалов в практических расчетах.
Все отзывы, замечания, пожелания и предложения, касающиеся текста Руководства и приложений, просьба присылать в ТбилЗНИИЭП или ЦНИИСК Госстроя СССР.
1.1. Настоящее Руководство составлено в развитие главы
СНиП II-А.12-69 "Строительство в сейсмических районах. Нормы проектирования" и распространяется на проектирование жилых и общественных зданий с железобетонным сборным, сборно-монолитным и монолитным каркасом, возводимых в районах с сейсмичностью 7 - 9 баллов.
1.2. Здания и их элементы, проектируемые с учетом настоящего Руководства, должны удовлетворять требованиям главы
СНиП II-А.12-69 "Строительство в сейсмических районах", а также требованиям, предъявляемым действующими нормативными документами к аналогичным сооружениям, возводимым в несейсмических районах.
Установление высоты (этажности) здания должно производиться с учетом указаний Госстроя СССР.
| | ИС МЕГАНОРМ: примечание. ГОСТ 6249-52 утратил силу на территории Российской Федерации с 1 июля 1995 года в связи с изданием Постановления Минстроя РФ от 07.04.1995 N 18-36. | |
1.3. Сила землетрясения в районе или пункте строительства оценивается сейсмичностью в баллах по шкале ГОСТ 6249-52 и принимается по картам сейсмического районирования территории СССР или по списку основных населенных пунктов СССР, расположенных в сейсмических районах (приложения главы
СНиП II-А.12-69).
Указанная на картах сейсмичность относится к участкам со средними грунтовыми условиями, характеризуемыми песчано-глинистыми грунтами и низким (на глубине 6 м и более от поверхности земли) уровнем грунтовых вод.
Уточнение сейсмичности площадки строительства в зависимости от грунтово-геологических условий производится на основании карт сейсмического микрорайонирования, осуществляемого согласно специальной инструкции.
Сейсмическое микрорайонирование столиц союзных республик и крупных городов, а также площадок строительства особо ответственных объектов следует проводить с помощью инструментальных наблюдений.
Допускается уточнять сейсмичность площадки строительства на основании общих инженерно-геологических и гидрогеологических данных согласно табл. 1 (по согласованию с утверждающей проект инстанцией).
Таблица 1
Изменение интенсивности землетрясения в баллах
на основании инженерно-геологических
и гидрогеологических данных
Категория грунта по сейсмическим свойствам | Грунты | Уточненная интенсивность в зависимости от сейсмичности района в баллах |
7 | 8 | 9 |
I | Скальные породы, трещиноватые, изверженные, метаморфические и осадочные: граниты, гнейсы, известняки, песчаники, конгломераты и т.д. | 6 | 7 | 8 |
Полускальные породы: мергели, окремневшие глины, глинистые песчаники, туфы, ракушечники, гипсы и т.п. | 6 | 7 | 8 |
Крупнообломочные особо плотные грунты при глубине залегания уровня грунтовых вод h > 15 м | 6 | 7 | 8 |
II | Глины и суглинки, пески и супеси при h > 8 м | 7 | 8 | 9 |
Крупнообломочные грунты при 6 < h < 10 м | 7 | 8 | 9 |
III | Глины и суглинки, пески и супеси при h < 4 м | 8 | 9 | > 9 <*> |
Крупнообломочные грунты при h < 3 м | 8 | 9 | > 9 <*> |
--------------------------------
<*> На строительных площадках, сейсмичность которых превышает 9 баллов, возводить здания, как правило, не допускается. В случае крайней необходимости строительство на таких площадках может быть допущено по согласованию с госстроями союзных республик. При этом должны быть предусмотрены дополнительные антисейсмические мероприятия.
Примечания: 1. Песчаные, супесчаные и суглинистые грунты, имеющие грунтовые воды на глубине от 4 до 8 м, и крупнообломочные грунты, имеющие грунтовые воды на глубине от 3 до 6 м, относятся ко II или к III категории по сейсмическим свойствам в зависимости от особенностей рельефа, условий залегания пластов, выветренности пород, близости плоскостей сброса и других факторов. Такой же подход должен быть к крупнообломочным грунтам при глубине залегания грунтовых вод от 10 до 15 м.
2. Уточнение балльности площадки, предназначенной для возведения особо ответственных объектов, произведенное на основании общих инженерно-геологических и гидрогеологических изысканий, должно быть согласовано с госстроем союзной республики.
3. Сильная выветренность и нарушенность пород физико-геологическими процессами, высокая просадочность грунтов, районы осыпей, отвалов, плывунов, горных выработок являются неблагоприятными условиями в сейсмическом отношении. При необходимости строительства в этих условиях следует принимать дополнительные меры по укреплению оснований и усилению конструкций.
1.4. Мероприятия по обеспечению сейсмостойкости зданий принимаются в зависимости от их расчетной сейсмичности, определяемой с учетом сейсмичности участка строительства и назначения зданий по табл. 2.
Таблица 2
Расчетная сейсмичность жилых и общественных
каркасных зданий
N п.п. | Характеристика зданий | Расчетная сейсмичность зданий при сейсмичности площадки строительства в баллах |
7 | 8 | 9 |
1 | Жилые и общественные здания | 7 | 8 | 9 |
2 | Особо ответственные здания союзного и республиканского значения <*> | 8 | 9 | <**> |
--------------------------------
<*> Отнесение зданий к этой группе утверждается Госстроем СССР или союзной республики.
<**> Здания рассчитываются на нагрузку, соответствующую сейсмичности 9 баллов, умноженную на коэффициент 1,5.
ОСНОВНЫЕ ПРИНЦИПЫ ПРОЕКТИРОВАНИЯ
1.5. При общей компоновке зданий, расстановке элементов каркаса, связей, стен и перегородок, лестничных клеток и лифтов следует, как правило, применять симметричные решения с равномерным распределением масс и жесткостей.
При сложном очертании в плане или отличающихся конструкциях отдельных участков каркасные здания должны, как правило, разделяться антисейсмическими швами на отдельные отсеки простой формы.
1.6. К каркасным жилым и общественным зданиям, проектируемым для сейсмических районов, следует предъявлять такие же требования в части стандартизации основных размеров, как и к аналогичным зданиям в обычных условиях строительства, а именно:
а) основная сетка колонн 6 x 6 м, доборные пролеты в поперечном направлении 3 и 4,5 м, для общественных зданий допускается укрупненный пролет в поперечном направлении 9 м;
б) высота типовых этажей для жилых зданий 2,8 м, для общественных зданий 3,3 и 4,2 м; высота технического этажа и чердака 2,1 м, подвала 3 м; высота залов 4,2 м и далее через 60 см от пола до низа выступающих конструкций;
в) пролеты залов устанавливаются 9, 12, 15, 18, 21, 24, 30 и 36 м.
Примечание. Отступления от приведенных нормативов могут быть допущены только по согласованию с Госстроем СССР или госстроями союзных республик.
1.7. При проектировании каркасных зданий следует стремиться к максимальному снижению веса несущих и ограждающих конструкций за счет применения легких эффективных материалов и соответствующей компоновки.
1.8. При проектировании несущих конструкций каркасных зданий следует обеспечивать возможность развития пластических деформаций в элементах конструкций. Особое внимание необходимо уделять усилению зон действия максимальных скалывающих усилий поперечной арматурой, предусматривать установку сеток в узлах рам, при выборе метода электросварки принимать те методы, которые обеспечивают небольшие пластические свойства сварных швов.
Места образования пластических зон разрешается определять расчетом согласно "Инструкции по расчету статически неопределимых железобетонных конструкций с учетом перераспределения усилий" на невыгодную комбинацию внешних сил, определяемых по главе
СНиП II-А.12-69 "Строительство в сейсмических районах. Нормы проектирования".
1.9. При проектировании сборных и сборно-монолитных конструкций особое внимание следует уделять сопряжению элементов. Следует избегать хрупких соединений, неспособных к развитию упругопластических деформаций. При замоноличивании сопряжений надежная связь укладываемого на месте бетона с бетоном сборных конструкций должна осуществляться с помощью выпусков арматуры, устройством бетонных шпонок и другими проверенными мероприятиями.
Применение новых типов стыковых соединений в объектах, строящихся по типовым проектам, допускается только после экспериментальной проверки.
1.10. При разрезке сборных и сборно-монолитных каркасов следует стремиться к укрупнению элементов и сокращению числа соединений. Элементы этих каркасов должны быть технологичны в изготовлении и при монтаже.
ОСНОВНЫЕ КОНСТРУКТИВНЫЕ СИСТЕМЫ КАРКАСНЫХ ЗДАНИЙ
И ОБЛАСТЬ ИХ ПРИМЕНЕНИЯ
1.11. При проектировании каркасных зданий необходимо отдавать предпочтение системе с полным каркасом, образующим однородную пространственную конструкцию, в которой все вертикальные несущие элементы, являясь элементами каркаса, выполнены из высокопрочного материала. Здания с наружными каменными стенами и внутренними железобетонными рамами допускаются при расчетной сейсмичности 7 и 8 баллов при соблюдении требований, установленных для кирпичных зданий.
Кроме того, высота таких зданий не должна превышать двух этажей, или 7 м.
1.12. Каркасы жилых и общественных зданий, проектируемых для сейсмических районов, по способу восприятия горизонтальных нагрузок могут быть решены:
а) в рамной системе, в которой горизонтальные нагрузки воспринимаются в основном колоннами и ригелями каркаса.
Следует учитывать, что при значительной высоте и небольших размерах в плане здания рамной системы отличаются повышенной деформативностью. Помимо этого, они характеризуются неравномерным распределением по высоте изгибающих моментов от горизонтальных нагрузок, что затрудняет унификацию элементов каркаса и с повышением этажности снижает технико-экономические показатели;
б) в рамной системе с вертикальными диафрагмами жесткости <1>, в которой преобладающая часть горизонтальных нагрузок с помощью междуэтажных перекрытий передается специальным вертикальным элементам жесткости (диафрагмам, торцовым стенам, стенам лестничных клеток и лифтовых шахт и т.п.), а некоторая часть горизонтальных нагрузок воспринимается рамами.
--------------------------------
<1> В ряде опубликованных работ такие системы называются рамно-связевыми.
Применение этой системы обычно обеспечивает уменьшение и выравнивание изгибающих моментов от горизонтальных нагрузок в элементах рам, благодаря чему облегчается возможность унификации элементов каркаса.
Диафрагмы, воспринимающие горизонтальную нагрузку, рекомендуется устраивать на всю высоту здания регулярно, возможно более часто и симметрично относительно осей отсека. Поперечные диафрагмы рекомендуется, как правило, устраивать на всю ширину здания.
Выбор системы каркаса должен производиться на основе технико-экономического анализа в зависимости от этажности здания, величины ветровой и сейсмической нагрузок, а также грунтовых условий.
Например, при расчетной сейсмичности 8 баллов, двухпролетной расчетной схеме применение каркасов рамной системы экономически, как правило, обосновано для зданий высотой до 9 этажей включительно, а каркасов рамной системы с вертикальными диафрагмами жесткости - для зданий высотой свыше 9 этажей. С ростом ветровой и сейсмической нагрузок этажность зданий, для которых применение каркаса рамной системы экономически целесообразно, несколько снижается.
В случаях когда основанием здания являются большие толщи рыхлых грунтов, следует отдавать предпочтение системам каркаса, обладающим сравнительно более высокой жесткостью (каркасы с диафрагмами, с заполнением, включающимся в работу рам, и т.п.).
1.13. Железобетонный каркас жилых и общественных зданий может выполняться как с обычной, так и с напрягаемой арматурой.
Напрягаемая арматура может применяться в вертикальных элементах жесткости типа шахт лифтов и ограждений лестничных клеток, в ригелях и перекрытиях.
1.14. По способу изготовления и возведения железобетонные каркасы жилых и общественных зданий, проектируемые для строительства в сейсмических районах, могут быть сборными, сборно-монолитными и монолитными. В каждом случае принятый тип каркаса должен иметь технико-экономическое обоснование.
При строительстве однотипных зданий массового назначения следует отдавать предпочтение сборным и сборно-монолитным решениям, а при строительстве зданий с нетиповыми решениями и при малом объеме строительства (при отсутствии освоенного производства сборного каркаса) - сборно-монолитным и монолитным решениям.
1.15. Каркасы с безригельными перекрытиями, а также с ригелями пониженной высоты (уширенные ригели и т.п.) могут применяться в зданиях с вертикальными диафрагмами жесткости.
Для объединения элементов безригельных перекрытий могут использоваться предварительно напряженные соединения.
КОНСТРУКТИВНЫЕ СХЕМЫ РАЗРЕЗКИ СБОРНЫХ КАРКАСОВ НА ЭЛЕМЕНТЫ
1.16. Выбор конструктивной схемы разрезки сборных каркасов на элементы следует производить исходя из рекомендаций
п. 1.10 на основе анализа, учитывающего характер сейсмического воздействия на элементы каркаса и их соединения, в зависимости от этажности здания, его расчетной сейсмичности и системы каркаса.
В многоэтажных каркасах рамной системы, а также в каркасах зданий с расчетной сейсмичностью 8 и, в особенности, 9 баллов рекомендуется располагать стыки в зонах наименьших расчетных усилий (разрезка на крестовые, П-образные и другие сборные элементы).
В парных элементах стыки ветвей рекомендуется назначать вразбежку.
Примеры некоторых из применяемых конструктивных схем разрезки сборных, каркасов на элементы приведены в
Приложении 1.
1.17. С целью повышения надежности несущих конструкций соединения между элементами сборных каркасов следует назначать в местах, удобных для выполнения и контроля.
1.18. Геометрическая форма, размеры и вес элементов каркаса, соответствующие принятой конструктивной схеме разрезки и определяемые условиями изготовления, транспортирования и монтажа, должны назначаться в соответствии с указаниями гл. СНиП I-В.5-62 "Железобетонные изделия. Общие указания".
1.19. Наружные ограждающие конструкции могут быть выполнены в виде:
а) заполнения, выключаемого из работы каркаса на горизонтальные нагрузки;
б) заполнения, включаемого в работу на горизонтальные нагрузки;
в) самонесущих стен, опирающихся на самостоятельные фундаменты, фундаментные балки и консольные выступы ригелей (поэтажные самонесущие стены).
1.20. В качестве заполнения, выключаемого из работы каркаса на горизонтальные нагрузки, целесообразно использовать облегченные железобетонные панели, асбестоцементные изделия, листовой алюминий и другие легкие несгораемые материалы в сочетании с высокоэффективными утеплителями, что ведет к снижению собственного веса и вследствие этого - сейсмических нагрузок.
1.21. Выбор конструкции и материала наружного заполнения необходимо производить на основе анализа климатических, архитектурно-планировочных, эксплуатационных и технико-экономических требований. При этом следует стремиться к применению панельных решений.
1.22. При применении навесных панелей, выключаемых из работы каркаса, особое внимание следует уделять обеспечению возможного свободного перемещения панелей относительно каркаса путем применения надежных гибких креплений и эластичных швов между панелями.
1.23. При проектировании ограждающих конструкций с заполнением, включаемым в работу рам, необходимо обеспечивать надежность их соединений.
Для исключения эксцентриситета нагрузки рекомендуется осуществлять совмещение осей, проходящих через центры тяжести заполнения и элементов рам.
При применении кирпичного или каменного заполнения марка раствора для его кладки должна приниматься не ниже 25.
1.24. Высота самонесущих стен не должна превышать: 18 м при расчетной сейсмичности 7 баллов, 16 м при расчетной сейсмичности 8 баллов, 9 м при расчетной сейсмичности 9 баллов.
Применение для самонесущих стен каменной кладки ниже 2-й категории не допускается.
Крепление самонесущих стен к элементам каркаса должно осуществляться равномерно по всей высоте связями, позволяющими каркасу независимо перемещаться в плоскости стен в обоих направлениях.
1.25. Сборные перекрытия и покрытия рекомендуется выполнять из жестких крупноразмерных элементов, связанных между собой и с элементами каркаса.
Общая жесткость в горизонтальной плоскости и степень замоноличивания перекрытий и покрытий должны быть назначены с учетом конструктивной системы каркаса и степени участия этих элементов в распределении сейсмической нагрузки. При этом особое внимание следует уделять обеспечению жесткости в своей плоскости перекрытий в зданиях с вертикальными диафрагмами.
2. РАСЧЕТ НА СЕЙСМИЧЕСКИЕ ВОЗДЕЙСТВИЯ
2.1. Расчет каркасных зданий на сейсмостойкость включает определение усилий в конструкциях при действии постоянной, временной и сейсмической нагрузки и проверку несущей способности конструкций при расчетных сочетаниях нагрузок. В настоящем Руководстве излагаются основные положения по расчету только на сейсмические воздействия.
2.2. Расчет на сейсмические воздействия включает следующие этапы:
а) устанавливается расчетная сейсмичность здания;
б) производится выбор расчетной схемы здания;
в) определяются расчетные сейсмические силы, действующие на здание, и соответствующие им усилия в элементах конструкций;
г) выполняется расчет несущей способности элементов конструкций и их соединений с учетом указаний п. 2.3.
2.3. Расчет конструкций производится в предположении действия горизонтальной сейсмической нагрузки, направленной параллельно продольной или поперечной оси здания. Действие сейсмических сил в обоих направлениях учитывается раздельно.
Случаи, когда рекомендуется учитывать вертикальную составляющую сейсмического воздействия, оговорены в
п. 2.23.
Классификация нагрузок и значения коэффициентов перегрузки принимаются в соответствии с главой СНиП II-А.11-62 "Нагрузки и воздействия. Нормы проектирования".
При расчете с учетом сейсмических воздействий к величинам расчетных нагрузок вводятся коэффициенты сочетания:
для постоянных нагрузок - 0,9;
для временных длительных нагрузок - 0,8;
для кратковременных нагрузок на перекрытия и снеговых нагрузок - 0,5.
Примечания: 1. При расчете на сейсмические воздействия снижение нагрузок на перекрытия, предусмотренное п. 3.10 главы СНиП II-А.11-62, не учитывается.
2. Кратковременными нагрузками, которые необходимо учитывать в особом сочетании, являются нагрузки на перекрытия (по п. 1.5 "б" и "в" главы СНиП II-А.11-62), снеговые нагрузки.
Кратковременные нагрузки, указанные в п. 1.5 главы СНиП II-А.11-62 и не перечисленные в настоящем пункте, при определении сейсмического воздействия не учитываются.
При расчете конструкций на сейсмическое воздействие нагрузки от ветра, динамическое воздействие от оборудования, горизонтальные инерционные силы от масс на гибких подвесках и температурные климатические воздействия не учитываются.
2.4. Сейсмические силы, как правило, считаются приложенными в уровнях перекрытий. В этих уровнях принимается сосредоточенным вес масс соответствующих этажей здания (отсека).
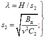
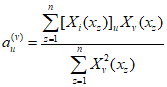
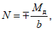
Расчетное значение сейсмической нагрузки, соответствующее i-му тону собственных колебаний, определяется по формуле

(1)
где Sik - действующая в точке k расчетная сейсмическая сила, соответствующая i-му главному направлению (i-й форме собственных колебаний);
Q
k - нагрузка, вызывающая инерционную сейсмическую силу, принятая сосредоточенной в точке k, определяется по
п. 2.3;
Kс - коэффициент сейсмичности, принимаемый согласно указаниям п. 2.5;

- коэффициент динамичности, соответствующий i-й форме собственных колебаний рассчитываемого здания, принимаемый в соответствии с
п. 2.6;

- коэффициент, определяемый в зависимости от формы деформации здания при его собственных колебаниях по i-й форме и от места расположения нагрузки Q
k согласно указаниям
п. 2.8.
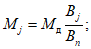
2.5. Коэффициент сейсмичности K
с принимается по табл. 3 в зависимости от расчетной сейсмичности здания, определяемой согласно
пп. 1.3,
1.4 и
табл. 2.
Таблица 3
Значения коэффициента сейсмичности Kс
Расчетная сейсмичность в баллах | 7 | 8 | 9 |
Значения коэффициентов сейсмичности | 0,025 | 0,05 | 0,1 |
Коэффициент сейсмичности увеличивается умножением на коэффициент 1,4 при высоте 9 этажей и более и определяется по линейной интерполяции между 1 и 1,4 при высоте от 5 до 9 этажей.
2.6. Значения

определяются по графику на
рис. 1 или по формуле

(2)
где Ti - численное значение периода собственных колебаний сооружения.
Рис. 1. График значений коэффициента

Величина

принимается не менее 0,8 и не более 3.
Период собственных колебаний T
i здания, соответствующий i-й форме собственных колебаний, определяется согласно указаниям
п. 2.11.
При расчете зданий, имеющих период колебаний i-го тона менее 0,5 с, и зданий, у которых жесткость и масса незначительно изменяются по высоте, допускается учитывать колебания только i-го тона.
При расчете зданий и сооружений, имеющих период колебаний i-го тона 0,5 с и более, или зданий, у которых жесткость и масса значительно изменяются по высоте, следует учитывать высшие тона колебаний (как правило, не более трех первых форм).
Для зданий с низким затуханием вводится дополнительный коэффициент, величина которого принимается по
пп. 2.5 и
2.6 главы СНиП II-А.12-69.
При расчете зданий с "гибкой" нижней частью с периодом колебаний основного тона 0,4 с и более коэффициент

увеличивается в 1,5 раза. При этом значение коэффициента

должно быть не выше 3 и не ниже 1,2.
2.7. При расчете каркасных зданий с каменным и кирпичным заполнением, включающимся в работу совместно с каркасом, коэффициент динамичности может быть определен с учетом повреждений заполнения по следующей формуле:

(3)

- коэффициент динамичности каркаса с учетом жесткости неповрежденного заполнения.
Коэффициент

, характеризующий снижение коэффициента

при учете повреждений заполнения, для зданий высотой до 5 этажей определяется по табл. 4 или по графику
рис. 2.
Таблица 4
Значения коэффициента

для каркасных зданий
с каменным и кирпичным заполнением
N п.п. | Период Ti собственных колебаний здания с неповрежденным заполнением, в с | Отношение величин периодов собственных колебаний здания без учета и с учетом жесткости заполнения | Величина  |
1 | До 0,5 | 1,2 | 0,8 |
| >= 3 | 0,6 |
| 1,2 - 3 | По линейной интерполяции между 0,8 и 0,5, но не менее 0,6 |
2 | 1,5 | 1,2 | 0,9 |
| > 3 | 0,7 |
| 1,2 - 3 | По линейной интерполяции между 0,9 и 0,7 |
Примечания: 1. Во всех случаях должно соблюдаться условие

.
2. В случае T
i > 1,5 с коэффициент

.
3. При 0,5 <= T
i <= 1,5 величина

принимается по линейной интерполяции между табличными значениями

, соответствующими T
i = 0,5 с и T
i = 1,5 с.
Рис. 2. График зависимости коэффициента

от отношения
периодов свободных колебаний каркаса здания без учета
и с учетом жесткости заполнения
Нагрузки, подсчитанная с учетом повреждения заполнения, должна восприниматься каркасом.
Указанную методику вычисления коэффициента

рекомендуется применять в случаях, когда кладка заполнения относится к III категории по сейсмостойкости. В случаях когда кладка соответствует I и II категории по сейсмостойкости, может быть использована методика, изложенная в брошюре "Пример расчета многоэтажного каркасного здания со стеновым заполнением и без него на сейсмические воздействия и указания к примеру расчета" (Стройиздат, 1961).
Обе методики могут применяться в случаях, когда величина отношения высоты здания к меньшему размеру в плане не превышает 2.
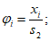
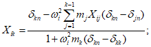
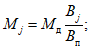
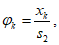
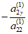
2.8. Коэффициент

, характеризующий форму собственных колебаний по i-му тону, определяется по формуле

(4)
где Xik и Xij - ординаты форм собственных колебаний здания по i-му тону в рассматриваемой точке k, в которой сосредоточена нагрузка Qk, и во всех точках j, где в соответствии с расчетной схемой сосредоточены нагрузки Qj.
При расчете каркасных зданий с каменным или кирпичным заполнением, участвующим в работе каркаса, а также зданий рамно-связевой и связевой системы высотой до 6 этажей допускается коэффициент

вычислять по формуле

(5)
где h
k и h
j - величины расстояний от основания здания до уровней расположения рассматриваемой точки k и всех точек j, в которых согласно расчетной схеме принята сосредоточенная масса здания, либо по
табл. 3 главы СНиП II-А.12-69.
2.9. В случае если не представляется возможным выполнить рекомендации
п. 1.5 о равномерном распределении жесткостей вертикальных несущих конструкций (рам, диафрагм) или массы по длине здания, следует для зданий большой длины при вычислении коэффициента

учитывать деформации перекрытий в своей плоскости.
2.10. При наличии эксцентриситета между центром жесткости и центром масс здания кручение может быть учтено согласно рекомендациям
Приложения 9. При этом в случае, оговоренном в п. 2.9, необходимо учитывать помимо кручения деформации перекрытий в своих плоскостях.
В зданиях с "гибкой" нижней частью и случае совпадения центра масс и центра жесткости здания кручение учитывается при длине здания более 60 м путем распределения расчетной сейсмической нагрузки S
ik способом, указанным на рис. 3, либо в соответствии с
Приложением 9.
Рис. 3. График распределения расчетной
сейсмической нагрузки в зданиях длиной более 60 м
L - длина здания;

- расчетная сейсмическая нагрузка на i-м этаже
При длине здания менее 60 м расчет здания осуществляется без учета кручения.
2.11. Периоды и формы свободных колебаний здания определяются по общим методам динамики сооружений либо в соответствии с приложениями к настоящему Руководству:
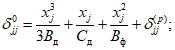
а) при определении жесткости сечений конструкций принимаются нормативные значения модуля упругости материалов согласно соответствующим главам СНиП. Модуль упругости при сдвиге рекомендуется принимать равным: для каменной кладки G = 0,25E, для бетона G = 0,4E. Жесткость сборных железобетонных перекрытий определяется путем введения условного модуля упругости

. Величины

принимаются на основании экспериментальных данных. Для перекрытий из сборных панелей шириной 1 - 1,5 м, замоноличенных с помощью железобетонных обвязок, величина

может приниматься равной 0,35.
В тех случаях, когда в расчете учитывается пониженная жесткость сборных перекрытий при вычислении жесткости сборных вертикальных конструкций (рам, диафрагм), необходимо учитывать также податливость стыков;
б) при вычислении жесткости железобетонных конструкций учитывается полное сечение, включая растянутую зону бетона;
в) в монолитных железобетонных конструкциях жесткость ригелей и балок определяется с учетом совместной работы плиты перекрытия и ригеля балки как таврового сечения. В сборных железобетонных конструкциях совместное участие отдельных элементов в работе конструкции учитывается в зависимости от способа замоноличивания стыка.
2.12. Расчет на местную сейсмическую нагрузку от собственного веса конструкций при расчете стен и стенового заполнения (а также их крепления к каркасу) в направлении, перпендикулярном их плоскости, производится при расчетном значении

, соответствующем рассматриваемому уровню зданий, но не меньше 2.
Расчет конструкций, возвышающихся над зданием и имеющих по сравнению с ним незначительные сечения и массу (парапеты, фронтоны и т.п.), а также жестких конструкций небольших размеров (памятники, тяжелое оборудование и т.п.) следует производить при

.
Консольные конструкции с незначительными по сравнению со зданием сечением и массой (балконы, козырьки и т.п.) должны быть рассчитаны на вертикальную сейсмическую нагрузку при

.
В тех случаях, когда действующие в соединении усилия не могут быть найдены из рассмотрения работы всего сооружения, сейсмические силы принимаются направленными так, чтобы они вызывали срез или растяжение в этих соединениях, а расчетная сейсмическая нагрузка принимается равной 5KсQ.
2.13. При расчете особо ответственных каркасных зданий
(табл. 2) допускается производить дополнительный расчет с применением имеющихся акселерограмм прошлых сильных землетрясений. При этом необходимо учитывать рекомендации
п. 2.21.
2.14. Расчет оснований зданий следует производить согласно главам СНиП: II-Б.1-52 "Основания зданий и сооружений. Нормы проектирования",
II-Б.2-62* "Основания и фундаменты зданий и сооружений на просадочных грунтах. Нормы проектирования" и
II-Б.5-67 "Свайные фундаменты. Нормы проектирования". При этом расчет производится по первому предельному состоянию согласно указаниям
пп. 3.6 -
3.17 главы СНиП II-А.12-69. Этот расчет выполняется на особое сочетание расчетных нагрузок, включая сейсмические.
2.15. Деформативность каркасных зданий от действия расчетных сейсмических нагрузок не ограничивается. Дополнительные усилия от вертикальных нагрузок, возникающие при горизонтальных отклонениях зданий, должны учитываться в расчете.
ОСОБЕННОСТИ РАСЧЕТА НЕСУЩЕЙ СПОСОБНОСТИ ЗДАНИЙ И ОСНОВАНИЙ
ПРИ СЕЙСМИЧЕСКОМ ВОЗДЕЙСТВИИ
2.16. Расчетные усилия Nр (поперечная или нормальная сила, изгибающий момент) в рассматриваемом сечении конструкции от действия сейсмической нагрузки при учете высших форм колебаний определяются по формуле

(6)
где Nр - расчетное значение усилий (поперечной силы, изгибающего момента или других усилий) в рассматриваемом сечении от действия сейсмической нагрузки;
Nmax - наибольшее значение данного вида усилия в рассматриваемом сечении, определяемое из сопоставления эпюр усилий, вызываемых сейсмическими силами, отвечающими отдельным формам колебаний сооружения;
Ni - значение усилия в том же сечении по другим эпюрам (кроме значения Nmax); суммирование производится по всем эпюрам данного усилия, кроме эпюры, которой отвечает максимальное значение усилия Nmax.
Усилия в конструкциях N
i(N
max), соответствующие учитываемым формам свободных колебаний, определяются при условии статического действия на сооружение сейсмических сил S
i, вычисленных по
формуле (1).
2.17. Распределение суммарной нагрузки после определения поэтажных величин сейсмической нагрузки производится на основании статического расчета здания, которое рассматривается как перекрестная система, состоящая из вертикальных диафрагм, рам и перекрытий.
2.18. Для бетонных и железобетонных (обычных и преднапряженных конструкций), а также каменных конструкций (при расчете на внецентренное сжатие) ввиду кратковременности действия сейсмической нагрузки учитывается дополнительный коэффициент условий работы m
кр = 1,2.
При расчете на сдвиг и растяжение каменных конструкций, на устойчивость сжатых и сжато-изогнутых стальных и железобетонных элементов гибкостью более 100, а также при расчете сварных стыков коэффициент принимается равным: mкр = 1.
При расчете стоек нижнего этажа в зданиях с "гибким" нижним этажом mкр = 1.
Ограничение верхней границы армирования и предотвращение хрупкого разрушения сжатой зоны бетона при расчете на прочность изгибаемых и внецентренно-сжатых сечений железобетонных конструкций может достигаться путем введения множителя 0,85 к коэффициенту, определяемому в соответствии с формулой (46) главы СНиП II-В.1-62 "Бетонные и железобетонные конструкции. Нормы проектирования".
2.19. При определении расчетного сопротивления свай следует вводить дополнительный коэффициент условий работы согласно табл. 5.
Таблица 5
Дополнительные коэффициенты условий работы
при определении расчетного сопротивления свай
Расчетная сейсмичность в баллах | Значение коэффициента условий работы в зависимости от грунтов |
скальных | связных | несвязных |
7 | 1 | 0,8 | 0,7 |
8 | 1 | 0,7 | 0,6 |
9 | 1 | 0,6 | 0,5 |
2.20. При определении требуемого сечения сваи следует учитывать горизонтальную динамическую нагрузку от сейсмических воздействий, которая при отсутствии данных испытания свай не должна превышать величин, приведенных в табл. 6.
Таблица 6
Горизонтальная динамическая нагрузка на одну сваю
Сечение сваи в см | Горизонтальная динамическая нагрузка на одну сваю в т |
30 x 30 | 1 |
35 x 35 | 1,5 |
40 x 40 | 2 |
2.21. При расчете несущих конструкций зданий необходимо стремиться к созданию условий для максимального развития пластических деформаций (см.
пп. 1.8,
3.15,
3.24).
При расчете сейсмических нагрузок с применением реальных акселерограмм землетрясения допускается учет упругопластических свойств железобетонных конструкций, работающих на изгиб и внецентренное сжатие. Зависимость между восстанавливающей силой и перемещением должна приниматься на основании экспериментальных данных. При таких расчетах допускается использование идеализированной диаграммы (рис. 4).
Рис. 4. Диаграмма для расчета зданий
с учетом упругопластических деформаций
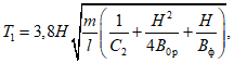
Коэффициент, характеризующий относительную величину пластических перемещений системы, определяется по формуле (7)

(7)
где Yп - предельное пластическое перемещение;
Yу - предельное упругое перемещение, принимаемое по экспериментальным данным.
Величина

принимается в расчете не более 10.
2.22. В каркасных зданиях, имеющих заполнение из кирпича и мелких камней, стойки и ригели каркаса должны быть проверены расчетом на восприятие поперечной силы, передающейся от заполнения.
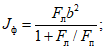
| | ИС МЕГАНОРМ: примечание. В официальном тексте документа, видимо, допущена опечатка: приложение 17 отсутствует. | |
На стойки в опорных сечениях передается горизонтальная поперечная сила, равная 0,65T
kz, где T
kz - поперечная сила, воспринимаемая панелью заполнения (см. приложение 17). Вертикальная поперечная сила, передающаяся панелью заполнения на ригели рамы в опорных сечениях, принимается равной

, где h
k и l
z - соответственно высота и длина панели.
2.23. При проверке прочности сечений несущих и самонесущих стен без расчетной вертикальной арматуры средние сжимающие нормальные напряжения

следует принимать с учетом вертикальной составляющей сейсмического воздействия:

(8)
где

- вертикальная нагрузка, вычисленная без учета сейсмического воздействия.
Расчет прочности сечений стоек здания "с гибким" нижним этажом на внецентренное сжатие должен производиться на действие вертикальной нагрузки Nв, учитывающей вертикальную составляющую сейсмического воздействия:
Nв = N(1 +/- 5Kс), (9)
где N - вертикальная нагрузка, вычисленная без учета сейсмического воздействия.
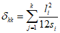
2.24. При расчете перекрытий в их плоскости в качестве расчетной схемы для определения внутренних усилий при отношении длины перекрытия к ширине 2 и более может приниматься балка, при отношении длины перекрытия к ширине менее 2 - балка-стенка. Балка или балка-стенка загружается равномерно распределенной поэтажной сейсмической нагрузкой

(при учете кручения в плане эпюра нагрузки имеет трапециевидную форму) и реакциями, равными S
lk, вычисленными по
формуле (1). По расчетным усилиям, найденным таким образом, производится проверка прочности панелей перекрытий, стыков между отдельными плитами перекрытия, а также стыков между перекрытиями и стенами.
2.25. Построение эпюр усилий в элементах каркасов от действия горизонтальной нагрузки может быть произведено по общим методам строительной механики. Некоторые из приближенных способов изложены в приложениях к настоящему Руководству.
В случаях когда жесткость элементов рам незначительно изменяется по высоте и имеются обычные соотношения погонных жесткостей стоек и ригелей, допускается для предварительных расчетов использование приближенной эпюры моментов, которая может быть построена следующим образом:
а) горизонтальная сила на уровне каждого этажа распределяется между отдельными стойками пропорционально сумме погонных жесткостей элементов, сходящихся в верхнем узле стойки;
б) точка с нулевым моментом для всех этажей, помимо верхнего и нижнего, располагается посередине высоты стоек;
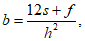
в) точка нулевого момента стоек нижнего этажа находится от уровня перекрытия на расстоянии

, (где k - отношение жесткости стоек нижнего этажа к погонной жесткости ригеля); точка нулевого момента стоек верхнего этажа располагается на расстоянии 2/3 высоты от верха.
3.1. При благоприятных в сейсмическом отношении грунтах глубина заложения фундаментов здания принимается такой же, как и для несейсмических районов.
В зданиях повышенной этажности глубину заложения фундаментов рекомендуется увеличивать путем устройства одного или нескольких подвальных этажей.
При неблагоприятных грунтах следует принимать специальные меры по устройству надежного основания (водопонижение, искусственное упрочнение грунтов).
3.2. Фундаменты каркасных зданий следует закладывать, как правило, на одном уровне.
В случае заложения смежных отсеков зданий на разных отметках переход от более углубленной части к менее углубленной делается уступами; при этом ленточные фундаменты примыкающих частей отсеков должны иметь одинаковое заглубление на протяжении не менее 1 м от шва, а отдельные столбчатые фундаменты под колонны, разделенные осадочным швом, должны располагаться на одном уровне.
3.3. При сплошном и ленточном фундаменте для устройства уступов рекомендуется применять подбетонку по схеме рис. 5. Уступы должны быть не круче 1:2 (высота к длине), а высота уступа - не более 60 см.
Рис. 5. Деталь уступов фундаментов у шва
1 - железобетонный фундамент; 2 - подбетонка
В скальных грунтах уступы могут устраиваться без указанных ограничений.
3.4. Выбор типа фундамента (сплошная железобетонная плита, перекрестные железобетонные ленты, отдельные столбчатые фундаменты и т.п.) следует производить с учетом грунтовых условий, величины вертикальных и горизонтальных нагрузок, конструктивного решения несущих конструкций и других факторов.
При этом для нескальных грунтов при больших нагрузках следует отдавать предпочтение решениям со сплошной железобетонной плитой или перекрестными железобетонными лентами.
Отдельные столбчатые фундаменты под наружные колонны в пределах каждого отсека рекомендуется связывать между собой.
В зданиях с расчетной сейсмичностью 9 баллов рекомендуется связывать между собой и фундаменты под внутренние колонны. При просадочных, рыхлых песчаных, насыпных и тому подобных грунтах это требование следует распространять и на здания с расчетной сейсмичностью 8 баллов.
Фундаментные балки, поддерживающие подвальные стены, самонесущие стены или заполнение, должны устраиваться из железобетона и надежно связываться между собой и с фундаментами.
3.5. Фундаменты под вертикальные диафрагмы жесткости следует объединять с фундаментами примыкающих колонн.
В случае если такие объединенные фундаменты не могут воспринимать горизонтальные сейсмические нагрузки силами пассивного отпора грунта, их необходимо соединять с соседними фундаментами балками или стенками.
3.6. При проектировании свайных фундаментов следует руководствоваться главой
СНиП II-Б.5-67 "Свайные фундаменты. Нормы проектирования". При этом следует отдавать предпочтение забивным железобетонным сваям-стойкам. Применение набивных свай без оболочек не рекомендуется.
3.7. Для свай-стоек в качестве несущего слоя (слой, в который заглублены нижние концы свай) следует принимать невыветренные скальные породы, плотные малоэтажные крупнообломочные и песчаные грунты, твердые глинистые грунты.
Величина заглубления нижних концов свай в эти грунты (за исключением скальных) должна быть не менее 1 - 2 м в зависимости от характера грунтов, прорезаемых сваями. В случае прорезания сваями слабых грунтов заглубление нижних концов свай в плотные грунты принимается не менее 2 м, а в случае прорезания грунтов средней плотности - не менее 1 м.
Опирание нижних концов свай на крутопадающие пласты скальных пород не допускается.
3.8. Не рекомендуется использование в качестве несущего слоя для свай-стоек водонасыщенных гравийно-песчаных отложений с большим содержанием (15 - 20%) глинистого заполнителя, рыхлых водонасыщенных песков, пластичных, текучепластичных глинистых грунтов, макропористых просадочных лессовидных суглинков.
3.9. Нижние концы свай-стоек рекомендуется проектировать в одном уровне.
При расположении отдельных частей зданий на сваях резко отличной длины эти части здания следует разделять осадочными швами.
Величина заглубления свай в грунт должна быть не менее 4 м.
3.10. Свайный ростверк должен быть заглублен в грунт. Под несущими стенами его следует выполнять непрерывным и в одном уровне. Верхние концы свай должны быть жестко заделаны в ростверк на величину, определяемую расчетом, учитывающим сейсмические нагрузки.
3.11. При выборе конструкций свай предпочтение следует отдавать железобетонным полым круглым сваям с открытым или закрытым нижним концом.
3.12. Подвалы рекомендуется располагать под всем отсеком каркасного здания.
При устройстве подвала под частью отсека здания переход от более углубленной части к менее углубленной делается уступами в соответствии с
п. 3.2.
ЭЛЕМЕНТЫ КАРКАСА И ИХ АРМИРОВАНИЕ
3.13. Применяемые для элементов сборного и монолитного каркаса материалы (бетон и арматура) должны удовлетворять требованиям главы СНиП II-В.1-62 (раздел 2 "Материалы для бетонных и железобетонных конструкций").
3.14. Бетон для железобетонных элементов каркаса колонн, ригелей и связей следует применять марки не менее 200.
Для предварительно напряженных несущих конструкций марка тяжелого бетона должна приниматься не ниже 400.
3.15. При выборе арматуры для элементов каркаса рекомендуются при прочих равных условиях стали, обладающие относительно более высокими пластическими свойствами.
3.16. Конструирование элементов каркаса следует производить согласно главе СНиП II-В.1-62 (раздел 12 "Общие конструктивные требования" и раздел 13 "Дополнительные указания по конструированию предварительно напряженных железобетонных элементов").
3.17. При назначении сечений элементов каркаса и их размеров следует стремиться к максимальной унификации путем сокращения количества типоразмеров за счет изменения армирования и марки бетона.
3.18. Для армирования каркаса из монолитного железобетона могут быть применены жесткая несущая арматура или сварные несущие каркасы из обычной арматуры.
3.19. Армирование концевых частей сборных колонн необходимо производить с учетом требований
п. 9.99 "Инструкции по проектированию железобетонных конструкций", НИИЖБ, Стройиздат, 1968.
3.20. Рабочую арматуру ригелей следует располагать симметрично относительно вертикальной оси симметрии сечений.
3.21. В торцах элементов сборных ригелей с замоноличиваемыми стыками и сваркой выпусков арматуры следует предусматривать устройство горизонтальных рифлений или шпонок.
3.22. При проектировании элементов сборных предварительно напряженных члененных по длине неразрезных ригелей напрягаемая арматура может располагаться в закрытых каналах, замоноличиваемых после натяжения открытых каналах или в бетонируемых на месте частях сечения ригелей. Не допускается применение незамоноличиваемой арматуры.
3.23. При проектировании каркаса особое внимание должно быть уделено узлам. Жесткие узлы рам при сейсмическом воздействии находятся в сложном напряженном состоянии; в узловых зонах может возникать значительная концентрация напряжений.
Жесткие узлы должны быть рассчитаны на прочность
(Приложение 13). При недостаточной прочности узла его следует усилить армированием по расчету. В необходимых случаях прочность узла может быть повышена путем увеличения марки бетона. Сетки косвенного армирования рекомендуется устанавливать нормально к оси колонны
(рис. 6). Если по данным расчета косвенное армирование в узле не требуется, то узел следует конструктивно армировать: при действии в колонне усилия-сжатия - хомутами из стержней диаметром не менее 8 мм с шагом 70 - 100 мм, при действии в колонне усилия-растяжения - хомутами и дополнительными вертикальными стержнями диаметром не менее 8 мм, устанавливаемыми по периметру хомутов на расстоянии 70 - 100 мм
(рис. 7).
Рис. 6. Армирование узла сетками, расположенными нормально
к оси колонны
1 - колонна; 2 - поперечный ригель;
3 - продольный ригель; 4 - сетки
Рис. 7. Армирование узла хомутами и дополнительными
вертикальными стержнями
1 - колонна; 2 - поперечный ригель; 3 - продольный ригель;
4 - хомуты; 5 - дополнительные вертикальные стержни
3.24. В ригелях и колоннах для повышения несущей способности сечений, примыкающих к жестким узлам рам, следует на расстоянии, равном высоте сечения, но не менее 40 см от грани примыкающего элемента, устанавливать замкнутую поперечную арматуру с шагом, вдвое меньшим, чем требуется по расчету, но не более 10 см (рис. 8). На рисунке усиление центральной зоны не показано.
Рис. 8. Армирование поперечной арматурой участков колонны
и ригелей, примыкающих к узлу
3.25. Закладные детали элементов сборных колонн и ригелей, предназначенные для стыкования, подлежат обязательной приварке к рабочей арматуре элемента. Размеры сварных швов назначаются по расчету.
СОЕДИНЕНИЯ ЭЛЕМЕНТОВ СБОРНОГО И СБОРНО-МОНОЛИТНОГО КАРКАСА
3.26. Сопряжения элементов каркаса должны соответствовать принятой конструктивной схеме, способу восприятия и распределения сейсмической нагрузки.
3.27. Стыки элементов каркаса могут осуществляться путем:
а) сварки выпусков арматуры и замоноличивания стыка бетоном или раствором с передачей усилий через железобетон;
б) сварки стальных закладных деталей с передачей усилий через металл этих деталей;
в) замоноличивания шва между элементами бетоном или раствором и последующего обжатия стыка натяжением арматуры с передачей усилий через предварительно напряженный железобетон (см.
п. 3.22);
г) защемления одного из элементов посредством замоноличивания бетоном стаканного сопряжения с передачей усилий через бетон (для стыков колонн с фундаментами).
Не допускается применение стыков с комбинированной передачей усилий через свайные соединения деталей и петлевые соединения арматуры.
3.28. При проектировании стыков и выборе способа передачи усилий следует учитывать, что:
а) передача усилий через железобетон при условии надежного соединения выпусков элементов способствует развитию пластических деформаций, повышающих сейсмостойкость каркаса, позволяет снизить расход стали на закладные детали, но ведет к увеличению объема работ по замоноличиванию;
б) передача усилий через металл закладных деталей обеспечивает монтажные преимущества, достижение расчетной прочности стыка непосредственно после выполнения соединения и позволяет снизить объем работ по замоноличиванию, однако ведет, как правило, к увеличению расхода стали на закладные детали и объема сварных работ;
в) передача усилий через предварительно напряженный железобетон обеспечивает повышение трещиностойкости и снижение деформативности соединения в стадии упругой работы материала; не препятствует развитию деформаций, связанных с пластическими свойствами арматуры, при потере предварительных напряжений в стадии воздействия возможных при землетрясении перегрузок, а также позволяет снизить расход стали на закладные детали, при этом взамен выполнения сварных работ при монтаже каркаса требуется осуществлять установку и натяжение арматуры, а также замоноличивание каналов;
г) передача усилий через бетон путем замоноличивания соединения стаканного типа позволяет снизить расход стали на закладные детали и избежать сварных работ, но повышает требования по замоноличиванию.
3.29. Сопряжения элементов сборного и сборно-монолитного железобетонного каркаса следует проектировать, обеспечивая необходимую устойчивость как отдельных элементов, так и каркаса в целом на всех стадиях сборки. С этой целью допускается применение специально рассчитываемых монтажных приспособлений.
3.30. Для заделки стыков при толщине швов более 1/5 наименьшего сечения элементов и более 10 см следует применять мелкозернистый бетон марки не ниже 200 и прочностью не ниже марки бетона соединяемых элементов.
3.31. В стыках элементов, работающих на изгиб или внецентренное сжатие, при толщине швов менее 1/5 толщины соединяемых элементов и менее 10 см следует применять для заделки мелкозернистый бетон прочностью не ниже марки бетона соединяемых элементов; при толщине швов не более 3 см может применяться также раствор.
В последнем случае замоноличивание стыков рекомендуется производить путем инъецирования раствора.
3.32. При сварке между собой выпусков арматурных стержней из стали класса А-II и А-III диаметром 20 - 40 мм рекомендуется применять:
а) для соединения горизонтальных стержней - полуавтоматическую ванную сварку под флюсом в съемных медных и графитовых формах или на медных съемных желобчатых подкладках, а также ручную ванную многоэлектродную и одноэлектродную сварку в медных формах;
б) для соединения вертикальных стержней - полуавтоматическую ванную сварку под флюсом в медных и графитовых формах, а также ручную дуговую сварку многослойными швами на стальной скобе.
3.33. В стыках элементов сборных колонн с фундаментами глубину заделки h одиночной колонны при соединении стаканного типа следует принимать не менее 1,1 наибольшего размера поперечного сечения элемента и не менее длины анкеровки стержней арматуры колонн в бетоне, а при двухветвевых колоннах - не менее 1,5 наибольшего размера поперечного сечения ветви, 1,3 наибольшего размера поперечного сечения всей колонны и не менее длины анкеровки стержней арматуры колонны в бетоне.
Толщину стенок стакана поверху B следует принимать не менее 25 см и не менее 0,75 высоты верхней ступени фундамента H. Стенки стаканов необходимо армировать замкнутыми сварными хомутами, горизонтальными сетками или спиральной арматурой.
а)
б)
Рис. 9. Стаканный стык колонны с фундаментом
а - при одиночных колоннах; б - при двухветвевых колоннах;
1 - колонна; 2 - фундамент
Минимальный размер зазора между стенками стакана и колонной принимается 7,5 см поверху и 5 см понизу. Глубину стакана необходимо назначать на 5 см больше глубины заделки колонны (рис. 9).
Стенки стакана и глубина заделки колонн должны быть проверены расчетом в соответствии с требованиями "Инструкции по проектированию фундаментов промышленных зданий и сооружений на естественных основаниях" (РМ-53-01), ГПИ Ленинградский Промстройпроект, Ленинград, 1964.
Стыки элементов колонны с фундаментами могут выполняться также согласно рис. 10, а; при малых величинах изгибающих моментов (второй случай внецентренного сжатия) - по рис. 10, б.
Рис. 10. Варианты стыка колонны с фундаментом
а - сваркой рабочей арматуры;
б - с помощью закладных деталей
3.34. Стыки элементов колонн со стальными оголовниками рекомендуется проектировать с накладками из арматурных стержней, площадь сечения которых должна быть больше площади стыкуемой рабочей арматуры колонн не менее чем на 25%. Для возможности развития пластических деформаций в накладках рекомендуется производить сварку с таким расчетом, чтобы расстояние между сварными швами по длине накладок составляло не менее 100 мм (рис. 11, а).
а)
б)
Рис. 11. Стык колонн со стальными оголовниками
а - с круглыми накладками; б - без накладок
Соединение оголовников между собой без накладок допускается применить только в сечениях, работающих на центральное сжатие (см. рис. 11, б). Металлические элементы стыков должны защищаться слоем штукатурки толщиной не менее 3 см по сетке.
Размеры прокладок должны быть определены расчетом, а толщина составлять не менее 3 мм.
3.35. Замоноличенные стыки сборных колонн рекомендуется выполнять сваркой выпусков арматурных стержней в подрезках бетона на концах стыкуемых элементов, устраиваемых в углах или по всему периметру.
Для предотвращения выпучивания рабочих стержней колонн в месте стыка следует предусматривать постановку поперечной арматуры диаметром не менее 8 мм и с шагом не более 10 см.
3.36. В стыках элементов сборных ригелей с колоннами при наличии стальных закладных деталей для стыкования нижней арматуры и установки элементов ригелей закладные детали следует устраивать непрерывными на всю ширину колонны (рис. 12).
Рис. 12. Стык с металлическими скрытыми консолями
1 - колонна; 2 - ригель; 3 - закладные детали
(отверстия для бетонирования не показаны);
4 - сварные соединения арматуры; 5 - усиленный арматурный
выпуск; 6 - железобетонный выпуск ригеля
При выполнении закладных деталей из уголков бетонирование колонн рекомендуется осуществлять в горизонтальном положении при вертикальном положении уголков. Применение железобетонных скрытых консолей для опирания элементов ригелей на колонны не допускается.
3.37. В стыках элементов сборных ригелей с колонами, выполняемых без опорных консолей с передачей перерезывающих сил через бетон замоноличивания длину арматурных выпусков и расстояние между ними следует назначать в соответствии с требованиями нормативных документов по сварке арматуры железобетонных конструкций. Зазор между колонной и торцом ригеля в свету между выступающими элементами рифлений должен быть не меньше 10 см (рис. 13).
Рис. 13. Стык без опорных консолей
1 - колонна; 2 - ригели; 3 - рифления;
4 - сварные соединения арматуры;
5 - заливка бетоном
3.38. Сварные совмещенные стыки элементов сборных ригелей и колонн с металлическими оголовниками при наличии ригелей только одного направления могут быть допущены при расчетной сейсмичности 7 баллов в зданиях высотой не более 5 этажей при условии наличия в направлении, в котором отсутствуют ригели, специальных диафрагм жесткости, рассчитанных на восприятие полной сейсмической нагрузки. Применение таких конструкций для зданий повышенной этажности не рекомендуется.
3.39. В стыках элементов каркаса, совмещенных с узлами, при монолитных или сборно-монолитных колоннах по торцам элементов ригелей рекомендуется предусматривать железобетонные выступы (рис. 14). На рисунке армирование центральной зоны не показано.
Рис. 14. Совмещенный железобетонный стык
1 - колонна; 2 - ригель; 3 - бетон омоноличивания;
4 - выступы ригеля (усиление центральной зоны
дополнительным армировании не показано)
Замоноличивание таких стыков рекомендуется осуществлять мелкозернистым бетоном, марка которого на одну ступень выше проектной марки бетона стыкуемых элементов.
3.40. При устройстве сборно-монолитных ригелей таврового сечения или ригелей в виде плиты, ширина которых более ширины колонны, количество арматуры, требуемое по расчету в опорном сечении ригеля, следует располагать в средней части ригеля на участке шириной не более двойной ширины колонны. При этом количество арматуры, пропускаемой через колонну, должно составлять не менее 50% общей площади рабочей арматуры, а ширина сжатой зоны бетона ригеля при расчете опорного сечения на прочность должна быть равной ширине колонны.
3.41. Для стыкования верхней арматуры ригелей (см.
рис. 12 и
13) может быть применена заделка в теле колонны специальных стержней. Соединение верхней арматуры ригелей путем пропуска стержней в отверстия колонн не рекомендуется.
3.42. По концам элементов сборных ригелей с применением консолей (например, в сопряжении вставки ригеля) для восприятия поперечной силы рекомендуются отогнутые стержни.
3.43. Замоноличивание элементов сборно-монолитных каркасов, и в особенности замкнутых участков или участков сборных элементов каркаса с обнаженной арматурой, рекомендуется производить бетоном на расширяющемся или безусадочном цементе, предусматривая использование специальных экспериментально проверенных методов укладки бетона.
3.44. При использовании предварительного напряжения для объединения элементов каркаса может быть применена высокопрочная стержневая, пучковая и прядевая арматура. Напрягаемая при монтаже арматура должна пересекать замоноличенные швы сопряжения элементов, создавая предварительное обжатие стыков.
СТЕНЫ, ПЕРЕГОРОДКИ, ПЕРЕКРЫТИЯ, ИХ СОЕДИНЕНИЯ
И ЗАМОНОЛИЧИВАНИЕ
3.45. В каркасных зданиях рекомендуется применять следующие типы навесных стеновых панелей:
а) однослойные из легких бетонов весом не более 1200 кг/м3;
б) слоистые со слоем, обращенным в сторону помещения, из тяжелого бетона марки 150 - 200, слоями из высокоэффективных в теплотехническом отношении материалов и наружным фактурным слоем;
в) панели с каркасом из стали, алюминия или армоцемента, заполненным тонкими алюминиевыми или асбофанерными листами и эффективными утеплителями;
г) другие типы облегченных стеновых панелей, обладающих необходимыми теплозащитными и звукоизоляционными свойствами.
3.46. Наружные стеновые навесные панели с дверными проемами рекомендуется проектировать замкнутого контура с соединительными элементами по низу проема.
3.47. Однослойные навесные панели рекомендуется армировать двойной арматурой, выполняемой в виде пространственных каркасов или сварных арматурных сеток.
3.48. При проектировании слоистых навесных панелей следует обеспечивать надежную связь между слоями путем устройства армированных ребер, шпонок и т.п.
3.49. Для отделки наружных поверхностей стен навесных панелей рекомендуется применять декоративные бетоны и растворы.
Другие типы отделки допускаются только при достаточном экспериментальном обосновании.
3.50. Сопряжение навесных стеновых панелей с каркасом следует осуществлять с учетом общих рекомендаций
раздела 1.
Навесные панели рекомендуется крепить к каркасу в четырех углах. Пример установки панелей с опиранием на металлические опорные столики или нижележащую панель в нижних углах панелей и креплением гибкими связями в верхних углах показан на рис. 15.
Примечание. Металлические детали креплений должны защищаться слоем штукатурки толщиной не менее 2,5 см.
Рис. 15. Схема установки навесных панелей
1 - колонна; 2 - навесная панель; 3 - опорный столик;
4 - закладная деталь колонны; 5 - фиксатор;
6 - гнездо фиксатора
3.51. Самонесущие кирпичные и крупноблочные стены высотой более 12 м при расчетной сейсмичности 7 баллов, 9 м при расчетной сейсмичности 8 баллов и 6 м при расчетной сейсмичности 9 баллов должны конструктивно армироваться продольной арматурой, при этом кладка должна выполняться 1-й категории, а площадь всей продольной арматуры должна составлять не менее 0,1% площади сечения кладки. Независимо от наличия арматуры, высота самонесущих стен не должна превышать величин, указанных в
п. 1.24.
3.52. По всей длине самонесущих стен между вертикальными антисейсмическими швами на уровне всех перекрытий должны устраиваться антисейсмические пояса, которые должны, как правило, выполняться монолитными железобетонными.
Антисейсмические пояса должны быть соединены с каркасом гибкими анкерами.
3.53. Заполнение из каменной кладки должно быть связано с колоннами каркаса арматурными выпусками длиной не менее 70 см, располагаемыми по высоте через 50 см. Следует предусматривать мероприятия, обеспечивающие плотное примыкание заполнения к элементам каркаса, включая примыкание к верхнему ригелю.
При расчетной сейсмичности 9 баллов арматуру рекомендуется укладывать по всей длине заполнения.
3.54. При длине заполнения 3 м и более оно должно быть соединено с верхним ригелем каркаса через 1,5 - 2 м по длине стены. Соединение можно осуществлять выпусками арматуры или специальными скобами (рис. 16).
Рис. 16. Крепление заполнения к ригелю
1 - ригель; 2 - заполнение; 3 - специальная скоба;
4 - сварка
3.55. Перегородки рекомендуется применять крупнопанельные или каркасной конструкции.
Перегородки из кладки следует армировать стержнями в горизонтальных швах кладки через 70 см по высоте, с общим сечением f = 0,2 см2 в каждом шве.
Перегородки должны быть связаны с элементами каркаса или с заполнением, а при длине более 3 м - и с перекрытиями.
В каркасных зданиях рамной системы не рекомендуется применение перегородок из жестких, сравнительно малопрочных материалов, например, из кирпичной кладки.
3.56. Бетон для железобетонных вертикальных диафрагм следует применять марки не менее 200.
3.57. Сборные вертикальные диафрагмы рекомендуется проектировать в виде железобетонных панелей, имеющих один размер, равный высоте этажа, а второй - расстоянию между колоннами каркаса. В случае выполнения вертикальных диафрагм в плоскости рам при расчетной сейсмичности 8 и 9 баллов рекомендуется монолитные железобетонные вертикальные диафрагмы связывать с элементами каркаса по всему контуру.
3.58. Соединение панелей сборных диафрагм друг с другом, а также с колоннами и с панелями перекрытий или ригелями следует производить путем сварки стальных закладных деталей или арматурных выпусков с последующим замоноличиванием швов.
На сопрягаемых гранях элементов рекомендуется предусматривать рифления.
3.59. Количество креплений панели сборных диафрагм устанавливается расчетом и должно быть не менее двух по каждой грани.
3.60. При выборе размеров и типов конструкций сборных перекрытий и покрытий рекомендуются крупноразмерные панели размером на ячейку или на половину ячейки, опирающиеся по контуру или по трем сторонам.
3.61. Глубина опирания перекрытий на ригели должна быть не менее 12 см при опирании на две стороны и не менее 6 см - при опирании по контуру.
В случае обеспечения неразрезности перекрытий путем устройства замоноличенных стыков величина минимальной глубины опирания может быть уменьшена.
3.62. Сопряжение панелей перекрытия между собой и с элементами каркаса следует осуществлять путем устройства шпоночных связей между панелями, сваркой закладных деталей, предусмотренных в торцах панелей, между собой и с закладными деталями ригелей торцовых рам либо другими надежными проверенными способами. Настилы должны иметь пазы и рифленые боковые поверхности, обеспечивающие восприятие сдвигающих усилий.
3.63. Лестничные клетки каркасных зданий могут устраиваться как самостоятельные, отделенные швом конструкции, находящиеся внутри или снаружи здания (в случае зданий высотой до 5 этажей), как встроенные конструкции с поэтажной разрезкой, не оказывающей существенного влияния на жесткость каркаса, как жесткое ядро, воспринимающее часть сейсмической нагрузки.
3.64. Рекомендуется применять сборные железобетонные лестницы из укрупненных элементов, объединяющих лестничные площадки и марши. Возможно применение для гнутых косоуров железобетона с жесткой арматурой. Металлические конструкции лестниц должны быть оштукатурены в соответствии с требованиями главы СНиП II-А.5-62 "Противопожарные требования. Основные положения проектирования".
3.65. Элементы лестниц следует опирать непосредственно на элементы каркаса или на вертикальные диафрагмы.
3.66. Наружные лестницы необходимо проектировать на отдельных фундаментах. Конструктивное решение наружных лестниц должно обеспечивать их пространственную жесткость, прочность и устойчивость.
3.67. Антисейсмические швы должны разделять смежные отсеки по всей высоте зданий. Допускается не устраивать швы в фундаменте, за исключением случаев, когда антисейсмический шов совпадает с осадочным швом.
Температурные и осадочные швы следует выполнять как антисейсмические.
3.68. Ширина антисейсмического шва должна назначаться в соответствии с высотой здания. Для зданий высотой до 5 м ширина шва должна быть не менее 3 см, для зданий большей высоты ширину шва следует увеличивать на 2 см на каждые 5 м высоты. Кроме того, ширина антисейсмических швов должна быть проверена расчетом и составлять не менее удвоенной суммы максимальных горизонтальных смещений разделенных элементов каркаса от расчетной сейсмической нагрузки.
3.69. Антисейсмические швы следует выполнять путем постановки парных колонн или сочетанием колонн с несущей стеной (в зданиях с неполным каркасом).
Допускается устройство шва с помощью консолей вылетом, как правило, до 1 м (рис. 17).
Рис. 17. Устройство антисейсмического шва
9.70. Антисейсмические швы, разделяющие здания и наружные лестницы, должны удовлетворять требованиям, изложенным в
пп. 3.67 -
3.69.
ПОЯСНЕНИЯ К МЕТОДИКЕ ПРИМЕНЕНИЯ ПРИЛОЖЕНИЙ
Приложения содержат формулы, графики, таблицы и рекомендации по расчету динамических характеристик, определению усилий от расчетной сейсмической нагрузки каркасных зданий рамной, рамно-связевой и связевой конструкций.
Для контроля результатов расчета этих зданий желательно использовать динамические характеристики, получаемые путем натурных испытаний.
При расчете рамных каркасных зданий необходимо учитывать жесткость стен заполнения и перегородок, например, как это сделано в "Инструкции по определению расчетной сейсмической нагрузки для зданий и сооружений".
Для определения перемещений многоэтажных рамных каркасных зданий от единичных сил и горизонтальных нагрузок рекомендуется пользоваться
Приложением 2.
Перемещения многоэтажных рамно-связевых каркасных зданий и диафрагм с проемами зданий связевой конструкции от единичных сил и горизонтальных нагрузок можно вычислить по
Приложению 3.
Периоды и формы свободных горизонтальных колебаний рамных и рамно-связевых каркасных зданий высотой до 9 этажей следует определять по
Приложению 4, содержащему также данные для расчета рамной конструкции с постоянными жесткостями и массами <1> при высоте зданий от 6 этажей и более. Периоды и формы свободных горизонтальных колебаний рамных каркасных зданий с постоянными жесткостями и массами при высоте до 5 этажей можно определить по таблицам
Приложения 6. Этими же таблицами необходимо пользоваться в случае, если в первом этаже изменяется жесткость элементов. Предварительную приближенную оценку периода и формы свободных горизонтальных колебаний здания можно производить по формулам
Приложения 5.
--------------------------------
<1> В случаях когда массы (или жесткости) различных этажей отличаются друг от друга не более чем на 20%, можно использовать формулы, предназначенные для расчета зданий с постоянными массами (или жесткостями).
Периоды и формы свободных горизонтальных колебаний рамных, рамно-связевых и связевых каркасных зданий высотой 9 этажей и более следует определять по
Приложению 7.
Учет податливости основания при определении периодов и форм свободных горизонтальных колебаний зданий высотой 9 этажей и более может производиться по
Приложению 8 при наличии экспериментальных данных об упругих характеристиках грунтов основания.
Учет крутильных колебаний многоэтажного здания в случаях, определяемых
п. 2.10 Руководства, можно производить по
Приложению 9.
Распределение расчетной сейсмической нагрузки с учетом прогибов перекрытий и кручения для зданий большой длины с неравномерным распределением жесткостей и масс (
п. 2.9 Руководства) может быть произведено по
Приложению 10 при наличии экспериментальных данных о жесткостях горизонтальных диафрагм (перекрытий и примыкающих участков вертикальных диафрагм) и вертикальных диафрагм, а также о скоростях распространения и длинах сейсмических волн.
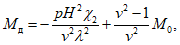
Усилия от расчетных сейсмических нагрузок, отвечающих основному и высшим тонам колебаний, в элементах рамно-связевых каркасных зданий и диафрагмах с проемами при высоте 9 этажей и более определяются по формулам
Приложения 11.
Пример расчета каркасных зданий с каменным заполнением для случаев, оговоренных в
п. 2.7 Руководства, приведен в
Приложении 12.
ПРИМЕРЫ РАЗРЕЗКИ КАРКАСОВ НА СБОРНЫЕ ЭЛЕМЕНТЫ
(рис. 1.1)
а)
б)
в)
г)
Рис. 1.1. Схемы разрезки каркасов на сборные элементы
а - линейные; б - крестообразные; в - П-образные;
г - пространственные (для экспериментального строительства)
ОПРЕДЕЛЕНИЕ ПЕРЕМЕЩЕНИЙ МНОГОЭТАЖНЫХ РАМНЫХ КАРКАСНЫХ ЗДАНИЙ
1. Рамные каркасы с жесткими узлами (рис. 2.1)
Рис. 2.1. Схема каркасного здания с жесткими узлами
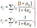
При переменных суммарной погонной жесткости стоек каждого яруса sk, ригелей rk, длине стоек (высота этажа) lk перемещения от горизонтальных единичных сил могут быть вычислены по формулам:

(2.1)

k = 2, 3, ..., n; (2.2)

(2.3)

(2.4)
где

(2.5)

(2.6)

(2.7)

k =3, 4, ..., n. (2.8)
Прогиб верхнего яруса рамного каркаса от приложенных ко всем ярусам горизонтальных сил P
1, P
2, ..., P
n (рис. 2.2)

(2.9) или

(2.10)
Здесь ярусная поперечная сила

(2.11)

(2.12)

k = 2, 3, ..., n. (2.13)
Рис. 2.2. Деформации рамного каркаса от горизонтальных сил P
При постоянных суммарной погонной жесткости стоек s, ригелей r, длине стоек l линейный перекос яруса (рис. 2.3)

(2.14)
Рис. 2.3. Линейный перекос яруса
Для рамных каркасных зданий с числом этажей n >= 9
(рис. 2.4) перемещения от горизонтальной единичной силы можно вычислить по формуле

(2.15)
где xk - расстояние от заделки до k-го этажа;

(2.16)
C2 - сдвиговая жесткость рамного каркаса.
Рис. 2.4. Схема рамного каркасного здания
высотой 9 этажей и более
Прогиб от распределенной горизонтальной нагрузки

(2.17)
где M0 - изгибающий момент в основании от распределенной горизонтальной нагрузки p(x).
При характеристике жесткости рамного каркаса

[см.
формулу (2.18)] следует учитывать дополнительные прогибы, возникающие от продольных деформаций стоек. При этом перемещения от единичных сил равны:
| | ИС МЕГАНОРМ: примечание. Нумерация формул дана в соответствии с официальным текстом документа. | |

(2.15, а)

(2.15, б)
и прогиб от распределенной горизонтальной нагрузки:

(2.17, а)

(2.18)

(2.19)
где

- изгибная жесткость рамного каркаса;
Fл, Fп - суммарная площадь сечения крайних стоек - левой и правой;
b - расстояние между осями крайних стоек.
2. Рамные каркасы с податливыми стыками элементов в узлах
(рис. 2.5)
Рис. 2.5. Схема рамного каркаса с податливыми стыками
элементов в узлах
1 - стыки ригелей; 2 - стыки колонн
Стыки ригелей и стоек сборного железобетонного рамного каркаса вследствие неупругих деформаций стыковых анкеров и закладных деталей в бетоне деформируются. При этом первоначальный угол между гранями стыкуемых элементов под действием нагрузки изменяется на величину угла податливости, равную

. Податливость стыков приводит к снижению жесткости и увеличению горизонтальных перемещений рамного каркаса.
Средний модуль деформаций стыка или коэффициент жесткости стыка может рассматриваться как тангенс угла наклона секущей на диаграмме

(рис. 2.6, а):
а)
б)
Рис. 2.6. Диаграмма и схема к определению
податливости стыков ригелей
а - зависимость угла податливости от изгибающего момента;
б - схема измерения перемещений в стыке
Величина коэффициента жесткости, стыков ригелей и стыков стоек C устанавливается на основании экспериментальных данных.
Методика экспериментального определения коэффициента жесткости типового стыка, применяемая при проектировании рамного каркаса, заключается в определении угла податливости

по мере увеличения изгибающего момента M путем измерения мессурами перемещений растянутой и сжатой зоны элемента в стыке (рис. 2.6, б):
где U1, U2 - измеренные перемещения растянутой и сжатой зоны стыка за вычетом перемещений, возникающих на той же базе измерений в монолитных аналогичных стыках;
z - расстояние между осями приборов.
Величину коэффициента жесткости стыка можно предварительно определить по эмпирической формуле

(2.20)
где h - высота сечения стыкуемого элемента в м.
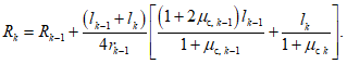
Переменная суммарная погонная жесткость стоек и ригелей каждого яруса с учетом податливости стыков

(2.21)

(2.22)
где iс k - погонная жесткость стойки;
Cс k - коэффициент жесткости стыка стойки;

(2.23)

(2.24)
где iр k - погонная жесткость ригеля;
Cр k - коэффициент жесткости стыка ригеля.
При абсолютно жестких стыках стоек или ригелей принимают

или

.
Перемещения от горизонтальных единичных сил:

(2.25)

k = 2, 3, ..., n; (2.26)

(2.27)
где

(2.28)

(2.29)

(2.30)

(2.31)
Прогиб верхнего яруса рамного каркаса от приложенных ко всем ярусам горизонтальных сил P
1, P
2, ..., P
n определяется по
формуле (2.9) или по формуле

(2.32)
Здесь Qk - ярусная поперечная сила.

(2.33)
При постоянных суммарной погонной жесткости стоек s, ригелей r, величинах

и

, длине стоек l линейный перекос яруса c определяется по
формуле (2.14), а перемещения рамных каркасов с числом этажей n >= 9 - по
формулам (2.15) -
(2.19). При этом s, r принимаются с учетом податливости стыков по
формулам (2.21),
(2.23).
3. Оценка границ применимости расчетных формул перемещений
Расчетные формулы перемещений настоящего приложения в сравнении со строгими методами расчета для различных рам дают погрешность менее 5%. Практически достаточная точность расчетных формул перемещений достигается при отношении суммы погонных жесткостей ригелей и стоек яруса rk/sk >= 0,20.
Если в составе каркаса имеются рамы с существенно различными жесткостями элементов, то приведенные суммы погонных жесткостей стоек и ригелей каждого яруса следует определять по формулам:

(2.34)

(2.35)

(2.36)
где j, q - соответственно номер и число рам одного направления в каркасе.
ОПРЕДЕЛЕНИЕ ПЕРЕМЕЩЕНИЙ МНОГОЭТАЖНЫХ
РАМНО-СВЯЗЕВЫХ КАРКАСНЫХ ЗДАНИЙ И ДИАФРАГМ
С ПРОЕМАМИ СВЯЗЕВЫХ КАРКАСНЫХ ЗДАНИЙ
1. Рамно-связевые каркасные здания
высотой до 9 этажей (рис. 3.1)
Рис. 3.1. Расчетная схема рамно-связевого каркасного здания
В рамно-связевых каркасах связи между совместно работающими на горизонтальные нагрузки рамами и диафрагмами создаются междуэтажными перекрытиями.
Допускается в зданиях высотой более четырех этажей уменьшать число связей до четырех, размещая их через один-два этажа; в верхнем этаже связь следует сохранять во всех случаях (рис. 3.2).
Рис. 3.2. Расчетная схема рамно-связевого каркасного здания
с ограниченным числом связей между рамой и диафрагмой
Усилия в связях между рамами и диафрагмами от горизонтальной единичной силы P = 1 определяются из решения системы уравнений:

(3.1)
Перемещения статически определимой основной системы, образуемой путем разрезания связей
(рис. 3.3), равны:

(3.2)

q >= j; (3.3)
при xp <= xj

(3.4)
при xp >= xj

(3.5)
где xj, xq - координаты усилий Z1, Zq;
xp - координаты силы P = 1;

,

- перемещения рамного каркаса от единичных сил, определяемые по формулам
Приложения 2;
Bд - суммарная изгибная жесткость диафрагм одного направления в каркасе;
Cд - суммарная сдвиговая жесткость диафрагм;

(3.6)
k - коэффициент, учитывающий неравномерность касательных напряжений по сечению диафрагмы;
Bф - суммарная угловая жесткость фундаментов диафрагм;

(3.7)

- коэффициент постели при неравномерном сжатии основания;
Jф - суммарный момент инерции площади подошвы фундамента диафрагм.
Рис. 3.3. Схема для определения единичных перемещений
Перемещения рамно-связевого каркаса от горизонтальных единичных сил равны:

(3.8)
2. Рамно-связевые каркасные здания
В расчетной схеме рамно-связевого каркасного здания высотой 9 этажей и более жесткости ригелей считаются распределенными по высоте непрерывно. В указанной расчетной схеме перемещения от горизонтальных единичных сил равны:

(3.9)

(3.10)

(3.11)

(3.12)
где

и

- безразмерные координаты:

(3.13)

- характеристика жесткости рамно-связевого каркаса:

(3.14)
s
2 - линейная характеристика жесткости рамно-связевого каркаса, определяемая в зависимости от конструктивной схемы диафрагмы. При сплошной диафрагме (см.
рис. 3.4, а)

(3.15)
Bд - суммарная жесткость диафрагм одного направления;
C
2 - сдвиговая жесткость рамного каркаса, определяемая по формулам
Приложения 2.
Рис. 3.4. Расчетная схема рамно-связевого
каркасного здания высотой 9 этажей и более
а - при сплошной диафрагме;
б - при комбинированной диафрагме
При комбинированной диафрагме, состоящей из сплошной и рамной части (см. рис. 3.4, б):

(3.16)

(3.17)
где iс, iр - погонные жесткости стойки и ригеля рамной части диафрагмы;
Если характеристика жесткости рамного каркаса

[см.
формулу (2.18)], то следует учитывать дополнительные прогибы, возникающие от продольных деформаций стоек рам. При этом перемещение от горизонтальных сил определяется по формулам:

(3.18)

i >= k; (3.19)

(3.20)

(3.21)
где v2 - коэффициент, учитывающий влияние продольных деформаций стоек рам;
B
0р - изгибная жесткость рамного каркаса, определяемая по
формуле (2.19).
3. Диафрагмы с проемами связевых каркасов
(рис. 3.5)
В расчетной схеме диафрагмы с проемами высотой 9 этажей и более жесткости перемычек считаются непрерывно распределенными по высоте. В указанной расчетной схеме перемещения от горизонтальных единичных сил:

(3.22)

i >= k, (3.23)
где

- характеристика жесткости диафрагмы;

(3.24)
Bп - суммарная изгибная жесткость всех простенков диафрагмы;

(3.25)
где rп - определяется в зависимости от схемы диафрагмы:

- отношение пролетов перемычки:

(3.26)
a - расстояние между осями, проходящими через центр тяжести сечений простенков;
a0 - пролет перемычки в свету;
i - погонная жесткость перемычки

(3.27)

- коэффициент, учитывающий влияние деформаций сдвига перемычки:

(3.28)
v2 - коэффициент, учитывающий влияние продольных деформаций простенков диафрагмы:

(3.29)
где Fл и Fп - площади сечения крайних простенков (соответственно левого и правого);
b - расстояние между осями, проходящими через центр тяжести сечений крайних простенков диафрагмы.
Рис. 3.5. Схемы диафрагм с проемами
а - с одним рядом проемов; б - с двумя рядами проемов;
в - с несколькими рядами проемов
Расчет по приведенным формулам диафрагмы с двумя или несколькими рядами проемов допустим, если размеры проемов отличаются не более чем на 20%.
ПЕРИОДЫ И ФОРМЫ СВОБОДНЫХ ГОРИЗОНТАЛЬНЫХ КОЛЕБАНИЙ РАМНЫХ
И РАМНО-СВЯЗЕВЫХ КАРКАСНЫХ ЗДАНИЙ ВЫСОТОЙ ДО 9 ЭТАЖЕЙ
Расчетная схема многоэтажного рамного каркаса для расчета на свободные горизонтальные колебания принимается в виде системы с числом степеней свободы, равным числу этажей n, и ярусными массами mk, сосредоточенными в уровнях перекрытий. Вес одного яруса равен весу перекрытия и полезной нагрузки, а также весу стен, колонн и других конструкций в пределах половины высоты ниже и выше расположенного этажа.
Частоты колебаний

рамных каркасов с переменными жесткостями и массами находят из решения уравнения частот

, получаемого после раскрытия определителя:

(4.1)
Решить уравнение (4.1) и определить характеристические числа

при n > 4 можно на ЭЦВМ по стандартной программе (определение собственных значений несимметрической матрицы).
Частоты и периоды колебаний основного и высших тонов равны:

(i = 1, 2, 3, ...). (4.2)
Ординаты формы колебаний основного и высших тонов определяются по формулам:

(4.3)

(4.4)

(4.5)
Частоту первого тона колебаний можно также определить по формуле

(4.6)
где a1 - коэффициент, определяемый по табл. 4.1 в зависимости от числа этажей рамного каркаса;
Таблица 4.1
Значения коэффициента a1
Число этажей рамного каркаса n | a1 |
3 | 1,08 |
4 | 1,1 |
5 | 1,12 |
6 | 1,14 |
7 | 1,16 |
n >= 8 | |
При постоянных значениях по высоте суммарной погонной жесткости стоек одного этажа s, суммарной погонной жесткости ригелей одного этажа r, длины стоек этажа l, ярусной массы m для многоэтажных рамных каркасов с числом этажей n >= 6 период колебаний трех первых тонов можно определить по формуле

(i = 1, 2, 3, ...), (4.7)
где

(4.8)
C
2 - сдвиговая жесткость рамного каркаса, определяемая по формулам
Приложения 2.
Ординаты формы колебаний можно определить по формуле

(4.9)
где k = 1, 2, ..., n - номер яруса рамного каркаса.
2. Рамно-связевые каркасы (см.
рис. 3.1)
Расчетная схема рамно-связевого каркаса для расчета на свободные горизонтальные колебания принимается в виде системы с числом степеней свободы, равным числу этажей. В зданиях высотой более четырех этажей допускается упрощение, снижающее степень свободы до n = 4, путем соединения ярусных масс двух смежных этажей в одну массу. При этом стерженьки связей между рамой и диафрагмой располагаются в уровне соединения масс
(рис. 3.2). Если величина ярусных масс резко различна, упрощать расчетную схему не следует.
Перемещения

от горизонтальных единичных сил определяют по
формуле (3.8), затем составляют матрицу

(4.10)
и по стандартным программам на ЭЦВМ определяют собственные значения (характеристические числа)

, а также собственные векторы (ординаты формы колебаний) X
ik характеристической матрицы. Период колебаний равен:

(4.11)
При n <= 3 расчет может быть выполнен без применения ЭЦВМ.
ПЕРИОДЫ И ФОРМЫ ОСНОВНОГО ТОНА СВОБОДНЫХ КОЛЕБАНИЙ
ЗДАНИЙ ПОСТОЯННОЙ ПО ВЫСОТЕ ЖЕСТКОСТИ
Расчетная схема здания представляет собой консольный стержень, работающий на изгиб и сдвиг, с податливым основанием, равномерно распределенной массой и постоянной жесткостью по высоте.
Период основного тона свободных горизонтальных колебаний определяется по формуле

(5.1)
где T
и, T
с,

, T
у - периоды свободных колебаний, вычисленные раздельно при учете деформаций изгиба и сдвига здания, поворота его в основании и поступательного перемещения фундамента соответственно:

(5.2)

(5.3)

(5.4)

(5.5)
Q - суммарный вес здания;
g - ускорение силы тяжести;

,

,

,

- перемещения верхней точки здания от действия статической единичной силы при учете раздельно деформаций соответственно изгиба, сдвига, поворота в основании и поступательного перемещения.
Ординаты формы основного тона свободных горизонтальных колебаний здания

(5.6)
где H - высота здания;
xk - расстояние от заделки до k-го сечения.
ОПРЕДЕЛЕНИЕ ПЕРИОДОВ И ФОРМ СВОБОДНЫХ ГОРИЗОНТАЛЬНЫХ
КОЛЕБАНИЙ РАМНЫХ КАРКАСНЫХ ЗДАНИЙ ВЫСОТОЙ ДО 5 ЭТАЖЕЙ
(БЕЗ УЧЕТА ЖЕСТКОСТИ СТЕНОВОГО ЗАПОЛНЕНИЯ И ПЕРЕГОРОДОК)
Для каркасов с числом этажей n <= 5 при высоте каждого этажа l (кроме первого, где она может отличаться и равна l
1), суммарной погонной жесткости стоек и ригелей каждого этажа s и r (кроме первого, где суммарная погонная жесткость стоек может отличаться и равна s
1) составлены таблицы, по которым в зависимости от отношения

и отношения

можно определить периоды T
i, ординаты формы X
ik и коэффициенты формы колебаний трех первых тонов (i = 1, 2, 3) свободных горизонтальных колебаний.
Отношение

может изменяться от 0,15 до 4, отношение

может изменяться от 0,3 до

, вес этажа Q может отличаться не более чем на 20%.
Период колебаний определяется по формуле

(6.1)
где a
i - коэффициент, определяемый по
табл. 6.1.
Ординаты формы свободных горизонтальных колебаний X
ik и коэффициент формы

определяются по
табл. 6.2.
ПРИМЕР ПРИМЕНЕНИЯ ТАБЛИЦ
Требуется определить периоды и коэффициенты формы свободных горизонтальных колебаний четырехэтажного рамного каркасного здания
(рис. 6.1), у которого погонная жесткость каждой стойки 2 - 4-го этажа 140·10
6 кг·см, 1-го этажа - 210·10
6 кг·см, погонная жесткость каждого ригеля 2 - 4-го этажа - 200·10
6 кг·см, вес одного этажа 100 т.
По этим данным вычисляем:
s1 = 12·210·106 = 25,2·106 кг·см;
s = 12·140·106 = 16,8·103 кг·см;
r1-4 = 8·200·106 = 16·103 кг·см;
| | ИС МЕГАНОРМ: примечание. Нумерация рисунков дана в соответствии с официальным текстом документа. | |
Рис. 6.1. Схема рамного каркасного здания
Из
табл. 6.1 по интерполяции находим коэффициент a
1 = 0,99 и по
формуле (6.1) вычисляем период первой формы колебаний
Коэффициенты первой формы колебаний находим из
табл. 6.2.
Для второй и третьей формы колебаний эти величины находим аналогично по табл. 6.1 и
6.2.
| | ИС МЕГАНОРМ: примечание. Нумерация таблиц дана в соответствии с официальным текстом документа. | |
Таблица 6.1
Значения коэффициентов a для определения периода
свободных горизонтальных колебаний рамных каркасов
| | a1 | a2 | a3 |
n |
2 | 3 | 4 | 5 | 2 | 3 | 4 | 5 | 2 | 3 | 4 | 5 |
0,15 | 0,3 | 1,04 | 1,38 | 1,72 | 2,06 | 0,24 | 0,39 | 0,52 | 0,64 | - | 0,18 | 0,27 | 0,34 |
0,5 | 1 | 1,3 | 1,69 | 1,88 | 0,22 | 0,34 | 0,45 | 0,56 | - | 0,17 | 0,24 | 0,3 |
1 | 0,96 | 1,22 | 1,47 | 1,71 | 0,2 | 0,3 | 0,39 | 0,48 | - | 0,16 | 0,21 | 0,26 |
2 | 0,94 | 1,18 | 1,41 | 1,64 | 0,19 | 0,27 | 0,35 | 0,42 | - | 0,15 | 0,19 | 0,23 |
4 | 0,92 | 1,16 | 1,38 | 1,59 | 0,18 | 0,25 | 0,32 | 0,39 | - | 0,14 | 0,18 | 0,21 |
| 0,91 | 1,14 | 1,35 | 1,54 | 0,17 | 0,24 | 0,3 | 0,37 | - | 0,14 | 0,17 | 0,2 |
0,25 | 0,3 | 0,88 | 1,21 | 1,53 | 1,86 | 0,24 | 0,36 | 0,48 | 0,6 | - | 0,18 | 0,26 | 0,33 |
0,5 | 0,82 | 1,11 | 1,39 | 1,67 | 0,22 | 0,32 | 0,42 | 0,52 | - | 0,17 | 0,23 | 0,29 |
1 | 0,77 | 1,01 | 1,24 | 1,47 | 0,2 | 0,28 | 0,37 | 0,45 | - | 0,15 | 0,2 | 0,25 |
2 | 0,75 | 0,96 | 1,17 | 1,37 | 0,18 | 0,26 | 0,33 | 0,41 | - | 0,15 | 0,19 | 0,22 |
4 | 0,73 | 0,93 | 1,13 | 1,31 | 0,17 | 0,24 | 0,31 | 0,38 | - | 0,14 | 0,18 | 0,21 |
| 0,72 | 0,91 | 1,09 | 1,26 | 0,16 | 0,23 | 0,29 | 0,36 | - | 0,14 | 0,17 | 0,2 |
0,4 | 0,3 | 0,70 | 1,09 | 1,42 | 1,74 | 0,22 | 0,34 | 0,45 | 0,56 | - | 0,17 | 0,25 | 0,31 |
0,5 | 0,7 | 0,98 | 1,26 | 1,53 | 0,21 | 0,31 | 0,4 | 0,49 | - | 0,16 | 0,22 | 0,28 |
1 | 0,64 | 0,87 | 1,1 | 1,32 | 0,19 | 0,27 | 0,35 | 0,43 | - | 0,15 | 0,2 | 0,25 |
2 | 0,61 | 0,82 | 1,01 | 1,21 | 0,18 | 0,24 | 0,32 | 0,39 | - | 0,15 | 0,19 | 0,23 |
4 | 0,59 | 0,78 | 0,96 | 1,14 | 0,17 | 0,23 | 0,3 | 0,36 | - | 0,14 | 0,18 | 0,21 |
| 0,58 | 0,75 | 0,91 | 1,08 | 0,16 | 0,22 | 0,28 | 0,34 | - | 0,14 | 0,17 | 0,2 |
0,6 | 0,3 | 0,7 | 1,02 | 1,35 | 1,67 | 0,2 | 0,32 | 0,43 | 0,54 | - | 0,17 | 0,24 | 0,3 |
0,5 | 0,63 | 0,9 | 1,17 | 1,44 | 0,19 | 0,28 | 0,37 | 0,47 | - | 0,16 | 0,22 | 0,27 |
1 | 0,56 | 0,78 | 1 | 1,22 | 0,18 | 0,25 | 0,32 | 0,4 | - | 0,15 | 0,19 | 0,24 |
2 | 0,52 | 0,71 | 0,91 | 1,11 | 0,17 | 0,23 | 0,3 | 0,37 | - | 0,15 | 0,18 | 0,22 |
4 | 0,5 | 0,67 | 0,85 | 1,04 | 0,16 | 0,22 | 0,28 | 0,34 | - | 0,14 | 0,17 | 0,21 |
| 0,48 | 0,64 | 0,8 | 0,98 | 0,16 | 0,21 | 0,27 | 0,32 | - | 0,14 | 0,17 | 0,2 |
1 | 0,3 | 0,63 | 0,95 | 1,27 | 1,6 | 0,18 | 0,29 | 0,41 | 0,52 | - | 0,15 | 0,22 | 0,29 |
0,5 | 0,56 | 0,83 | 1,1 | 1,37 | 0,17 | 0,26 | 0,36 | 0,45 | - | 0,14 | 0,2 | 0,26 |
1 | 0,49 | 0,71 | 0,93 | 1,15 | 0,17 | 0,23 | 0,31 | 0,38 | - | 0,14 | 0,18 | 0,22 |
2 | 0,45 | 0,64 | 0,83 | 1,02 | 0,16 | 0,22 | 0,28 | 0,35 | - | 0,14 | 0,17 | 0,21 |
4 | 0,42 | 0,59 | 0,76 | 0,94 | 0,15 | 0,21 | 0,26 | 0,32 | - | 0,13 | 0,16 | 0,2 |
| 0,4 | 0,55 | 0,7 | 0,86 | 0,15 | 0,2 | 0,25 | 0,3 | - | 0,13 | 0,16 | 0,19 |
2 | 0,3 | 0,49 | 0,82 | 1,14 | 1,47 | 0,16 | 0,26 | 0,36 | 0,47 | - | 0,14 | 0,2 | 0,26 |
0,5 | 0,44 | 0,71 | 0,98 | 1,25 | 0,15 | 0,23 | 0,31 | 0,41 | - | 0,13 | 0,18 | 0,24 |
1 | 0,39 | 0,6 | 0,82 | 1,03 | 0,14 | 0,2 | 0,27 | 0,35 | - | 0,13 | 0,17 | 0,21 |
2 | 0,36 | 0,54 | 0,73 | 0,92 | 0,14 | 0,19 | 0,25 | 0,32 | - | 0,13 | 0,16 | 0,2 |
4 | 0,34 | 0,5 | 0,68 | 0,85 | 0,13 | 0,18 | 0,23 | 0,29 | - | 0,13 | 0,15 | 0,18 |
| 0,32 | 0,47 | 0,63 | 0,78 | 0,13 | 0,17 | 0,22 | 0,27 | - | 0,13 | 0,15 | 0,17 |
4 | 0,3 | 0,42 | 0,74 | 1,07 | 1,4 | 0,13 | 0,22 | 0,33 | 0,44 | - | 0,12 | 0,18 | 0,24 |
0,5 | 0,38 | 0,65 | 0,92 | 1,2 | 0,12 | 0,2 | 0,29 | 0,38 | - | 0,12 | 0,16 | 0,22 |
1 | 0,33 | 0,55 | 0,77 | 0,99 | 0,11 | 0,18 | 0,25 | 0,32 | - | 0,12 | 0,15 | 0,19 |
2 | 0,31 | 0,5 | 0,69 | 0,87 | 0,11 | 0,17 | 0,23 | 0,29 | - | 0,12 | 0,15 | 0,18 |
4 | 0,29 | 0,46 | 0,64 | 0,8 | 0,11 | 0,16 | 0,22 | 0,27 | - | 0,11 | 0,14 | 0,17 |
| 0,28 | 0,43 | 0,6 | 0,74 | 0,11 | 0,16 | 0,21 | 0,26 | - | 0,11 | 0,14 | 0,16 |
Таблица 6.2
Ординаты и коэффициенты формы свободных
горизонтальных колебаний рамных каркасов
| | i | k | Xik | |
n | n |
2 | 3 | 4 | 5 | 2 | 3 | 4 | 5 |
0,15 | 0,3 | 1 | 1 | 1 | 1 | 1 | 1 | 0,85 | 0,73 | 0,62 | 0,54 |
2 | 1,3 | 1,39 | 1,43 | 1,46 | 1,12 | 1,01 | 0,89 | 0,79 |
3 | - | 1,6 | 1,75 | 1,84 | - | 1,16 | 1,09 | 0,99 |
4 | - | - | 1,91 | 2,1 | - | - | 1,18 | 1,13 |
5 | - | - | - | 2,24 | - | - | - | 1,21 |
2 | 1 | 1 | 1 | 1 | 1 | 0,15 | 0,23 | 0,27 | 0,28 |
2 | -0,78 | 0,24 | 0,71 | 0,94 | 0,12 | 0,05 | 0,19 | 0,27 |
3 | - | -0,84 | -0,17 | 0,36 | - | -0,19 | -0,05 | 0,1 |
4 | - | - | -0,9 | -0,42 | - | - | -0,25 | -0,12 |
5 | - | - | - | -0,97 | - | - | - | -0,27 |
3 | 1 | - | 1 | 1 | 1 | - | 0,04 | 0,08 | 0,12 |
2 | - | -1,58 | -0,64 | -0,04 | - | -0,06 | -0,05 | 0 |
3 | - | 0,74 | -0,91 | -1 | - | -0,03 | -0,07 | -0,12 |
4 | - | - | 0,78 | -0,42 | - | - | 0,06 | -0,05 |
5 | - | - | - | 0,8 | - | - | - | 0,1 |
| | ИС МЕГАНОРМ: примечание. При публикации в издании: М.: Стройиздат, 1970 в таблице допущен типографский брак. Текст, не пропечатанный в официальном тексте документа, в электронной версии данного документа заменен символом "!". | |
|
| 1 | 1 | 1 | 1 | 1 | 1 | 1 | 0,9! | 0,84 | 0,77 | 0,71 |
2 | 1,15 | 1,21 | 1,24 | 1,25 | 1,07 | 1,02 | 0,95 | 0,88 |
3 | - | 1,32 | 1,39 | 1,44 | - | 1,11 | 1,06 | 1,02 |
4 | - | - | 1,48 | 1,57 | - | 1,13 | - | 1,11 |
5 | - | - | - | 1,64 | - | - | - | 1,15 |
2 | 1 | 1 | 1 | 1 | 1 | 0,07 | 0,14 | 0,18 | 0,21 |
2 | -0,88 | 0,12 | 0,56 | 0,79 | -0,07 | 0,01 | 0,1 | 0,16 |
3 | - | -0,87 | -0,26 | 0,2 | - | 0,12 | -0,05 | 0,04 |
4 | - | - | -0,9 | -0,48 | - | - | -0,19 | -0,1 |
5 | - | - | - | -0,93 | - | - | - | -0,2 |
3 | 1 | - | 1 | 1 | 1 | - | 0,02 | 0,04 | 0,06 |
2 | - | -1,81 | -0,82 | -0,21 | - | -0,03 | -0,03 | -0,01 |
3 | - | 0,9 | -0,9 | -1,08 | - | 0,01 | -0,04 | -0,06 |
4 | - | - | 0,86 | -0,39 | - | - | -0,04 | -0,03 |
5 | - | - | - | 0,86 | - | - | - | 0,05 |
| | 1 | 1 | 1 | 1 | 1 | 1 | 0,95 | 0,92 | 0,87 | 0,83 |
2 | 1,08 | 1,1 | 1,12 | 1,12 | 1,05 | 1,01 | 0,97 | 0,93 |
3 | - | 1,16 | 1,20 | 1,22 | - | 1,06 | 1,05 | 1,01 |
4 | - | 1 | 1,24 | 1,29 | - | - | 1,08 | 1,07 |
5 | - | - | - | 1,32 | - | - | - | 1,09 |
2 | 1 | 1 | 1 | 1 | 1 | 0,05 | 0,07 | 0,1 | 0,13 |
2 | -0,92 | 0,07 | 0,5 | 0,71 | -0,05 | 0,01 | 0,05 | 0,09 |
3 | - | -0,93 | -0,33 | 0,11 | - | -0,07 | -0,03 | 0,01 |
4 | - | - | -0,94 | -0,53 | - | - | -0,1 | -0,05 |
5 | - | - | - | -0,95 | - | - | - | -0,12 |
3 | 1 | 1 | 1 | 1 | 1 | - | 0,01 | 0,02 | 0,03 |
2 | - | -1,88 | -0,89 | -0,27 | - | -0,02 | -0,02 | -0,01 |
3 | - | 0,93 | -0,96 | -0,16 | - | 0,01 | -0,02 | -0,04 |
4 | - | - | 0,93 | -0,39 | - | - | 0,02 | -0,01 |
5 | - | - | - | 0,93 | - | - | - | 0,03 |
0,25 | 0,3 | 1 | 1 | 1 | 1 | 1 | 1 | 0,8 | 0,63 | 0,51 | 0,43 |
2 | 1,43 | 1,56 | 1,65 | 1,7 | 1,15 | 0,99 | 0,84 | 0,72 |
3 | - | 1,92 | 2,14 | 2,28 | - | 1,21 | 1,09 | 0,96 |
4 | - | - | 2,4 | 2,69 | - | - | 1,22 | 1,14 |
5 | - | - | - | 2,91 | - | - | - | 1,24 |
2 | 1 | 1 | 1 | 1 | 1 | 0,2 | 0,3 | 0,32 | 0,32 |
2 | 0,69 | 0,34 | 0,85 | 1,11 | -0,15 | 0,1 | 0,27 | 0,35 |
3 | - | -0,81 | -0,08 | 0,54 | - | -0,25 | -0,03 | 0,17 |
4 | - | - | -0,93 | -0,38 | - | - | -0,3 | -0,12 |
5 | - | - | - | -1,06 | - | - | - | -0,34 |
3 | 1 | - | 1 | 1 | 1 | - | 0,07 | 0,13 | 0,18 |
2 | - | -1,41 | -0,48 | -0,11 | - | -0,09 | -0,06 | 0,02 |
3 | - | 0,64 | -0,89 | -0,93 | - | 0,04 | -0,12 | -0,17 |
4 | - | - | 0,71 | -0,46 | - | - | 0,1 | -0,08 |
5 | - | - | - | 0,75 | - | - | - | 0,13 |
1 | 1 | 1 | 1 | 1 | 1 | 1 | 0,88 | 0,77 | 0,67 | 0,58 |
2 | 1,25 | 1,33 | 1,36 | 1,39 | 1,1 | 1,02 | 0,91 | 0,82 |
3 | - | 1,5 | 1,62 | 1,71 | - | 1,15 | 1,08 | 1 |
4 | - | - | 1,76 | 1,92 | - | - | 1,18 | 1,12 |
5 | - | - | - | 2,04 | - | - | - | 1,17 |
2 | 1 | 1 | 1 | 1 | 1 | 0,12 | 0,2 | 0,24 | 0,27 |
2 | -0,8 | 0,2 | 0,66 | 0,89 | -0,1 | 0,04 | 0,16 | 0,24 |
3 | - | -0,85 | -0,2 | 0,31 | - | -0,17 | -0,05 | 0,08 |
4 | - | - | -0,9 | -0,44 | - | - | -0,23 | -0,12 |
5 | - | - | - | -0,95 | - | - | - | -0,26 |
3 | 1 | - | 1 | 1 | 1 | - | 0,03 | 0,07 | 0,1 |
2 | - | -1,65 | -0,69 | -0,11 | - | -0,06 | -0,05 | -0,01 |
3 | - | 0,79 | -0,91 | -1,01 | - | 0,02 | -0,06 | -0,1 |
4 | - | - | 0,8 | -0,4 | - | - | 0,05 | -0,04 |
5 | - | - | - | 0,81 | - | - | - | 0,08 |
| | 1 | 1 | 1 | 1 | 1 | 1 | 0,93 | 0,86 | 0,79 | 0,74 |
2 | 1,14 | 1,17 | 1,2 | 1,21 | 1,05 | 1,02 | 0,95 | 0,89 |
3 | - | 1,27 | 1,34 | 1,38 | - | 1,09 | 1,06 | 1,01 |
4 | - | - | 1,41 | 1,49 | - | - | 1,12 | 1,09 |
5 | - | - | - | 1,55 | - | - | - | 1,14 |
2 | 1 | 1 | 1 | 1 | 1 | 0,07 | 0,12 | 0,16 | 0,19 |
2 | -0,89 | 0,12 | 0,55 | 0,78 | -0,05 | 0,01 | 0,09 | 0,15 |
3 | - | -0,9 | -0,28 | 0,18 | - | -0,11 | -0,04 | 0,03 |
4 | - | - | -0,92 | -0,49 | - | - | -0,15 | -0,09 |
5 | - | - | - | -0,94 | - | - | - | -0,18 |
3 | 1 | - | 1 | 1 | 1 | - | 0,02 | 0,04 | 0,06 |
2 | - | -1,8 | -0,82 | -0,2 | - | -0,03 | -0,03 | -0,01 |
3 | - | 0,89 | -0,94 | -1,11 | - | 0,02 | -0,03 | -0,05 |
4 | - | - | 0,88 | -0,4 | - | - | 0,03 | -0,02 |
5 | - | - | - | 0,89 | - | - | - | 0,05 |
0,4 | 0,3 | 1 | 1 | 1 | 1 | 1 | 1 | 0,72 | 0,53 | 0,41 | 0,34 |
2 | 1,64 | 1,83 | 1,92 | 1,96 | 1,17 | 0,97 | 0,8 | 0,66 |
3 | - | 2,32 | 2,63 | 2,8 | - | 1,23 | 1,09 | 0,94 |
4 | - | - | 3,01 | 3,39 | - | - | 1,25 | 1,14 |
5 | - | - | - | 3,7 | - | - | - | 1,25 |
2 | 1 | 1 | 1 | 1 | 1 | 0,28 | 0,36 | 0,34 | 0,31 |
2 | -0,62 | 0,46 | 1,02 | 1,33 | -0,17 | 0,16 | 0,35 | 0,4 |
3 | - | -0,8 | 0,02 | 0,75 | - | -0,29 | 0,01 | 0,23 |
4 | - | - | -1 | -0,36 | - | - | -0,34 | -0,11 |
5 | - | - | - | -1,21 | - | - | - | -0,37 |
3 | 1 | - | 1 | 1 | 1 | - | 0,11 | 0,19 | 0,22 |
2 | - | -1,23 | -0,32 | 0,29 | - | -0,13 | -0,06 | 0,06 |
3 | - | 0,54 | -0,89 | -0,9 | - | 0,06 | -0,17 | -0,2 |
4 | - | - | 0,65 | -0,54 | - | - | 0,12 | -0,12 |
5 | - | - | - | 0,75 | - | - | - | 0,16 |
1 | 1 | 1 | 1 | 1 | 1 | 1 | 0,82 | 0,67 | 0,55 | 0,47 |
2 | 1,38 | 1,51 | 1,57 | 1,6 | 1,13 | 1 | 0,86 | 0,75 |
3 | - | 1,79 | 1,98 | 2,09 | - | 1,19 | 1,09 | 0,98 |
4 | - | - | 2,2 | 2,43 | - | - | 1,21 | 1,14 |
5 | - | - | - | 2,61 | - | - | - | 1,23 |
2 | 1 | 1 | 1 | 1 | 1 | 0,18 | 0,28 | 0,3 | 0,31 |
2 | -0,72 | 0,3 | 0,79 | 1,06 | -0,13 | 0,08 | 0,24 | 0,33 |
3 | - | -0,81 | -0,11 | 0,47 | - | -0,23 | -0,03 | 0,15 |
4 | - | - | -0,92 | -0,4 | - | - | -0,28 | -0,12 |
5 | - | - | - | -1,03 | - | - | - | -0,32 |
3 | 1 | - | 1 | 1 | 1 | - | 0,05 | 0,12 | 0,15 |
| | ИС МЕГАНОРМ: примечание. Значение в шестой графе дано в соответствии с официальным текстом документа. | |
|
| | | 2 | - | -48 | -0,55 | 0,07 | - | -0,08 | -0,06 | 0,01 |
3 | - | 0,69 | -0,88 | -0,97 | - | 0,04 | -0,1 | -0,14 |
4 | - | - | 0,73 | -0,47 | - | - | -0,08 | -0,07 |
5 | - | - | - | 0,78 | - | - | - | 0,12 |
| 1 | 1 | 1 | 1 | 1 | 1 | 0,89 | 0,79 | 0,7 | 0,68 |
2 | 1,22 | 1,29 | 1,33 | 1,35 | 1,08 | 1,02 | 0,92 | 0,83 |
3 | - | 1,45 | 1,56 | 1,63 | - | 1,14 | 1,08 | 1 |
4 | - | - | 1,68 | 1,82 | - | - | 1,16 | 1,12 |
5 | - | - | - | 1,92 | - | - | - | 1,18 |
2 | 1 | 1 | 1 | 1 | 1 | 0,12 | 0,18 | 0,23 | 0,26 |
2 | -0,82 | 0,18 | 0,64 | 0,87 | -0,09 | 0,03 | 0,15 | 0,22 |
3 | - | -0,86 | -0,21 | 0,29 | - | -0,16 | -0,05 | 0,08 |
4 | - | - | -0,9 | -0,45 | - | - | -0,21 | -0,12 |
5 | - | - | - | -0,95 | - | - | - | -0,25 |
3 | 1 | - | 1 | 1 | 1 | - | 0,03 | 0,06 | 0,09 |
2 | - | -1,68 | -0,72 | -0,1 | - | -0,05 | -0,05 | -0,01 |
3 | - | 0,81 | -0,91 | -1,05 | - | 0,02 | -0,06 | -0,1 |
4 | - | - | 0,82 | -0,42 | - | - | 0,05 | -0,04 |
5 | - | - | - | 0,84 | - | - | - | 0,08 |
0,6 | 0,3 | 1 | 1 | 1 | 1 | 1 | 1 | 0,65 | 0,46 | 0,34 | 0,28 |
2 | 1,84 | 2,1 | 2,2 | 2,27 | 1,19 | 0,95 | 0,75 | 0,62 |
3 | - | 2,76 | 3,15 | 3,38 | - | 1,24 | 1,08 | 0,92 |
4 | - | - | 3,66 | 4,18 | - | - | 1,25 | 1,15 |
5 | - | - | - | 4,6 | - | - | - | 1,26 |
2 | 1 | 1 | 1 | 1 | 1 | 0,35 | 0,38 | 0,33 | 0,28 |
2 | -0,55 | 0,58 | 1,21 | 1,56 | -0,19 | 0,22 | 0,4 | 0,43 |
3 | - | -0,81 | 0,12 | 0,99 | - | -0,31 | 0,04 | 0,28 |
4 | - | - | -1,1 | -0,34 | - | - | -0,37 | -0,1 |
5 | - | - | -1,41 | -1,41 | - | - | - | -0,39 |
3 | 1 | - | 1 | 1 | 1 | - | 0,16 | 0,15 | 0,25 |
2 | - | -1,08 | -0,18 | 0,44 | - | -0,17 | -0,03 | 0,11 |
3 | - | 0,46 | -0,89 | -0,86 | - | 0,07 | -0,13 | -0,22 |
4 | - | - | 0,61 | -0,6 | - | - | 0,09 | -0,15 |
5 | - | - | - | -0,75 | - | - | - | 0,19 |
1 | 1 | 1 | 1 | 1 | 1 | 1 | 0,74 | 0,56 | 0,45 | 0,38 |
2 | 1,56 | 1,75 | 1,81 | 1,85 | 1,16 | 0,98 | 0,81 | 0,69 |
3 | - | 2,16 | 2,42 | 2,56 | - | 1,21 | 1,09 | 0,96 |
4 | - | - | 2,74 | 3,07 | - | - | 1,23 | 1,15 |
5 | - | - | - | 3,33 | - | - | - | 1,25 |
2 | 1 | 1 | 1 | 1 | 1 | 0,26 | 0,34 | 0,34 | 0,32 |
2 | -0,64 | 0,42 | 0,91 | 1,22 | -0,16 | 0,14 | 0,31 | 0,39 |
3 | - | -0,8 | -0,03 | 0,64 | - | 0,27 | -0,01 | 0,21 |
4 | - | - | -0,94 | -0,37 | - | - | -0,32 | -0,12 |
5 | - | - | - | -1,13 | - | - | - | -0,36 |
3 | 1 | - | 1 | 1 | 1 | - | 0,1 | 0,17 | 0,2 |
2 | - | -1,29 | -0,46 | -0,17 | - | -0,12 | -0,08 | 0,04 |
3 | - | 0,58 | -0,81 | -0,89 | - | 0,06 | -0,14 | -0,18 |
4 | - | - | 0,65 | -0,48 | - | - | 0,11 | -0,1 |
5 | - | - | - | 0,72 | - | - | - | 0,15 |
| | 1 | 1 | 1 | 1 | 1 | 1 | 0,84 | 0,69 | 0,58 | 0,5 |
2 | 1,34 | 1,46 | 1,51 | 1,54 | 1,12 | 1,01 | 0,88 | 0,72 |
3 | - | 1,7 | 1,87 | 1,97 | - | 1,18 | 1,09 | 0,98 |
4 | - | - | 2,07 | 2,28 | - | - | 1,21 | 1,74 |
5 | - | - | - | 2,44 | - | - | - | 1,22 |
2 | 1 | 1 | 1 | 1 | 1 | 0,16 | 0,26 | 0,29 | 0,31 |
2 | -0,74 | 0,27 | 0,75 | 1,01 | -0,12 | 0,07 | 0,22 | 0,31 |
3 | - | -0,82 | -0,14 | 0,42 | - | -0,21 | -0,04 | 0,13 |
4 | - | - | -0,91 | -0,41 | - | - | -0,26 | -0,13 |
5 | - | - | - | -1 | - | - | - | -0,37 |
3 | 1 | - | 1 | 1 | 1 | - | 0,05 | 0,14 | 0,13 |
2 | - | -1,53 | -0,59 | 0,03 | - | -0,08 | -0,08 | 0 |
3 | - | 0,72 | -0,89 | -0,99 | - | 0,03 | -0,12 | -0,13 |
4 | - | - | 0,75 | -0,45 | - | - | 0,1 | -0,06 |
5 | - | - | - | 0,79 | - | - | - | 0,11 |
| | ИС МЕГАНОРМ: примечание. Значение в шестой графе дано в соответствии с официальным текстом документа. | |
|
1 | 0,3 | 1 | 1 | 1 | 31 | 1 | 1 | 0,58 | 0,38 | 0,27 | 0,22 |
2 | 2,1 | 2,44 | 2,56 | 2,62 | 1,2 | 0,91 | 0,7 | 0,57 |
3 | - | 3,35 | 3,87 | 4,13 | - | 1,25 | 1,06 | 0,9 |
4 | - | - | 4,58 | 5,24 | - | - | 1,26 | 1,14 |
5 | - | - | - | 5,81 | - | - | - | 1,26 |
2 | 1 | 1 | 1 | 1 | 1 | 0,42 | 0,38 | 0,30 | 0,24 |
2 | -0,47 | 0,77 | 1,47 | 1,88 | -0,2 | 0,31 | 0,45 | 0,45 |
3 | - | -0,86 | 0,27 | 1,34 | - | -0,33 | 0,08 | 0,32 |
4 | - | - | 1,27 | -0,32 | - | - | -0,38 | -0,08 |
5 | - | - | - | -1,68 | - | - | - | -0,4 |
3 | 1 | - | 1 | 1 | 1 | - | 0,24 | 0,27 | 0,25 |
2 | - | -0,9 | 0,02 | 0,71 | - | -0,22 | 0,01 | 0,18 |
3 | - | 0,36 | -0,98 | -0,9 | - | 0,08 | -0,27 | -0,23 |
4 | - | - | 0,6 | -0,74 | - | - | 0,16 | -0,19 |
5 | - | - | - | 0,81 | - | - | - | 0,2 |
1 | 1 | 1 | 1 | 1 | 1 | 1 | 0,65 | 0,45 | 0,34 | 0,28 |
2 | 1,85 | 2,11 | 2,2 | 2,25 | 1,2 | 0,95 | 0,76 | 0,63 |
3 | - | 2,75 | 3,12 | 3,31 | - | 1,24 | 1,07 | 0,92 |
4 | - | - | 3,62 | 4,1 | - | - | 1,25 | 1,15 |
5 | - | - | - | 4,5 | - | - | - | 1,26 |
2 | 1 | 1 | 1 | 1 | 1 | 0,35 | 0,37 | 0,32 | 0,27 |
2 | -0,54 | 0,64 | 1,22 | 1,58 | -0,2 | 0,24 | 0,39 | 0,43 |
3 | - | -0,85 | 0,12 | 0,99 | - | -0,31 | 0,04 | 0,27 |
4 | - | - | -1,12 | -0,37 | - | - | -0,36 | -0,1 |
5 | - | - | - | -1,41 | - | - | - | -0,38 |
3 | 1 | - | 1 | 1 | 1 | - | 0,18 | 0,24 | 0,24 |
2 | - | -1,01 | -0,17 | 0,49 | - | -0,19 | -0,04 | 0,12 |
3 | - | 0,41 | -0,91 | -0,91 | - | 0,07 | -0,22 | 0,22 |
4 | - | - | 0,61 | -0,63 | - | - | 0,15 | -0,15 |
5 | - | - | - | 0,78 | - | - | - | 0,19 |
| | 1 | 1 | 1 | 1 | 1 | 1 | 0,73 | 0,54 | 0,43 | 0,36 |
2 | 1,62 | 1,8 | 1,88 | 1,92 | 1,18 | 0,97 | 0,81 | 0,69 |
3 | - | 2,25 | 2,53 | 2,68 | - | 1,22 | 1,09 | 0,95 |
4 | - | - | 2,88 | 3,23 | - | - | 1,24 | 1,15 |
5 | - | - | - | 3,51 | - | - | - | 1,25 |
2 | 1 | 1 | 1 | 1 | 1 | 0,27 | 0,35 | 0,33 | 0,3 |
2 | -0,62 | 0,45 | 1 | 1,31 | -0,18 | 0,16 | 0,33 | 0,4 |
3 | - | -0,8 | 0 | 0,72 | - | -0,28 | 0 | 0,22 |
4 | - | - | -1 | -0,37 | - | - | -0,33 | -0,11 |
5 | - | - | - | -1,2 | - | - | - | -0,36 |
3 | 1 | - | 1 | 1 | 1 | - | 0,11 | 0,18 | 0,2 |
2 | - | -1,25 | -0,35 | 0,28 | - | -0,13 | -0,06 | 0,06 |
3 | - | 0,56 | -0,88 | -0,92 | - | 0,06 | -0,16 | -0,19 |
4 | - | - | 0,65 | -0,55 | - | - | 0,12 | -0,11 |
5 | - | - | - | 0,76 | - | - | - | 0,16 |
2 | 0,3 | 1 | 1 | 1 | 1 | 1 | 1 | 0,43 | 0,23 | 0,16 | 0,12 |
2 | 2,8 | 3,46 | 3,67 | 3,78 | 1,21 | 0,81 | 0,58 | 0,46 |
3 | - | 5,43 | 6,44 | 6,92 | - | 1,25 | 1,02 | 0,84 |
4 | - | - | 7,98 | 9,24 | - | - | 1,27 | 1,12 |
5 | - | - | - | 10,48 | - | - | - | 1,27 |
2 | 1 | 1 | 1 | 1 | 1 | 0,57 | 0,4 | 0,24 | 0,16 |
2 | -0,35 | 1,13 | 2,13 | 2,72 | -0,21 | 0,44 | 0,51 | 0,43 |
3 | - | -0,91 | 0,75 | 2,48 | - | -0,35 | 0,18 | 0,4 |
4 | - | - | -1,71 | -0,12 | - | - | -0,41 | -0,02 |
5 | - | - | - | -2,61 | - | - | - | -0,42 |
3 | 1 | - | 1 | 1 | 1 | - | 0,37 | 0,33 | 0,25 |
2 | - | -0,68 | 0,37 | 1,2 | - | -0,25 | 0,12 | 0,3 |
3 | - | 0,25 | -1,07 | -0,78 | - | 0,1 | -0,35 | -0,2 |
4 | - | - | 0,57 | -1,08 | - | - | 0,39 | -0,27 |
5 | - | - | - | 0,94 | - | - | - | 0,24 |
1 | 1 | 1 | 1 | 1 | 1 | 1 | 0,5 | 0,29 | 0,21 | 0,16 |
2 | 2,44 | 3 | 3,07 | 3,3 | 1,2 | 0,86 | 0,64 | 0,52 |
3 | - | 4,39 | 4,99 | 5,54 | - | 1,25 | 1,04 | 0,87 |
4 | - | - | 6,04 | 7,2 | - | - | 1,26 | 1,13 |
5 | - | - | - | 8,08 | - | - | - | 1,27 |
2 | 1 | 1 | 1 | 1 | 1 | 0,5 | 0,37 | 0,26 | 0,18 |
2 | -0,41 | 1,04 | 1,87 | 2,4 | -0,2 | 0,38 | 0,48 | 0,44 |
3 | - | -0,94 | 0,5 | 1,99 | - | -0,34 | 0,13 | 0,37 |
4 | - | - | -1,53 | -0,24 | - | - | -0,4 | -0,05 |
5 | - | - | - | -2,25 | - | - | - | -0,41 |
3 | 1 | - | 1 | 1 | 1 | - | 0,34 | 0,27 | 0,23 |
2 | - | -0,72 | 0,32 | 1,07 | - | -0,25 | 0,09 | 0,25 |
3 | - | 0,27 | -1,19 | -0,85 | - | 0,09 | -0,32 | -0,2 |
4 | - | - | 0,65 | -1,04 | - | - | 0,17 | -0,24 |
5 | - | - | - | 0,95 | - | - | - | 0,22 |
| | 1 | 1 | 1 | 1 | 1 | 1 | 0,5 | 0,34 | 0,25 | 0,2 |
2 | 2,42 | 2,73 | 2,85 | 2,9 | 1,2 | 0,91 | 0,71 | 0,58 |
3 | - | 3,73 | 4,26 | 4,52 | - | 1,24 | 1,06 | 0,9 |
4 | - | - | 5,03 | 5,7 | - | - | 1,25 | 1,14 |
5 | - | - | - | 6,31 | - | - | - | 1,26 |
2 | 1 | 1 | 1 | 1 | 1 | 0,5 | 0,33 | 0,25 | 0,2 |
2 | -0,41 | 1 | 1,77 | 2,18 | -0,2 | 0,33 | 0,44 | 0,44 |
3 | - | -1 | 0,35 | 1,56 | - | -0,33 | 0,09 | 0,31 |
4 | - | - | -1,5 | -0,34 | - | - | -0,37 | -0,07 |
5 | - | - | - | -1,96 | - | - | - | -0,39 |
3 | 1 | - | 1 | 1 | 1 | - | 0,33 | 0,25 | 0,2 |
2 | - | -0,73 | 0,24 | 1 | - | -0,24 | 0,06 | 0,2 |
3 | - | 0,27 | -1,19 | -1 | - | 0,09 | -0,29 | -0,2 |
4 | - | - | 0,67 | -1 | - | - | 0,17 | -0,2 |
5 | - | - | - | 1 | - | - | - | 0,2 |
4 | 0,3 | 1 | 1 | 1 | 1 | 1 | 1 | 0,27 | 0,13 | 0,09 | 0,07 |
2 | 4,3 | 5,54 | 5,86 | 6,06 | 1,17 | 0,72 | 0,5 | 0,38 |
3 | - | 9,74 | 11,66 | 12,54 | - | 1,25 | 0,99 | 0,79 |
4 | - | - | 14,92 | 17,39 | - | - | 1,27 | 1,1 |
5 | - | - | - | 19,99 | - | - | - | 1,26 |
2 | 1 | 1 | 1 | 1 | 1 | 0,73 | 0,3 | 0,14 | 0,09 |
2 | -0,23 | 1,8 | 3,52 | 4,47 | -0,17 | 0,54 | 0,49 | 0,39 |
3 | - | -1,13 | 1,8 | 4,97 | - | -0,34 | 0,25 | 0,43 |
4 | - | - | -2,85 | 0,25 | - | - | -0,4 | 0,02 |
5 | - | - | - | -4,74 | - | - | - | -0,42 |
3 | 1 | - | 1 | 1 | 1 | - | 0,57 | 0,27 | 0,16 |
2 | - | -0,46 | 0,99 | 2,21 | - | -0,26 | 0,27 | 0,35 |
3 | - | 0,16 | -1,43 | -0,73 | - | 0,09 | -0,39 | -0,12 |
4 | - | - | 0,67 | 1,95 | - | - | 0,18 | -0,31 |
5 | - | - | - | 1,43 | - | - | - | 0,23 |
1 | 1 | 1 | 1 | 1 | 1 | 1 | 0,29 | 0,14 | 0,11 | 0,08 |
2 | 4,15 | 5,57 | 5,15 | 5,29 | 1,17 | 0,77 | 0,56 | 0,44 |
3 | - | 9,04 | 9,29 | 9,92 | - | 1,24 | 1,01 | 0,83 |
4 | - | - | 11,58 | 13,35 | - | - | 1,26 | 1,11 |
5 | - | - | - | 15,18 | - | - | - | 1,26 |
2 | 1 | 1 | 1 | 1 | 1 | 0,71 | 0,19 | 0,14 | 0,1 |
2 | -0,25 | 2,38 | 3,4 | 4,1 | -0,17 | 0,46 | 0,48 | 0,41 |
3 | - | -1,58 | 1,4 | 3,97 | - | -0,31 | 0,3 | 0,39 |
4 | - | - | -2,72 | -0,06 | - | - | -0,38 | -0,01 |
5 | - | - | - | -4,04 | - | - | - | -0,4 |
3 | 1 | - | 1 | 1 | 1 | - | 0,67 | 0,16 | 0,13 |
2 | - | -0,35 | 1,27 | 2,32 | - | -0,23 | 0,21 | 0,3 |
3 | - | 0,11 | -1,98 | -1,05 | - | 0,07 | -0,32 | -0,14 |
4 | - | - | 0,93 | -2,03 | - | - | 0,15 | -0,26 |
5 | - | - | - | 1,6 | - | - | - | 0,21 |
| | 1 | 1 | 1 | 1 | 1 | 1 | 0,27 | 0,18 | 0,14 | 0,11 |
2 | 4,2 | 4,63 | 4,77 | 4,84 | 1,16 | 0,84 | 0,63 | 0,51 |
3 | - | 6,79 | 7,72 | 8,15 | - | 1,23 | 1,03 | 0,87 |
4 | - | - | 9,34 | 10,59 | - | - | 1,24 | 1,12 |
5 | - | - | - | 11,87 | - | - | - | 1,26 |
2 | 1 | 1 | 1 | 1 | 1 | 0,73 | 0,15 | 0,13 | 0,1 |
2 | -0,22 | 2,59 | 3,49 | 4,04 | -0,16 | 0,38 | 0,48 | 0,41 |
3 | - | -1,92 | 1,12 | 3,4 | - | -0,28 | 0,14 | 0,34 |
4 | - | - | -2,82 | -0,34 | - | - | -0,35 | -0,04 |
5 | - | - | - | -3,76 | - | - | - | -0,38 |
3 | 1 | - | 1 | 1 | 1 | - | 0,67 | 0,08 | 0,09 |
2 | - | -0,33 | 1,86 | 2,75 | - | -0,22 | 0,15 | 0,24 |
3 | - | 0,08 | -3,03 | -1,55 | - | 0,05 | -0,25 | -0,13 |
4 | - | - | 1,45 | -2,44 | - | - | 0,12 | -0,21 |
5 | - | - | - | 2,03 | - | - | - | 0,17 |
ПЕРИОДЫ И ФОРМЫ СВОБОДНЫХ ГОРИЗОНТАЛЬНЫХ КОЛЕБАНИЙ
РАМНЫХ, РАМНО-СВЯЗЕВЫХ И СВЯЗЕВЫХ КАРКАСНЫХ
ЗДАНИЙ ВЫСОТОЙ 9 ЭТАЖЕЙ И БОЛЕЕ
Расчетная схема здания высотой 9 этажей и более при расчете на свободные горизонтальные колебания принимается в виде системы с постоянной жесткостью элементов, распределенной по высоте массой m/l, расчетной высотой, равной:

(7.1)
где H0 - расстояние от заделки до оси верхнего яруса здания.
1. Рамные каркасные здания
Период колебаний основного и высших тонов рамного каркаса
(рис. 2.4) определяется по формуле

(i = 1, 2, 3...); (7.2)
где j = 1, 3, 5...;
l - длина стойки (высота этажа);
C
2 - сдвиговая жесткость рамного каркаса, определяемая по формулам
Приложения 2.
Ординаты формы колебаний равны:

(7.3)
где x - координата сечения.
Коэффициент формы колебаний определяется по формуле

(7.4)
Постоянный коэффициент Ai в зависимости от номера тона колебаний определяется по табл. 7.1.
Таблица 7.1
Значения коэффициента Ai
При характеристике жесткости рамного каркаса

[см.
формулу (2.18)] период колебаний основного и высших тонов с учетом продольных деформаций стоек равен:

(7.5)
где a
i - коэффициент, определяемый по графику рис. 7.1 для трех первых тонов (i = 1, 2, 3) в зависимости от характеристики жесткости рамного каркаса

согласно
формуле (2.18).
Рис. 7.1. Графики для определения периода
свободных горизонтальных колебаний основного
и высших тонов рамного каркасного здания
Ординаты формы колебаний X
ik определяются для 10 сечений по высоте по табл. 7.2 в зависимости от характеристики жесткости рамного каркаса

.
При составлении графика (рис. 7.1) и табл. 7.2 расчетная схема рамного каркаса принималась в виде системы с 10 степенями свободы.
Таблица 7.2
Ординаты формы свободных горизонтальных колебаний Xik
рамных каркасных зданий при учете
продольных деформаций стоек
Номер сечения k | Номер тона i | |
0,2 | 0,5 | 1 | 2 | 3 |
1 | 2 | 3 | 4 | 5 | 6 | 7 |
10 | 1 | +0,437 | +0,444 | +0,465 | +0,509 | +0,537 |
2 | -0,426 | -0,429 | -0,433 | -0,43 | -0,423 |
3 | +0,406 | +0,404 | +0,4 | +0,393 | +0,39 |
9 | 1 | +0,426 | +0,43 | +0,442 | +0,466 | +0,479 |
2 | -0,34 | -0,335 | -0,319 | -0,279 | -0,252 |
3 | +0,188 | +0,182 | +0,166 | +0,133 | +0,107 |
8 | 1 | +0,407 | +0,408 | +0,411 | +0,416 | +0,418 |
2 | -0,187 | -0,178 | -0,151 | -0,093 | -0,054 |
3 | -0,13 | -0,136 | -0,152 | -0,182 | -0,204 |
7 | 1 | +0,378 | +0,377 | +0,737 | +0,363 | +0,354 |
2 | +0,002 | +0,012 | +0,041 | +0,099 | +0,141 |
3 | -0,379 | -0,381 | -0,386 | -0,394 | -0,397 |
6 | 1 | +0,341 | +0,338 | +0,329 | +0,307 | +0,29 |
2 | +0,191 | +0,199 | +0,222 | +0,268 | +0,301 |
3 | -0,425 | -0,422 | -0,415 | -0,395 | -0,374 |
5 | 1 | +0,296 | +0,292 | +0,279 | +0,249 | +0,228 |
2 | +0,342 | +0,347 | +0,36 | +0,387 | +0,406 |
3 | -0,245 | -0,239 | -0,223 | -0,187 | -0,153 |
4 | 1 | +0,245 | +0,24 | +0,225 | +0,191 | +0,168 |
2 | +0,426 | +0,427 | +0,43 | +0,438 | +0,442 |
3 | +0,066 | +0,072 | +0,089 | +0,125 | +0,157 |
3 | 1 | +0,188 | +0,184 | +0,169 | +0,135 | +0,113 |
2 | +0,425 | +0,424 | +0,421 | +0,414 | +0,404 |
3 | +0,342 | +0,346 | +0,357 | +0,38 | +0,399 |
2 | 1 | +0,128 | +0,124 | +0,112 | +0,084 | +0,065 |
2 | +0,341 | +0,339 | +0,334 | +0,321 | +0,303 |
3 | +0,436 | +0,437 | +0,441 | +0,449 | +0,452 |
1 | 1 | +0,065 | +0,065 | +0,055 | +0,038 | +0,027 |
2 | +0,189 | +0,188 | +0,185 | +0,174 | +0,159 |
3 | +0,297 | +0,297 | +0,297 | +0,296 | +0,292 |
Примечание. Нумерация сечений ведется снизу вверх.
2. Рамно-связевые каркасные здания
Период колебаний основного и высших тонов рамно-связевого каркаса
(рис. 3.4) равен:

(7.6)
где a
i - коэффициент, определяемый по графику рис. 7.2 для трех первых тонов (i = 1, 2, 3) в зависимости от характеристики жесткости рамно-связевого каркаса

согласно
формуле (3.14);
Bд - суммарная изгибная жесткость диафрагм одного направления в каркасе.
Рис. 7.2. График для определения периода свободных
горизонтальных колебаний основного и высших тонов
рамно-связевого каркасного здания
Ординаты формы колебаний X
ik определяются по табл. 7.3 в зависимости от характеристики жесткости

для 10 сечений по высоте здания.
Таблица 7.3
Ординаты фермы свободных горизонтальных колебаний Xik
рамно-связевых каркасных зданий
Номер сечения k | Номер тона i | |
0,3 | 1 | 2 | 3 | 4 | 5 |
10 | 1 | +1 | +1 | +1 | +1 | +1 | +1 |
2 | -1 | -1 | -1 | -1 | -1 | -1 |
9 | 1 | +0,862 | +0,869 | +0,885 | +0,903 | +0,92 | +0,934 |
2 | -0,524 | -0,532 | -0,553 | -0,58 | -0,609 | -0,637 |
8 | 1 | +0,726 | +0,737 | +0,766 | +0,801 | +0,832 | +0,857 |
2 | -0,071 | -0,084 | -0,118 | -0,16 | -0,203 | -0,244 |
7 | 1 | +0,592 | +0,606 | +0,644 | +0,689 | +0,73 | +0,764 |
2 | +0,316 | +0,302 | +0,266 | +0,224 | +0,184 | +0,148 |
6 | 1 | +0,463 | +0,478 | +0,519 | +0,569 | +0,616 | +0,628 |
2 | +0,588 | +0,577 | +0,548 | +0,518 | +0,494 | +0,476 |
5 | 1 | +0,341 | +0,356 | +0,396 | +0,445 | +0,49 | +0,528 |
2 | +0,713 | +0,705 | +0,688 | +0,676 | +0,672 | +0,677 |
4 | 1 | +0,231 | +0,243 | +0,278 | +0,319 | +0,36 | +0,394 |
2 | +0,683 | +0,68 | +0,674 | +0,677 | +0,692 | +0,714 |
3 | 1 | +0,138 | +0,146 | +0,17 | +0,202 | +0,232 | +0,259 |
2 | +0,526 | +0,525 | +0,528 | +0,54 | +0,563 | +0,593 |
2 | 1 | +0,065 | +0,069 | +0,063 | +0,1 | +0,118 | +0,135 |
2 | +0,301 | +0,302 | +0,307 | +0,319 | +0,338 | +0,363 |
1 | 1 | +0,017 | +0,018 | +0,023 | +0,028 | +0,034 | +0,04 |
2 | +0,094 | +0,093 | +0,096 | +0,101 | +0,109 | +0,119 |
Примечание. Нумерация сечений ведется снизу вверх.
При значении характеристики жесткости рамного каркаса

[см.
формулу (2.18)] следует учитывать влияние продольных деформаций стоек согласно
п. 4 настоящего приложения.
3. Диафрагмы с проемами зданий связевой конструкции
Период колебаний основного и высших тонов определяется по формуле

(7.7)
где a
i - коэффициент, определяемый по графику
рис. 7.3 для трех первых тонов в зависимости от характеристики жесткости диафрагмы

согласно
формуле (3.24) и коэффициента, учитывающего продольные деформации простенков v
2 согласно
формуле (3.29);
Bп - суммарная изгибная жесткость всех простенков диафрагм.
Рис. 7.3. Графики для определения периода
свободных горизонтальных колебаний основного
и высших тонов диафрагм с проемами
Ординаты формы колебаний Xik определяются по табл. 7.4 для 10 сечений по высоте здания.
При составлении графика (см. рис. 7.3) и табл. 7.4 расчетная схема диафрагмы с проемами принималась в виде дискретной системы с 10 степенями свободы.
Таблица 7.4
Ординаты формы свободных горизонтальных
колебаний диафрагм с проемами Xik
Номер сечения k | Номер тона i | | |
v2 = 1 | v2 = 1,1 | v2 = 1,2 | v2 = 1,3 | v2 = 1 | v2 = 1,1 | v2 = 1,2 | v2 = 1,3 |
1 | 2 | 3 | 4 | 5 | 6 | 7 | 8 | 9 | 10 |
10 | 1 | +0,571 | +0,572 | +0,572 | +0,573 | +0,554 | +0,558 | +0,562 | +0,564 |
2 | -0,494 | -0,493 | -0,492 | -0,491 | -0,51 | -0,506 | -0,503 | -0,502 |
3 | +0,403 | +0,403 | +0,403 | +0,403 | +0,407 | +0,406 | +0,405 | +0,405 |
9 | 1 | +0,494 | +0,495 | +0,495 | +0,495 | +0,487 | +0,489 | +0,491 | +0,492 |
2 | -0,212 | -0,211 | -0,211 | -0,210 | -0,227 | -0,222 | -0,219 | -0,217 |
3 | -0,023 | -0,023 | -0,023 | -0,023 | -0,016 | -0,017 | -0,018 | -0,019 |
8 | 1 | +0,418 | +0,418 | +0,418 | +0,417 | +0,42 | +0,419 | +0,419 | +0,419 |
2 | +0,049 | +0,05 | +0,05 | +0,05 | +0,037 | +0,042 | +0,045 | +0,047 |
3 | -0,323 | -0,323 | -0,322 | -0,322 | -0,32 | -0,32 | -0,321 | -0,321 |
7 | 1 | +0,342 | +0,342 | +0,341 | +0,341 | +0,351 | +0,348 | +0,347 | +0,345 |
2 | +0,251 | +0,252 | +0,253 | +0,253 | +0,236 | +0,24 | +0,243 | +0,245 |
3 | -0,406 | -0,406 | -0,415 | -0,415 | -0,4 | -0,4 | -0,4 | -0,4 |
6 | 1 | +0,269 | +0,268 | +0,267 | +0,267 | +0,281 | +0,278 | +0,275 | +0,274 |
2 | +0,387 | +0,388 | +0,389 | +0,39 | +0,37 | +0,373 | +0,375 | +0,376 |
3 | -0,236 | -0,235 | -0,218 | -0,218 | -0,255 | -0,253 | -0,252 | -0,251 |
5 | 1 | +0,199 | +0,198 | +0,198 | +0,197 | +0,213 | +0,209 | +0,207 | +0,205 |
2 | +0,441 | +0,441 | +0,443 | +0,443 | +0,432 | +0,434 | +0,435 | +0,436 |
3 | +0,076 | +0,076 | +0,067 | +0,067 | +0,071 | +0,073 | +0,074 | +0,075 |
4 | 1 | +0,136 | +0,135 | +0,135 | +0,134 | +0,149 | +0,145 | +0,143 | +0,141 |
2 | +0,408 | +0,408 | +0,408 | +0,408 | +0,409 | +0,409 | +0,409 | +0,409 |
3 | +0,362 | +0,363 | +0,357 | +0,357 | +0,356 | +0,356 | +0,357 | +0,357 |
3 | 1 | +0,081 | +0,081 | +0,08 | +0,08 | +0,091 | +0,088 | +0,086 | +0,085 |
2 | +0,314 | +0,313 | +0,313 | +0,312 | +0,319 | +0,319 | +0,318 | +0,318 |
3 | +0,473 | +0,474 | +0,477 | +0,477 | +0,472 | +0,472 | +0,473 | +0,473 |
2 | 1 | +0,038 | +0,038 | +0,038 | +0,038 | +0,044 | +0,042 | +0,041 | +0,04 |
2 | +0,182 | +0,182 | +0,181 | +0,181 | +0,191 | +0,19 | +0,189 | +0,189 |
3 | +0,361 | +0,361 | +0,366 | +0,366 | +0,361 | +0,362 | +0,362 | +0,362 |
1 | 1 | +0,01 | +0,01 | +0,01 | +0,01 | +0,012 | +0,011 | +0,011 | +0,011 |
2 | +0,058 | +0,058 | +0,056 | +0,056 | +0,062 | +0,061 | +0,061 | +0,061 |
3 | +0,143 | +0,143 | +0,143 | +0,143 | +0,148 | +0,148 | +0,148 | +0,148 |
Примечание. Нумерация сечений ведется снизу вверх.
Продолжение табл. 7.4
Номер сечения k | Номер тона i | | |
v2 = 1 | v2 = 1,1 | v2 = 1,2 | v2 = 1,3 | v2 = 1 | v2 = 1,1 | v2 = 1,2 | v2 = 1,3 |
1 | 2 | 11 | 12 | 13 | 14 | 15 | 16 | 17 | 18 |
10 | 1 | +0,534 | +0,547 | +0,554 | +0,559 | +0,515 | +0,541 | +0,551 | +0,557 |
2 | -0,516 | -0,505 | -0,498 | -0,495 | -0,518 | -0,505 | -0,497 | -0,491 |
3 | +0,419 | +0,416 | +0,415 | +0,414 | +0,427 | +0,422 | +0,417 | +0,417 |
9 | 1 | +0,479 | +0,484 | +0,487 | +0,489 | +0,47 | +0,481 | +0,486 | +0,489 |
2 | -0,25 | -0,237 | -0,229 | -0,225 | -0,268 | -0,244 | -0,233 | -0,227 |
3 | -0,01 | -0,016 | -0,009 | -0,01 | +0,001 | -0,006 | -0,011 | -0,005 |
8 | 1 | +0,421 | +0,42 | +0,419 | +0,419 | +0,421 | +0,42 | +0,419 | +0,419 |
2 | +0,008 | +0,016 | +0,016 | +0,021 | -0,023 | +0,009 | +0,017 | +0,016 |
3 | -0,318 | -0,32 | -0,339 | -0,34 | -0,312 | -0,318 | -0,317 | -0,338 |
7 | 1 | +0,36 | +0,354 | +0,35 | +0,348 | +0,367 | +0,356 | +0,352 | +0,349 |
2 | +0,21 | +0,223 | +0,235 | +0,239 | +0,189 | +0,213 | +0,222 | +0,234 |
3 | -0,411 | -0,404 | -0,403 | -0,402 | -0,413 | -0,413 | -0,407 | -0,404 |
6 | 1 | +0,295 | +0,286 | +0,281 | +0,278 | +0,307 | +0,291 | +0,283 | +0,279 |
2 | +0,357 | +0,373 | +0,376 | +0,379 | +0,348 | +0,356 | +0,373 | +0,376 |
3 | -0,253 | -0,256 | -0,241 | -0,239 | -0,264 | -0,258 | -0,261 | -0,264 |
5 | 1 | +0,229 | +0,219 | +0,213 | +0,209 | +0,243 | +0,224 | +0,216 | +0,211 |
2 | +0,436 | +0,435 | +0,433 | +0,434 | +0,425 | +0,439 | +0,436 | +0,434 |
3 | +0,054 | +0,062 | +0,045 | +0,047 | +0,034 | +0,049 | +0,053 | +0,038 |
4 | 1 | +0,164 | +0,154 | +0,149 | +0,145 | +0,177 | +0,159 | +0,151 | +0,147 |
2 | +0,408 | +0,411 | +0,423 | +0,423 | +0,414 | +0,415 | +0,415 | +0,426 |
3 | +0,355 | +0,353 | +0,38 | +0,391 | +0,332 | +0,34 | +0,348 | +0,386 |
3 | 1 | +0,103 | +0,095 | +0,091 | +0,089 | +0,114 | +0,1 | +0,093 | +0,08 |
2 | +0,319 | +0,321 | +0,319 | +0,319 | +0,328 | +0,326 | +0,327 | +0,324 |
3 | +0,452 | +0,455 | +0,459 | +0,41 | +0,463 | +0,462 | +0,453 | +0,438 |
2 | 1 | +0,051 | +0,047 | +0,044 | +0,043 | +0,058 | +0,05 | +0,046 | +0,044 |
2 | +0,194 | +0,189 | +0,179 | +0,178 | +0,197 | +0,199 | +0,194 | +0,183 |
3 | +0,369 | +0,366 | +0,343 | +0,353 | +0,367 | +0,366 | +0,368 | +0,355 |
1 | 1 | +0,014 | +0,013 | +0,012 | +0,012 | +0,017 | +0,014 | +0,013 | +0,012 |
2 | +0,059 | +0,06 | +0,054 | +0,053 | +0,063 | +0,062 | +0,062 | +0,055 |
3 | +0,145 | +0,163 | +0,163 | +0,142 | +0,14 | +0,138 | +0,165 | +0,143 |
Продолжение табл. 7.4
Номер сечения k | Номер тона i | | |
v2 = 1 | v2 = 1,1 | v2 = 1,2 | v2 = 1,3 | v2 = 1 | v2 = 1,1 | v2 = 1,2 | v2 = 1,3 |
1 | 2 | 19 | 20 | 21 | 22 | 23 | 24 | 25 | 26 |
10 | 1 | +0,501 | +0,559 | +0,552 | +0,558 | +0,49 | +0,54 | +0,554 | +0,56 |
2 | -0,531 | -0,497 | -0,492 | -0,492 | -0,521 | -0,491 | -0,485 | -0,488 |
3 | +0,437 | +0,423 | +0,42 | +0,418 | +0,436 | +0,442 | +0,421 | +0,417 |
9 | 1 | +0,463 | +0,48 | +0,486 | +0,489 | +0,457 | +0,48 | +0,487 | +0,49 |
2 | -0,265 | -0,248 | -0,234 | -0,244 | -0,294 | -0,245 | -0,233 | -0,222 |
3 | -0,002 | +0,001 | -0,004 | +0,013 | +0,004 | -0,006 | 0 | -0,009 |
8 | 1 | +0,421 | +0,42 | +0,419 | +0,419 | +0,42 | +0,42 | +0,419 | +0,418 |
2 | -0,043 | -0,005 | +0,017 | +0,024 | -0,061 | -0,01 | +0,014 | +0,026 |
3 | -0,29 | -0,311 | -0,316 | -0,312 | -0,285 | -0,323 | -0,313 | -0,308 |
7 | 1 | +0,372 | +0,357 | +0,351 | +0,348 | +0,375 | +0,356 | +0,35 | +0,347 |
2 | +0,171 | +0,204 | +0,219 | +0,228 | +0,156 | +0,2 | +0,216 | +0,226 |
3 | -0,4 | -0,414 | -0,414 | -0,409 | -0,388 | -0,422 | -0,415 | -0,41 |
6 | 1 | +0,316 | +0,292 | +0,283 | +0,278 | +0,322 | +0,291 | +0,281 | +0,277 |
2 | +0,324 | +0,359 | +0,361 | +0,37 | +0,324 | +0,352 | +0,359 | +0,368 |
3 | -0,283 | -0,268 | -0,262 | -0,262 | -0,319 | -0,263 | -0,269 | -0,266 |
5 | 1 | +0,254 | +0,226 | +0,215 | +0,21 | +0,262 | +0,225 | +0,214 | +0,208 |
2 | +0,418 | +0,434 | +0,443 | +0,436 | +0,42 | +0,438 | +0,445 | +0,435 |
3 | -0,009 | +0,03 | +0,044 | +0,043 | -0,004 | +0,031 | +0,035 | +0,035 |
4 | 1 | +0,188 | +0,161 | +0,151 | +0,146 | +0,197 | +0,161 | +0,15 | +0,145 |
2 | +0,411 | +0,421 | +0,419 | +0,418 | +0,416 | +0,425 | +0,422 | +0,419 |
3 | +0,317 | +0,331 | +0,336 | +0,345 | +0,341 | +0,334 | +0,334 | +0,336 |
3 | 1 | +0,123 | +0,102 | +0,094 | +0,09 | +0,131 | +0,102 | +0,093 | +0,089 |
2 | +0,338 | +0,334 | +0,33 | +0,331 | +0,337 | +0,339 | +0,334 | +0,336 |
3 | +0,475 | +0,458 | +0,462 | +0,468 | +0,423 | +0,451 | +0,452 | +0,468 |
2 | 1 | +0,064 | +0,051 | +0,046 | +0,044 | +0,07 | +0,051 | +0,046 | +0,043 |
2 | +0,22 | +0,201 | +0,202 | +0,201 | +0,206 | +0,21 | +0,204 | +0,207 |
3 | +0,37 | +0,367 | +0,369 | +0,361 | +0,407 | +0,345 | +0,382 | +0,367 |
1 | 1 | +0,019 | +0,014 | +0,013 | +0,012 | +0,021 | +0,015 | +0,013 | +0,012 |
2 | +0,075 | +0,064 | +0,064 | +0,066 | +0,067 | +0,066 | +0,069 | +0,069 |
3 | +0,145 | +0,162 | +0,14 | +0,149 | +0,126 | +0,14 | +0,134 | +0,154 |
Продолжение табл. 7.4
Номер сечения k | Номер тона i | | |
v2 = 1 | v2 = 1,1 | v2 = 1,2 | v2 = 1,3 | v2 = 1 | v2 = 1,1 | v2 = 1,2 | v2 = 1,3 |
1 | 2 | 27 | 28 | 29 | 30 | 31 | 32 | 33 | 34 |
10 | 1 | +0,481 | +0,543 | +0,556 | +0,562 | +0,469 | +0,549 | +0,561 | +0,566 |
2 | -0,517 | -0,484 | -0,476 | -0,479 | -0,494 | -0,472 | -0,459 | -0,474 |
3 | +0,436 | +0,444 | +0,419 | +0,417 | +0,442 | +0,416 | +0,433 | +0,408 |
9 | 1 | +0,453 | +0,481 | +0,488 | +0,491 | +0,447 | +0,485 | +0,49 | +0,492 |
2 | -0,302 | -0,243 | -0,232 | -0,225 | -0,311 | -0,238 | -0,228 | -0,221 |
3 | +0,3 | -0,001 | +0,005 | -0,002 | +0,953 | +0,028 | -0,055 | +0,01 |
8 | 1 | +0,419 | +0,42 | +0,419 | +0,418 | +0,418 | +0,419 | +0,418 | +0,418 |
2 | -0,076 | -0,009 | +0,006 | +0,023 | -0,108 | -0,009 | +0,005 | +0,023 |
3 | -0,293 | -0,319 | -0,307 | -0,312 | -0,329 | -0,292 | -0,238 | -0,306 |
7 | 1 | +0,377 | +0,355 | +0,349 | +0,346 | +0,379 | +0,352 | +0,347 | +0,344 |
2 | +0,141 | +0,194 | +0,215 | +0,224 | +0,104 | +0,199 | +0,203 | +0,227 |
3 | -0,385 | -0,423 | -0,414 | -0,414 | -0,388 | -0,411 | -0,361 | -0,415 |
6 | 1 | +0,327 | +0,29 | +0,279 | +0,275 | +0,332 | +0,285 | +0,276 | +0,272 |
2 | +0,314 | +0,351 | +0,367 | +0,366 | +0,287 | +0,344 | +0,357 | +0,372 |
3 | -0,331 | -0,27 | -0,274 | -0,267 | -0,245 | -0,311 | -0,304 | -0,281 |
5 | 1 | +0,268 | +0,223 | +0,212 | +0,207 | +0,277 | +0,218 | +0,208 | +0,203 |
2 | +0,414 | +0,439 | +0,443 | +0,447 | +0,405 | +0,447 | +0,45 | +0,44 |
3 | -0,019 | +0,02 | +0,021 | +0,039 | -0,092 | +0,006 | -0,011 | +0,045 |
4 | 1 | +0,204 | +0,16 | +0,148 | +0,143 | +0,214 | +0,155 | +0,145 | +0,141 |
2 | +0,42 | +0,428 | +0,427 | +0,422 | +0,434 | +0,43 | +0,432 | +0,425 |
3 | +0,328 | +0,327 | +0,33 | +0,334 | +0,163 | +0,294 | +0,195 | +0,329 |
3 | 1 | +0,138 | +0,101 | +0,092 | +0,088 | +0,148 | +0,098 | +0,089 | +0,085 |
2 | +0,345 | +0,344 | +0,338 | +0,334 | +0,372 | +0,351 | +0,354 | +0,34 |
3 | +0,418 | +0,449 | +0,455 | +0,453 | +0,438 | +0,461 | +0,493 | +0,442 |
2 | 1 | +0,074 | +0,05 | +0,045 | +0,043 | +0,082 | +0,050 | +0,044 | +0,042 |
2 | +0,213 | +0,216 | +0,203 | +0,205 | +0,239 | +0,221 | +0,223 | +0,204 |
3 | +0,409 | +0,348 | +0,387 | +0,37 | +0,449 | +0,4 | +0,454 | +0,392 |
1 | 1 | +0,023 | +0,015 | +0,013 | +0,012 | +0,026 | +0,014 | +0,012 | +0,012 |
2 | +0,068 | +0,069 | +0,067 | +0,065 | +0,084 | +0,078 | +0,073 | +0,067 |
3 | +0,127 | +0,139 | +0,137 | +0,176 | +0,22 | +0,134 | +0,207 | +0,172 |
Продолжение табл. 7.4
Номер сечения k | Номер тона i | | |
v2 = 1 | v2 = 1,1 | v2 = 1,2 | v2 = 1,3 | v2 = 1 | v2 = 1,1 | v2 = 1,2 | v2 = 1,3 |
1 | 2 | 35 | 36 | 37 | 38 | 39 | 40 | 41 | 42 |
10 | 1 | +0,46 | +0,554 | +0,565 | +0,569 | +0,455 | +0,558 | +0,567 | +0,571 |
2 | -0,463 | -0,448 | -0,461 | -0,459 | -0,479 | -0,453 | -0,461 | -0,46 |
3 | +0,566 | +0,454 | +0,462 | +0,439 | +0,479 | +0,426 | +0,452 | +0,435 |
9 | 1 | +0,448 | +0,488 | +0,492 | +0,494 | +0,443 | +0,49 | +0,493 | +0,494 |
2 | -0,341 | -0,243 | -0,232 | -0,222 | -0,33 | -0,235 | -0,229 | -0,22 |
3 | -0,012 | -0,03 | -0,092 | -0,069 | +0,124 | +0,033 | -0,064 | -0,061 |
8 | 1 | +0,417 | +0,419 | +0,418 | +0,418 | +0,420 | +0,419 | +0,418 | +0,418 |
2 | -0,125 | -0,012 | +0,018 | +0,019 | -0,105 | -0,001 | +0,023 | +0,023 |
3 | -0,33 | -0,276 | -0,25 | -0,264 | -0,33 | -0,337 | -0,278 | -0,272 |
7 | 1 | +0,38 | +0,349 | +0,344 | +0,343 | +0,379 | +0,347 | +0,343 | +0,342 |
2 | +0,089 | +0,194 | +0,217 | +0,219 | +0,084 | +0,197 | +0,222 | +0,224 |
3 | -0,417 | -0,395 | -0,38 | -0,362 | -0,39 | -0,373 | -0,390 | -0,364 |
6 | 1 | +0,334 | +0,28 | +0,273 | +0,27 | +0,335 | +0,277 | +0,271 | +0,268 |
2 | +0,278 | +0,344 | +0,364 | +0,369 | +0,232 | +0,359 | +0,367 | +0,371 |
3 | -0,313 | -0,252 | -0,358 | -0,279 | -0,344 | -0,269 | -0,338 | -0,275 |
5 | 1 | +0,28 | +0,213 | +0,204 | +0,201 | +0,283 | +0,21 | +0,202 | +0,199 |
2 | +0,399 | +0,447 | +0,451 | +0,452 | +0,384 | +0,437 | +0,449 | +0,45 |
3 | +0,01 | -0,048 | +0,063 | +0,007 | -0,077 | -0,052 | +0,087 | +0,015 |
4 | 1 | +0,22 | +0,151 | +0,142 | +0,138 | +0,224 | +0,147 | +0,14 | +0,137 |
2 | +0,44 | +0,436 | +0,43 | +0,427 | +0,433 | +0,436 | +0,431 | +0,425 |
3 | +0,264 | +0,202 | +0,365 | +0,219 | +0,214 | +0,261 | +0,335 | +0,225 |
3 | 1 | +0,154 | +0,094 | +0,087 | +0,084 | +0,159 | +0,092 | +0,085 | +0,083 |
2 | +0,38 | +0,364 | +0,343 | +0,346 | +0,388 | +0,361 | +0,341 | +0,346 |
3 | +0,358 | +0,457 | +0,426 | +0,488 | +0,393 | +0,46 | +0,411 | +0,477 |
2 | 1 | +0,088 | +0,048 | +0,043 | +0,041 | +0,093 | +0,046 | +0,041 | 0 |
2 | +0,251 | +0,233 | +0,233 | +0,207 | +0,211 | +0,296 | +0,229 | +0,208 |
3 | +0,293 | +0,465 | +0,329 | +0,47 | +0,377 | +0,429 | +0,378 | +0,462 |
1 | 1 | +0,03 | +0,014 | +0,012 | +0,011 | +0,032 | +0,013 | +0,012 | +0,011 |
2 | +0,093 | +0,084 | +0,069 | +0,071 | +0,126 | +0,091 | +0,068 | +0,07 |
3 | +0,123 | +0,173 | +0,128 | +0,127 | +0,169 | +0,163 | +0,13 | +0,181 |
Продолжение табл. 7.4
Номер сечения k | Номер тона i | |
v2 = 1 | v2 = 1,1 | v2 = 1,2 | v2 = 1,3 |
1 | 2 | 43 | 44 | 45 | 46 |
10 | 1 | +0,451 | +0,562 | +0,569 | +0,572 |
2 | -0,453 | -0,426 | -0,463 | -0,463 |
3 | +0,442 | +0,281 | +0,432 | +0,42 |
9 | 1 | +0,44 | +0,491 | +0,494 | +0,495 |
2 | -0,343 | -0,247 | -0,227 | -0,218 |
3 | +0,166 | +0,134 | -0,042 | -0,049 |
8 | 1 | +0,417 | +0,418 | +0,418 | +0,417 |
2 | -0,154 | -0,029 | +0,027 | +0,027 |
3 | -0,252 | -0,149 | -0,267 | -0,255 |
7 | 1 | +0,383 | +0,346 | +0,342 | +0,341 |
2 | +0,079 | +0,211 | +0,23 | +0,230 |
3 | -0,501 | -0,46 | -0,425 | -0,392 |
6 | 1 | +0,337 | +0,274 | +0,269 | +0,267 |
2 | +0,254 | +0,363 | +0,369 | +0,373 |
3 | -0,33 | -0,345 | -0,301 | -0,264 |
5 | 1 | +0,285 | +0,206 | +0,201 | +0,198 |
2 | +0,385 | +0,457 | +0,449 | +0,451 |
3 | -0,063 | -0,057 | +0,073 | +0,02 |
4 | 1 | +0,227 | +0,144 | +0,138 | +0,135 |
2 | +0,436 | +0,448 | +0,428 | +0,421 |
3 | +0,222 | +0,266 | +0,33 | +0,236 |
3 | 1 | +0,163 | +0,089 | +0,084 | +0,082 |
2 | +0,404 | +0,349 | +0,338 | +0,343 |
3 | +0,39 | +0,486 | +0,422 | +0,475 |
2 | 1 | +0,097 | +0,045 | +0,041 | +0,039 |
2 | +0,266 | +0,212 | +0,203 | +0,206 |
3 | +0,351 | +0,435 | +0,395 | +0,452 |
1 | 1 | +0,035 | +0,013 | +0,011 | +0,011 |
2 | +0,108 | +0,069 | +0,067 | +0,069 |
3 | +0,161 | +0,227 | +0,144 | +0,216 |
4. Каркасные здания сложной конструктивной схемы
К каркасам сложной конструктивной схемы отнесены рамно-связевые каркасы высотой 9 этажей и более, имеющие диафрагмы с проемами
(рис. 7.4, а), рамно-связевые каркасы при учете влияния продольных деформаций колонн
(рис. 7.4, б), а также связевые каркасы, имеющие в своем составе диафрагмы с разным числом рядов проемов
(рис. 7.4, в), диафрагмы сплошные в сочетании с проемными
(рис. 7.4, г) и др.
Рис. 7.4. Расчетные схемы каркасных
зданий сложной конструктивной схемы
а - рамно-связевая при диафрагмах с проемами; б - то же,
при учете продольных деформаций колонн; в - связевые
при диафрагмах с разным числом проемов; г - связевые
при сочетании сплошных диафрагм и диафрагм с проемами
Для расчета свободных колебаний таких каркасов расчетная схема принимается в виде соответствующей системы с ограниченным числом степеней свободы

. При этом распределенная по высоте масса разбивается на n равных участков и сосредоточивается в центре тяжести каждого участка. Сосредоточенная масса равна:

(7.8)
Верхняя масса M расположена от заделки на расстоянии, равном:

(7.9)
Стерженьки связей между вертикальными несущими элементами в расчетных схемах располагаются в уровне сосредоточенных масс (см.
рис. 7.4). Поскольку в расчетной схеме жесткости перемычек и ригелей считаются по высоте распределенными, смещение стерженька связи относительно уровня какого-либо перекрытия допустимо.
Усилия Zj в связях между вертикальными несущими элементами от горизонтальной единичной силы P = 1 определяются из решения системы уравнений:

(7.10)
Единичные перемещения статически определимой основной системы, образованной разрезом связей, и при нагрузке P = 1, приложенной к первому вертикальному элементу, равны:

(7.11)

(7.12)

(7.13)
где

;

;

;

;

- перемещения первого (второго) вертикального несущего элемента от горизонтальных единичных сил, определяемые по формулам
Приложений 2 и
3.
Единичные перемещения расчетной схемы равны:

(7.14)
По найденным перемещениям

составляют симметричную матрицу

(7.15)
и по стандартным программам на ЭЦВМ определяют собственные значения

, а также собственные векторы характеристической матрицы X
ik. Периоды колебаний основного и высших тонов при этом равны:

(i = 1, 2, 3). (7.16)
УЧЕТ ПОДАТЛИВОСТИ ОСНОВАНИЯ ПРИ ОПРЕДЕЛЕНИИ
ПЕРИОДОВ И ФОРМ СВОБОДНЫХ ГОРИЗОНТАЛЬНЫХ КОЛЕБАНИЙ
ЗДАНИЙ ВЫСОТОЙ 9 ЭТАЖЕЙ И БОЛЕЕ
Податливость основания оказывает влияние на основной тон свободных горизонтальных колебаний рамных, рамно-связевых и связевых каркасных зданий.
1. Рамные каркасные здания (см.
рис. 2.4)
Период колебаний основного тона с учетом податливости основания можно определить по формуле

(8.1)
где C
2 - сдвиговая жесткость рамного каркаса, определяемая по
формуле (2.16);
B
0р - изгибная жесткость рамного каркаса, определяемая по
формуле (2.19);
Bф - суммарная угловая жесткость основания;

(8.2)

- коэффициент постели при неравномерном сжатии основания;
Jф - суммарный момент инерции площади подошвы крайних левых Fл и крайних правых Fп фундаментов стоек рамного каркаса:

(8.3)
здесь b - расстояние между осями крайних фундаментов стоек.
Ординаты формы колебаний основного тона можно определять по формуле

(8.4)
где xk - расстояние от основания до уровня k.
Коэффициент формы колебаний основного тона

(8.5)
Период колебаний основного тона с учетом податливости основания

(8.6)
где a
1 - коэффициент, определяемый по графику
рис. 8.1 в зависимости от характеристики жесткости рамно-связевого каркаса

согласно
формуле (3.14) и коэффициента K
ф, равного:

(8.7)
Bд - суммарная изгибная жесткость диафрагм;
Bф - суммарная угловая жесткость основания диафрагм;

(8.8)
здесь Jф - суммарный момент инерции площади подошвы фундаментов диафрагм.
Рис. 8.1. График для определения периода
свободных колебаний основного тона с учетом податливости
основания рамно-связевого каркасного здания
Ординаты форм колебаний основного тона определяются по
формуле (8.4), коэффициент формы колебаний основного тона - по
формуле (8.5).
3. Диафрагмы с проемами зданий связевой конструкции
Период колебаний основного тона с учетом податливости основания

(8.9)
где a
1 - коэффициент, определяемый по графику
рис. 8.2 в зависимости от характеристики жесткости диафрагмы с проемами

согласно
формуле (3.24), коэффициента K
ф согласно
формуле (8.7) и коэффициента, учитывающего влияние продольных деформаций простенков диафрагмы v
2, согласно
формуле (3.29);
Bд - жесткость диафрагмы (по сечению с проемами).
а)
б)
Рис. 8.2. График для определения периода
свободных колебаний основного тона с учетом податливости
основания диафрагм с проемами зданий связевой конструкции
а - при v2 = 1,1; б - при v2 = 1,2
4. Сплошные диафрагмы зданий связевой конструкции
Период колебаний основного тона сплошной диафрагмы с учетом податливости основания определяется по формуле

(8.10)
где a
1 - коэффициент, определяемый по графику рис. 8.3 в зависимости от коэффициента K
ф согласно
формуле (8.7).
Рис. 8.3. График для определения периода
свободных колебаний основного тона с учетом податливости
основания сплошных диафрагм зданий связевой конструкции
Ординаты формы колебаний основного тона и коэффициент формы определяются по
формулам (8.4) и
(8.5).
ОПРЕДЕЛЕНИЕ РАСЧЕТНОЙ СЕЙСМИЧЕСКОЙ НАГРУЗКИ
С УЧЕТОМ КРУТИЛЬНЫХ КОЛЕБАНИЙ МНОГОЭТАЖНОГО ЗДАНИЯ
Для зданий с каркасом рамной системы длиной более 60 м, у которых центр массы совпадает с центром жесткости, сейсмическая нагрузка распределяется следующим образом:
а) 80% от общей нагрузки составляет горизонтальная сейсмическая нагрузка;
б) остальная часть нагрузки создает крутящий момент, равный:

(9.1)
где L - протяженность здания в плане.
Этот крутящий момент распределяется между несущими конструкциями здания по формуле

(9.2)
где Cka - жесткость рассматриваемой конструкции a в уровне k;
la - расстояние от центра жесткости k-го этажа до рассматриваемой конструкции;

- угловая горизонтальная жесткость сооружения в уровне k-го перекрытия;

(9.3)
здесь

и

- жесткости каждой вертикальной конструкции в уровне k соответственно в продольном и поперечном направлении;
lxa и lya - расстояние каждой вертикальной конструкции соответственно до продольной и поперечной осей, проведенных через центр жесткости здания.
Для зданий, у которых центр тяжести не совпадает с центром жесткости (при этом одна из проекций эксцентриситета равна нулю), максимальное значение расчетной сейсмической нагрузки, представленной в виде силы и момента соответствующих i-му тону свободных колебаний, определяется по формулам:

(9.4)

(9.5)
где Kс - коэффициент сейсмичности;

- коэффициент динамичности;

- приведенная вертикальная нагрузка (вес массы), принятая сосредоточенной в точке k:

(9.6)
здесь Qk - вертикальная нагрузка, принятая сосредоточенной в точке k;
ek - эксцентриситет между центром массы и центром жесткости здания в точке k;
Rk - радиус вращения точки k при свободных колебаниях систем;

- приведенный момент инерции масс, расположенных в точке k:

(9.7)
J0 - полярный момент инерции перекрытия относительно центра тяжести;
F - площадь перекрытия;

- коэффициент, зависящий от формы деформаций сооружения при его свободных колебаниях по i-й форме и от места расположения нагрузки:

(9.8)
Xik и Xij - отклонения сооружения при свободных поступательных колебаниях в рассматриваемой точке k и во всех точках j (в соответствии с расчетной схемой принята сосредоточенной его масса);
Qj - вертикальная нагрузка (вес массы), принятая сосредоточенной в точке j;
ej - эксцентриситет между центром массы и центром жесткости здания в точке j;
Rj - радиус вращения точки j при свободных колебаниях здания;

- момент инерции масс относительно центра тяжести, расположенных в точке j:

(9.9)
Радиус вращения определяется по формуле

(9.10)
где

;

(9.11)

(9.12)

(9.13)
m - масса, равномерно распределенная по высоте.
ОПРЕДЕЛЕНИЕ РАСЧЕТНОЙ СЕЙСМИЧЕСКОЙ НАГРУЗКИ С УЧЕТОМ
ПРОСТРАНСТВЕННОЙ РАБОТЫ ДЛЯ КАРКАСНЫХ ЗДАНИЙ
РАМНОЙ И РАМНО-СВЯЗЕВОЙ КОНСТРУКТИВНЫХ СХЕМ
А. Расчет каркасных зданий рамной конструктивной схемы
с учетом пространственных форм колебаний
Расчет распространяется на симметричные в плане здания, у которых центры масс и жесткости совпадают (рис. 10.1).
Рис. 10.1. План и поперечный разрез каркасного здания
рамной конструктивной схемы
Определение сейсмических нагрузок, соответствующих
поступательным формам собственных
колебаний здания (рис. 10.2)
Определение единичных перемещений поперечных рам

производится по формулам
Приложения 2 в соответствии с конструктивной схемой.
Рис. 10.2. Поступательные формы колебаний здания
и консольная расчетная схема
Обобщенные жесткости поперечных рам с постоянными по высоте погонными жесткостями стоек, ригелей и одинаковыми поэтажными массами определяются по следующей формуле:
для рам, у которых

,
для рам, у которых

,
для рам с заполнением
h - расчетная высота этажа;
s, r - суммарные погонные жесткости соответственно стоек и ригелей поперечных рам одного этажа;
f - величина, характеризующая общую жесткость на сдвиг заполнения яруса.
Ординаты трех форм колебаний определяются по
формуле (4.9). Постоянные множители, с точностью до которых определяются формы собственных колебаний, подобраны таким образом, чтобы ординаты форм были одновременно коэффициентами

.
Формулой (10.1) можно пользоваться и для многоэтажных зданий (n > 6), если массы верхнего и первого этажей отличаются от масс остальных этажей не более чем на 20 - 30%.
Жесткости и ординаты форм колебаний поперечных рам (с заполнением и без него) с разными по высоте погонными жесткостями стоек, ригелей и неодинаковыми поэтажными массами определяются методом последовательных приближений по следующим формулам:

(v = 1, 2, ..., i - 1; i = 1, 2, 3); (10.2)

(k = 1, 2, ..., n); (10.3)

(10.4)

(k = 1, 2, ..., n); (10.5)
где Xi(xk) - ординаты i-й формы собственных колебаний поперечных рам в уровне k-го перекрытия;

- жесткости поперечных рам в уровне k-го перекрытия;
mk - массы на единицу длины здания в уровне перекрытия k-го этажа;
u - номер последовательного приближения.
В качестве первого приближения для форм колебаний поперечных рам принимаются значения ординат [X
i(x
k)]
1, определяемые по
формуле (4.9) в соответствии с этажностью здания n и номером формы i.
Если расчеты выполняются для i = 1, то коэффициент

и последовательные приближения осуществляются с использованием только
формул (10.4) и
(10.5).
Для ускорения процесса последовательных приближений <1> каждый новый цикл должен начинаться со следующего значения жесткости:
--------------------------------
<1> Процесс заканчивается, если

; обычно это наступает после 4 - 5 циклов вычислений.
Частоты и периоды, соответствующие ij-й форме собственных колебаний здания, определяются по формулам (10.6) и (10.7):

(10.6)

(i = 1, 2, 3; j = 1), (10.7)
| | ИС МЕГАНОРМ: примечание. В официальном тексте документа, видимо, допущена опечатка: формулы (15.2) - (15.5) отсутствуют. Возможно, имеются в виду формулы (10.2) - (10.5). | |
L - длина здания в осях.
Коэффициент динамичности

равен:

(10.8)
Коэффициенты форм определяются по формуле
где

(10.9)
qz = mzg;
g - ускорение силы земного тяготения;
t - число поперечных рам.
| | ИС МЕГАНОРМ: примечание. В официальном тексте документа, видимо, допущена опечатка: таблицы 9.3 - 9.5 отсутствуют. | |
Для зданий, имеющих регулярную структуру по высоте и приблизительно одинаковые массы

, коэффициенты

принимаются по табл. 9.3 - 9.5.
Коэффициенты формы

равны единице (консольная расчетная схема).
Интенсивности сейсмических нагрузок в уровне k-го перекрытия вычисляются по формуле

(i = 1, 2, 3; j = 1), (10.10)
где K
с - расчетный коэффициент сейсмичности, принимаемый в соответствии с действующими нормами (глава
СНиП II-А.12-69).
Сейсмические нагрузки на поперечную раму в уровне k-го перекрытия равны:

(i = 1, 2, 3; j = 1). (10.11)
Определение сейсмических нагрузок, соответствующих
крутильным формам собственных колебаний зданий
(рис. 10.3)
Частоты и периоды, соответствующие ij-й форме собственных колебаний здания, определяются по формулам:

(10.12)

(i = 1, 2, 3; j = 2), (10.13)
где F, Jp - площадь здания в плане и ее полярный момент инерции относительно геометрического центра;
ar - расстояния от крайней левой оси здания до осей поперечных рам (r = 1, 2, ..., t).
Рис. 10.3. Крутильные формы колебаний здания
и пространственная расчетная схема
Коэффициенты форм

вычисляются по
формуле (10.9) <*>, а коэффициенты форм

- по приведенным ниже формулам:

(10.14)
где

- коэффициент, определяемый по графику рис. 10.4 в зависимости от отношения длины здания L к скорости c распространения сейсмических волн (поперечных) в грунте;
yp - расстояния от крайней левой оси здания до сечений перекрытия, расположенных через 0,1L (p = 0, 1, 2, ..., 10).
--------------------------------
<*> Формы колебаний вертикальных элементов при поступательных и крутильных колебаниях совпадают.
Рис. 10.4. График для определения коэффициентов

и

, учитывающих неравномерность
поля колебаний грунта вдоль здания
Интенсивности сейсмических нагрузок в уровне k-го перекрытия равны:

(p = 0, 1, ..., 10; i = 1, 2, 3; j = 2). (10.15)
Сейсмические нагрузки на поперечные рамы в уровне k-го перекрытия равны:

(i = 1, 2, 3; j = 2; r = 1, 2, ..., t). (10.16)
Определение сейсмических нагрузок, соответствующих изгибным
Жесткости рам каркаса (с заполнением и без него) и ординаты форм колебаний определяются методом последовательных приближений по следующим формулам:

(v = 1, 2, ..., i - 1; i = 1, 2, 3); (10.17)

(k = 1, 2, ..., n); (10.18)

(10.19)

(10.20)

(10.21)
Рис. 10.5. Изгибные формы колебаний здания
и пространственная расчетная схема
В качестве первого приближенного значения ординат [X
i(x
z)] принимаются ординаты, вычисленные по
формулам (10.2) и
(10.5).
Начальные значения жесткости

при высоте здания до 9 этажей вычисляются по формуле

(10.22)
При количестве этажей n > 9 жесткость

равна:

(10.23)
Частоты и периоды, соответствующие ij-й форме собственных колебаний здания, вычисляются по формулам:

(10.24)

(i = 1, 2, 3; j = 3), (10.25)
где J - момент инерции поперечного сечения перекрытия относительно вертикальной оси (при изгибе перекрытия в своей плоскости);

- условный модуль упругости, учитывающий сборность железобетонных перекрытий, выполненных из панелей (принимается на основании эксперимента);
E - нормативный модуль упругости бетона монолитного перекрытия.

(10.26)
где

- коэффициент, определяемый по графику
рис. 10.4 в зависимости от отношения длины здания к скорости распространения сейсмических волн (поперечных) в грунте;
Vj(yp) - ординаты изгибной формы колебаний перекрытий, принимаемые по табл. 10.1.
| | ИС МЕГАНОРМ: примечание. Нумерация таблиц дана в соответствии с официальным текстом документа. | |
Таблица 10.1
Формы собственных колебаний перекрытий
vj(yp) |
| | 1 | 2 | 3 | 4 | 5 | 6 | 7 | 8 | 9 | 10 | 11 | 12 |
| |
0 | 1 | 1 | 1 | 1 | 1 | 1 | 1 | 1 | 1 | 1 | 1 | 1 |
0,1 | 1 | 0,8 | 0,537 | 0,228 | -0,056 | -0,294 | -0,483 | -0,608 | -0,66 | -0,638 | -0,547 | -0,397 |
0,2 | 1 | 0,6 | 0,097 | -0,398 | -0,642 | -0,601 | -0,305 | -0,119 | 0,504 | 0,663 | 0,634 | 0,322 |
0,3 | 1 | 0,4 | -0,272 | -0,662 | -0,396 | 0,23 | 0,675 | 0,573 | 0 | -0,572 | -0,672 | -0,219 |
0,4 | 1 | 0,2 | -0,52 | -0,483 | 0,328 | 0,7 | 0,111 | -0,63 | -0,5 | 0,321 | 0,698 | 0,11 |
0,5 | 1 | 0 | -0,607 | 0 | 0,712 | 0 | -0,707 | 0 | 0,707 | 0 | -0,707 | 0 |
0,6 | 1 | -0,2 | -0,52 | 0,483 | 0,328 | -0,7 | 0,111 | 0,63 | -0,5 | -0,321 | 0,698 | -0,11 |
0,7 | 1 | -0,4 | -0,272 | 0,662 | -0,396 | -0,23 | 0,675 | -0,573 | 0 | 0,572 | -0,672 | 0,219 |
0,8 | 1 | -0,6 | 0,097 | 0,398 | -0,642 | 0,601 | -0,305 | -0,119 | 0,504 | -0,663 | 0,634 | -0,322 |
0,9 | 1 | -0,8 | 0,537 | -0,228 | -0,056 | 0,294 | -0,483 | 0,608 | -0,66 | 0,638 | -0,547 | 0,397 |
1 | 1 | 1 | 1 | -1 | 1 | -1 | -1 | 1 | -1 | -1 | 1 | -1 |
Интенсивности сейсмических нагрузок на перекрытие в уровне k-го этажа равны:

(10.27)
Сейсмические нагрузки на поперечные рамы в уровне перекрытия k-го этажа определяются по формуле

(10.28)
Б. Расчет каркасных зданий рамно-связевой конструктивной
схемы с учетом изгиба и поворота перекрытия в плане
Определение единичных перемещений поперечных рам производится по формулам
Приложения 2 в соответствии с конструктивной схемой.
Единичные перемещения сплошных (без проемов) вертикальных диафрагм с номером s определяются по формуле

(10.29)
где K - коэффициент, учитывающий зависимость деформаций конструкции при сдвиге от формы и размеров сечения (см.
Приложение 13); для прямоугольных сечений K = 1,2;
xkxz - координаты по высоте диафрагм, соответствующие k-му и z-му уровням;
E(s)J(s), G(s)F(s) - изгибная и сдвиговая жесткости сплошной диафрагмы с номером s;
Cx, Cz - коэффициенты упругого равномерного сжатия и сдвига основания (грунта) диафрагмы;
F0, J0 - площадь (в плане) фундамента диафрагмы и момент инерции этой площади относительно оси, параллельной короткой стороне фундамента.
Сплошная (без проемов) диафрагма (рис. 10.6)
Рис. 10.6. Расчетная схема для определения
жесткостей опор сплошной диафрагмы
При высоте здания до 9 этажей жесткости

определяются способом последовательных приближений по формулам:

(10.30)

(10.31)

(10.32)

(10.33)
где

- ординаты i-й формы собственных колебаний диафрагмы в уровне k-го перекрытия.
При высоте здания 9 этажей и выше жесткости упругих опор определяются по формуле

(10.34)
где

- коэффициент, определяемый по графику рис. 10.7 в зависимости от величины

, равной:

,

- коэффициенты, равные при количестве этажей n = 10:

;

; при n >= 13

;

; при n = 11 и n = 12 определяются по линейной интерполяции.
Рис. 10.7. График для определения
коэффициента

для сплошной диафрагмы
Ординаты форм собственных колебаний

вертикальных диафрагм определяются по формуле

(10.35)
Комбинированная диафрагма (рис. 10.8)
Рис. 10.8. Расчетная схема для определения
жесткостей опор комбинированной диафрагмы
Жесткости

рамо-диафрагмы определяются по формуле

(10.36)
где a
i - коэффициент, определяемый по графику
рис. 8.1 в зависимости от параметра диафрагмы

, коэффициента податливости основания

и номера тона колебаний i;
E(s)J(s) - изгибная жесткость сплошной части диафрагмы.
Диафрагмы с проемами (рис. 10.9)
Рис. 10.9. Расчетная схема для определения
жесткостей опор диафрагм с проемами
Жесткости упругих опор диафрагм с проемами определяются по формуле

(10.37)
где EJ(s) - жесткость диафрагмы в сечении по проемам;
a
i - коэффициент, определяемый по графикам
рис. 7.3 и
8.2 в зависимости от коэффициента

, податливости основания

, характеристики жесткости диафрагмы

и номера тона колебаний i.
Расчетные формулы для определения параметров

и

приведены в
Приложении 5.
Частотный параметр

определяется способом последовательных приближений из частотного определителя:

(10.38)
Порядок выполнения последовательных приближений следующий.
1. Записывается спектр

основной системы метода сил (каркас здания с отделенными от него вертикальными диафрагмами), показанной на рис. 10.10:

(10.39)
где

- частотные параметры основной системы, принимаемые по
табл. 10.2.
Рис. 10.10. Основная система метода сил (каркас здания
с отделенными от него вертикальными диафрагмами)
Таблица 10.2
Собственные числа

для перекрытий
| 1 | 2 | 3 | 4 | 5 | 6 |
| 0 | 0 | 2,365 | 3,925 | 5,5 | 7,0685 |
| 0 | 0 | 31,284 | 237,34 | 915,06 | 2496,4 |
Продолжение табл. 10.2
| 7 | 8 | 9 | 10 | 11 | 12 |
| 8,6395 | 10,210 | 11,781 | 13,352 | 14,922 | 16,493 |
| 5571,3 | 10866 | 19263 | 31784 | 49582 | 73995 |
2. Выполняется отделение корней заданной системы. Так как первый интервал

спектра (10.39) не содержит корней заданной системы, то исследуется второй интервал

.
Начальное значение параметра

принимается несколько меньше верхней границы второго интервала

.
3. По формуле (10.40) для принятого значения

вычисляются единичные перемещения

перекрытия в уровне первого этажа

(10.40)
где

- ординаты форм собственных колебаний перекрытий в основной системе, принимаемые по
табл. 10.1;
n1 - число учитываемых в расчете форм собственных колебаний перекрытий в основной системе;
dr, ds - расстояния от крайней левой оси здания до осей диафрагм жесткости с номерами r и s <*>.
--------------------------------
<*> Если расстояния dr и ds не совпадают с yp, то их следует округлять до ближайшего значения yp.
4. Вычисленные перемещения

подставляются в частотное
уравнение (10.38), которое раскрывается по схеме Гаусса (табл. 10.3), где R
ij(d
s) - усилия взаимодействия между каркасом и вертикальными диафрагмами жесткости.
Таблица 10.3
N | Rj(d1) | Rj(d2) | Rj(d3) | | |
1 | | a12 | a13 | | |
1 | - | | | | |
2 | - | a22 | a23 | | |
I·a12 | - | | | | |
| | | | | |
II | - | - | | | |
3 | - | - | a33 | | |
I·a13 | - | - | | | |
| - | - | | | |
| - | - | | | |
- | - | - | - | - | - |
| - | - | - | | |
| | | | | |
| | | | | |
| | | | | |
5. Среди главных коэффициентов a
11,

, ...,

определяется число отрицательных.
Если окажется, что число отрицательных главных коэффициентов

и т.д., то во втором интервале не содержится искомого частотного параметра

и нужно переходить к исследованию третьего интервала

.
В общем случае, если в интервале

содержится j-й искомый параметр

, то должно соблюдаться равенство

(10.41)
После выяснения интервала, в котором находится параметр

, уточняется его значение. В качестве второго приближения параметра

принимается следующее значение:
Если при этом окажется, что

, то дальнейший процесс последовательных приближений идет влево; если же

, то вправо.
Описанный выше процесс продолжается до тех пор, пока последующее значение

не будет отличаться от предыдущего на величину, наперед заданную (например, 0,01 или 0,001).
В некоторых случаях искомый частотный параметр

заданной системы может оказаться близким к одному из частотных параметров

основной системы.
Следующий прием позволяет установить номер искомого частотного параметра

и тот узкий интервал

, в котором он находится.
Предположим, что при

и

имеется соответственно

и

отрицательных главных коэффициентов. Тогда
Если

или

, то в интервале нет искомого частотного параметра. Если же

, то частотный параметр в интервале есть и его номер равен

.
В иных случаях может оказаться, что в исследуемом интервале

основной системы находится не один, а два частотных параметра заданной системы. Так, например, второй интервал основной системы будет содержать

и

, если

. Любой частотный параметр, находящийся в интервале с номером

, можно выделить, руководствуясь следующим общим правилом:
Усилия R
ij(d
s) взаимодействия между вертикальными диафрагмами и каркасом определяются путем использования обратного хода в схеме Гаусса, составленной для
определителя (10.38), где единичные перемещения

вычислены с учетом найденного значения

<*>. При использовании обратного хода последнее неизвестное

принимается равным единице.
--------------------------------
| | ИС МЕГАНОРМ: примечание. В официальном тексте документа, видимо, допущена опечатка: таблица 15.3 отсутствует. Возможно, имеется в виду таблица 10.3. | |
<*> Если параметр

является искомым, то в схеме Гаусса
(табл. 15.3) последний главный коэффициент

должен быть равен нулю.

(10.42)
Жесткости поперечных рам

в уровне перекрытия первого этажа и формы собственных колебаний этих рам X
i(x
k) (рис. 10.11) определяются способом последовательных приближений по
формулам (10.17) -
(10.20), где

(10.43)
Рис. 10.11. Расчетная схема для определения
жесткостей упругих опор поперечных рам
Частоты собственных колебаний здания вычисляются по формуле

(10.44)
| | ИС МЕГАНОРМ: примечание. В официальном тексте документа, видимо, допущена опечатка: формула (15.8) отсутствует. Возможно, имеется в виду формула (10.8). | |
Коэффициент динамичности

определяется по
формулам (15.8) в зависимости от периода

(10.45)
Ординаты форм Vij(xk, yp) собственных колебаний здания определяются по формулам:
в уровне перекрытия первого этажа

(10.46)
в уровне перекрытия k-го этажа

(10.47)
Интенсивность сейсмической нагрузки sij(xk, yp) в p-м сечении перекрытий:
в уровне перекрытия k-го этажа

(10.48)
в уровне перекрытия

этажа

(10.49)
Коэффициенты форм

вычисляются по формуле

(10.50)
Функция F(y) в формуле (10.50) равна:

(10.51)
Интегральные выражения в формуле (10.50) вычисляются с помощью приближенного суммирования:

(10.52)

(10.53)
Сейсмическая нагрузка на раму в уровне k-го этажа

(10.54)
Сейсмические нагрузки на все рамы в уровне k-го этажа

(10.55)
Сейсмическая нагрузка на вертикальную диафрагму в уровне k-го этажа

(10.56)
Полная сейсмическая нагрузка в уровне k-го этажа

(10.57)
Сейсмические нагрузки на k-е перекрытие показаны на рис. 10.12.
Рис. 10.12. Сейсмические нагрузки на k-е перекрытие,
определенные с учетом пространственной работы
ОПРЕДЕЛЕНИЕ УСИЛИЯ ОТ РАСЧЕТНЫХ СЕЙСМИЧЕСКИХ НАГРУЗОК,
ОТВЕЧАЮЩИХ ОСНОВНОМУ И ВЫСШИМ ТОНАМ КОЛЕБАНИЙ, В ЭЛЕМЕНТАХ
РАМНО-СВЯЗЕВЫХ КАРКАСНЫХ ЗДАНИЙ ВЫСОТОЙ 9 ЭТАЖЕЙ И БОЛЕЕ
1. Определение усилий от расчетной сейсмической нагрузки,
отвечающей основному тону колебаний
Расчетная распределенная сейсмическая нагрузка, отвечающая первому тону колебаний многоэтажных каркасных зданий (рис. 11.1) - рамных, рамно-связевых, связевых, для определения усилий заменяется распределенной треугольной нагрузкой, эквивалентной по изгибающему моменту в основании. При этом интенсивность распределенной треугольной нагрузки вверху равна:

(11.1)
где M - изгибающий момент в основании консольной балки от расчетной (фактической) сейсмической нагрузки;
Рис. 11.1. Схемы распределения сейсмической нагрузки,
отвечающей первому тону колебаний
многоэтажных каркасных зданий
а - рамных; б - рамно-связевых; в - связевых;
г - расчетная сейсмическая нагрузка
Усилия в элементах от расчетной сейсмической нагрузки в виде одной сосредоточенной силы (рис. 11.2) определяются по формулам
п. 2 данного приложения.
Рис. 11.2. Схема сосредоточенных сейсмических сил,
отвечающих первому тону колебаний
В элементах рамно-связевого каркаса (см.
рис. 3.4, а) от распределенной треугольной нагрузки усилия можно определить по формулам:
изгибающий момент диафрагмы в основании

(11.2)
изгибающий момент диафрагмы в сечениях по высоте

(11.3)

(11.4)
суммарная поперечная сила стоек рам в сечениях по высоте

(11.5)

(11.6)

(11.7)
где

- характеристика жесткости рамно-связевого каркаса, определяемая по
формуле (3.14);
При характеристике жесткости рамного каркаса

[см.
формулу (2.18)] усилия от распределенной треугольной нагрузки с учетом продольных деформаций стоек можно определить по формулам:
изгибающий момент диафрагмы в основании

(11.8)
изгибающий момент диафрагмы в сечениях по высоте

(11.9)
суммарная поперечная сила стоек рам в сечениях по высоте

(11.10)

(11.11)
где

- характеристика жесткости рамно-связевого каркаса при учете продольных деформаций стоек, определяемая по
формуле (3.20);

- коэффициент, учитывающий влияние продольных деформаций стоек рам; определяется по
формуле (3.21);
Изгибающие моменты, вычисленные по
формулам (11.2),
(11.3),
(11.8) и
(11.9), распределяются между отдельными диафрагмами рамно-связевого каркаса пропорционально их жесткостям:

(11.12)
Поперечная сила диафрагмы в основании

(11.13)
распределяется между отдельными диафрагмами рамно-связевого каркаса пропорционально их жесткостям:

(11.14)
Изгибающие моменты стоек и ригелей рам рамно-связевого каркаса могут определяться по суммарной поперечной силе Q
р по
формулам (11.5) и
(11.10) в соответствии с рекомендациями настоящего руководства.
Суммарная продольная сила крайних стоек рам рамно-связевого каркаса определяется по формуле

(11.15)
где b - расстояние между осями крайних стоек.
В элементах рамно-связевого каркаса при комбинированных диафрагмах с рамной частью
(рис. 3.4, б) изгибающие моменты диафрагмы M
д и суммарная поперечная сила стоек каркаса и рамной части диафрагмы Q
р определяется по
формулам (11.2) -
(11.5), но значение s
2 в этом случае принимается по
формуле (3.16). При этом суммарная поперечная сила стоек рам каркаса

(11.16)
Изгибающие моменты стоек рамной части диафрагмы

(11.17)
опорный момент ригеля рамной части по грани диафрагмы

(11.18)
опорный момент ригеля рамной части по оси стойки

(11.19)

(11.20)

(11.21)
где iр, iс - погонные жесткости ригеля и стойки рамной части диафрагмы;
В элементах диафрагмы с проемами
(рис. 3.5) усилия от распределенной треугольной нагрузки можно определить по формулам:
изгибающий момент простенков диафрагмы в основании

(11.22)
изгибающий момент простенков диафрагмы в сечениях по высоте

(11.23)
где

- характеристика жесткости диафрагмы с проемами определяется по
формуле (3.24);
v
2 - коэффициент, учитывающий влияние продольных деформаций простенков диафрагм; определяется по
формуле (3.29);
Изгибающие моменты Mд распределяются между отдельными простенками пропорционально их жесткостям:

(11.24)
Максимальная поперечная сила простенков диафрагмы в основании

(11.25)
распределяется между отдельными простенками пропорционально их жесткостям:

(11.26)
Продольные силы крайних простенков диафрагмы определяются по
формуле (11.5), при этом
b - расстояние между осями центров тяжести сечений крайних простенков диафрагмы.
Опорный момент перемычек (по грани простенков)

(11.27)
где k - число рядов проемов диафрагмы;
2. Определение усилий от расчетной сейсмической нагрузки,
отвечающей высшим тонам колебаний
Расчетная распределенная сейсмическая нагрузка, отвечающая высшим тонам колебаний многоэтажных каркасных зданий, для определения усилий разбивается на отдельные участки и заменяется сосредоточенными силами, приложенными в центрах тяжести этих участков (рис. 11.3). Расчетная сейсмическая нагрузка в каркасах сложной конструктивной схемы определяется согласно
Приложению 7 непосредственно в виде сосредоточенных сил.
Рис. 11.3. Схемы расчетной сейсмической нагрузки,
отвечающей высшим тонам колебаний
многоэтажных каркасных зданий
В элементах рамно-связевого каркаса от сосредоточенной силы P, приложенной в сечении с координатой по высоте x
k (см.
рис. 3.4, а), усилия можно определить по формулам:
а) в сечениях xi <= xk
изгибающий момент диафрагмы

(11.28)

(11.29)
суммарная поперечная сила стоек рамы

(11.30)

(11.31)
б) в сечениях xi >= xk
изгибающий момент диафрагмы

(11.32)

(11.33)
суммарная поперечная сила стоек рамы

(11.34)

(11.35)
При характеристике жесткости рамного каркаса

[см.
формулу (2.18)] усилия от сосредоточенной силы с учетом продольных деформаций стоек можно определить по формулам:
а) в сечениях xi <= xk
изгибающий момент диафрагмы

(11.36)
суммарная поперечная сила стоек рамы

(11.37)
б) в сечениях xi >= xk
изгибающий момент диафрагмы

(11.38)
суммарная поперечная сила стоек рамы

(11.39)
Изгибающие моменты и поперечные силы диафрагмы распределяются между отдельными диафрагмами рамно-связевого каркаса пропорционально их жесткости по
формулам (11.12) и
(11.14).
Суммарная продольная сила крайних стоек рам рамно-связевого каркаса определяется по
формуле (11.15). При этом в сечениях x
i <= x
k принимается
M0 = -P(xk - xi),
а в сечениях xi >= xk принимается M0 = 0.
В элементах рамно-связевого каркаса при комбинированных диафрагмах с рамной частью (см.
рис. 3.4, б) изгибающие моменты диафрагмы M
д и суммарная поперечная сила стоек Q
р определяются по
формулам (11.28) -
(11.35), но значение s
2 в этом случае принимается по
формуле (3.16). Суммарная поперечная сила стоек рам каркаса Q
р.к определяется по
формуле (11.16).
а) в сечениях xi <= xk

(11.40)
б) в сечениях xi >= xk

(11.41)
В элементах диафрагмы с проемами связевых каркасов от сосредоточенной силы P, приложенной в сечении с координатой по высоте x
k (рис. 3.5), усилия можно определить по формулам:
а) в сечениях xi <= xk
изгибающий момент простенков диафрагмы

(11.42)
для отдельных простенков
опорный момент перемычек (по грани простенков)

(11.43)
продольная сила простенков

(11.44)
б) в сечениях xi >= xk
изгибающий момент простенков диафрагмы

(11.45)
для отдельных простенков
опорный момент перемычек по грани простенков

(11.46)
продольная сила простенков

(11.47)
ПРИМЕР РАСЧЕТА 4-ЭТАЖНОГО КАРКАСНОГО ЗДАНИЯ
С КИРПИЧНЫМ ЗАПОЛНЕНИЕМ
1. Общие указания по методике расчета каркасного здания
с каменным или кирпичным заполнением
Настоящая методика расчета предполагает учет повреждений заполнения каркаса при действии расчетного сейсмического воздействия (согласно
п. 2.7 Руководства), что приводит, как правило, к снижению расчетных величин сейсмических сил в сравнении с расчетными сейсмическими силами на каркас, вычисляемыми без учета повреждения заполнения. При расчете несущей способности здания несущая способность кладки заполнения не учитывается; расчетные сейсмические силы передаются только на каркас.
Панели заполнения каркаса предполагаются связанными с каркасом таким образом, что обеспечивается совместимость деформирования элементов каркаса и заполнения. Заполнение должно быть связано с каркасом в соответствии с требованиями Руководства (
пп. 3.53 и
3.54).
Вычисление расчетных сейсмических сил рекомендуется производить в следующем порядке:
а) устанавливается сейсмичность строительной площадки и расчетная сейсмичность здания;
б) определяются периоды и формы свободных колебаний каркаса со стеновым заполнением;
в) определяется коэффициент динамичности

;
г) определяются периоды и формы свободных колебаний каркаса без учета жесткости стенового заполнения (при этом масса стенового заполнения учитывается);
д) по величине отношения периода свободных колебаний каркаса, вычисленного без учета и с учетом жесткости стенового заполнения по
табл. 4 настоящего Руководства, определяется поправочный множитель

к величине коэффициента динамичности

, учитывающий повреждение заполнения;
е) вычисляется значение

коэффициента динамичности с учетом повреждений заполнения:

(12.1)
ж) вычисляются расчетные сейсмические силы Sk на уровнях перекрытий по формуле

(12.2)
где

- коэффициент, определяющий форму деформации здания при его свободных колебаниях:
здесь Xk и Xj - ординаты формы свободных горизонтальных колебаний каркаса без учета жесткости заполнения (масса заполнения учитывается).
При расчете элементов каркаса на прочность следует производить проверку прочности опорных участков стоек и ригелей на поперечную силу, передаваемую панелями заполнения. Горизонтальная поперечная сила Tс в опорных частях стоек, передаваемая панелью заполнения, вычисляется по формуле

(12.3)
где Rср - расчетное сопротивление кладки срезу по шву (касательное сцепление);
f - коэффициент внутреннего трения по швам кладки (для сплошного кирпича и сплошных камней f = 0,56; для многодырчатого кирпича f = 0);
li и di - соответственно длина и толщина панели;

- отношение длины панели к высоте:

;

- коэффициент, учитывающий влияние проемов для глухих панелей

; при наличии проемов - по формуле

(12.4)
применимой при следующих ограничениях

; l
пр <= 0,6l
i; h
пр <= 0,65h
i,
здесь lпр и hпр - соответственно ширина и высота проема;
hi - высота панели заполнения.
Вертикальная поперечная сила, передаваемая панелью заполнения на ригели рамы в их опорных сечениях, определяется по формуле

(12.5)
2. Пример расчета <1>
--------------------------------
<1> Составлен по исходным данным "Примера расчета многоэтажного каркасного здания со стеновым заполнением и без него на сейсмические воздействия и указания к примеру расчета". Госстройиздат, 1961.
А. Конструктивная схема здания
Четырехэтажное гражданское каркасное здание предназначено для строительства в районе сейсмичностью 8 баллов. Фасад, план и разрез его, а также отдельные детали конструкций изображены на рис. 12.1.
Рис. 12.1. Фасад, план, разрез и детали конструкций
Основной несущей конструкцией здания является монолитный железобетонный каркас, выполняемый из бетона марки 200. Перекрытия запроектированы из сборных многопустотных настилов, опирающихся на ригели поперечных рам и замоноличиваемых при монтаже. Стеновое заполнение и перегородки выполняются из дырчатого кирпича марки 75 на растворе марки 50. Фундаменты ленточные, железобетонные. Кровля здания металлическая по деревянным стропилам.
Здание разделено посередине деформационным швом на два отсека. Производится расчет одного отсека.
Б. Вес и масса здания
Расчетные величины веса частей здания приведены в табл. 12.1. При подсчете приняты коэффициенты сочетания, согласно
п. 2.3 Руководства.
Таблица 12.1
Расчетные величины веса частей,
принятые сосредоточенными в уровнях перекрытий
Наименование конструкции и нагрузок | Вес в т |
А. В уровне чердачного перекрытия: | |
кровля | 26 |
перекрытие | 310 |
каркас на высоту половины этажа | 136 |
перегородки | 39 |
заполнение наружных продольных стен | 77 |
заполнение торцовой стены | 17 |
нагрузка от снега | 78 |
полезная нагрузка | 32 |
| Q4 = 715 |
Б. В уровне междуэтажных перекрытий третьего и второго этажей: | |
перекрытие | 224 |
каркас на высоту этажа | 170 |
перегородки | 78 |
заполнение наружных продольных стен | 92 |
заполнение торцовой стены | 34 |
полезная нагрузка | 130 |
| Q3 = Q2 = 728 |
В. В уровне перекрытия над первым этажом: | |
перекрытие | 224 |
каркас на высоту этажа | 189 |
перегородки | 93 |
заполнение наружных продольных стен | 104 |
заполнение торцовой стены | 39 |
полезная нагрузка | 130 |
| Ql = 779 |
Соответствующие вычисленным весам массы равны:
В. Жесткость элементов каркаса и заполнения
Подсчет погонных жесткостей элементов каркаса приведен в табл. 12.2.
Таблица 12.2
Погонные жесткости элементов каркаса
Наименование элемента | Сечение в см | J в см4 | EJ в кГ·см2 | Погонная жесткость в кГ·см |
Стойки среднего ряда первого этажа в обоих направлениях l1 = 4,3 м | 50 x 50 | 52,1·104 | 15,1·1010 | 35,2·107 |
То же, в вышележащих этажах l2 = 3,6 м | 40 x 40 | 21,3·104 | 6,2·1010 | 17,2·107 |
Стойки наружных рядов первого этажа в поперечном направлении l1 = 4,3 м | 55 x 45 | 41,7·104 | 12,1·1010 | 28,2·107 |
То же, в вышележащих этажах l2 = 3,6 м | 50 x 35 | 17,9·104 | 5,2·1010 | 14,4·107 |
Стойки наружных рядов первого этажа в продольном направлении l1 = 4,3 м | 45 x 55 | 62,4·104 | 18,1·1010 | 42·107 |
То же, в вышележащих этажах l2 = 3,6 м | 35 x 50 | 36,4·104 | 10,6·1010 | 29,5·107 |
Поперечный ригель lкр = 6,4 м | 25 x 55 | 34,7·104 | 10,1·1010 | 15,8·107 | | 25,8·107 |
Плита перекрытия | - | 22·104 | 6,4·1010 | 10·107 |
Поперечный ригель lскр = 3 м | 22 x 35 | 9·104 | 2,6·1010 | 8,7·107 | | 730,1·107 |
Плита перекрытия | - | 22·104 | 6,4·1010 | 21,4·107 |
Продольный ригель l = 3,6 м | 22 x 45 | 16,9·104 | 4,9·1010 | 13,6·107 | | 731,1·107 |
Плита перекрытия | - | 22·104 | 6,4·1010 | 17,8·107 |
При вычислении погонных жесткостей ригелей рам момент инерции их сечения принимается как сумма моментов инерции сечений ригеля (балки) и плиты перекрытия.
Модуль упругости бетона при сжатии принят равным Eб = 290000 кГ/см2.
| | ИС МЕГАНОРМ: примечание. В официальном тексте документа, видимо, допущена опечатка: таблица 17.3 отсутствует. Возможно, имеется в виду таблица 12.3. | |
В табл. 17.3 вычислены величины

, характеризующие жесткость панелей заполнения при следующих значениях модулей упругости кладки:
E0 = 25·1000 = 25·103 кГ/см2 и G = 0,25·25·103 = 6·103 кГ/см2.
Таблица 12.3
Характеристика жесткости панелей заполнения
Наименование панели | Размер панели в см | Площадь панели F в см2 | Коэффициент проемности  | Характеристика жесткости vi в кГ·см |
длина | толщина | высота h |
Панель торцовой стены в первом этаже | 605 | 51 | 430 | 30,7·103 | 1 | 65,8·109 |
То же, в верхних этажах | 605 | 51 | 360 | 30,7·103 | 1 | 55,1·109 |
Панель поперечных перегородок в первом этаже | 605 | 12 | 430 | 7,25·103 | 1 | 15,4·109 |
То же, в верхних этажах | 605 | 12 | 360 | 7,25·103 | 1 | 13·109 |
Панель наружной продольной стены в первом этаже | 310 | 51 | 430 | 15,8·103 | 0,29 | 9,8·109 |
То же, в верхних этажах | 310 | 51 | 360 | 15,8·103 | 0,29 | 8,2·109 |
Панель продольных перегородок в первом этаже | 320 | 12 | 430 | 3,85·103 | 1 | 8,25·109 |
То же, в верхних этажах | 320 | 12 | 360 | 3,85·103 | 1 | 6,9·109 |
Учитывая большие размеры дверных проемов, жесткость панелей перегородок с проемами во внимание не принимается.
Г. Расчетная схема, периоды и формы свободных колебаний
Расчетная схема здания принимается в виде системы с четырьмя степенями свободы (рис. 12.2, а). Жесткость каркаса определяется в предположении, что ригели являются абсолютно жесткими, недеформируемыми элементами (рис. 12.2, б, в). Такая предпосылка вызывает некоторое увеличение расчетной жесткости конструкций и, следовательно, расчетных сейсмических сил.
Рис. 12.2. Расчетная схема здания
а - динамическая расчетная схема здания;
б - схематический разрез; в - расчетная схема рамы
Перемещения здания от единичных сил, приложенных в уровнях этажных перекрытий с учетом жесткости заполнения, определяются по формуле

(12.6)
для чего предварительно вычисляются суммарные погонные жесткости стоек каркаса и суммарные характеристики жесткости панелей заполнения на каждом этаже.
Вычисление перемещений здания без учета и с учетом жесткости заполнения приведено для поперечного направления в табл. 12.4, продольного направления - в
табл. 12.5. Перемещения определяются по формулам:

(12.7)

(12.8)
Таблица 12.4
Вычисление перемещения здания от единичных сил
(поперечное направление)
Этаж | Высота этажа | Жесткость несущих конструкций | Вычисление перемещений без заполнения |
стоек | панелей наружных стен (2 шт.) | продольных перегородок (8 шт.) |
среднего ряда (22 шт.) | наружных рядов (22 шт.) | | | | |
1 | 430 184900 | 15,1·1010 | 12,1·1010 | 65,8·109 | 15,4·109 | 13,9·109 | 16,68·1010 | 11,08·10-7 | 11,08·10-7 |
2 | 360 129600 | 6,2·1010 | 5,2·1010 | 55,1·109 | 13·109 | 6,96·109 | 8,352·1010 | 15,5·10-7 | 26,58·10-7 |
3 | 360 129600 | 6,2·1010 | 5,2·1010 | 55,1·109 | 13·109 | 6,96·109 | 8,352·1010 | 15,5·10-7 | 42,1·10-7 |
4 | 360 129600 | 6,2·1010 | 5,2·1010 | 55,1·109 | 13·109 | 6,96·109 | 8,352·1010 | 15,5·10-7 | 57,58·10-7 |
Продолжение табл. 12.4
Этаж | Высота этажа | Жесткость несущих конструкций | Вычисление перемещений с учетом заполнения |
стоек | панелей наружных стен (2 шт.) | продольных перегородок (8 шт.) |
среднего ряда (22 шт.) | наружных рядов (22 шт.) | | | | |
1 | 430 184900 | 15,1·1010 | 12,1·1010 | 65,8·109 | 15,4·109 | 255·109 | 421,8·109 | 4,38·10-7 | 4,38·10-7 |
2 | 360 129600 | 6,2·1010 | 5,2·1010 | 55,1·109 | 13·109 | 214·109 | 297,52·109 | 4,35·10-7 | 8,73·10-7 |
3 | 360 129600 | 6,2·1010 | 5,2·1010 | 55,1·109 | 13·109 | 214·109 | 297,52·109 | 4,35·10-7 | 13,08·10-7 |
4 | 360 129600 | 6,2·1010 | 5,2·1010 | 55,1·109 | 13·109 | 214·109 | 297,52·109 | 4,35·10-7 | 17,43·10-7 |
Таблица 12.5
Вычисление перемещений здания от единичных сил
(продольное направление)
Этаж | Высота этажа | Жесткость несущих конструкций | Вычисление перемещений без заполнения |
стоек | панелей наружных стен (20 шт.) | продольных перегородок (12 шт.) |
среднего ряда (22 шт.) | наружных рядов (22 шт.) | | | | |
1 | 430 184900 | 15,1·1010 | 18,1·1010 | 9,8·109 | 8,25·109 | 17·109 | 20,4·1010 | 9,06·10-7 | 9,06·10-7 |
2 | 360 129600 | 6,2·1010 | 10,6·1010 | 8,2·109 | 6,9·109 | 10,27·109 | 10,3·1010 | 10,54·10-7 | 19,6·10-7 |
3 | 360 129600 | 6,2·1010 | 10,6·1010 | 8,2·109 | 6,9·109 | 10,27·109 | 12,3·1010 | 10,54·10-7 | 30,14·10-7 |
4 | 360 129600 | 6,2·1010 | 10,6·1010 | 8,2·109 | 6,9·109 | 10,27·109 | 12,3·1010 | 10,54·10-7 | 40,68·10-7 |
Продолжение табл. 12.5
Этаж | Высота этажа | Жесткость несущих конструкций | Вычисление перемещений с учетом заполнения |
стоек | панелей наружных стен (20 шт.) | продольных перегородок (12 шт.) |
среднего ряда (22 шт.) | наружных рядов (22 шт.) | | | | |
1 | 430 184900 | 15,1·1010 | 18,1·1010 | 9,8·109 | 8,25·109 | 295·109 | 499·109 | 3,72·10-7 | 3,72·10-7 |
2 | 360 129600 | 6,2·1010 | 10,6·1010 | 8,2·109 | 6,9·109 | 247·109 | 370·109 | 3,5·10-7 | 7,22·10-7 |
3 | 360 129600 | 6,2·1010 | 10,6·1010 | 8,2·109 | 6,9·109 | 247·109 | 370·109 | 3,5·10-7 | 10,72·10-7 |
4 | 360 129600 | 6,2·1010 | 10,6·1010 | 8,2·109 | 6,9·109 | 247·109 | 370·109 | 3,5·10-7 | 14,22·10-7 |
Период свободных колебаний определяется по формуле

(12.9)
где V - величина, характеризующая кинетическую энергию сооружения при колебаниях по первой форме:
П - потенциальная энергия сооружения при колебаниях:
Периоды и ординаты формы свободных колебаний могут определяться также по формулам
Приложения 4 настоящего Руководства.
Д. Расчетная сейсмическая нагрузка на здание
Периоды и ординаты форм свободных колебаний здания без учета и с учетом жесткости заполнения вычислены в табл. 12.6 для поперечного направления, а в
табл. 12.7 для продольного направления.
Таблица 12.6
Вычисление периодов свободных колебаний здания
(поперечное направление)
Расчетный параметр | Этаж |
I | II | III | IV | I | II | III | IV |
без учета жесткости заполнения | с учетом жесткости заполнения |
| 11,08·10-7 | 26,58·10-7 | 42,1·10-7 | 57,58·10-7 | 4,38·10-7 | 8,73·10-7 | 13,08·10-7 | 17,43·10-7 |
Qk | 779 | 728 | 728 | 715 | 779 | 728 | 728 | 715 |
| 0,86 | 0,81 | 0,81 | 0,79 | 0,34 | 0,32 | 0,32 | 0,31 |
| 0,86 | 1,94 | 1,94 | 1,9 | 0,34 | 0,64 | 0,64 | 0,62 |
| 0,86 | 1,94 | 3,06 | 3,01 | 0,34 | 0,64 | 0,95 | 0,94 |
| 0,86 | 1,94 | 3,06 | 4,12 | 0,34 | 0,64 | 0,95 | 1,27 |
| 3,27 | 6,63 | 8,87 | 9,98 | 1,29 | 2,24 | 2,86 | 3,18 |
QjXj | 2542,45 | 4829,29 | 6459,68 | 7135,7 | 1005,54 | 1628,16 | 2089,08 | 2270,25 |
| 10,68 | 44 | 78,73 | 99,6 | 1,67 | 5 | 8,2 | 10,08 |
| 8322,8 | 32035,6 | 57317,6 | 71214 | 1300,2 | 3640 | 5969,6 | 7207,2 |
П | 10483,56 | 3496,52 |
V | 86,07 | 9,23 |
T | 0,57 | 0,32 |
Таблица 12.7
Вычисление периодов свободных колебаний здания
(продольное направление)
Расчетные параметры | Этаж |
I | II | III | IV | I | II | III | IV |
без учета жесткости заполнения | с учетом жесткости заполнения |
| 9,06·10-7 | 19,6·10-7 | 30,14·10-7 | 40,68·10-7 | 3,72·10-7 | 7,22·10-7 | 10,72·10-7 | 14,22·10-7 |
Qk | 779 | 728 | 728 | 715 | 779 | 728 | 728 | 715 |
| 0,71 | 0,66 | 0,66 | 0,65 | 0,29 | 0,27 | 0,27 | 0,27 |
| 0,71 | 1,47 | 1,47 | 1,4 | 0,29 | 0,53 | 0,53 | 0,57 |
| 0,71 | 1,47 | 2,19 | 2,16 | 0,29 | 0,53 | 0,78 | 0,77 |
| 0,71 | 1,47 | 2,19 | 2,91 | 0,29 | 0,53 | 0,78 | 1,07 |
| 2,64 | 4,96 | 6,48 | 7,26 | 1,097 | 1,86 | 2,36 | 2,61 |
QjXj | 2082,7 | 3611,6 | 4718,7 | 5173,5 | 854,8 | 1352 | 1719,4 | 1867,6 |
| 7,15 | 24,61 | 42,01 | 52,36 | 1,20 | 3,45 | 5,58 | 6,82 |
| 5568,4 | 17917,2 | 30584,7 | 37433,8 | 937,99 | 2510,73 | 4060,86 | 4878,09 |
П | 7793,25 | 2896,9 |
V | 46,6 | 6,31 |
T | 0,487 | 0,29 |
Величина коэффициента динамичности

для здания без учета жесткости заполнения будет равна:
в поперечном направлении
в продольном направлении
Величина коэффициента динамичности

для здания с учетом жесткости заполнения будет равна:
в поперечном направлении

; принимается

;
в продольном направлении

; принимается

.
Для учета влияния повреждения заполнения на сейсмическую нагрузку вычислена величина отношения периодов колебаний без учета и с учетом жесткости заполнения:
в поперечном направлении
в продольном направлении
По
табл. 4 или графику на
рис. 2 настоящего Руководства определена величина коэффициента

, учитывающего влияние повреждения заполнения:
в поперечном направлении
в продольном направлении
Величина коэффициента динамичности с учетом повреждения заполнения будет:
в поперечном направлении
в продольном направлении
Вычисление коэффициентов

и расчетных сейсмических нагрузок по
формуле (2) настоящего Руководства соответственно для поперечного и продольного направления произведено в табл. 12.8 и
12.9. В
табл. 12.10 и
12.11 приведены для сравнения расчетные сейсмические нагрузки на здание, вычисленные без учета повреждений заполнения, соответственно для продольного и поперечного направления.
Таблица 12.8
Вычисление сейсмической нагрузки на здание
в поперечном направлении с учетом работы заполнения
и его повреждения
Xi | QiXi | | | | | |
1,292 | 1005,54 | 1300,2 | 0,49096 | 72,84 | 35,76 | 248,34 |
2,236 | 1628,16 | 3640 | 0,84968 | 68,07 | 57,84 | 212,58 |
2,864 | 2089,08 | 5969,6 | 1,08832 | 68,07 | 74,09 | 154,74 |
3,175 | 2270,25 | 7207,2 | 1,2065 | 66,85 | 80,65 | 80,65 |
| |
Таблица 12.9
Вычисление сейсмической нагрузки на здание
в продольном направлении с учетом работы заполнения
и его повреждения
Xi | QiXi | | | | | |
1,0973 | 854,8 | 937,99 | 0,51573 | 85,69 | 44,19 | 299,53 |
1,8571 | 1352 | 2510,73 | 0,87284 | 80,08 | 69,9 | 255,34 |
2,3618 | 1719,4 | 4060,86 | 1,11005 | 80,08 | 88,69 | 185,44 |
2,612 | 1867,6 | 4878,09 | 1,22764 | 78,65 | 96,55 | 96,55 |
| |
Таблица 12.10
Вычисление сейсмической нагрузки на здание
в поперечном направлении с учетом работы
заполнения без его повреждения
Xi | QiXi | | | | | |
1,292 | 1005,54 | 1300,2 | 0,49096 | 116,85 | 57,37 | 398,7 |
2,236 | 1628,16 | 3640 | 0,84968 | 109,2 | 96,79 | 341,33 |
2,864 | 2089,08 | 5969,6 | 1,08832 | 109,2 | 118,84 | 248,54 |
3,175 | 2270,25 | 7207,2 | 1,20650 | 107,25 | 129,4 | 129,4 |
| |
--------------------------------
<*> Так как T = 0,32 < 0,33, принимаем

;

.
Таблица 12.11
Вычисление сейсмической нагрузки на здание
в продольном направлении с учетом работы заполнения
без его повреждения
Xi | QiXi | | | | | |
1,0973 | 854,8 | 937,99 | 0,51573 | 116,85 | 60,26 | 408,45 |
1,8571 | 1352 | 2510,73 | 0,87284 | 109,2 | 95,31 | 348,19 |
2,3618 | 1719,4 | 4060,86 | 1,11005 | 109,2 | 121,22 | 252,88 |
2,612 | 1867,6 | 4878,09 | 1,22764 | 107,25 | 131,66 | 131,66 |
| |
--------------------------------
<*> Так как T = 0,29 < 0,33, принимаем

;

.
Таблица 12.12
Вычисление поперечных сил T
с и T
р, передаваемых
панелями заполнения на опорные участки стоек и ригелей
в поперечном направлении
Панель | Размер панели в см | h - hk в см | | | | l в см | 0,5Tс в кГ | | 0,5Tр в кГ |
толщина di | длина li | высота h |
Торцовой стены в первом этаже | 51 | 605 | 430 | 370 | 1,63 | 0,16 | 0,84 | 696 | 35500 | 0,71 | 25200 |
Поперечных перегородок в первом этаже | 12 | 605 | 430 | 370 | 1,63 | 0,16 | 0,84 | 696 | 8350 | 0,71 | 59400 |
Наружной продольной стены во втором этаже | 51 | 310 | 360 | 300 | 1,03 | 0,11 | 0,89 | 357 | 18200 | 1,16 | 12900 |
Примечание. При вычислении принято R
ср = 1,6 кГ/см
2; m = m
кр = 1,2; f = 0;

(панели без проемов).
Таблица 12.13
Вычисление поперечных сил T
с и T
р, передаваемых панелями
заполнения на опорные участки стоек и ригелей
в продольном направлении здания
Панель | Размер панели в см | h - hk в см | | | | l в см | 0,5Tс в кГ | | 0,5Tр в кГ |
толщина di | длина li | высота h |
Наружной продольной стены в первом этаже | 51 | 310 | 430 | 370 | 0,82 | 0,08 | 0,92 | 571,33 | 29137,8 | 1,38 | 40199,4 |
Наружной продольной стены в верхних этажах | 51 | 310 | 300 | 300 | 1 | 0,1 | 0,9 | 571,33 | 29137,8 | 1,16 | 33790,8 |
Продольной перегородки в первом этаже | 12 | 320 | 370 | 370 | 0,84 | 0,08 | 0,92 | 589,76 | 7077,1 | 1,34 | 9483,3 |
Примечание. При вычислении принято R
ср = 1,6 кГ/см
2; m = m
кр = 1,2; f = 0;

(панели без проемов).
Жесткие узлы поперечных и продольных рам каркаса должны рассчитываться на прочность от действия расчетных усилий в сечениях по его граням.
Величины расчетных усилий M, Q и N в рассматриваемом узле определяются по комбинации усилий при особом сочетании нагрузок, являющейся расчетной для сечения колонны над узлом. Изгибающие моменты, поперечные и нормальные силы в колоннах принимаются равными
где

,

,

,

- расчетные значения абсолютных величин изгибающих моментов и поперечных сил в колонне соответственно в верхнем и нижнем сечениях от узла;

- расчетное значение нормальной силы в колонне в верхнем сечении от узла.
Прочность жесткого узла рамы определяется расчетом на сжатие условной бетонной наклонной призмы по формуле
N
у <= 0,8R
пbHm
уm
к, (13.1)
где Nу - величина расчетного сжимающего усилия в условной наклонной призме, определяемая как равнодействующая горизонтальных Wг и вертикальных Wв внутренних усилий, возникающих в сечениях по граням узла, т.е.
Rпр - расчетная призменная прочность бетона;
b - ширина узла, принимаемая равной ширине колонны;
mу - коэффициент условий работы узла, принимаемый равным 0,8. Если к узлу рассчитываемой рамы примыкают с обеих сторон ригели рам второго направления с монолитным или замоноличенным сопряжением и при этом ими перекрывается не менее 50% площади узла, то mу может быть принят равным 1;
m
к - коэффициент условий работы для железобетонных конструкций, принимаемый равным 1,2 (см.
п. 2.18);
H - расчетная высота сечения условной сжатой наклонной призмы, определяемая по формуле
zр, zк - расстояния между равнодействующими внутренних усилий соответственно для ригеля и колонны. Величина zр для средних узлов рамы определяется по формуле

и

- расстояния между равнодействующими усилий в бетоне сжатой зоны и в арматуре растянутой зоны ригеля соответственно в сечениях слева и справа от узла.
При определении zр эпюра напряжений сжатой зоны бетона принимается прямоугольной со значением расчетного сопротивления бетона Rи, а арматура сжатой зоны бетона не учитывается.
При прямоугольных сечениях ригелей z
р для крайних узлов, а также

и

для средних узлов должны приниматься:
для бетона марки:
400 ................... не менее

;
500 ................... " "

;
600 ................... " "

(h0 - рабочая высота сечения ригеля).
Для определения внутренних усилий в сечениях колонны и величины z
к при

вычисляются равнодействующая усилий в арматуре и бетоне сжатой зоны сечения и равнодействующая усилий в растянутой арматуре, а величина z
к принимается равной расстоянию между этими равнодействующими усилий. Если же

, то равнодействующая сжимающих усилий принимается равной продольной силе N
к, а величина z
к = 2e
0 [где e - расстояние от точки приложения продольной силы N
к до равнодействующей усилий в растянутой (или наименее сжатой) арматуре;

- расстояние от точки приложения равнодействующей усилий в арматуре и бетоне сжатой зоны сечения, соответствующих границе между случаями 1 и 2 внецентренного сжатия, до равнодействующей усилий в растянутой (или наименее сжатой) арматуре;

определяется по формуле (96) главы СНиП II-В.1-62; e
0 - эксцентриситет продольной силы N
к относительно центра тяжести сечения колонны].
При несоблюдении
условия (13.1) прочность узла следует повысить косвенным армированием. В необходимых случаях прочность узла может быть повышена путем увеличения марки бетона или размеров узла.
Косвенное армирование узлов осуществляется постановкой сварных сеток. Необходимое количество косвенной арматуры определяется из условия:

(13.2)
где bя - ширина сечения узла, заключенная внутри контура стержней косвенного армирования;

- объемный коэффициент косвенного армирования, определяемый в соответствии с п. 7.13 главы СНиП II-В.1-62;
Rа - расчетное сопротивление растяжению стержней сеток косвенного армирования;

- угол между осью сжатой наклонной призмы узла и плоскостью косвенного армирования.